Next Article in Journal
How to Find Disruptions in Logistics Processes in the Cold Chain and Avoid Waste of Products?
Previous Article in Journal
The Potential of Blockchain Technology and Smart Contracts in the Energy Sector: A Review
 
 
Font Type:
Arial Georgia Verdana
Font Size:
Aa Aa Aa
Line Spacing:
Column Width:
Background:
Article

Synchronous Vibration Parameter Recognition of Constant-Speed Blades Based on Blade Tip Clearance Measurement

Faculty of Mechanical Engineering and Automation, Liaoning University of Technology, Jinzhou 121004, China
*
Author to whom correspondence should be addressed.
Appl. Sci. 2024, 14(1), 254; https://doi.org/10.3390/app14010254
Submission received: 10 November 2023 / Revised: 8 December 2023 / Accepted: 14 December 2023 / Published: 27 December 2023
(This article belongs to the Section Acoustics and Vibrations)

Abstract

:
A new method for the synchronous vibration parameter identification of constant-speed rotating blades based on blade tip clearance (BTC) measurement and blade tip timing (BTT) is introduced. A BTC sensor is used to measure the BTC when the blade tip passes through each sensor. The BTT method is used to determine whether the blade tip arrives in advance or lags. The geometric model between the BTC and the blade tip vibration displacement (BTVD) is established, and the BTVD of the blade tip passing through each sensor is obtained. Then, the nonlinear least squares method is used to determine the synchronous vibration parameters of the constant-speed rotating blade. The results show that with an increase in amplitude, the higher the accuracy of the vibration parameter identification proposed in this paper; with a decrease in the random error of the BTC measurement, the higher the accuracy of the vibration parameter identification proposed in this paper; with a decrease in the random error in the measurement of the blade disk dimensions, the higher the accuracy of the vibration parameter identification proposed in this paper. In addition, the smaller the ratio of the blade length to the blade disk radius, the higher the accuracy of the vibration parameter identification method introduced in this paper. Because the structure of the gas turbine compressor and turbine blade disk has a small blade disk ratio, the method proposed in this paper is suitable for the simultaneous vibration parameter identification of gas turbine compressor blades and turbine blades.

1. Introduction

The blade is an important part of blade rotating machinery. Ensuring the normal operation of the blade is the key to ensuring the normal working of impeller machinery.
When turbomachinery is running, the blade often vibrates violently in harsh environments. In such an environment and working condition, the performance and fatigue life of the blade are greatly reduced, which may eventually lead to the destruction of the turbomachinery and even lead to major accidents.
Therefore, in order to ensure that the abnormal operation of the blade can be detected in time and to determine the remaining service life of the turbine engine, it is necessary to monitor the operating status of the blade.
Of aeroengine failures, 60% can be attributed to vibration, of which 70% can be attributed to blade failure [1]. Therefore, online monitoring of blade vibration is needed to avoid accidents caused by vibration.
The BTC is the distance between the tip of the engine blade and the engine casing. With the continuous development of turbine technology, the accurate measurement of the BTC also puts forward higher requirements. In order to reduce the weight of the turbine, turbine blades are mostly small and thin. When the distance between the blade tip and the engine casing is too large, resulting in an increase in the leakage of the blade tip, the engine efficiency decreases, and in severe cases, it also causes engine wheezing. Relevant data indicate that more than one-third of aerodynamic loss is due to the blade clearance flow [2]. An increase in BTC by an amount equal to 1% of the blade length reduces the efficiency by 0.8–1.2% [3]. For every 0.0254 mm reduction in the BTC, the fuel consumption rate decreases by 0.1% and the exhaust gas temperature decreases by 1 °C [4]. The fuel consumption rate loss caused by the tip clearance accounts for about 67% of the total loss of the blade profile and clearance seal [5]. When the BTC is too small, friction occurs between the casing and the blade tip, which even causes damage to the engine. Therefore, it is necessary to monitor the gas turbine’s BTC online to detect abnormal operation in time and prevent accidents.
Existing BTC monitoring methods mainly include five kinds of methods: the discharge probe method [6,7], the optical fiber method [8,9,10,11,12], the capacitance method [13,14,15,16,17], the eddy current method [18,19,20,21] and the microwave method [22,23,24].
The first method, the discharge probe method, also known as the spark discharge method, is a gap-monitoring method based on the principle of spark discharge. The BTC value is measured with a discharge probe device combined with a mechanical displacement mechanism, and the maximum accuracy is 25 μm.
The second method, the optical fiber method, uses optical fiber sensors for the noncontact measurement of BTC values. The optical fiber method has the characteristics of high measurement accuracy, high sensitivity and a fast frequency response. However, the measurement system has a complex structure, is susceptible to optical surface contamination, achieves long-term measurement with difficulty, has poor heat resistance and has a high cost. According to different measurement principles, this method can be divided into optical fiber methods such as the reflection intensity method, the laser triangulation method and the Doppler frequency shift method, with a maximum accuracy of 10 μm.
The third method, the capacitance method, is based on the working principle of bipolar capacitance, in which the end face of the conductive blade to be measured and the core of the sensor probe form two plates of the capacitance, and the distance between the plates is the BTC value. The measurement of the BTC is realized by detecting the change in the capacitance value. According to the difference between the capacitance value and the electrical signal conversion method, this method can be divided into the DC method, the FM method and the AM method, and the highest accuracy can reach 15 μm.
The fourth method, the eddy current method, is based on the working principle of electromagnetic induction. When the measured blade passes through the excitation magnetic field, the magnetic flux changes, and the eddy current effect occurs in the blade. The induction coil in the sensor generates an electrical signal, and then the generated electrical signal output corresponds. The measurement of the BTC can be achieved via calibration to detect changes in electrical signals. According to the method of generating an excitation magnetic field, this method can be divided into the passive method and the active method, and the highest accuracy can reach 10 μm.
The fifth method, the microwave measurement method, is based on the working principle of short-range millimeter-wave ranging radar. The sensor installed in the casing sends out a microwave signal while receiving the reflected signal of the blade end face, and it realizes the BTC measurement by detecting the change in the signal frequency or amplitude. This method mainly includes the resonance frequency ranging method and the phase difference ranging method according to different measurement principles, and the highest accuracy can reach 25 μm.
The BTT is used to obtain the vibration parameters by processing the BTVD, but there are many uncertainties in the acquisition of the BTVD. One of the main uncertainties is the stable motion of the blade (i.e., the change in its average position and direction). The blade is deformed by the force during rotation [25,26,27], which affects the BTVD [28,29,30,31] and the BTC. Since this paper mainly studies the constant-speed synchronous vibration of a low-pressure compressor (low temperature) blade, only the constant deformation and vibration deformation of the blade under aerodynamic force and the deformation of the rotor under centrifugal force are considered. The BTVD is usually obtained by processing the time series, and the time series of the tip arrival is obtained by the BTT sensor. But in this paper, the BTVD is obtained by using the BTC to BTVD conversion method. The sensor obtains the BTC, rather than a time series of blade tip arrivals.
Purpose of the research: The modeling of the relationship between BTC and BTVD for vibration parameter identification by BTC.
A new method for synchronous vibration parameter identification of constant-speed rotating blades based on BTC measurement is proposed. By modeling the geometric relationship between the BTC and the BTVD, the BTC is associated with the BTVD. BTC was obtained using the existing BTC-monitoring methods. The BTVD was obtained by using the geometric model. Finally, the nonlinear least squares method is used to identify the synchronous vibration parameters of the rotating blade under constant-speed conditions.
This paper is organized as follows: the first part briefly introduces the BTC and its measurement method. The second part proposes a model for the geometric relationship between BTC and BTVD. The third part verifies the recognition accuracy of the method through numerical simulation. The fourth part verifies the feasibility of the method through experiments. Finally, some main conclusions are summarized in the fifth part.

2. Constant-Speed Blade Synchronous Vibration Parameter Recognition Based on BTC

In this paper, a new method for identifying the synchronous vibration parameters of constant-speed rotating blades based on BTC measurement is proposed. When the rotating blade does not vibrate, the blade tip passes through each BTC measurement sensor, and the BTC measured by each sensor is basically the same. When the blade vibrates, the BTC of the blade tip passing through each BTC measurement sensor is no longer the same but varies periodically. The BTC of the blade tip passing through each sensor is measured by each BTC-measuring sensor, and then BTVD is obtained. By geometrical modeling between BTC and BTVD, the measurements of BTC are transformed into the measurements of BTVD, and then the synchronous vibration parameters of the isotropic rotating blade are identified using the nonlinear least squares method [32,33,34,35].
The method used in this paper is the same as the BTT test scheme. The test system includes an infrared rotating phase sensor, eddy current BTC measurement sensor and the software and hardware of the signal acquisition, processing and analysis system.
The eddy current sensors are mounted on the sensor bracket. The serial number of the sensor is set to 0, 1, 2, …, n − 1. The sensor is TIPj (j = 0, 1, …, n − 1). The installation angle of each sensor relative to the Tip0 sensor is β 0 , β 1 , β 2 , … β n 1 ( β 0 = 0 ). The installation angle of the sensor j relative to the Tip0 sensor is β j (j = 0, 1, …, n − 1). θ j is the vibration angle of the blade tip when the blade tip passes through the TIPj. r is the static blade. r i is the deformed blade. R is the distance between the probe of the BTC measurement sensor and the rotation axis. e is the radius of the blade disk. The geometric model relationship between BTC and BTVD is shown in Figure 1 ((a) shows the geometric model of the relationship between BTC and BTVD when the blade tip arrives early. (b) is the geometric model of the relationship between BTC and BTVD when the blade tip arrives late. We will choose different models and formulas according to different blade arrival states).
As shown in Figure 1, the length of the blade in the static state is r . When the blade disk rotates at the speed Ω i , the deformation of the blade tip in the x and y directions is Δ x i and Δ y i , respectively. The length of the deformed blade is:
r i = ( r + Δ y i ) 2 + Δ x i 2 ,
The deformation angle of the blade is:
α i = arctan ( Δ x i r + Δ y i ) ,
When the blade tip passes through the BTC-measuring sensors Tip0, Tip1 and Tipn−1, the BTVD are y 0 , y 1 , , y n 1 , respectively. From the geometric relationship, it can be known that:
y 0 = r i θ 0 y 1 = r i θ 1 y n 1 = r i θ n 1 ,
In the formula: θ 0 , θ 1 , , θ n 1 are the blade tip vibration angles when the blade tip passes through the BTC measurement sensors Tip0, Tip1, , Tipn−1, respectively. According to the geometric relationship, the BTC values measured when the blade tip passes through the BTC-measuring sensors Tip0, Tip1 and Tipn−1 are h 0 , h 1 , and h n 1 , respectively, and satisfy the following formula (+ α i for early arrival of blade tips and − α i for late arrival of blade tips):
h 0 = R ( e + r i cos ( θ 0 ± α i ) ) 2 + ( r i sin ( θ 0 ± α i ) ) 2 h 1 = R ( e + r i cos ( θ 1 ± α i ) ) 2 + ( r i sin ( θ 1 ± α i ) ) 2 h n 1 = R ( e + r i cos ( θ n 1 ± α i ) ) 2 + ( r i sin ( θ n 1 ± α i ) ) 2
In the formula, R is the distance between the BTC-measuring sensor probe and the rotation axis and e is the radius of the blade disk. Substituting Equation (4) into Equation (3), we obtain (+ α i for early arrival of blade tips and − α i for late arrival of blade tips):
y 0 = r i arccos ( ( R h 0 ) 2 e 2 r i 2 2 e r i ) ± α i y 1 = r i arccos ( ( R h 1 ) 2 e 2 r i 2 2 e r i ) ± α i y n 1 = r i arccos ( ( R h n 1 ) 2 e 2 r i 2 2 e r i ) ± α i
Equation (5) converts the BTC measurement data into the BTVD data.
The displacement constant values of synchronous vibration of constant-speed blades obtained by different sensors are different, and the displacement expression is
y j = A sin ( N e Ω t j + ϕ ) + C     j = 0 , 1 , , n 1 ,
Let the time of a blade passing through the Tip0 sensor be t 0 = 0 , and the time of the blade passing through the other sensors be t j = β j   +   2 π k Ω . Where k is the number of rotations. Substituting it into Formula (6), we can obtain:
y j = A sin ( N e β j + ϕ ) + C ,
The expansion of (7) can be written as follows:
y j = A sin ( N e β j ) cos ϕ + A cos ( N e β j ) sin ϕ + C ,
Then, j = 0 , j = 1 , j = 2 , …, j = n 1 are substituted into Formula (8), respectively, and we can obtain:
y 0 = A sin ϕ + C y 1 = A cos ( N e β 1 ) sin ϕ + A sin ( N e β 1 ) cos ϕ + C y 2 = A cos ( N e β 2 ) sin ϕ + Asin ( N e β 2 ) cos ϕ + C y n 1 = A cos ( N e β n 1 ) sin ϕ + A sin ( N e β n 1 ) cos ϕ + C ,
Divide Equation (9) into matrix expression Y = B X , where the matrix forms of Y, B and X are:
Y = ( y 0 y 1 y 2 y n 2 y n 1 ) T ,
B = 1 0 1 cos ( N e β 1 ) sin ( N e β 1 ) 1 cos ( N e β 2 ) sin ( N e ϕ 2 ) 1 sin ( N e β n 1 ) sin ( N e β n 1 ) 1 ,
X = x 1 x 2 x 3 = A sin ϕ A cos ϕ C ,
From the matrix form of B and X, it can be seen that the matrix B contains an unknown parameter Ne, and the X vector contains three unknown parameters A, φ and C, with a total of four unknowns. Therefore, at least four eddy current sensors are needed to effectively solve the blade vibration parameters. The vibration frequency doubling Ne is a positive integer, and the frequency-doubling value of the vibration of the rotating blade is in a certain range. The frequency-doubling traversal is carried out. All the Ne values in the Ne range are substituted into the Y = B X , and the solution vector X k is obtained by the least squares method [36].
X k = ( B T B ) 1 B T Y ,
Substitute X k into Y = B X and define their residual E k with the actual vibration displacement Y:
E k = B X k Y ,
In the formula, E k = ( e k 0 e k 1 e k 2 e k n 1 ) T .
The error between the approximate value and the actual measured value is expressed by the variance S k of the residual E k :
S k = i = 0 n 1 e k i 2 n ,
Assuming that the blade undergoes N e 0 frequency-doubling synchronous vibration, the matrix B 0 and the solution vector X 0 corresponding to N e 0 satisfy Y = B X . When the ergodic frequency doubling N e k = N e 0 , the variance S k is the smallest, that is, in the whole frequency-doubling traversal process, the frequency doubling corresponding to the minimum value of S k is the actual vibration frequency doubling, and then the solution vector X is obtained. The formula of blade synchronous vibration parameters is as follows:
Vibration angular frequency ω :
ω = N e Ω ,
In the formula, Ω is the angular frequency of the rotational speed (for the convenience of the subsequent sections, the actual frequency is replaced by the angular frequency symbol).
Amplitude A :
A = x 1 2 + x 2 2 ,
where x1 is the first row of the solution vector X and x2 is the second row of the solution vector X .
Initial phase φ :
φ = arctan ( x 1 x 2 ) x 2 > 0 arctan ( x 1 x 2 ) + π x 2 < 0 ,
constant deflection C :
C = x 3 ,

3. Recognition Precision Verification

3.1. Effect of BTC Measurement Error on Recognition Precision

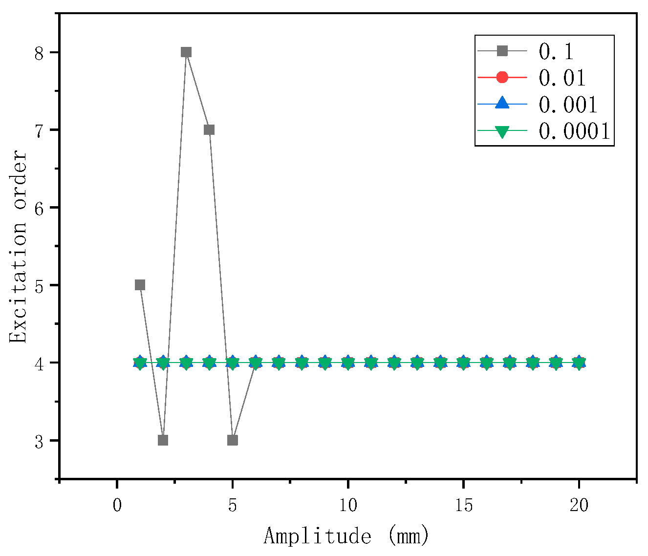
The identification accuracy of the above method is verified by numerical simulation. It is assumed that a single-frequency synchronous vibration occurs when the blade speed is 3000 rpm. The blade excitation order N e is 4, the amplitude A is 1–20 mm, the initial phase φ is 0 and the constant bias C is = 2 mm. Seven BTC sensors and a speed sensor are used to identify the blade vibration parameters. The installation angles of the sensors are 0°, 18.4°, 36°, 56°, 72.3°, 119.5° and 238.9°, respectively, as shown in Figure 2. When the blade length r is 50 mm, the radius of the blade disk e is 150 mm, and the distance between the tip of the BTC sensor and the rotation axis R is 202 mm. The measured values of the BTC sensor introduce ±0.1 mm, ±0.01 mm, ±0.001 mm and ±0.0001 mm, respectively, and have a uniformly distributed random error. The results of excitation order identification under different random errors and amplitude conditions are shown in Figure 3. When the random error of the BTC measurement is less than ±0.01 mm, the excitation order is accurately identified as 4 using the above method. When the amplitude is greater than 6 mm and the random error of the BTC measurement is less than ±0.1 mm, the excitation order is accurately identified as 4 using the above method. As the random error of BTC measurement decreases, the accuracy of vibration parameter identification of this method increases.
The measured value of the BTC with an amplitude A of 1 mm is shown in Table 1, and the excitation order recognition result is shown in Figure 4. The measured values of BTC with the amplitude A of 6 mm are shown in Table 2, and the results of excitation order recognition are shown in Figure 5.
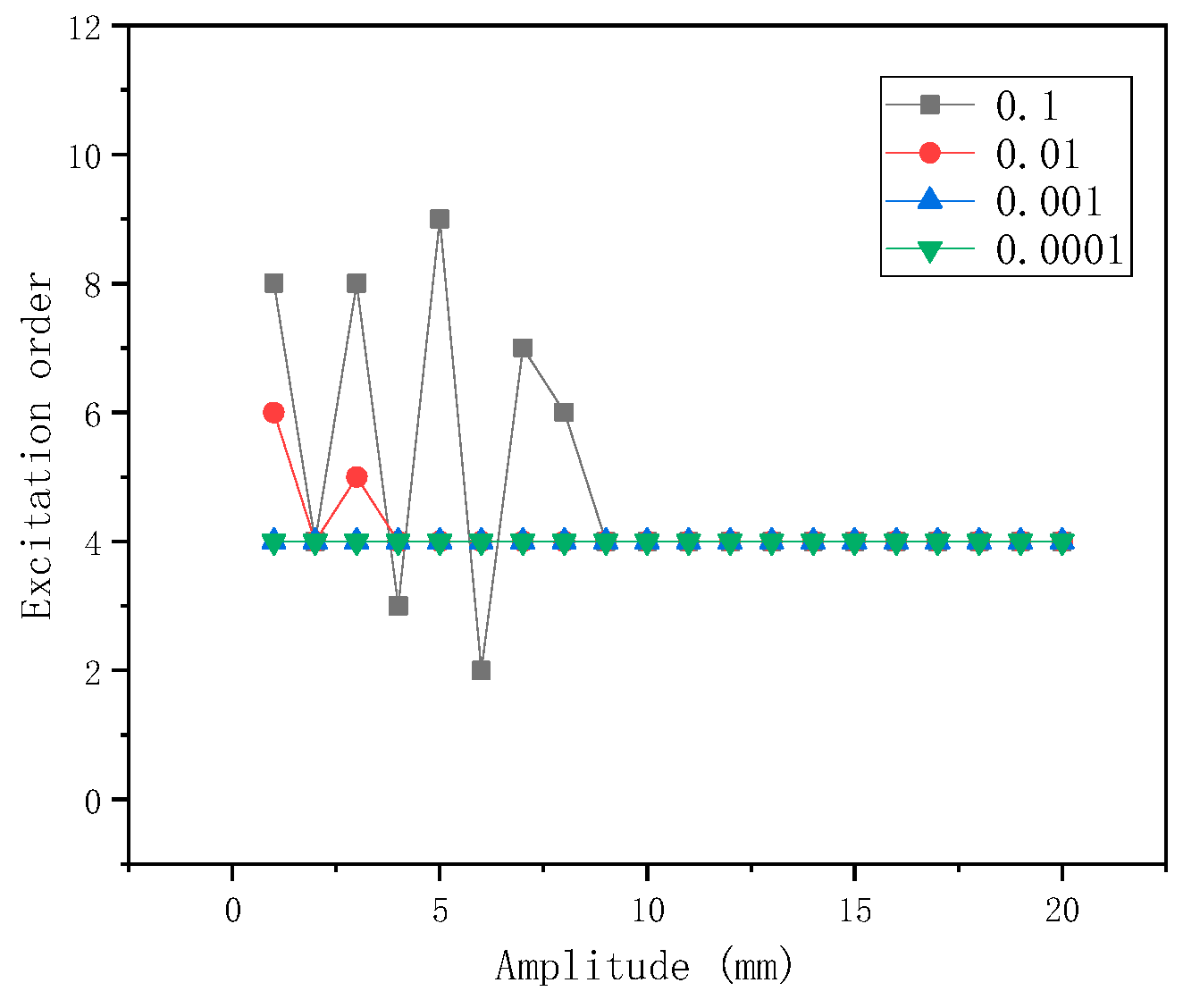
When the blade length r is 100 mm, the blade disk radius e is 100 mm, the distance between the tip of the BTC sensor and the rotation axis R is 202 mm. The measured values of the BTC sensor introduce ±0.1 mm, ±0.01 mm, ±0.001 mm and ±0.0001 mm, respectively, and have a uniformly distributed random error. The results of excitation order identification under different random errors and amplitude conditions are shown in Figure 6. When the random error of the BTC measurement is less than ±0.001 mm, the excitation order is accurately identified as 4 using the above method. When the amplitude is greater than 4 mm and the random error of BTC measurement is less than ±0.01 mm, the excitation order is accurately identified as 4 using the above method. When the amplitude is greater than 9 mm and the random error of BTC measurement is less than ±0.1 mm, the excitation order is accurately identified as 4 using the above method. As the random error of BTC measurement decreases, the accuracy of vibration parameter identification by this method increases.
The measured values of BTC with an amplitude A of 1 mm are shown in Table 3, and the results of excitation order recognition are shown in Figure 7. The measured values of BTC with an amplitude A of 4 mm are shown in Table 4, and the results of excitation order recognition are shown in Figure 8. The measured values of BTC with an amplitude A of 9 mm are shown in Table 5, and the results of excitation order recognition are shown in Figure 9.
When the blade length r is 150 mm, the radius of the blade disk e is 50 mm, and the distance between the tip of the BTC sensor and the rotation axis R is 202 mm. The measured values of the BTC sensor introduce ±0.1 mm, ±0.01 mm, ±0.001 mm and ±0.0001 mm, respectively, and have a uniformly distributed random error. The results of excitation order identification under different random errors and amplitude conditions are shown in Figure 10. When the random error of the BTC measurement is less than ±0.001 mm, the excitation order is accurately identified as 4 using the above method. When the amplitude is greater than 9 mm and the random error of the BTC measurement is less than ±0.01 mm, the excitation order is accurately identified as 4 using the above method. When the amplitude is greater than 16 mm and the random error of the BTC measurement is less than ±0.1 mm, the excitation order is accurately identified as 4 using the above method. As the random error of BTC measurement decreases, the accuracy of vibration parameter identification of this method increases.
The measured values of the BTC with an amplitude A of 1 mm are shown in Table 6, and the results of the excitation order recognition are shown in Figure 11. The measured values of the BTC with an amplitude A of 9 mm are shown in Table 7, and the results of the excitation order recognition are shown in Figure 12. The measured values of the BTC with an amplitude A of 16 mm are shown in Table 8, and the results of the excitation order recognition are shown in Figure 13.

3.2. Influence of Measurement Error of Blade Disk Size on Recognition Precision

The identification accuracy of the above method is verified by numerical simulation. It is assumed that a single-frequency synchronous vibration occurs when the blade speed is 3000 rpm. The blade vibration order N e is 4, the amplitude A is 1 mm, the initial phase φ is 0 and the constant bias C is 2 mm. Seven BTC sensors and a speed sensor are used to identify the blade vibration parameters. The installation angles of the sensors are 0°, 18.4°, 36°, 56°, 72.3°, 119.5° and 238.9°, respectively. When the blade length r is 50 mm, the radius of the blade disk e is 150 mm, and the distance between the tip of the BTC sensor and the rotation axis R is 202 mm. The measured values of the blade disk size introduce uniform distribution random errors of ±0.1 mm, ±0.01 mm, ±0.001 mm and ±0.0001 mm, respectively. The centrifugal force will increase the size of the blade disk, so only the influence of the positive error on the recognition accuracy is considered. The blade disk size error value is positive, as shown in Table 9. The results of excitation order identification under different random error conditions are shown in Figure 14. When the error value of the blade disk size is less than 0.1 mm, the excitation order is accurately identified as 4 using the above method.
When the blade length r is 100 mm, the radius of the blade disk e is 100 mm, and the distance between the tip of the BTC sensor and the rotation axis R is 202 mm. The measured values of blade disk dimensions introduce uniform distribution random errors of ±0.1 mm, ±0.01 mm, ±0.001 mm and ±0.0001 mm, respectively. The error value of the blade disk size is positive, as shown in Table 10. The results of excitation order identification under different random error conditions are shown in Figure 15. When the error value of the blade disk size does not exceed 0.1 mm, the excitation order is accurately identified as 4 using the above method.
When the blade length r is 150 mm, the blade disk radius e is 50 mm, and the distance between the tip of the BTC sensor and the rotation axis R is 202 mm. The measured values of the blade disk size introduce uniform distribution random errors of ±0.1 mm, ±0.01 mm, ±0.001 mm and ±0.0001 mm, respectively. The error value of the blade disk size is positive, as shown in Table 11. The results of excitation order identification under different random error conditions are shown in Figure 16. When the error value of the blade disk size is less than 0.1 mm, the excitation order is accurately identified as 4 using the above method.

3.3. Analysis of the Effect of Different r/e on Recognition Precision

Different ratios of blade length to disk radius reflect different blade disk structures. In this section, the influence of different ratios of blade length to disk radius on the accuracy of vibration parameter identification is analyzed when the measured values of the BTC sensor are introduced to ±0.1 mm, ±0.01 mm, ±0.001 mm and ±0.0001 mm, respectively. Table 12, Table 13, Table 14 and Table 15 show the identification results of different r/e ratios when the random errors of ±0.1 mm, ±0.01 mm, ±0.001 mm and ±0.0001 mm uniform distribution are introduced into the measured values of the BTC sensor. It can be seen from Table 12, Table 13, Table 14 and Table 15 and Figure 17, Figure 18, Figure 19 and Figure 20 that when r/e is 1/3, the recognition accuracy of excitation order, amplitude and constant deviation is the highest. Within the allowable random error range of measurement, the smaller the ratio of blade length to disk radius r/e, the higher the accuracy of the vibration parameter identification method introduced in this paper.

4. Experiment Results and Analysis

In order to verify the feasibility of this method, the vertical axis integrated blade turntable is used in this experiment, as shown in Figure 21. The speed of the blade is controlled by a servo motor. The data collector collects the voltage changes perceived by the blade tip when it passes through the sensor and processes them to obtain BTC. When the integrated blade with a blade length of 40 mm and a disk radius of 40 mm works at a speed of 3000 rpm, four BTC sensors and a speed sensor are used for monitoring. The installation angles of the four BTC sensors are 0°, 15°, 29°, 43°. The BTC values measured by each BTC sensor are shown in Table 16. Using the parameter identification method introduced in this paper, the results are shown in Table 17 and Figure 22.
The above data show that the method can identify the synchronous vibration parameters of the constant-speed rotating linear blade, and the identified vibration parameters are within a reasonable range. When using this method, we need to obtain the deformation of the blade in advance. Due to the limitations of experimental equipment, we cannot obtain the actual deformation of the blade. Therefore, we obtain the deformation of the blade by calculation. If the actual deformation of the blade can be obtained, the method proposed in this paper can obtain more accurate identification results. Therefore, the vibration parameter identification method proposed in this paper is feasible in the synchronous vibration parameter identification of a blade with constant speed.

5. Conclusions

In this paper, a new method for the identification of synchronous vibration parameters of constant-speed rotating blades based on BTC measurement is proposed. By establishing a geometric model between BTC and BTVD, BTC is associated with BTVD. Through the existing BTC-monitoring method, the BTC of the blade tip passing through each sensor is obtained. The BTT method is used to determine whether the blade tip arrives in advance or with lag, and then the geometric model is used to obtain BTVD. Finally, the nonlinear least squares method is used to identify the synchronous vibration parameters of the constant-speed rotating blade. And the identification accuracy of the method is verified by numerical simulation. The conclusions are described as follows: with an increase in amplitude, the higher the accuracy of the vibration parameter identification proposed in this paper; with a decrease in the random error of the BTC measurement, the higher the accuracy of the vibration parameter identification proposed in this paper; with a decrease in the random error in the measurement of the blade disk dimensions, the higher the accuracy of the vibration parameter identification proposed in this paper; the smaller the ratio of blade length to the disk radius, the higher the accuracy of the vibration parameter identification method introduced in this paper. Since the compressor and turbine blade disk structures have a small r/e ratio, the method proposed in this paper is suitable for the identification of synchronous vibration parameters of compressor blades and turbine blades. In the future, we will analyze the uncertain factors such as temperature and centrifugal force measurement at different speeds and carry out statistical analysis to gradually improve this method. With the development of the BTC measurement method and our research, the recognition accuracy of this method will also be improved. This method will be applicable to identification of all rotating blade vibration parameters.

Author Contributions

Conceptualization, L.Z.; methodology L.Z.; software, Y.X.; validation, L.Z.; formal analysis, Y.X.; investigation, C.C.; data curation, Y.X.; writing—original draft preparation, L.Z.; writing—review and editing, L.Z., Y.X. and J.C.; visualization, Q.S.; supervision, L.Z.; project administration, L.Z. All authors have read and agreed to the published version of the manuscript.

Funding

The work is supported by National Natural Science Foundation of China (Grant No. 51505206), Liaoning Province Applied Basic Research Program Project (Grant No. 2023JH2/101300227), Key Laboratory of Vibration and Control of Aero-Propulsion System, Ministry of Education, Northeastern University (Grant No. VCAME202211), Liaoning Provincial Natural Science Foundation Guidance Program Project (Grant No. 2019-ZD-0694), Liaoning Provincial Department of Education Scientific Research General Project (Grant No. L2014246) and Liaoning University of Technology Teacher Research Start Fund Project (Grant No. X201202).

Institutional Review Board Statement

Not applicable.

Informed Consent Statement

Not applicable.

Data Availability Statement

The data used to support the findings of this paper are available from the corresponding author upon request. The data are not publicly available due to privacy.

Conflicts of Interest

The authors declared no conflicts of interest.

References

  1. Amoo, L.M. On the design and structural analysis of jet engine fan blade structures. Prog. Aerosp. Sci. 2013, 60, 1–11. [Google Scholar] [CrossRef]
  2. Wu, J.; Wen, B.; Zhang, Q.; Zhou, Y.; Ding, S.; Du, F.; Zhang, S.; Wang, Z. A novel blade tip clearance measurement method based on event capture technique. Mech. Syst. Signal Process. 2020, 139, 106626. [Google Scholar] [CrossRef]
  3. Booth, T.C.; Dodge, P.R.; Hepworth, H.K. Rotor-Tip Leakage: Part I-Basic Methodology. J. Eng. Gas Turbines Power 1982, 104, 154–161. [Google Scholar] [CrossRef]
  4. Zhou, X.; Zhang, H.; Wang, J.; Ning, J. Research on Turbine Tip Clearance Modeling Considering Active Tip Clearance Control. J. Propuls. Technol. 2015, 36, 1093. [Google Scholar]
  5. Wiseman, M.W.; Guo, T.H. An investigation of life extending control techniques for gas turbine engines. In Proceedings of the 2001 American Control Conference, Arlington, VA, USA, 25–27 June 2001. [Google Scholar]
  6. Watanabe, T. Measurement of Tip Clearance of All Blades and the Maximum Tip Clearance Using Discharge-Type Tip Clearance Measurement System. Trans. Jpn. Soc. Mech. Eng. 2001, 67, 1478–1483. [Google Scholar] [CrossRef]
  7. Yu, B.; Zhang, T.; Ke, H.; Zhang, T. Research on the Tip Clearance Measuring Method Based on AC Discharge. IEEE Access 2020, 8, 60355–60363. [Google Scholar] [CrossRef]
  8. Binghui, J.; Lei, H. An Optical Fiber Measurement System for Blade Tip Clearance of Engine. Int. J. Aerosp. Eng. 2017, 2017, 4168150. [Google Scholar] [CrossRef]
  9. Dhadwal, H.S.; Mehmud, A.; Khan, R.; Kurkov, A. Integrated fiber optic light probe: Measurement of static deflections in rotating turbomachinery. Rev. Sci. Instrum. 1996, 67, 546–552. [Google Scholar] [CrossRef]
  10. García, I.; Beloki, J.; Zubia, J.; Aldabaldetreku, G.; Illarramendi, M.A.; Jiménez, F. An Optical Fiber Bundle Sensor for Tip Clearance and Tip Timing Measurements in a Turbine Rig. Sensors 2013, 13, 7385–7398. [Google Scholar] [CrossRef]
  11. Durana, G.; Amorebieta, J.; Fernandez, R.; Beloki, J.; Arrospide, E.; Garcia, I.; Zubia, J. Design, Fabrication and Testing of a High-Sensitive Fibre Sensor for Tip Clearance Measurements. Sensors 2018, 18, 2610. [Google Scholar] [CrossRef]
  12. Ford, M.J.; Honeycutt, R.E.; Nordlund, R.E.; Robinson, W.W. Advanced Optical Blade Tip Clearance Measurement System; NASA: Washington, DC, USA, 1978. [Google Scholar]
  13. Addabbo, T.; Fort, A.; Mugnaini, M.; Vignoli, V.; Cioncolini, S.; Marrazzo, M. A system for the dynamic response characterization of turbomachinery tip clearance measurement instruments based on capacitive probes. In Proceedings of the 2015 Sensors Applications Symposium (SAS), Zadar, Croatia, 13–15 April 2015; pp. 1–5. [Google Scholar]
  14. Li, J.; Guo, G.; Duan, F.J.; Niu, G.; Shao, X.; Zhou, C.; Shi, X.; Zhong, Z. A novel self-adaptive multi-peak detection algorithm for blade tip clearance measurement based on the capacitive probe. Meas. Sci. Technol. 2020, 32, 085006. [Google Scholar] [CrossRef]
  15. Satish, T.N.; Vivek, A.; Anagha, S.N.; Rao, A.N.V.; Uma, G.; Umapathy, M.; Chandrasekhar, U.; Kiran, G. Novel resistor-capacitor (RC) network- based capacitance signal conditioning circuit for tip clearance measurement on gas turbine engine. Proc. Inst. Mech. Eng. 2020, 234, 342–360. [Google Scholar] [CrossRef]
  16. Sheard, A.G. Blade by Blade Tip Clearance Measurement. Int. J. Rotating Mach. 2011, 2011, 516128. [Google Scholar] [CrossRef]
  17. Chivers, J.W.H. A technique for the measurement of blade tip clearance in a gas turbine. In Proceedings of the 25th Joint Propulsion Conference, Monterey, CA, USA, 12–16 July 1989. [Google Scholar]
  18. Jiao, D.; Ni, L.; Zhu, X.; Zhe, J.; Zhao, Z.; Lyu, Y.; Liu, Z. Measuring gaps using planar inductive sensors based on calculating mutual inductance. Sens. Actuators A Phys. 2019, 295, 59–69. [Google Scholar] [CrossRef]
  19. Roeseler, C.; Flotow, A.V.; Tappert, P. Monitoring blade passage in turbomachinery through the engine case (no holes). In Proceedings of the IEEE Aerospace Conference, Big Sky, MT, USA, 9–16 March 2002. [Google Scholar]
  20. Wu, J.; Wen, B.; Zhou, Y.; Zhang, Q.; Ding, S.; Du, F.; Zhang, S. Eddy Current Sensor System for Blade Tip Clearance Measurement Based on a Speed Adjustment Model. Sensors 2019, 19, 761. [Google Scholar] [CrossRef] [PubMed]
  21. Rickman, J., Jr. Eddy current turbocharger blade speed detection. IEEE Trans. Magn. 1982, 18, 1014–1021. [Google Scholar] [CrossRef]
  22. Maslovskiy, A.; Bakulin, M.; Snitko, M. Microwave Blade Tip Clearance Measurements: Principles, Current Practices and Future Opportunities. In Proceedings of the ASME Turbo Expo 2012: Turbine Technical Conference & Exposition, Copenhagen, Denmark, 11–15 June 2012. [Google Scholar]
  23. Schicht, A.; Huber, K.; Ziroff, A.; Willsch, M.; Schmidt, L.P. Absolute Phase-Based Distance Measurement for Industrial Monitoring Systems. IEEE Sens. J. 2009, 9, 1007–1013. [Google Scholar] [CrossRef]
  24. Zhai, D.; Xie, M.; Yuan, J.; Liu, S. Application of High Level Synthesis in the Blade Tip Clearance Measurement System. In Proceedings of the 2018 11th International Congress on Image and Signal Processing, BioMedical Engineering and Informatics (CISP-BMEI), Beijing, China, 13–15 October 2018. [Google Scholar]
  25. Zhang, X.; Wang, W.; Chen, K.; Li, W.; Zhang, D.; Tian, L. Five dimensional movement measurement method for rotating blade based on blade tip timing measuring point position tracking. Mech. Syst. Signal Process. 2021, 161, 107898. [Google Scholar] [CrossRef]
  26. Naeem, M.T.; Jazayeri, S.A.; Rezamahdi, N.; Toosi, K. Failure analysis of gas turbine blades. In Proceedings of the 2008 IAJC-IJME International Conference, Nashville, TN, USA, 17–19 November 2008. [Google Scholar]
  27. Xu, L. A Study on the Structural Characteristics of the Blades of Wind Turbines under Static Load Condition. J. Phys. Conf. Ser. 2023, 2474, 012043. [Google Scholar] [CrossRef]
  28. Mohamed, M.; Bonello, P.; Russhard, P. A novel method for the determination of the change in blade tip timing probe sensing position due to steady movements. Mech. Syst. Signal Process. 2019, 126, 686–710. [Google Scholar] [CrossRef]
  29. Ren, S.; Xiang, X.; Zhao, W.; Zhao, Q.; Wang, C.; Xu, Q. An error correction blade tip-timing method to improve the measured accuracy of blade vibration displacement during unstable rotation speed. Mech. Syst. Signal Process. 2022, 162, 108030. [Google Scholar] [CrossRef]
  30. Liu, M.; Teng, G.; Xiao, X. Vibration measurement of turbine rotor blades of aero-engine based on blade tip-timing. J. Aerosp. Power 2020, 35, 1954–1963. [Google Scholar]
  31. Meng, Y.; Xiao, Z.; Ouyang, H. High-accuracy experimental analysis and correction of blade tip timing measurement error. J. Aerosp. Power 2023, 39, 20220475. [Google Scholar]
  32. Zhang, L.; Wang, Q.; Li, X. Vibration Parameters Identification of Rotating Blades Based on Blade Tip-Timing Sensor Waveforms. Appl. Sci. 2023, 13, 5920. [Google Scholar] [CrossRef]
  33. Lawson, C.; Ivey, P. Tubomachinery blade vibration amplitude measurement through tip timing with capacitance tip clearance probes. Sens. Actuators A Phys. 2005, 118, 14–24. [Google Scholar] [CrossRef]
  34. Yu, B.; Ke, H.; Shen, E.; Zhang, T. A review of blade tip clearance–measuring technologies for gas turbine engines. Meas. Control 2020, 53, 339–357. [Google Scholar] [CrossRef]
  35. Rigosi, G.; Battiato, G.; Berruti, T.M. Synchronous vibration parameters identification by tip timing measurements. Mech. Res. Commun. 2017, 79, 7–14. [Google Scholar] [CrossRef]
  36. Ouyang, T. Rotating Blade Vibration Detection and Parameters Identification Technique Using Blade Tip-Timing. Ph.D. Thesis, Tianjin University, Tianjin, China, 2011. [Google Scholar]
Figure 1. Geometric model between BTC and BTVD, (a) the blade tip arrives early. (b) The blade tip arrives late.
Figure 1. Geometric model between BTC and BTVD, (a) the blade tip arrives early. (b) The blade tip arrives late.
Applsci 14 00254 g001
Figure 2. Sensor Installation Diagram.
Figure 2. Sensor Installation Diagram.
Applsci 14 00254 g002
Figure 3. Result of excitation order recognition when A is 1–20 mm.
Figure 3. Result of excitation order recognition when A is 1–20 mm.
Applsci 14 00254 g003
Figure 4. Result of excitation order recognition when A is 1 mm.
Figure 4. Result of excitation order recognition when A is 1 mm.
Applsci 14 00254 g004
Figure 5. Result of excitation order recognition when A is 6 mm.
Figure 5. Result of excitation order recognition when A is 6 mm.
Applsci 14 00254 g005
Figure 6. Result of excitation order recognition when A is 1–20 mm.
Figure 6. Result of excitation order recognition when A is 1–20 mm.
Applsci 14 00254 g006
Figure 7. Result of excitation order recognition when A is 1 mm.
Figure 7. Result of excitation order recognition when A is 1 mm.
Applsci 14 00254 g007
Figure 8. Result of excitation order recognition when A is 4 mm.
Figure 8. Result of excitation order recognition when A is 4 mm.
Applsci 14 00254 g008
Figure 9. Result of excitation order recognition when A is 9 mm.
Figure 9. Result of excitation order recognition when A is 9 mm.
Applsci 14 00254 g009
Figure 10. Result of excitation order recognition when A is 1–20 mm.
Figure 10. Result of excitation order recognition when A is 1–20 mm.
Applsci 14 00254 g010
Figure 11. Result of excitation order recognition when A is 1 mm.
Figure 11. Result of excitation order recognition when A is 1 mm.
Applsci 14 00254 g011
Figure 12. Result of excitation order recognition when A is 9 mm.
Figure 12. Result of excitation order recognition when A is 9 mm.
Applsci 14 00254 g012
Figure 13. Result of excitation order recognition when A is 16 mm.
Figure 13. Result of excitation order recognition when A is 16 mm.
Applsci 14 00254 g013
Figure 14. Result of excitation order recognition when A is 1 mm.
Figure 14. Result of excitation order recognition when A is 1 mm.
Applsci 14 00254 g014
Figure 15. Result of excitation order recognition when A is 1 mm.
Figure 15. Result of excitation order recognition when A is 1 mm.
Applsci 14 00254 g015
Figure 16. Result of excitation order recognition when A is 1 mm.
Figure 16. Result of excitation order recognition when A is 1 mm.
Applsci 14 00254 g016
Figure 17. Amplitude error.
Figure 17. Amplitude error.
Applsci 14 00254 g017
Figure 18. Initial phase error.
Figure 18. Initial phase error.
Applsci 14 00254 g018
Figure 19. Constant bias error.
Figure 19. Constant bias error.
Applsci 14 00254 g019
Figure 20. Number of times Ne was accurately identified.
Figure 20. Number of times Ne was accurately identified.
Applsci 14 00254 g020
Figure 21. Vertical axis integrated blade-monitoring station.
Figure 21. Vertical axis integrated blade-monitoring station.
Applsci 14 00254 g021
Figure 22. Result of excitation order recognition.
Figure 22. Result of excitation order recognition.
Applsci 14 00254 g022
Table 1. Measured BTC values when A is 1 (mm). (“+” for early arrival).
Table 1. Measured BTC values when A is 1 (mm). (“+” for early arrival).
Random ErrorTip0Tip1Tip2Tip3Tip4Tip5Tip6
±10−1 mm2+2.1+2+1.9+1.9+2+2.1+
±10−2 mm2.02+2.05+2.04+2.02+2.00+2.06+2.00
±10−3 mm2.027+2.062+2.047+2.012+2.005+2.058+2.006
±10−4 mm2.0263+2.0620+2.0466+2.0119+2.0047+2.0589+2.0069
Theoretical value2.026431+2.062105+2.046652+2.011877+ 2.004789+ 2.058760+ 2.006784+
Table 2. Measured BTC values when A is 6 (mm). (“+” for early arrival, “−” for late arrival).
Table 2. Measured BTC values when A is 6 (mm). (“+” for early arrival, “−” for late arrival).
Random ErrorTip0Tip1Tip2Tip3Tip4Tip5Tip6
±10−1 mm2.1+2.4+2.3+2.0−2.1−2.4+2.2−
±10−2 mm2.02+2.44+2.23+2.01−2.11−2.40+2.06−
±10−3 mm2.027+2.447+2.226+2.011−2.097−2.396+2.061−
±10−4 mm2.0263+2.4471+2.2255+2.0108−2.0973−2.3956+2.0618−
Theoretical value2.026431+2.447168+2.225410+2.010910−2.097201−2.395526+2.061706−
Table 3. Measured BTC values when A is 1 (mm). (“+” for early arrival).
Table 3. Measured BTC values when A is 1 (mm). (“+” for early arrival).
Random ErrorTip0Tip1Tip2Tip3Tip4Tip5Tip6
±10−1 mm2+2.1+1.9+2+2.1+2+2.1+
±10−2 mm2.01+2.01+2.02+2.01+2.01+2.01+2.00+
±10−3 mm2.005+2.017+2.014+2.000+1.998+2.017+1.998+
±10−4 mm2.0058+2.0178+2.0126+2.0010+1.9986+2.0165+1.9991+
Theoretical value2.005770+2.017662+2.012511+2.000917+1.998557+2.016548+1.999222+
Table 4. Measured BTC values when A is 4 (mm). (“+” for early arrival, “−” for late arrival).
Table 4. Measured BTC values when A is 4 (mm). (“+” for early arrival, “−” for late arrival).
Random ErrorTip0Tip1Tip2Tip3Tip4Tip5Tip6
±10−1 mm2.0+2.2+2.1+2.0−2.1−2.0+2.0−
±10−2 mm2.02+2.09+2.05+2.00−2.00−2.08+1.99−
±10−3 mm2.007+2.081+2.044+1.996−2.005−2.073+1.999−
±10−4 mm2.0058+2.0810+2.0431+1.9958−2.0037−2.0723+2.0001−
Theoretical value2.005770+2.080943+2.043096+1.995940−2.003669−2.072262+1.999998−
Table 5. Measured BTC values when A is 9 (mm). (“+” for early arrival, “−” for late arrival).
Table 5. Measured BTC values when A is 9 (mm). (“+” for early arrival, “−” for late arrival).
Random ErrorTip0Tip1Tip2Tip3Tip4Tip5Tip6
±10−1 mm2.0+2.3+2.2+2.0−2.1−2.3+2.2−
±10−2 mm2.01+2.27+2.12+2.02−2.10−2.25+2.08−
±10−3 mm2.006+2.278+2.128+2.021−2.101−2.242+2.070−
±10−4 mm2.0058+2.2783+2.1287+2.0195−2.1013−2.2429+2.0693−
Theoretical value2.005770+2.278381+2.128610+2.019557−2.101359−2.243037+2.069367−
Table 6. Measured BTC values when A is 1 (mm). (“+” for early arrival).
Table 6. Measured BTC values when A is 1 (mm). (“+” for early arrival).
Random ErrorTip0Tip1Tip2Tip3Tip4Tip5Tip6
±10−1 mm1.9+2.0+2.0+2.1+2.1+1.9+1.9+
±10−2 mm2.00+1.99+2.00+2.00+1.99+1.99+2.01+
±10−3 mm2.001+2.005+2.003+1.998+1.999+2.004+1.997+
±10−4 mm2.0002+2.0043+2.0024+1.9986+1.9978+2.0040+1.9980+
Theoretical value2.000286+2.004251+2.002533+1.998668+1.997881+2.003879+1.998102+
Table 7. Measured BTC values when A is 9 (mm). (“+” for early arrival, “−” for late arrival).
Table 7. Measured BTC values when A is 9 (mm). (“+” for early arrival, “−” for late arrival).
Random ErrorTip0Tip1Tip2Tip3Tip4Tip5Tip6
±10−1 mm2.1+2.0+2.0+1.9−2.0−2.1+2.0−
±10−2 mm2.00+2.08+2.04+2.00−2.02−2.08+2.02−
±10−3 mm2.000+2.092+2.042+2.006−2.031−2.078+2.021−
±10−4 mm2.0004+2.0913+2.0412+2.0049−2.0320−2.0795+2.0215−
Theoretical value2.000286+2.091168+2.041237+2.004879−2.032146−2.079385+2.021482−
Table 8. Measured BTC values when A is 16 (mm). (“+” for early arrival, “−” for late arrival).
Table 8. Measured BTC values when A is 16 (mm). (“+” for early arrival, “−” for late arrival).
Random ErrorTip0Tip1Tip2Tip3Tip4Tip5Tip6
±10−1 mm2.0+2.1+2.2+2.1−2.1−2.2+2.1−
±10−2 mm1.99+2.26+2.12+2.05−2.15−2.20+2.11−
±10−3 mm1.999+2.247+2.104+2.037−2.140−2.213+2.102−
±10−4 mm2.0004+2.2478+2.1053+2.0382−2.1402−2.2136+2.1014−
Theoretical value2.000286+2.247653+2.105317+2.038239−2.140128−2.213598+2.101489−
Table 9. Blade disk value measured (mm).
Table 9. Blade disk value measured (mm).
Random Error±10−1 mm±10−2 mm±10−3 mm±10−4 mmTheoretical Value
Error value 150.1150.01150.001150.0001150
Table 10. Blade disk value measured (mm).
Table 10. Blade disk value measured (mm).
Random Error±10−1 mm±10−2 mm±10−3 mm±10−4 mmTheoretical Value
Error value 100.1100.01100.001100.0001100
Table 11. Blade disk value measured (mm).
Table 11. Blade disk value measured (mm).
Random Error±10−1 mm±10−2 mm±10−3 mm±10−4 mmTheoretical Value
Error value 50.150.0150.00150.000150
Table 12. Recognition results of different r/e when the random error of the BTC measurement is ±10−1 mm.
Table 12. Recognition results of different r/e when the random error of the BTC measurement is ±10−1 mm.
r / e 1/313
N e 1023
A 3.7188 3.9551 3.6252
φ −1.1269 0.4862 −0.1908
C 1.7899 3.8985 5.4712
Table 13. Recognition results of different r/e when the random error of the BTC measurement is ±10−2 mm.
Table 13. Recognition results of different r/e when the random error of the BTC measurement is ±10−2 mm.
r / e 1/313
N e 467
A 1.0688 0.5331 1.6587
φ −1.4150 0.3830 −1.1116
C 1.8062 2.5542 1.6169
Table 14. Recognition results of different r/e when the random error of the BTC measurement is ±10−3 mm.
Table 14. Recognition results of different r/e when the random error of the BTC measurement is ±10−3 mm.
r / e 1/313
N e 444
A 1.0024 1.1090 1.2306
φ 1.5565 −1.5511 1.2690
C 1.9995 1.9301 2.0167
Table 15. Recognition results of different r/e when the random error of the BTC measurement is ±10−4 mm.
Table 15. Recognition results of different r/e when the random error of the BTC measurement is ±10−4 mm.
r / e 1/313
N e 444
A 0.9998 1.0032 1.0306
φ −1.5665 1.5677 1.5689
C 1.9990 2.0025 1.9782
Table 16. Measured BTC values (mm).
Table 16. Measured BTC values (mm).
SensorsTip0Tip1Tip2Tip3
Measured value (mm)0.19
(early arrival)
0.21
(late arrival)
0.21
(early arrival)
0.20
(early arrival)
Table 17. Recognition results of blade tip parameters.
Table 17. Recognition results of blade tip parameters.
Vibration Parameters N e A ϕ C
Recognition results82.5907−1.5487−0.1453
Disclaimer/Publisher’s Note: The statements, opinions and data contained in all publications are solely those of the individual author(s) and contributor(s) and not of MDPI and/or the editor(s). MDPI and/or the editor(s) disclaim responsibility for any injury to people or property resulting from any ideas, methods, instructions or products referred to in the content.

Share and Cite

MDPI and ACS Style

Zhang, L.; Xia, Y.; Chen, C.; Song, Q.; Cao, J. Synchronous Vibration Parameter Recognition of Constant-Speed Blades Based on Blade Tip Clearance Measurement. Appl. Sci. 2024, 14, 254. https://doi.org/10.3390/app14010254

AMA Style

Zhang L, Xia Y, Chen C, Song Q, Cao J. Synchronous Vibration Parameter Recognition of Constant-Speed Blades Based on Blade Tip Clearance Measurement. Applied Sciences. 2024; 14(1):254. https://doi.org/10.3390/app14010254

Chicago/Turabian Style

Zhang, Liang, Yiming Xia, Cong Chen, Qingxi Song, and Junjun Cao. 2024. "Synchronous Vibration Parameter Recognition of Constant-Speed Blades Based on Blade Tip Clearance Measurement" Applied Sciences 14, no. 1: 254. https://doi.org/10.3390/app14010254

APA Style

Zhang, L., Xia, Y., Chen, C., Song, Q., & Cao, J. (2024). Synchronous Vibration Parameter Recognition of Constant-Speed Blades Based on Blade Tip Clearance Measurement. Applied Sciences, 14(1), 254. https://doi.org/10.3390/app14010254

Note that from the first issue of 2016, this journal uses article numbers instead of page numbers. See further details here.

Article Metrics

Back to TopTop