New-Generation ASiR-V for Dose Reduction While Maintaining Image Quality in CT: A Phantom Study
Abstract
1. Introduction
2. Materials and Methods
2.1. Phantom

2.2. Data Acquisition
2.3. Data Reconstruction
2.4. Quantitative Analysis
2.5. Qualitative Analysis
| Subjective Image Noise (per Dataset) | |
| 1 | Minimal, absent |
| 2 | Below average |
| 3 | Moderate, average, does not affect interpretation |
| 4 | Substantial, above average, affecting interpretation |
| 5 | Major, unacceptable |
| Subjective Overall Image Quality (per Dataset) | |
| 1 | Bad, no diagnosis possible |
| 2 | Insufficient, significantly reduced diagnostic confidence. |
| 3 | Moderate, but sufficient for diagnosis |
| 4 | Good |
| 5 | Excellent |
| Subjective Image Artifacts (per Dataset) | |
| 1 | No artifacts |
| 2 | Minor artifacts that do not affect the diagnosis |
| 3 | Major artifacts impairing the visualization of important structures but allowing for diagnosis |
| 4 | Artifacts affecting diagnostic information |
3. Results
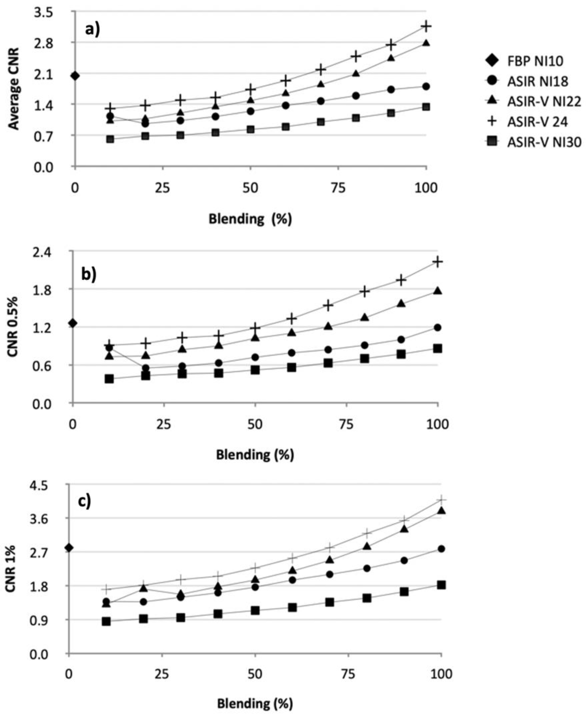
3.1. Quantitative Analysis


3.2. Qualitative Analysis
4. Discussion
5. Conclusions
Author Contributions
Funding
Institutional Review Board Statement
Informed Consent Statement
Data Availability Statement
Conflicts of Interest
References
- EC (2013) Council Directive 2013/59/Euratom of 5 December 2013 Laying Down Basic Safety Standards for Protection against the Dangers Arising from Exposure to Ionising Radiation, and Repealing Directives 89/618/Euratom, 90/641/Euratom, 96/29/Euratom, 97/43/Euratom and 2003/122/Euratom. Available online: https://eur-lex.europa.eu/eli/dir/2013/59/oj (accessed on 10 February 2023).
- International Atomic Energy Agency (IAEA). Radiation Protection and Safety in Medical Uses of Ionizing Radiation; IAEA Safety Standards Series No. SSG-46; IAEA: Vienna, Austria, 2018. [Google Scholar]
- Martin, C.J.; Harrison, J.D.; Rehani, M.M. Effective Dose from Radiation Exposure in Medicine: Past, Present, and Future. Phys. Med. 2020, 79, 87–92. [Google Scholar] [CrossRef] [PubMed]
- Rehani, M.M.; Nacouzi, D. Higher Patient Doses through X-Ray Imaging Procedures. Phys. Med. 2020, 79, 80–86. [Google Scholar] [CrossRef] [PubMed]
- Shrimpton, P.C.; Jansen, J.T.; Harrison, J.D. Updated Estimates of Typical Effective Doses for Common CT Examinations in the UK Following the 2011 National Review. Br. J. Radiol. 2016, 89, 20150346. [Google Scholar] [CrossRef]
- Smith-Bindman, R. Radiation Dose Associated with Common Computed Tomography Examinations and the Associated Lifetime Attributable Risk of Cancer. Arch. Intern. Med. 2009, 169, 2078. [Google Scholar] [CrossRef] [PubMed]
- Arellano, R.S.; Yang, K.; Rehani, M.M. Analysis of Patients Receiving ≥100 Msv during a Computed Tomography Intervention. Eur. Radiol. 2020, 31, 3065–3070. [Google Scholar] [CrossRef]
- Rehani, M.M.; Yang, K.; Melick, E.R.; Heil, J.; Šalát, D.; Sensakovic, W.F.; Liu, B. Patients Undergoing Recurrent CT Scans: Assessing the Magnitude. Eur. Radiol. 2019, 30, 1828–1836. [Google Scholar] [CrossRef]
- Brambilla, M.; Vassileva, J.; Kuchcinska, A.; Rehani, M.M. Multinational Data on Cumulative Radiation Exposure of Patients from Recurrent Radiological Procedures: Call for Action. Eur. Radiol. 2019, 30, 2493–2501. [Google Scholar] [CrossRef] [PubMed]
- Mettler, F.A.; Wiest, P.W.; Locken, J.A.; Kelsey, C.A. CT Scanning: Patterns of Use and Dose. J. Radiol. Prot. 2000, 20, 353–359. [Google Scholar] [CrossRef]
- Brenner, D.J.; Hall, E.J. Computed Tomography—An Increasing Source of Radiation Exposure. N. Engl. J. Med. 2007, 357, 2277–2284. [Google Scholar] [CrossRef]
- Cao, C.F.; Ma, K.L.; Shan, H.; Liu, T.F.; Zhao, S.Q.; Wan, Y.; Zhang, J.; Wang, H.Q. CT Scans and Cancer Risks: A Systematic Review and Dose-Response Meta-Analysis. BMC Cancer 2022, 22, 1238. [Google Scholar] [CrossRef]
- Schauer, D.A.; Linton, O.W. National Council on Radiation Protection and Measurements Report Shows Substantial Medical Exposure Increase. Radiology 2009, 253, 293–296. [Google Scholar] [CrossRef]
- Kalender, W.A.; Wolf, H.; Suess, C. Dose reduction in CT by anatomically adapted tube current modulation. Part II Phantom measurements. MedPhys 1999, 26, 2248–2253. [Google Scholar]
- Tzedakis, A.; Damilakis, J.; Perisinakis, K.; Stratakis, J.; Gourtsoyiannis, N. The effect of z over scanning on patient effective dose from multidetector helical computed tomography examinations. MedPhys 2005, 32, 1621–1629. [Google Scholar]
- Smith, A.B.; Dillon, W.P.; Lau, B.C.; Gould, R.; Verdun, F.R.; Lopez, E.B.; Wintermark, M. Radiation dose reduction strategy for CT protocols: Successful implementation in neuroradiology section. Radiology 2008, 247, 499–506. [Google Scholar] [CrossRef]
- Patino, M.; Fuentes, J.M.; Singh, S.; Hahn, P.F.; Sahani, D.V. Iterative reconstruction techniques in abdominopelvic CT: Technical concepts and clinical implementation. AJR Am. J. Roentgenol. 2015, 205, W19–W31. [Google Scholar] [CrossRef] [PubMed]
- Geyer, L.L.; Schoepf, U.J.; Meinel, F.G.; Nance, J.W., Jr.; Bastarrika, G.; Leipsic, J.A.; Paul, N.S.; Rengo, M.; Laghi, A.; De Cecco, C.N. State of the Art: Iterative CT Reconstruction Techniques. Radiology 2015, 276, 339–357. [Google Scholar] [CrossRef]
- Mehta, D.; Thompson, R.; Morton, T.; Dhanantwari, A.; Shefer, E. Iterative model reconstruction: Simultaneously lowered computed tomography radiation dose and improved image quality. Med. Phys. Int. 2013, 1, 147–155. [Google Scholar]
- Singh, S.; Kalra, M.K.; Do, S.; Thibault, J.B.; Pien, H.; Connor, O.O.J.; Blake, M.A. Comparison of hybrid and pure iterative reconstruction techniques with conventional filtered back projection: Dose reduction potential in the abdomen. J. Comput. Assist. Tomogr. 2012, 36, 347–353. [Google Scholar] [CrossRef] [PubMed]
- Shuman, W.P.; Chan, K.T.; Busey, J.M.; Mitsumori, L.M.; Choi, E.; Koprowicz, K.M.; Kanal, K.M. Standard and reduced radiation dose liver CT images: Adaptive statistical iterative reconstruction versus model-based iterative reconstruction-comparison of findings and image quality. Radiology 2014, 273, 793–800. [Google Scholar] [CrossRef]
- Cornfeld, D.; Israel, G.; Detroy, E.; Bokhari, J.; Mojibian, H. Impact of adaptive statistical iterative reconstruction (ASIR) on radiation dose and image quality in aortic dissection studies: A qualitative and quantitative analysis. AJR Am. J. Roentgenol. 2011, 196, W336–W340. [Google Scholar] [CrossRef] [PubMed]
- Jensen, C.T.; Telesmanich, M.E.; Wagner-Bartak, N.A.; Liu, X.; Rong, J.; Szklaruk, J.; Qayyum, A.; Wei, W.; Chandler, A.G.; Tamm, E.P. Evaluation of Abdominal CT Image Quality Using a New Version of Vendor-Specific Model-Based Iterative Reconstruction. J. Comput. Assist. Tomogr. 2017, 41, 67–74. [Google Scholar] [CrossRef] [PubMed]
- Prakash, P.; Kalra, M.K.; Kambadakone, A.K.; Pien, H.; Hsieh, J.; Blake, M.A.; Sahani, D.V. Reducing abdominal CT radiation dose with adaptive statistical iterative reconstruction technique. Investig. Radiol. 2010, 45, 202–210. [Google Scholar] [CrossRef] [PubMed]
- Miéville, F.A.; Gudinchet, F.; Brunelle, F.; Bochud, F.; Verdun, F.R. Iterative reconstruction methods in two different MDCT scanners: Physical metrics and 4-alternative forced-choice detectability experiments—A phantom approach. Phys. Med. 2012, 29, 99–110. [Google Scholar] [CrossRef]
- Euler, A.; Solomon, J.; Marin, D.; Nelson, R.C.; Samei, E. A Third-Generation Adaptive Statistical Iterative Reconstruction Technique: Phantom Study of Image Noise, Spatial Resolution, Lesion Detectability, and Dose Reduction Potential. AJR Am. J. Roentgenol. 2018, 210, 1301–1308. [Google Scholar] [CrossRef] [PubMed]
- De Marco, P.; Origgi, D. New adaptive statistical iterative reconstruction ASiR-V: Assessment of noise performance in comparison to ASiR. J. Appl. Clin. Med. Phys. 2018, 19, 275–286. [Google Scholar] [CrossRef]
- Mueck, F.G.; Michael, L.; Deak, Z.; Scherr, M.K.; Maxien, D.; Geyer, L.L.; Reiser, M.; Wirth, S. Upgrade to iterative image reconstruction (IR) in MDCT imaging: A clinical study for detailed parameter optimization beyond vendor recommendations using the adaptive statistical iterative reconstruction environment (ASIR) part 2: The chest. Rofo 2013, 185, 644–654. [Google Scholar] [CrossRef]
- Mueck, F.G.; Körner, M.; Scherr, M.K.; Körner, M.; Scherr, M.K.; Geyer, L.L.; Deak, Z.; Linsenmaier, U.; Reiser, M.; Wirth, S. Upgrade to iterative image reconstruction (IR) in abdominal MDCT imaging: A clinical study for detailed parameter optimization beyond vendor recommendations using the adaptive statistical iterative reconstruction environment (ASIR). Rofo 2012, 184, 229–238. [Google Scholar] [CrossRef]
- Kim, H.G.; Chung, Y.E.; Lee, Y.H.; Choi, J.-Y.; Park, M.-S.; Kim, M.-J.; Kim, K.W. Quantitative analysis of the effect of iterative reconstruction using a phantom: Determining the appropriate blending percentage. Yonsei Med. J. 2015, 56, 253–261. [Google Scholar] [CrossRef]
- Kwon, H.; Cho, J.; Oh, J.; Kim, D.; Cho, J.; Kim, S.; Lee, S.; Lee, J. The adaptive statistical iterative reconstruction-V technique for radiation dose reduction in abdominal CT: Comparison with the adaptive statistical iterative reconstruction technique. Br. Radiol. 2015, 88, 20150463, Correction in Br. J. Radiol. 2016, 89, 20150463e. [Google Scholar] [CrossRef]
- Fontarensky, M.; Alfidja, A.; Perignon, R.; Schoenig, A.; Perrier, C.; Mulliez, A.; Guy, L.; Boyer, L. Reduced radiation dose with model-based iterative reconstruction versus standard dose with adaptive statistical iterative reconstruction in abdominal CT for diagnosis of acute renal colic. Radiology 2015, 276, 156–166. [Google Scholar] [CrossRef]
- Flicek, K.T.; Hara, A.K.; Silva, A.C.; Wu, Q.; Peter, M.B.; Johnson, C.D. Reducing the radiation dose for CT colonography using adaptive statistical iterative reconstruction: A pilot study. AJR 2010, 195, 126–131. [Google Scholar] [CrossRef]
- Seibert, J.A. Iterative reconstruction: How it works, how to apply it. Pediatr. Radiol. 2014, 44, 431–439. [Google Scholar] [CrossRef] [PubMed]
- Available online: https://www.gehealthcare.co.uk/-/media/6862ed3b10424182924e03a49f4a46d7.pdf (accessed on 12 September 2022).
- Singh, S.; Kalra, M.K.; Hsieh, J.; Licato, P.E.; Do, S.; Pien, H.H.; Blake, M.A. Abdominal CT: Comparison of adaptive statistical iterative and filtered back projection reconstruction techniques. Radiology 2010, 257, 373–383. [Google Scholar] [CrossRef] [PubMed]
- Kyungjae, L.; Heejin, K.; Jinhan, J.; Oh, J.; Yoon, S.; Kang, M.; Ha, D.; Lee, J.; Kang, E. Initial Phantom Study Comparing Image Quality in Computed Tomography Using Adaptive Statistical Iterative Reconstruction and New Adaptive Statistical Iterative Reconstruction V. J. Comput. Assist. Tomogr. 2015, 39, 443–448. [Google Scholar]
- Gatti, M.; Marchisio, F.; Fronda, M.; Rampado, O.; Faletti, R.; Bergamasco, L.; Ropolo, R.; Fonio, P. Adaptive Statistical Iterative Reconstruction—V versus Adaptive Statistical Iterative Reconstruction: Impact on Dose Reduction and Image Quality in Body Computed Tomography. J. Comput. Assist. Tomogr. 2018, 42, 191–196. [Google Scholar] [CrossRef]
- Goodenberger, M.H.; Wagner-Bartak, N.A.; Gupta, S.; Liu, X.; Yap, R.Q.; Sun, J.; Tamm, E.P.; Jensen, C.T. Computed Tomography Image Quality Evaluation of a New Iterative Reconstruction Algorithm in the Abdomen (Adaptive Statistical Iterative Reconstruction-V) a Comparison with Model-Based Iterative Reconstruction, Adaptive Statistical Iterative Reconstruction, and Filtered Back Projection Reconstructions. J. Comput. Assist. Tomogr. 2018, 42, 184–190. [Google Scholar] [PubMed]
- Miles, K.A.; Ganeshan, B.; Hayball, M.P. CT texture analysis using the filtration-histogram method: What do the measurements mean? Cancer Imaging 2013, 13, 400–406. [Google Scholar] [CrossRef]



Disclaimer/Publisher’s Note: The statements, opinions and data contained in all publications are solely those of the individual author(s) and contributor(s) and not of MDPI and/or the editor(s). MDPI and/or the editor(s) disclaim responsibility for any injury to people or property resulting from any ideas, methods, instructions or products referred to in the content. |
© 2023 by the authors. Licensee MDPI, Basel, Switzerland. This article is an open access article distributed under the terms and conditions of the Creative Commons Attribution (CC BY) license (https://creativecommons.org/licenses/by/4.0/).
Share and Cite
Ungania, S.; Solivetti, F.M.; D’Arienzo, M.; Quagliani, F.; Sperduti, I.; Morrone, A.; de Mutiis, C.; Bruzzaniti, V.; Guerrisi, A. New-Generation ASiR-V for Dose Reduction While Maintaining Image Quality in CT: A Phantom Study. Appl. Sci. 2023, 13, 5639. https://doi.org/10.3390/app13095639
Ungania S, Solivetti FM, D’Arienzo M, Quagliani F, Sperduti I, Morrone A, de Mutiis C, Bruzzaniti V, Guerrisi A. New-Generation ASiR-V for Dose Reduction While Maintaining Image Quality in CT: A Phantom Study. Applied Sciences. 2023; 13(9):5639. https://doi.org/10.3390/app13095639
Chicago/Turabian StyleUngania, Sara, Francesco Maria Solivetti, Marco D’Arienzo, Francesco Quagliani, Isabella Sperduti, Aldo Morrone, Carlo de Mutiis, Vicente Bruzzaniti, and Antonino Guerrisi. 2023. "New-Generation ASiR-V for Dose Reduction While Maintaining Image Quality in CT: A Phantom Study" Applied Sciences 13, no. 9: 5639. https://doi.org/10.3390/app13095639
APA StyleUngania, S., Solivetti, F. M., D’Arienzo, M., Quagliani, F., Sperduti, I., Morrone, A., de Mutiis, C., Bruzzaniti, V., & Guerrisi, A. (2023). New-Generation ASiR-V for Dose Reduction While Maintaining Image Quality in CT: A Phantom Study. Applied Sciences, 13(9), 5639. https://doi.org/10.3390/app13095639

