Next Article in Journal
Prosodic Feature Analysis for Automatic Speech Assessment and Individual Report Generation in People with Down Syndrome
Previous Article in Journal
CGT-YOLOv5n: A Precision Model for Detecting Mouse Holes Amid Complex Grassland Terrains
 
 
Font Type:
Arial Georgia Verdana
Font Size:
Aa Aa Aa
Line Spacing:
Column Width:
Background:
Article

Experimental Study of the Dynamic Characteristics of PVA-Amended Expansive Soils

Hubei Provincial Ecological Road Engineering Technology Research Center, Hubei University of Technology, Wuhan 430068, China
*
Author to whom correspondence should be addressed.
Appl. Sci. 2024, 14(1), 292; https://doi.org/10.3390/app14010292
Submission received: 30 November 2023 / Revised: 22 December 2023 / Accepted: 26 December 2023 / Published: 28 December 2023

Abstract

:
Expansive soils are distributed across a wide area in China, and land transport and surface construction will inevitably involve these soils. To mitigate the deficiencies of single-method expansive soil modification, it is highly important to adopt the use of polyvinyl alcohol (PVA) to improve expansive soils and enhance the strength and toughness of modified soils. In addition, solidification technology can be utilized for the resource utilization of expansive soils. In this study, triaxial testing is employed to evaluate the mechanical properties of solidified soil. When the confining pressure is the same and with increasing PVA content, soil particles and PVA combine to form a cemented substance, which fills the internal pores of the soil samples, enhances the cohesion between soil particles, and improves the bearing capacity of the soil. The stress–strain curve for the modified soil first increases and then decreases. The shear strength peaks at a PVA content of 3%. Based on the improved soil with a 3% PVA content, GDS dynamic triaxial tests were carried out to investigate the effects of different confining pressures and frequencies on the dynamic stress–strain curves, dynamic modulus of elasticity, and variation rule for the damping ratio of the improved soil. The results show that the dynamic stress–strain curve for the improved soil increases with increasing confining pressure and frequency and that the dynamic stress–strain backbone curves exhibit significant nonlinearities at different frequencies and circumferential pressures. The dynamic elastic modulus increases with increasing confining pressure and frequency and decreases gradually with increasing dynamic strain. The initial dynamic modulus of elasticity increases with increasing envelope pressure and frequency but is less affected by frequency, and the damping ratio decreases with increasing confining pressure and frequency. Soil treatment can improve the pore distribution, inhibit the extension of soil cracks, and enhance soil compactness.

1. Introduction

Expansive soil contains many hydrophilic minerals, such as kaolin and illite. It is a kind of high-plasticity clay characterized by fissures, expansions and contractions, and superconsolidations. This soil is particularly sensitive to changes in water content, which is mainly manifested in the following ways: expansion by water absorption and contraction by water loss. Although expansive soil itself has high strength, due to its sensitivity to water content characteristics, expansive soil can be easily deformed, resulting in damage to the integrity of the soil and thus greatly reducing its strength. Moreover, the expansion of soil can lead to adverse effects on any of the abovementioned structures, especially those spanning highways and railways. Road and railway foundations that use expansive soils as fill are prone to settlement, which leads to cracking of the road surface and landslides and subsidence of slopes; these conditions have been described as “hidden disasters” [1].
China has one of the widest distributions and largest areas of expansive soils in the world. With the continuous improvement in the transport infrastructure network, land transport and ground construction will inevitably involve expansive soil areas, and improving expansive soils is crucial for structures in expansive soil areas. The current treatments for expansive soils can be broadly classified into three categories: physical, chemical, and biological improvements. In terms of physical improvement, several scholars [2,3,4] have studied the use of polystyrene foam particles to improve the expansion and contraction of expansive soils as well as reduce the expansion rate and expansion pressure. Kang Jingyu [5] improved expansive soils through the use of water glass, which raises the plastic limit of the soil and lowers the liquid limit and hydrophilic minerals; this results in a decrease in the expansion rate of the improved soil and a corresponding increase in strength. Wang Huan et al. [6] studied the improvement effect of different dosages of silty sand on expansive soil; explored the changes in the expansion force, expansion rate, internal friction angle, cohesion, and other properties of expansive soil with the dosage of silty sand; and verified the feasibility of using silty sand to improve the expansion and mechanical properties of the soil. For chemical improvement, cement and lime are mostly used to improve expansive soils [7,8,9]. Fu Jing et al. [10] mixed ultrafine fly ash and cement in expansive soils to obtain the most reasonable amount of fly ash and cement mixture. Mashinfana et al. [11] modified expansive soils with citric acid-treated alkaline oxygen furnace paste, conducted geotechnical performance tests, and observed the microstructure of the modified soils via X-ray diffraction and scanning electron microscopy. Moghal et al. [12] used different mixing combinations of polypropylene fibers and lime in expansive soil to study its mechanical properties. Naseem [13] and other scholars have made some contributions to the improvement of expansive soils. These researchers used tire rubber powder and cement kiln ash to treat expansive soils. Subsequently, an in-depth analysis of the soil was carried out using scanning electron microscopy, unconfined compressive strength tests, and other tests. This kind of treatment can not only improve the mechanical properties of expansive soil but also effectively solve environmental problems, such as those associated with waste tires. In terms of biological improvement, the emergence of bioenzymes has provided a new way of thinking about the treatment of expansive soils [14] to improve their strength and reduce swelling [15,16]. Du Jing et al. [17] conducted experimental studies on the modification of expansive soils using microorganisms and screened for strains that increased shear strength and reduced swelling and linear shrinkage. Wang Lijuan et al. [18] used Bacillus subtilis isolated from nonexpanding soils and were able to reduce the free swelling of expanding soils by a maximum of 21.7%.
In summary, many studies have been performed to improve expansive soils, and polyvinyl alcohol (polyvinyl alcohol, PVA), a kind of organic compound that is easily soluble in water, not only has the advantages of easy synthesis, safety, and low toxicity, but is also inexpensive and easy to use, has acid and alkali resistance characteristics, and is difficult to dissolve in organic solvents. In fact, China’s PVA production capacity reached 124.6 t/a in 2016, making it the largest PVA-producing country in the world [19], and studies on its application in soil improvement have been conducted. As a new type of soil structure improvement agent, PVA has obvious effects on adjusting soil structure and improving soil physicochemical properties. Liu Yixin et al. [20] investigated the effect of polyvinyl alcohol on soil physicochemical properties and reported that PVA can significantly reduce the amount of soil water loss. Yu Hao et al. [21] reported that PVA can increase the optimum water content, liquid limit, and plastic limit of soft soil but has no significant effect on the maximum dry density. Moreover, these researchers have determined that PVA can also significantly increase the unconfined compressive strength, dynamic strength, and damping ratio of soft soil. However, studies of the dynamic properties of PVA-amended expansive soils have not yet been reported.
The dynamic stress–strain relationship, dynamic elastic modulus, and damping characteristics of modified expansive soils are particularly important, and these dynamic characteristics are directly related to the safety of roads and buildings under traffic loads and earthquakes. In this study, we used polyvinyl alcohol (PVA) to improve expansive soils and determined the optimum dosage of PVA through ordinary triaxial compression tests. Based on the optimum dosage, we used a GDS dynamic triaxial instrument to study the dynamic characteristics of the improved soil, which provides a reference basis for engineering practice.

2. Materials and Methods

2.1. Test Materials

The expansion soil used in this paper was taken from the construction site of a highway project in Henan Province, China. The main components of the soil are illite, montmorillonite, and other minerals mixed with a small amount of kaolinite. The soil samples were yellowish-brown in color, the sample color became darker after water absorption, and the samples could easily be slumped into mounds of powder in the dry state. The basic physical properties were measured according to geotechnical test operation specifications; these properties and specific parameters are shown in Table 1. The discrete type of test soil samples was not uniform, and the particle sizes were rather discrete. To ensure the accuracy of the test and the consistency of the physical properties of the soil samples, the samples were ground and passed through a 2 mm sieve.
Polyvinyl alcohol was obtained from Yatai United Chemical Co., Ltd. with a production type of 1788 and a degree of polymerization of 1700; the specific parameters are shown in Table 2. The as-obtained PVA appeared as a white powder (Figure 1), and when in contact with water, it presented as a gelatinous solid.

2.2. Specimen Preparation

The expansive soil sample was placed into a drying oven, heated at 105 C, dried for 24 h to remove water, and then cooled completely. The PVA content mass percent was set to 0%, 1%, 2%, 3%, and 4%, and 5 samples were prepared according to the optimal moisture content and maximum dry density of the expansive soil to produce PVA-amended soil samples with a diameter of 50 mm and a height of 100 mm. The soil samples were compacted into 5 layers, and to increase the contact area between each layer of soil, the soil was scraped after each compaction to prevent the emergence of weak surfaces that can lead to early damage under loading.

2.3. Pilot Program

The consolidated undrained shear (CU) test for improved soil with different peripheral pressures was carried out using a TSZ-2 fully automatic triaxial instrument. The effects of varying the PVA content and peripheral pressure on the stress–strain curves and shear strength indices for the treated soil were investigated according to the “Standard for Geotechnical Test Methods GB/T50123-2019”, with the peak point for deviatoric stress or axial deformation set to 15% as the destruction standard. The confining pressures were set to 100 kPa, 200 kPa, and 300 kPa [22,23], and the test program is shown in Table 3.
A dynamic triaxial test was carried out based on the optimum PVA content of 3% derived from the static triaxial test. A UK GDS dynamic triaxial apparatus was used for the test. The apparatus can be divided into two parts according to the functionality of the system: the control system and the loading system. The GDS dynamic triaxial apparatus consists of horizontal and axial actuators, displacement transducers, counterpressure controllers, peripheral pressure controllers, and data collectors. The GDSLAB software controls the power loading of the apparatus. Through the use of GDSLAB software to control power loading and the placement of the test specimen to be tested in the pressure chamber, the system subjects the specimen to peripheral pressure, counterpressure, and axial pressure. Other test data are utilized to accurately control the testing and take readings. The test had an accuracy of 0.0001 mm, a maximum loading frequency of 5 Hz, and a maximum loading peripheral pressure of 2 MPa.
According to field investigation data and results from previous studies [24,25], the frequency of the dynamic load generated by high-speed trains and automobiles does not exceed 3 Hz, so the test frequencies were set to 1 Hz, 2 Hz, and 3 Hz. Sinusoidal fluctuating stresses were applied in 10 equal grades for the process of dynamic loading, and the dynamic loading was cycled 10 times for each grade. Under different circumferential pressure and frequency conditions, the dynamic stress–strain relationship curves, dynamic elastic modulus of the improved soil, and change rule for the damping ratio were investigated. The test program is shown in Table 4.

3. Analysis of Test Results

3.1. Analysis of the Static Triaxial Test Results

3.1.1. Stress–Strain Curve

The stress–strain relationship for soil can be described by a mathematical expression reflecting the mechanical properties of the material, which, for triaxial stress, is mainly expressed as the relationship between the bias stress and axial strain applied to the specimen. The curves are divided into two types: (1) The strain shows a decreasing tendency with increasing stress (the curves have a peak), which is referred to as strain softening. (2) The strain exhibits an increasing tendency with increasing stress; this is referred to as strain hardening. Figure 2 shows the curves for bias stress (σ1–σ3) versus axial strain (ε1) for the soil under different confining pressures, which reflects the nature of strain hardening.
As shown in Figure 2, under three different confining pressures, the effect of PVA on the improvement of expansive soil significantly improved, and with the same PVA dosage, the greater the confining pressure, the greater the bias stress that the improved soil can withstand. This is because under the same PVA content and with increasing confining pressure, the consolidation pressure increases, the soil particles are extruded and subsequently increased, and the relative sliding becomes increasingly difficult. Under the same stress conditions, the deformation produced decreases. When the peripheral pressure is the same, the soil specimen can withstand the smallest bias stress. Additionally, with increasing PVA content, the specimen bias stress trend first increases after a slight decrease in the PVA content of 3% for the improved soil to reach the peak value. PVA dissolved in water forms a viscous white gelatinous material, and its combination with soil particles facilitates the formation of a cemented material and a filling of the internal pores in the soil samples to enhance the cohesion of soil particles so that the load-bearing capacity of the soil increases. On the other hand, PVA is hygroscopic; when its dosage reaches 4%, more water in the soil sample is absorbed by PVA, so there is a lack of sufficient water molecules between the expansive soil particles, which is the state of nonoptimal water content. Therefore, the sample has relatively weak strength.

3.1.2. Shear Strength Index

The shear strength of soil indicates the ultimate ability of soil to resist shear damage, and the shear strength index is an important calculation parameter for analyzing the stability of soil. Specimens with the same dosage of PVA were analyzed by plotting molar-stress circles for bias stress (σ1–σ3) and circumferential pressure (σ3) under different circumferential pressures. The cohesion c for shear strength and the angle of internal friction φ of the soil were calculated based on the common tangent of Moore’s circle (shown in Figure 3) and Cullen’s formula (1):
τ = σ tan φ + c
where σ is the normal stress and τ is the shear stress.
According to the shear strength envelope diagram of PVA-amended expansive soil shown in Figure 3, the cohesion c and internal friction angle φ of the amended soil under different PVA dosages can be obtained, and the specific results are shown in Table 5. The relationship curve for the change in the shear strength index with respect to the PVA dosage is obtained, as shown in Figure 4.
As shown in Figure 4, the angle of internal friction increases and then decreases with increasing PVA dosage, the angle of internal friction is greatest when the PVA dosage is 3%, and the cohesion c is not much different from that obtained for soil samples with a 4% PVA content at this time. Compared with those of the plain soil samples, the cohesion and angle of internal friction of the improved soil after mixing PVA were greater, indicating that PVA has a certain effect on the mechanical properties of the expansive soil and that the effect of improvement is greatest at a PVA mixing rate of 3%.
This is because the internal cohesion of the specimen includes the original cohesion between the soil particles in the specimen, as well as the cohesion between the soil particles and PVA. The white colloid formed by PVA after dissolving in water increases the friction between soil particles, coagulating with water molecules in the specimen to form water-stable agglomerates [26]. This results in an increase in cohesion between PVA and soil particles, which is characterized by an increase in the cohesion c and the angle of internal friction φ of the improved soil with increasing PVA dosages. At a PVA content of 4%, the high concentration of PVA formed an overbonded clay film, which tightly bound the soil particles. This overbonding affects soil permeability, making it difficult for water to penetrate into the deeper layers of the soil, thus affecting the formation of aggregates. Furthermore, the bonding strength between the soils is reduced, and the occlusion between the soil particles is weakened, so the structural integrity of the improved soil with 4% PVA content is reduced, leading to a slight decrease in the improvement effect.

3.2. Analysis of the Dynamic Triaxial Test Results

3.2.1. Dynamic Stress–Strain Backbone Curves

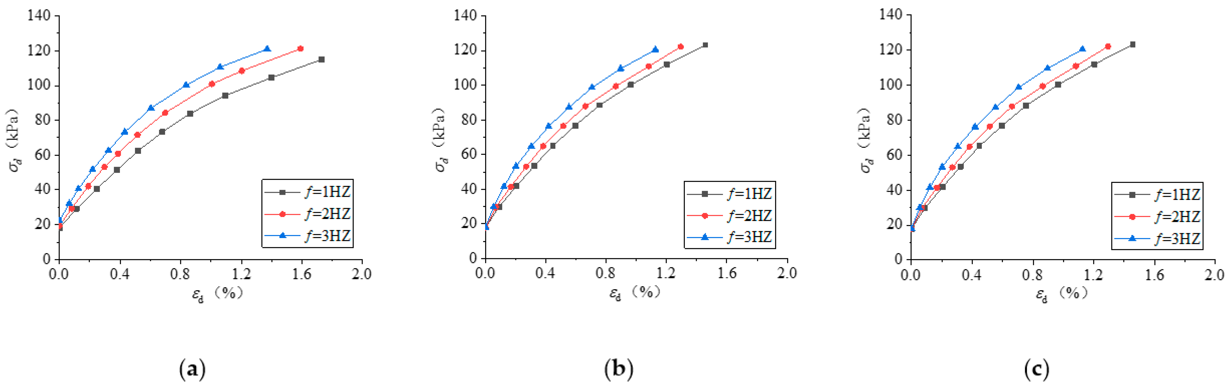
According to the dynamic triaxial test data, the dynamic stress–strain curve for the improved soil forms an elliptical hysteresis circle during one cycle of cyclic stress loading and unloading, and the average values for the stress and strain at the apex of the hysteresis circle of 3~8 levels during the dynamic loading process are selected to obtain the trend for the dynamic strain and corresponding dynamic stress. The dynamic stress–strain curves for PVA-amended expansive soils with different circumferential pressures are plotted in Figure 5, and the dynamic stress–strain curves for soils amended with different frequencies are plotted in Figure 6.
As shown in Figure 5, the dynamic stress–strain curves increase with increasing circumferential pressure. From the curves measured at different frequencies, the deformation under the same dynamic stress is minimized for σ3 = 300 kPa. The main reason for this difference is that the high-confining pressure specimen has greater compactness and less porosity than the low confining pressure specimen during the consolidation process. In addition, the contact between the PVA in the improved soil and the soil particles is more compact, so the dynamic strain under the same stress is relatively small.
Figure 6 shows that when the confining pressure and dynamic stress are the same, the higher the frequency, the lower the dynamic strain. Analysis shows that in a cycle period, the higher the frequency, the shorter the dynamic stress that acts on the specimen [27]. At this time, the deformation of the specimen occurs too late to fully develop, and the test soil exhibits a certain degree of viscosity, resulting in stiffness; that is, the higher the frequency, the lower the dynamic strain under the action of the same dynamic stress.
By comparing the curves shown in Figure 5 and Figure 6, the slope of the stress–strain curve is greater in the early stage of dynamic strain development (εd ≤ 0.4), the dynamic strain of the soil responds to stress faster, and the specimen is stabilized in terms of force and deformation because elastic deformation accounts for a larger proportion of the deformation. As the dynamic strain continues to increase (εd > 0.4), the slope of the curve decreases, and the links between the soil particles in the specimen are destroyed, resulting in a gradual increase in plastic deformation as a proportion of the deformation of the soil sample [28].

3.2.2. Changing Law for the Dynamic Elastic Modulus

When the soil is subjected to dynamic loading, nonlinear dynamic strains and dynamic stresses are generated, as shown in Figure 5 and Figure 6, and the change rule does not follow Hooke’s law. Therefore, the dynamic elastic modulus is needed to describe the nonlinear characteristics of the soil under dynamic loading. The average values of the dynamic stress and dynamic strain at the apex of the 3~8 level hysteresis loops during dynamic loading were selected to calculate the average dynamic elastic modulus, and according to the average dynamic elastic modulus and average dynamic strain, the Edd curves under different confining pressures were plotted, as shown in Figure 7.
As shown in Figure 7, the trend for the dynamic elastic modulus development is similar for different confining pressures, and when the frequency is the same, the dynamic elastic modulus increases with increasing confining pressure. This is because, the greater the confining pressure, the smaller the pore ratio between the soil bodies, the greater the soil compactness, the greater the stress needed to produce relative sliding between the soil particles, and the greater the dynamic elastic modulus. The modulus of dynamic elasticity decreases with increasing dynamic strain. In the early stage of development (εd ≤ 0.4%), the modulus of dynamic elasticity decreases obviously with increasing dynamic strain and then gradually tends to stabilize. The difference in the modulus of dynamic elasticity between different confining pressures is also reduced.
The Edd curves for different frequencies are plotted for certain enclosure pressures, as shown in Figure 8. Figure 8 shows that the dynamic elastic modulus increases with increasing frequency at the same confining pressure. This is because when cyclic loads are applied, the higher the frequency, the shorter the vibration period, the less time the load has to act on the soil, and the lower the amount of kinetic energy that is transferred [27]. When the frequency of load action is higher, the deformation and rebound process for the soil due to the external force is untimely, which leads to a decrease in the rate of increase in the dynamic strain in the soil. Therefore, the dynamic elastic modulus is greater than that of soil with sufficient rebound. At the early stage of deformation of the modified soil (εd ≤ 0.4%), the dynamic elastic modulus decreases rapidly, and with a gradual increase in dynamic strain (εd > 0.4%), the decrease in the dynamic elastic modulus slows.
The relationship between the dynamic elastic modulus Ed and the dynamic strain εd of the soil can be expressed by fitting relationship (3) [27,28]:
σ d = E d ε d = E 0 ε d 1 + η d ε d
E d = E 0 1 + η d ε d
where E 0 is the initial dynamic elastic modulus and η d is the fitting parameter
The fitted curve between the dynamic modulus of elasticity and dynamic strain for PVA-amended expansive soil at a confining pressure of σ3 = 100 kPa and frequency f = 1 Hz is shown in Figure 9, where the specific parameters for the fitted equation are given by
E d = 0.46 1 + 0.70 ε d
At this time, the curve fitting coefficient is 0.98. According to the fitting results shown in Figure 9, Equation (3) can provide a more complete expression for the change rule between the dynamic elastic modulus Ed and the dynamic strain εd of PVA-amended expansive soil.
The fitted parameters at other frequencies and envelope pressures are shown in Table 6.
The initial dynamic elastic modulus E0 is the dynamic elastic modulus of the soil when subjected to initial dynamic loading and is usually known as the initial shear modulus or initial compression modulus. This dynamic elastic modulus is an important mechanical parameter reflecting the stiffness of the soil and can be used to assess the stability and load-bearing capacity of the improved soil.
Figure 10 shows the initial dynamic elastic modulus versus the frequency of the enclosing pressure. Figure 10a shows that the initial dynamic elastic modulus increases with increasing enclosing pressure. Figure 10b demonstrates that the initial dynamic elastic modulus increases with increasing frequency relative to the enclosing pressure, but the increase trend is slow. Therefore, the circumferential pressure has a large effect on the initial dynamic elastic modulus, while the frequency also has an effect on the initial dynamic elastic modulus, but the effect is small. This is because the increase in the circumferential pressure will lead to the specimen being subjected to a greater lateral constraint force, and the deformation of the specimen under dynamic loading will be smaller, so the initial dynamic elastic modulus will increase.
The effect of the loading frequency on the initial dynamic elastic modulus of the specimen manifests during the loading process, and the initial dynamic elastic modulus is generated during the initial loading of the specimen. Thus, the effect of the frequency on the initial dynamic elastic modulus can be analyzed only within a very small strain interval. When the specimen is subjected to high-frequency loading, at the beginning of the initial dynamic loading, the specimen will experience stress and strain. At this time, the stress–strain curve is similar to a straight line, so the specimen viscosity is relatively small. The initial dynamic elastic modulus increases with increasing frequency, but the effect of frequency on the initial dynamic elastic modulus is relatively small compared to the effect of confining pressure.

3.2.3. Change Rule for the Damping Ratio

Figure 11 shows the curves for the damping ratio λ versus the dynamic strain εd calculated by elliptic hysteresis curve fitting for different enclosing pressures.
The damping ratio λ of the soil reflects the proportion of energy dissipated due to the internal damping effect of the soil under dynamic loading and characterizes the ability of the soil to absorb energy and resist vibration. It can be observed from Figure 11 that the damping ratio λ of the soil increases with the development of the dynamic strain, and the growth rate is low at the beginning of the development of the dynamic strain (εd ≤ 0.4%). When the dynamic strain continues to increase (εd > 0.4%), the growth rate of the damping ratio λ first increases and then decreases and tends to stabilize with increasing dynamic strain. Under the same frequency conditions, the damping ratio gradually decreases with increasing confining pressure, and the development trend of the damping ratio λ under different confining pressures is more or less the same.
In the early stage of dynamic strain development (εd ≤ 0.4%), the proportion of elastic deformation in the deformation of the soil is greater, and the energy consumption for stress transfer is less. With the development of dynamic strain (εd > 0.4%), relative sliding of the soil particles occurs, the proportion of plastic deformation gradually increases, the number of pores inside the specimen increases, and the work performed by the internal friction resistance increases, resulting in a drastic increase in the damping ratio. When the dynamic strain continues to increase, the internal structure of the specimen changes. Under the applied force, the pore space produced before is partially compacted, and the soil particles are rearranged to form a temporary stable state when the growth rate of the damping ratio begins to decrease. The damping ratio thus stabilizes with the development of dynamic strain.
At a certain frequency, an increase in the circumferential pressure leads to a denser arrangement of internal particles in the specimen, and PVA can be better dissolved into the internal pores of the soil specimen. At this time, the pore space in the sample is reduced, and the contact area of the soil particles inside the sample is increased, which improves the efficiency of dynamic load transfer. The relative motion of soil particles inside the specimen under high-confining pressure is reduced, so the percentage of plastic strain is not as good as that for the specimen under lower confining pressure, so the damping ratio decreases with increasing confining pressure.
The fd curves for different frequencies are plotted in Figure 12. From Figure 12, it can be observed that the development trends for the λd relationship curves between the damping ratio and dynamic strain at different frequencies and confining pressures are basically the same, and the damping ratio grows less in the early stage of the development of the dynamic strain (εd ≤ 0.4%); when the dynamic strain continues to develop (εd > 0.4%), the rate of increase in the damping ratio first increases and then decreases. In addition, compared with Figure 12, when the frequency is the only variable, the damping ratio of the soil decreases with increasing frequency, and the difference in the damping ratio between neighboring circumferential pressures is greater than that between neighboring frequencies, which indicates that the frequency has a small effect on the damping ratio.
The main development trends for the λd relationship curves under different frequencies and different peripheral pressures are basically the same because the development process for soil sample deformation is basically the same, and at the early stage of deformation of the soil samples (εd ≤ 0.4%), the proportion of elastic deformation is greater. As the deformation of the soil samples continues to develop (εd > 0.4%), the proportion of plastic deformation gradually increases, and at this time, the growth rate of the soil damping ratio increases. This indicates that different confining pressures and frequencies affect the magnitude of the damping ratio of the soil but have less influence on the development process of soil deformation.
As the frequency increases, the damping ratio of the soil decreases. This is because, at a certain critical damping coefficient for the soil sample, the magnitude of the damping ratio depends on the amount of energy lost during one cycle. When the control frequency is the only variable, an increase in frequency results in a reduction in the time available for the actuator rod to act on the specimen and less energy being transferred, so the damping ratio decreases.

4. Conclusions

In this study, for PVA-amended expansive soil, we analyzed the effects of different PVA dosages on the shear strength index, stress–strain curve, and shear strength index of expansive soil under varying peripheral pressures through ordinary triaxial tests to determine the optimal PVA dosage. A British GDS Dynamic Triaxial Instrument was used to carry out multistage loading tests on the amended soil to analyze the dynamic characteristics of the soil based on three aspects, namely, the dynamic stress–strain curve of the amended soil, the dynamic modulus of elasticity, and the damping ratio characteristic parameters. The main research conclusions are summarized as follows:
(1)
In the ordinary triaxial compression test, the effects of the PVA content and circumferential pressure on the stress–strain relationship and shear strength of the improved soil are more obvious. With increasing PVA dosage, the stress–strain relationship curve and shear strength of the improved soil first increase and then decrease, and at a PVA dosage of 3%, the stress–strain curve and shear strength reach a peak; that is, the best improvement effect is obtained.
(2)
Based on the optimum dosage of PVA-amended expansive soils, the dynamic stress–strain backbone curves for the amended soils exhibit obvious nonlinearity at different frequencies and peripheral pressures. The dynamic stress–strain relationship curve for the modified soil shifts upward with increasing enclosing pressure and frequency. The slope of the stress–strain curve is greater in the early stage of dynamic strain development, the dynamic strain of the soil responds to the stress faster, the specimen force and deformation are stable, and elastic deformation accounts for a greater proportion of the total deformation. As the dynamic strain continues to increase, the slope of the curve decreases, and the connections between the soil particles in the specimen are destroyed.
(3)
The dynamic elastic modulus of the improved soil decreases gradually and is negatively correlated with increasing dynamic strain. The modulus of dynamic elasticity increases with increasing enclosing pressure and frequency and tends to stabilize with the development of dynamic strain. The initial dynamic elastic modulus increases with increasing enclosing pressure and frequency but is less affected by the frequency.
(4)
The damping ratio for improved soil increases with the development of dynamic strain. At a dynamic strain of εd ≤ 0.4%, the growth rate of the damping ratio is small; at a dynamic strain of εd > 0.4%, the growth rate of the damping ratio first increases and then decreases. The damping ratio decreases with increasing circumferential pressure and frequency.

Author Contributions

Conceptualization, X.Z. and B.Z.; methodology, B.Z.; software, B.Z. and D.Y.; validation, B.Z. and W.W.; formal analysis, B.Z. and X.L. All authors have read and agreed to the published version of the manuscript.

Funding

The authors appreciate the funding from the National Natural Science Foundation of China (Grant Nos. 51978248 and 51708190).

Institutional Review Board Statement

Not applicable.

Informed Consent Statement

Not applicable.

Data Availability Statement

The data that support the findings of this study are available from the corresponding author upon reasonable request. The data are not publicly available due to privacy.

Conflicts of Interest

The authors declare no competing interests.

Nomenclature

ρdmaxmaximum dry density
Fsfree inflation rate
ηviscosity
Dalcoholysis
Woptimum moisture content
WLliquid limit
WPplastic limit
Vvolatile matter
ARpurity
Edelastic modulus
Cucoefficient of curvature
σnormal stress
τshear stress
ccohesive force
φfriction angle
σddynamic stress
ηdfitted parameter
λdamping ratio
E0initial dynamic modulus of elasticity
Ashash
σ3confining pressure
εddynamic strain
ffrequency
Gsrelative density of soil particles

References

  1. Jia, D.; Ding, S.; Du, H.; Guo, Z. Research status and prospect of engineering properties of expansive soils. J. Hebei Inst. Archit. Technol. 2003, 20, 33–39. [Google Scholar] [CrossRef]
  2. Tiwari, N.; Satyam, N.; Shukla, S.K. An experimental study on micro-structural and geotechnical characteristics of expansive clay mixed with EPS granules. Soils Found. 2020, 60, 705–713. [Google Scholar] [CrossRef]
  3. Wan, L.-L.; Zou, W.-L.; Wang, X.-Q.; Han, Z. Comparison of three inclusions in reducing lateral swelling pressure of expansive soils. Geosynth. Int. 2018, 25, 481–493. [Google Scholar] [CrossRef]
  4. Zhuang, X.; Wang, K.; Li, K.; Wang, J. Experimental study on modified expansive soil of phosphorous Tailings-EPS basalt fiber. Highw. Eng. 2019, 44, 38–43. [Google Scholar] [CrossRef]
  5. Kang, J.; Wang, B.; Shan, Y.; Han, S. Experimental study on the improvement of expansive soil by sodium silicate. Sci. Technol. Eng. 2019, 19, 267–271. [Google Scholar] [CrossRef]
  6. Wang, H.; Ren, J.; Fan, C. Study on the influence of the amount of silty sand on the expansion and mechanical properties of expansive soil. Chin. J. Undergr. Space Eng. 2021, 17, 172–178. [Google Scholar]
  7. Yang, H.; Long, D.; Zhenyu, L.; Yuanjin, H.; Tao, Y.; Xin, H.; Jie, W.; Zhongyuan, L.; Shuzhen, L. Effects of bentonite on pore structure and permeability of cement mortar. Constr. Build. Mater. 2019, 224, 276–283. [Google Scholar] [CrossRef]
  8. Soltani, A.; Taheri, A.; Khatibi, M.; Estabragh, A.R. Swelling Potential of a Stabilized Expansive Soil: A Comparative Experimental Study. Geotech. Geol. Eng. 2017, 35, 1717–1744. [Google Scholar] [CrossRef]
  9. Fu, C.; Zeng, Z.; Mo, H. Experimental study on the engineering characteristics of the improved expansive soils with lime. J. Guangxi Univ. (Nat. Sci. Ed.) 2019, 44, 10. [Google Scholar] [CrossRef]
  10. Fu, J. Experimental study on expansive soil modified by ultrafine fly ash cement. Chem. Eng. 2021, 35, 5. [Google Scholar]
  11. Mashifana, T.P.; Okonta, F.N.; Ntuli, F. Geotechnical Properties and Microstructure of Lime-Fly Ash-Phosphogypsum-Stabilized Soil. Adv. Civ. Eng. 2018, 2018, 3640868. [Google Scholar] [CrossRef]
  12. Moghal, A.A.B.; Chittoori, B.C.S.; Basha, B.M.; Al-Mahbashi, A.M. Effect of polypropylene fibre reinforcement on the consolidation, swell and shrinkage behaviour of lime-blended expansive soil. Int. J. Geotech. Eng. 2018, 12, 462–471. [Google Scholar] [CrossRef]
  13. Naseem, A.; Mumtaz, W.; Jalal, F.E.; De Backer, H. Stabilization of Expansive Soil Using Tire Rubber Powder and Cement Kiln Dust. Soil Mech. Found. Eng. 2019, 56, 54–58. [Google Scholar] [CrossRef]
  14. Alencar, I.S.; Ferreira, E.A.; Sevalho, E.D.S. Uso de enzimas para estabilização de solos. Rev. InterScientia 2019, 7, 102–114. [Google Scholar] [CrossRef]
  15. Kanniyappan, S.R.P.; Faizuneesa, D. Experimental investigation on black cotton soil using bio-enzyme as a soil stabilizer in road construction. Cikitusi J. Multidiscip. Res. 2022, 6, 234–250. [Google Scholar]
  16. Suresh, K.; Kumar, P.S. Efficacy of terrazyme-a bio enzyme on strength characteristics of expansive soil. Glob. J. Eng. Sci. Res. 2018, 5, 89–96. [Google Scholar]
  17. Du, J.; Zhou, D. Experimental study on improvement of expansive soil with microbe. Water Resour. Hydropower Eng. 2012, 43, 103–105. [Google Scholar] [CrossRef]
  18. Wang, L.; Tao, Y.; Shu, B. Indoor experiment on the improvement effect of microorganisms on swollen soil of Dijiang Jihuai Project. J. Xi Chang. Coll. (Nat. Sci. Ed.) 2020, 34, 41–43+90. [Google Scholar] [CrossRef]
  19. Zhu, Y. Market analysis of polyvinyl alcohol in China. Fine Spec. Chem. 2017, 25, 18–23. [Google Scholar] [CrossRef]
  20. Liu, Y.; Wang, X.; Li, X.; Khan, J.A. Effects of polyvinyl alcohol on soil physicochemical properties. Tob. Sci. Technol. 1996, 6, 29–30. [Google Scholar] [CrossRef]
  21. Yu, H.; Yu, Z. Research on engineering characteristics of soft soil improved by PVA fibre. Hydropower 2021, 47, 48–54+88. [Google Scholar] [CrossRef]
  22. Zhao, F.; Chang, L.; Zhang, W. Experimental study on dynamic strength parameters of roadbed saline soil based on temper-ature change. J. Geotech. Eng. 2019, 41, 217–220. [Google Scholar]
  23. Qiu, M.; Yu, Y. Depth analysis of the influence of road traffic load. Geotechnics 2010, 31, 1822–1826. [Google Scholar] [CrossRef]
  24. Luo, J. Determination of highway traffic loading parameters for indoor tests. Low Temp. Build. Technol. 2015, 37, 121–123. [Google Scholar] [CrossRef]
  25. Ding, Z.; Zheng, Y.; Wei, X.; Fan, K. Experimental study on the effect of different loading frequencies and cyclic stress levels on the dynamic characteristics of artificially frozen and thawed soft soil. J. Railw. 2020, 42, 122–128. [Google Scholar] [CrossRef]
  26. Liu, Y.; Wang, X. Study on the effect of polyvinyl alcohol in forming soil water-stable aggregates. Anhui Agric. Sci. 1996, 262–264. [Google Scholar]
  27. Hardin, B.O.; Drnevich, V.P. Shear Modulus and Damping in Soils: Measurement and Parameter Effects (Terzaghi Leture). J. Soil Mech. Found. Div. 1972, 98, 603–624. [Google Scholar] [CrossRef]
  28. Martin, P.; Seed, H. One-dimensional dynamic ground response analyses. J. Geotech. Geoenviron. Eng. 1982, 108, 935–952. [Google Scholar] [CrossRef]
Figure 1. Material samples: (a) Powder PVA-1788; (b) Expansive soil samples.
Figure 1. Material samples: (a) Powder PVA-1788; (b) Expansive soil samples.
Applsci 14 00292 g001
Figure 2. Partial stress–strain relationship curves for amended soil with varying PVA dosage. (a) σ3 = 100 kPa. (b) σ3 = 200 kPa. (c) σ3 = 300 kPa.
Figure 2. Partial stress–strain relationship curves for amended soil with varying PVA dosage. (a) σ3 = 100 kPa. (b) σ3 = 200 kPa. (c) σ3 = 300 kPa.
Applsci 14 00292 g002
Figure 3. Shear strength envelope for different PVA dosages. (a) PVA content 0% shear strength. (b) PVA content 1% shear strength. (c) PVA content 2% shear strength. (d) PVA content 3% shear strength. (e) PVA content 4% shear strength.
Figure 3. Shear strength envelope for different PVA dosages. (a) PVA content 0% shear strength. (b) PVA content 1% shear strength. (c) PVA content 2% shear strength. (d) PVA content 3% shear strength. (e) PVA content 4% shear strength.
Applsci 14 00292 g003
Figure 4. Relationship curve for the shear strength index with varying PVA dosage.
Figure 4. Relationship curve for the shear strength index with varying PVA dosage.
Applsci 14 00292 g004
Figure 5. Dynamic stress–strain curves under different enclosure pressures. (a) f = 1 Hz. (b) f = 2 Hz. (c) f = 3 Hz.
Figure 5. Dynamic stress–strain curves under different enclosure pressures. (a) f = 1 Hz. (b) f = 2 Hz. (c) f = 3 Hz.
Applsci 14 00292 g005
Figure 6. Dynamic stress–strain curves at different frequencies. (a) σ3 = 100 kPa. (b) σ3 = 200 kPa. (c) σ3 = 300 kPa.
Figure 6. Dynamic stress–strain curves at different frequencies. (a) σ3 = 100 kPa. (b) σ3 = 200 kPa. (c) σ3 = 300 kPa.
Applsci 14 00292 g006
Figure 7. Dynamic modulus of the elasticity-dynamic strain curves for different confining pressures. (a) f = 1 Hz. (b) f = 2 Hz. (c) f = 3 Hz.
Figure 7. Dynamic modulus of the elasticity-dynamic strain curves for different confining pressures. (a) f = 1 Hz. (b) f = 2 Hz. (c) f = 3 Hz.
Applsci 14 00292 g007
Figure 8. Dynamic elastic modulus-dynamic strain curves at different frequencies. (a) σ3 = 100 kPa. (b) σ3 = 200 kPa. (c) σ3 = 300 kPa.
Figure 8. Dynamic elastic modulus-dynamic strain curves at different frequencies. (a) σ3 = 100 kPa. (b) σ3 = 200 kPa. (c) σ3 = 300 kPa.
Applsci 14 00292 g008
Figure 9. Fitted curve for the dynamic elastic modulus Ed versus dynamic strain εd.
Figure 9. Fitted curve for the dynamic elastic modulus Ed versus dynamic strain εd.
Applsci 14 00292 g009
Figure 10. Curve for the initial dynamic modulus of elasticity E0 versus peripheral pressure σ3 and frequency f. (a) E0 and f relation curve. (b) E0 and σ3 relation curve.
Figure 10. Curve for the initial dynamic modulus of elasticity E0 versus peripheral pressure σ3 and frequency f. (a) E0 and f relation curve. (b) E0 and σ3 relation curve.
Applsci 14 00292 g010
Figure 11. Curves for different pressure λ ε d relationships. (a) f =1 Hz. (b) f =2 Hz. (c) f =3 Hz.
Figure 11. Curves for different pressure λ ε d relationships. (a) f =1 Hz. (b) f =2 Hz. (c) f =3 Hz.
Applsci 14 00292 g011
Figure 12. Curve for the λd relationship for different frequencies. (a) σ3 = 100 kPa. (b) σ3 = 200 kPa. (c) σ3 = 300 kPa.
Figure 12. Curve for the λd relationship for different frequencies. (a) σ3 = 100 kPa. (b) σ3 = 200 kPa. (c) σ3 = 300 kPa.
Applsci 14 00292 g012
Table 1. Basic physico-mechanical parameters of expansive soils.
Table 1. Basic physico-mechanical parameters of expansive soils.
W (%)WL (%)Wp (%) ρ d m a x   ( g /cm3)Fs (%)
1772301.744
Table 2. Parameters of PVA-1788.
Table 2. Parameters of PVA-1788.
H (mPa·s)D (Mole/%)V (%)AR (%)Ash (wt/%)
21.787.93.895.40.3
Table 3. Triaxial test program.
Table 3. Triaxial test program.
Groupσ3 (kPa)Dopant
11000%1%2%3%4%
22000%1%2%3%4%
33000%1%2%3%4%
Table 4. GDS dynamic triaxial test program.
Table 4. GDS dynamic triaxial test program.
Test NoPVA Dopant (%)Frequency (Hz)σ3 (kPa)
1-131100
1-22200
1-33300
2-131100
2-22200
2-33300
3-131100
3-22200
3-33300
Table 5. Adhesion cohesion c and angle of internal friction φ at different PVA dosages.
Table 5. Adhesion cohesion c and angle of internal friction φ at different PVA dosages.
PVA Dopant (%)01234
c (kPa)50.855.660.566.565.8
φ (°)16.4216.5916.8617.4517.29
Table 6. Modified soil dynamic elastic modulus and dynamic strain fitting parameters.
Table 6. Modified soil dynamic elastic modulus and dynamic strain fitting parameters.
Hz σ 3 = 10 0   kPa σ 3 = 20 0   kPa σ 3 = 30 0   kPa
E0 (MPa)ηdE0 (MPa)ηdE0 (MPa)ηd
142.740.6459.450.9890.411.33
250.720.7379.801.53106.761.71
359.260.8688.011.56126.332.17
Disclaimer/Publisher’s Note: The statements, opinions and data contained in all publications are solely those of the individual author(s) and contributor(s) and not of MDPI and/or the editor(s). MDPI and/or the editor(s) disclaim responsibility for any injury to people or property resulting from any ideas, methods, instructions or products referred to in the content.

Share and Cite

MDPI and ACS Style

Zhuang, X.; Zhang, B.; Li, X.; Yang, D.; Wen, W. Experimental Study of the Dynamic Characteristics of PVA-Amended Expansive Soils. Appl. Sci. 2024, 14, 292. https://doi.org/10.3390/app14010292

AMA Style

Zhuang X, Zhang B, Li X, Yang D, Wen W. Experimental Study of the Dynamic Characteristics of PVA-Amended Expansive Soils. Applied Sciences. 2024; 14(1):292. https://doi.org/10.3390/app14010292

Chicago/Turabian Style

Zhuang, Xinshan, Bowen Zhang, Xiaofei Li, Duan Yang, and Wu Wen. 2024. "Experimental Study of the Dynamic Characteristics of PVA-Amended Expansive Soils" Applied Sciences 14, no. 1: 292. https://doi.org/10.3390/app14010292

APA Style

Zhuang, X., Zhang, B., Li, X., Yang, D., & Wen, W. (2024). Experimental Study of the Dynamic Characteristics of PVA-Amended Expansive Soils. Applied Sciences, 14(1), 292. https://doi.org/10.3390/app14010292

Note that from the first issue of 2016, this journal uses article numbers instead of page numbers. See further details here.

Article Metrics

Back to TopTop