Side-Channel Power Analysis Based on SA-SVM
Abstract
1. Introduction
2. Materials and Methods
2.1. Data Preprocessing
2.2. Research Method
2.2.1. SVM Classifier
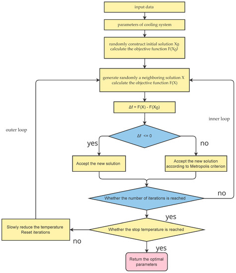
2.2.2. Simulated Annealing Algorithm
2.3. Model Evaluation
3. SVM Classifier Based on SA
- (1)
- Set the initial temperature : influences the global search capability. A higher results in a more powerful, albeit more time-consuming, global search ability;
- (2)
- Set the length of the Markov chain (internal loop): the more iterations there are at , the more time-consuming the process becomes;
- (3)
- Set the temperature attenuation coefficient (external circulation):
- Exponential attenuation method: ;
- Classical annealing method: ;
- Fast annealing method:.
- (4)
- Set the search range for the set of states: the initial solution has no effect on the final result, and it can be chosen at random in the solution set. The solution’s search range should be reasonable in relation to the actual issue;
- (5)
- Set the termination condition: when the number of iterations is achieved, the inner loop is terminated. If the optimal solution obtained by consecutively cooling several times remains unchanged, or drops to , the external circulation stops. The specific process of the proposed SA-SVM is presented in Algorithm 1.
| Algorithm 1: Pseudocode for SA-SVM |
| Input: parameters of cooling system ,, , |
| Input: , , |
| Input: |
| Output: , , |
| 1: |
| 2: |
| 3: |
| 4: |
| 5: while do |
| 6: for to do |
| 7: //generate randomly a neighboring solution |
| 8: |
| 9: |
| 10: |
| 11: //Error as objective function |
| 12: if or random then |
| 13: |
| 14: , |
| 15: |
| 16: end if |
| 17: end for |
| 18: |
| 19: end while |
| 20: return , , |
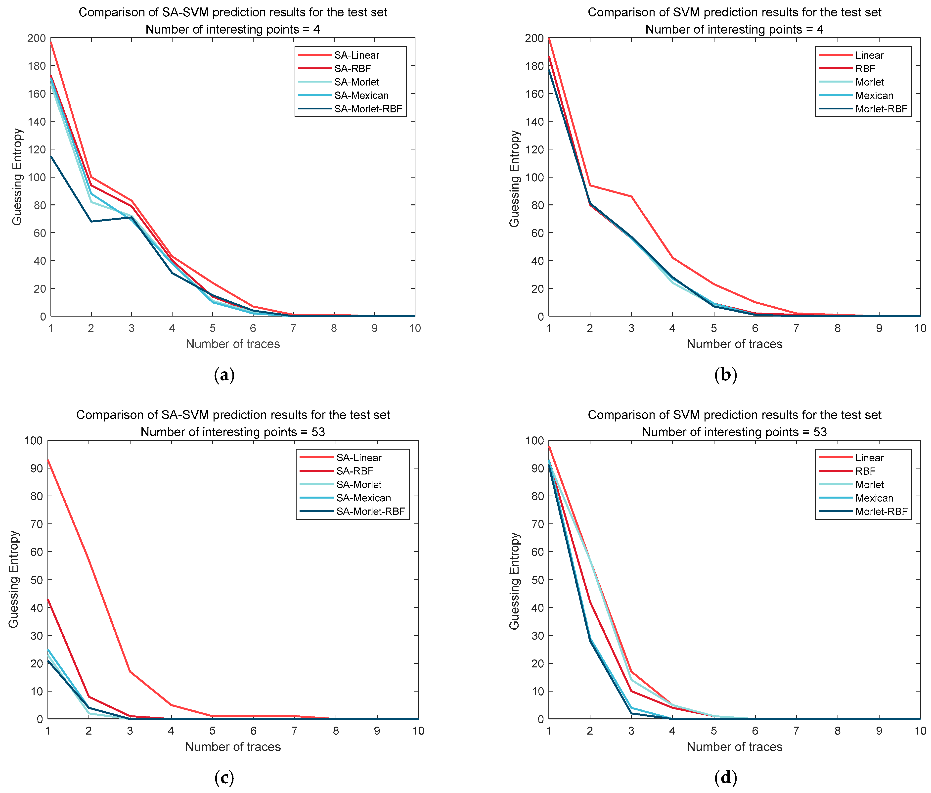
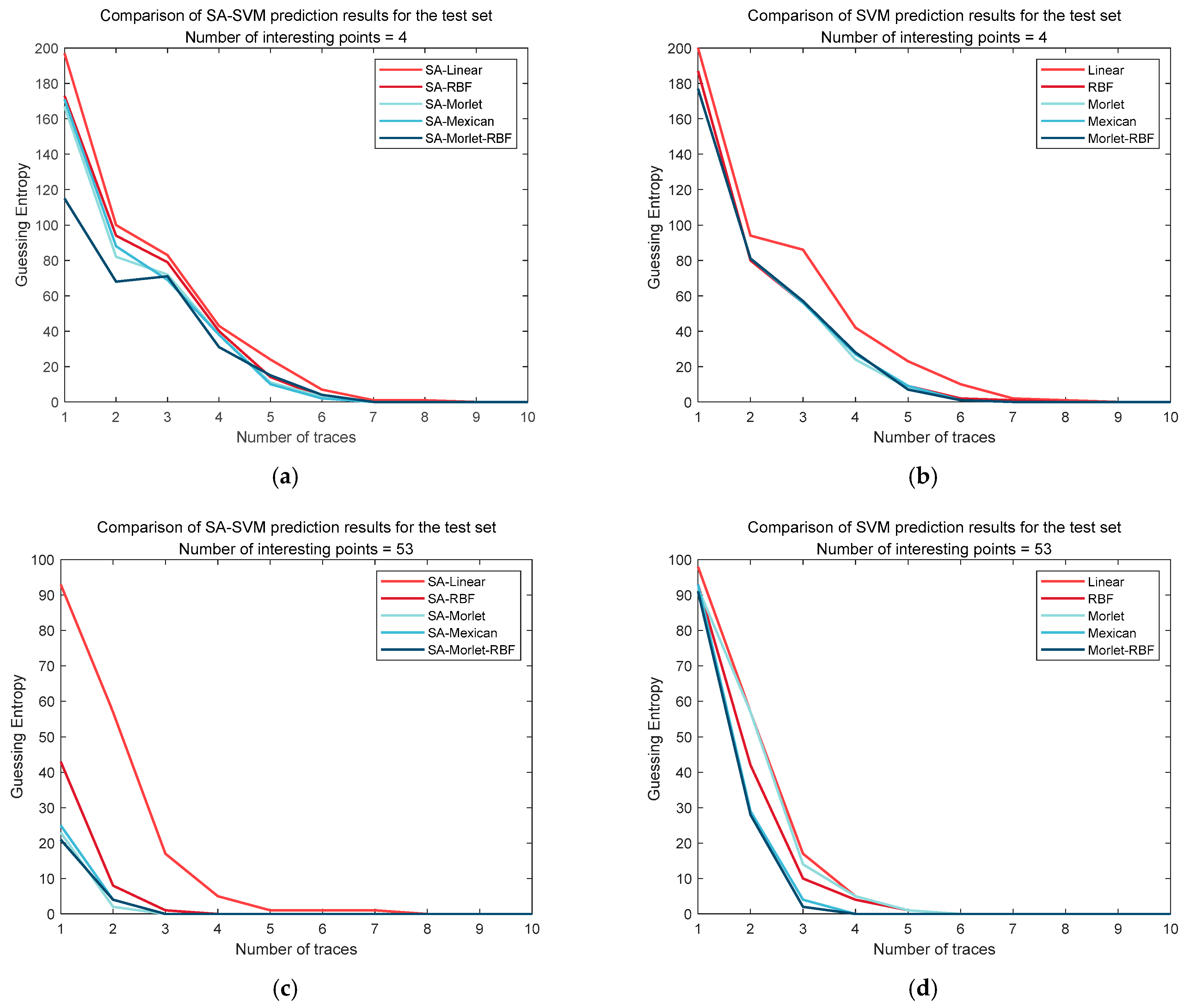
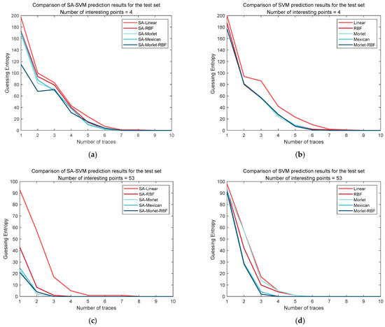
4. Results and Analysis
5. Discussion
6. Conclusions
Author Contributions
Funding
Institutional Review Board Statement
Informed Consent Statement
Data Availability Statement
Conflicts of Interest
References
- Kocher, P.C. Timing Attacks on Implementations of Diffie-Hellman, RSA, DSS, and Other Systems. In Proceedings of the 16th Annual International Cryptology Conference (CRYPTO 96), Santa Barbara, CA, USA, 18–22 August 1996; pp. 104–113. [Google Scholar]
- Wang, R.; Wang, H.; Dubrova, E. Far Field EM Side-Channel Attack on AES Using Deep Learning. In Proceedings of the 4th ACM Workshop on Attacks and Solutions in Hardware Security, online, 13 November 2020; pp. 35–44. [Google Scholar]
- Ferrigno, J.; Hlaváč, M. When AES Blinks: Introducing Optical Side Channel. IET Inf. Secur. 2008, 2, 94. [Google Scholar] [CrossRef]
- Genkin, D.; Shamir, A.; Tromer, E. Acoustic Cryptanalysis. J. Cryptol. 2017, 30, 392–443. [Google Scholar] [CrossRef]
- Goos, G.; Hartmanis, J.; van Leeuwen, J.; Kocher, P.; Jaffe, J.; Jun, B. Differential Power Analysis. In Proceedings of the 19th Annual International Cryptology Conference (CRYPTO 99), Santa Barbara, CA, USA, 15–19 August 1999; pp. 388–397. [Google Scholar]
- Gierlichs, B.; Batina, L.; Tuyls, P.; Preneel, B. Mutual Information Analysis. In Cryptographic Hardware and Embedded Systems—CHES 2008; Oswald, E., Rohatgi, P., Eds.; Lecture Notes in Computer Science; Springer: Berlin/Heidelberg, Germany, 2008; Volume 5154, pp. 426–442. ISBN 978-3-540-85052-6. [Google Scholar]
- Niu, Y.; Zhang, J.; Wang, A.; Chen, C. An Efficient Collision Power Attack on AES Encryption in Edge Computing. IEEE Access 2019, 7, 18734–18748. [Google Scholar] [CrossRef]
- Han, J.; Kim, Y.-J.; Kim, S.-J.; Sim, B.-Y.; Han, D.-G. Improved Correlation Power Analysis on Bitslice Block Ciphers. IEEE Access 2022, 10, 39387–39396. [Google Scholar] [CrossRef]
- Choudary, M.O.; Kuhn, M.G. Efficient, Portable Template Attacks. IEEE Trans. Inf. Forensic Secur. 2018, 13, 490–501. [Google Scholar] [CrossRef]
- Golder, A.; Das, D.; Danial, J.; Ghosh, S.; Sen, S.; Raychowdhury, A. Practical Approaches Toward Deep-Learning-Based Cross-Device Power Side-Channel Attack. IEEE Trans. VLSI Syst. 2019, 27, 2720–2733. [Google Scholar] [CrossRef]
- Picek, S.; Heuser, A.; Jovic, A.; Legay, A. Climbing Down the Hierarchy: Hierarchical Classification for Machine Learning Side-Channel Attacks. In Proceedings of the 9th International Conference on Cryptology in Africa (AFRICACRYPT 2017), Dakar, Senegal, 24–26 May 2017; pp. 61–78. [Google Scholar]
- Duan, X.; Chen, D.; Fan, X.; Li, X.; Ding, D.; Li, Y. Research and Implementation on Power Analysis Attacks for Unbalanced Data. Secur. Commun. Netw. 2020, 2020, 1–10. [Google Scholar] [CrossRef]
- Liu, J.; Zhang, S.; Luo, Y.; Cao, L. Machine Learning-Based Similarity Attacks for Chaos-Based Cryptosystems. IEEE Trans. Emerg. Top. Comput. 2021, 10, 824–837. [Google Scholar] [CrossRef]
- Martinasek, Z.; Hajny, J.; Malina, L. Optimization of Power Analysis Using Neural Network. In Proceedings of the 10th IFIP WG 8.8/11.2 International Conference (CARDIS 2011), Leuven, Belgium, 14–16 September 2011; pp. 94–107. [Google Scholar]
- Kubota, T.; Yoshida, K.; Shiozaki, M.; Fujino, T. Deep Learning Side-Channel Attack against Hardware Implementations of AES. Microprocess. Microsyst. 2021, 87, 103383. [Google Scholar] [CrossRef]
- Hospodar, G.; Gierlichs, B.; De Mulder, E.; Verbauwhede, I.; Vandewalle, J. Machine Learning in Side-Channel Analysis: A First Study. J. Cryptogr. Eng. 2011, 1, 293–302. [Google Scholar] [CrossRef]
- Heuser, A.; Zohner, M. Intelligent Machine Homicide. In Proceedings of the 10th International Workshop, COSADE 2019, Darmstadt, Germany, 3–5 April 2019; pp. 249–264. [Google Scholar]
- Hou, S.; Zhou, Y.; Liu, H.; Zhu, N. Wavelet Support Vector Machine Algorithm in Power Analysis Attacks. Radioengineering 2017, 26, 890–902. [Google Scholar] [CrossRef]
- Picek, S.; Heuser, A.; Jovic, A.; Bhasin, S.; Regazzoni, F. The Curse of Class Imbalance and Conflicting Metrics with Machine Learning for Side-Channel Evaluations. IACR Trans. Cryptogr. Hardw. Embed. Syst. 2018, 2019, 209–237. [Google Scholar] [CrossRef]
- Tran, N.Q.; Hur, J.; Nguyen, H.M. Effective Feature Extraction Method for SVM-Based Profiled Attacks. Comput. Inf. 2021, 40, 1108–1135. [Google Scholar] [CrossRef]
- Wang, A.; Li, Y.; Ding, Y.; Zhu, L.; Wang, Y. Efficient Framework for Genetic Algorithm-Based Correlation Power Analysis. IEEE Trans. Inf. Forensics Secur. 2021, 16, 4882–4894. [Google Scholar] [CrossRef]
- Wang, C.X.; Zhao, S.Y.; Wang, X.S.; Luo, M.; Yang, M. A Neural Network Trojan Detection Method Based on Particle Swarm Optimization. In Proceedings of the 14th International Conference on Solid-State and Integrated Circuit Technology (ICSICT), Qingdao, China, 31 October–3 November 2018; pp. 1–3. [Google Scholar]
- Huang, C.-L.; Wang, C.-J. A GA-Based Feature Selection and Parameters Optimizationfor Support Vector Machines. Expert Syst. Appl. 2006, 31, 231–240. [Google Scholar] [CrossRef]
- Lin, S.-W.; Ying, K.-C.; Chen, S.-C.; Lee, Z.-J. Particle Swarm Optimization for Parameter Determination and Feature Selection of Support Vector Machines. Expert Syst. Appl. 2008, 35, 1817–1824. [Google Scholar] [CrossRef]
- Zhang, X.; Chen, X.; He, Z. An ACO-Based Algorithm for Parameter Optimization of Support Vector Machines. Expert Syst. Appl. 2010, 37, 6618–6628. [Google Scholar] [CrossRef]
- Sartakhti, J.S.; Afrabandpey, H.; Saraee, M. Simulated Annealing Least Squares Twin Support Vector Machine (SA-LSTSVM) for Pattern Classification. Soft Comput. 2017, 21, 4361–4373. [Google Scholar] [CrossRef]
- Yin, Z.; Zheng, J.; Huang, L.; Gao, Y.; Peng, H.; Yin, L. SA-SVM-Based Locomotion Pattern Recognition for Exoskeleton Robot. Appl. Sci. 2021, 11, 5573. [Google Scholar] [CrossRef]
- DPA Contest V4. Available online: https://www.dpacontest.org/v4/rsm_doc.php (accessed on 20 March 2023).
- Cortes, C.; Vapnik, V. Support-Vector Networks. Mach. Learn. 1995, 20, 273–297. [Google Scholar] [CrossRef]
- Jiang, H.; Liu, X.; Zhou, L.; Fujita, H.; Zhou, X. Morlet-RBF SVM model for medical images classification. In Proceedings of the 8th International Symposium on Neural Networks (ISNN 2011), Guilin, China, 29 May–1 June 2011; pp. 121–129. [Google Scholar]
- Scholkopf, B.; Sung, K.K.; Burges, C.J.C.; Girosi, F.; Niyogi, P.; Poggio, T.; Vapnik, V. Comparing Support Vector Machines with Gaussian Kernels to Radial Basis Function Classifiers. IEEE Trans. Signal Process. 1997, 45, 2758–2765. [Google Scholar] [CrossRef]
- Zhang, L.; Zhou, W.; Jiao, L. Wavelet Support Vector Machine. IEEE Trans. Syst. Man Cybern. B 2004, 34, 34–39. [Google Scholar] [CrossRef] [PubMed]
- Tolambiya, A.; Venkatraman, S.; Kalra, P.K. Content-Based Image Classification with Wavelet Relevance Vector Machines. Soft Comput. 2010, 14, 129–136. [Google Scholar] [CrossRef]
- Standaert, F.-X.; Malkin, T.G.; Yung, M. A Unified Framework for the Analysis of Side-Channel Key Recovery Attacks. In Proceedings of the 28th Annual International Conference on the Theory and Applications of Cryptographic Techniques (EUROCRYPT 2009), Cologne, Germany, 26–30 April 2009; pp. 443–461. [Google Scholar]
- Chang, C.-C.; Lin, C.-J. LIBSVM: A Library for Support Vector Machines. ACM Trans. Intell. Syst. Technol. 2011, 2, 1–27. [Google Scholar] [CrossRef]






| Correlation (Absolute Value) | R ≥ 0.90 | R ≥ 0.85 | R ≥ 0.80 | R ≥ 0.75 | R ≥ 0.70 | R ≥ 0.65 | R ≥ 0.60 |
|---|---|---|---|---|---|---|---|
| POIs | 4 | 14 | 20 | 29 | 53 | 84 | 117 |
| Kernel | Accuracy (%) of Different POIs | ||||||
|---|---|---|---|---|---|---|---|
| 4 | 14 | 20 | 29 | 53 | 84 | 117 | |
| Linear | 77.00 | 83.75 | 87.00 | 84.75 | 91.25 | 90.00 | 91.00 |
| RBF | 76.50 | 84.00 | 87.25 | 88.50 | 91.00 | 91.75 | 92.00 |
| Morlet wavelet | 76.75 | 84.75 | 88.50 | 89.25 | 91.25 | 91.50 | 92.25 |
| Mexican hat wavelet | 75.75 | 83.75 | 87.75 | 87.75 | 91.75 | 90.25 | 91.25 |
| Morlet–RBF wavelet | 77.00 | 85.25 | 87.00 | 88.50 | 92.00 | 91.50 | 91.25 |
| Kernel | Accuracy * (%) of Different POIs | ||||||
|---|---|---|---|---|---|---|---|
| 4 | 14 | 20 | 29 | 53 | 84 | 117 | |
| Linear | 77.75 | 84.00 | 87.75 | 87.25 | 91.00 | 91.00 | 91.75 |
| RBF | 78.50 | 86.75 | 88.50 | 90. 05 | 93.75 | 92.00 | 92.75 |
| Morlet wavelet | 78.00 | 86.75 | 88.50 | 91.00 | 94.50 | 91.75 | 92.25 |
| Mexican hat wavelet | 78.00 | 85.25 | 88.25 | 89.25 | 92.75 | 91.25 | 91.25 |
| Morlet–RBF wavelet | 79.50 | 87.25 | 89.00 | 91.00 | 93.25 | 91.25 | 92.25 |
Disclaimer/Publisher’s Note: The statements, opinions and data contained in all publications are solely those of the individual author(s) and contributor(s) and not of MDPI and/or the editor(s). MDPI and/or the editor(s) disclaim responsibility for any injury to people or property resulting from any ideas, methods, instructions or products referred to in the content. |
© 2023 by the authors. Licensee MDPI, Basel, Switzerland. This article is an open access article distributed under the terms and conditions of the Creative Commons Attribution (CC BY) license (https://creativecommons.org/licenses/by/4.0/).
Share and Cite
Zhang, Y.; He, P.; Gan, H.; Zhang, H.; Fan, P. Side-Channel Power Analysis Based on SA-SVM. Appl. Sci. 2023, 13, 5671. https://doi.org/10.3390/app13095671
Zhang Y, He P, Gan H, Zhang H, Fan P. Side-Channel Power Analysis Based on SA-SVM. Applied Sciences. 2023; 13(9):5671. https://doi.org/10.3390/app13095671
Chicago/Turabian StyleZhang, Ying, Pengfei He, Han Gan, Hongxin Zhang, and Pengfei Fan. 2023. "Side-Channel Power Analysis Based on SA-SVM" Applied Sciences 13, no. 9: 5671. https://doi.org/10.3390/app13095671
APA StyleZhang, Y., He, P., Gan, H., Zhang, H., & Fan, P. (2023). Side-Channel Power Analysis Based on SA-SVM. Applied Sciences, 13(9), 5671. https://doi.org/10.3390/app13095671

