Abstract
Gridded ion thrusters (GITs) are an established technology that, by covering a wide range of power class, allows one to accomplish a lot of space mission types. Many analysis tools and analytical models describing the physics of GITs are present in the open literature, while there is a lack of tools for preliminary design, considering the mission requirements (i.e., thrust or power). Thus, in this work, a tool that takes as input thrust or power and that combines analytical formulas, describing GITs’ physics; a curve-fitting approach, exploiting data from different ion thrusters present in the open literature; and an FEMM (finite element method magnetics) simulation has been developed and validated against known medium-low-power (<5 kW) gridded ion thrusters (e.g., NSTAR, XIPS, ETS-8). Some of the main outputs of the developed tool are its specific impulse, efficiencies, voltages, and propellant flow rate. The results obtained by the tool have been in good agreement with the real performance and working parameters of the thrusters selected for the validation, obtaining an average error of less than 5–10%. The tool has been also compared with a tool proposed in the literature as a possible design tool, which makes use of a simple macroscopic plasma-source simulation (SMPS) code with a genetic algorithm (GA) and obtains slightly more accurate results on average. Finally, the tool has been exploited for the design of a very low-power GIT (100 W) that is able to produce 2 mN of thrust, as the interest of the scientific community in miniaturizing electric engines has recently grown because they could enable new space missions.
1. Introduction
In the last 30 years, the use of electric propulsion in spacecrafts has grown worldwide, and now electric thrusters are widely used for satellites applications, in general, satellites orbiting at LEO (low earth orbit) or GEO (geostationary earth orbit), mainly for station-keeping applications in communication satellites and for orbit raising maneuvers, due to their huge advantages in terms of specific impulse or, equivalently, the amount of propellant needed compared to chemical engines. In chemical propulsion, the specific impulse in general does not exceed 400 s, whereas in electric thrusters it can overcome 4000 s, resulting in propellant being saved for a given V needed during the mission.
Since 1993, more than 200 GEO satellites with EP (Electric Propulsion) technologies have been launched, most of which (≈70%) have been equipped with either GIT (gridded ion thruster) or HET (Hall effect thruster) on board []. Among them, GIT is a well established technology that allows one to accomplish a wide range of missions [].
The current focus of their application area is on telecommunication satellites and on space exploration missions, but several new applications or missions are now in discussion. Recently, the idea to change the flight path of debris or even an asteroid through a GIT is growing. This goal could be achieved by a voluntary impact between the asteroid and the spacecraft, as studied in the DART (double asteroid redirection test) mission, the world’s first planetary defense test mission [,,]. The DART spacecraft exploits the NEXT (NASA’s evolutionary xenon thruster) gridded ion thruster, and recent studies have been performed on this thruster’s life []. Another line of research proposes to direct the plume particle flow of an electric thruster to space debris or asteroids, to change their flight path, and studies on the GIT’s beam are being carried out []. Other studies regarding the active space debris removal in LEO through small satellites powered by GITs can be found in Ref. [].
Gridded ion thrusters (GITs) belong to the category of electrostatic ion engines and are composed of three main components: hollow cathodes, grids, and a discharge chamber in which plasma is generated.
In an ion thruster, a propellant is injected from the propellant tank into an anode potential discharge chamber. Xenon is the typical propellant used in GITs; it is inert, easily ionized, has high storage density, and has high atomic mass, allowing one to generate a good level of thrust, but other choices such as iodine have been investigated and tested as alternatives. Iodine creates more thrust than xenon at similar operating power; it is cheaper and more abundant, but it is toxic and corrosive []. Furthermore, recent studies have been carried out on the use of argon as a propellant, which is much less expensive than xenon []. A hollow cathode emits high-energy electrons, which impact the propellant atoms that lose one or two electrons, generating some positively charged ions. A gas, with no overall electric charge, called plasma, consisting of positive ions and negative electrons, is produced. To improve the efficiency of this ion-generation process, different types of magnetic confinement are employed at the anode wall in order to increase the electron path length and the residence time of electrons in the chamber before the loss to the anode wall (which has high positive potential due to the voltage applied by the discharge power supply), raising the probability of propellant ionization by the injected electrons. The accurate design of the magnetic field is necessary to increase the efficiency, keeping an appropriate electron loss to the anode to produce stable discharge. In the past, empirical studies have tried to find the optimal design of the magnetic field to confine electrons and ions in ion thrusters. The results of these studies showed that the ring cusp magnetic field generated by permanent magnets was the best solution for electrons and ions confinement [,]. As a consequence, this configuration has become the most employed in thruster design []. The positively charged ions generated in the chamber are then accelerated by a system of two or three charged grids, which are made of thousands aligned holes and expelled by the chamber at very high speeds (up to 40 km/s), producing thrust. The first grid (screen grid) has an high positive potential, and the second grid (acceleration grid) has a negative potential. The third grid (deceleration grid) has a higher potential than the second grid and is used to improve the thruster life, shielding the acceleration grid from ion bombardment, but it has disadvantages such as the increase in constructive complexity of the thruster; for this reason, the third grid is not used in some thrusters. The geometry of the grids is a critical performance driver in ion-thruster design; improving the grid geometry could significantly increase the performance of GITs in terms of specific impulse and erosion rate. Recent studies, with the aim of optimizing the grid design, have been carried out []. Finally, the ion beam is neutralized thanks to a neutralizer—in general, an external smaller hollow cathode that produces electrons to make the total charge of the beam neutral. Without the use of a neutralizer, the spacecraft would build up a negative charge, causing ion back stream phenomena that would reduce the thrust and damage the satellite.
A representation of the components and the working principle of a GIT is shown in Figure 1.

Figure 1.
Gridded ion thruster main components and working principle.
In the literature, there are many gridded ion thrusters, but, obviously, they do not cover all of the powers or thrusts that a generic space mission could require, particularly at very low powers (e.g., LUMIO [] and M-ARGO [] missions requirements). So, having a tool for the preliminary design of GITs could be very useful in the preliminary phase of a space mission design to have an idea of the performances and working parameters of this type of thruster (e.g., specific impulse) and, eventually, to exploit the data obtained from the tool as a starting point for the design of a specific thruster for that mission.
The literature is lacking as regards tools for the preliminary design of gridded ion thrusters, but there are many analysis tools—analytic models describing the physics of GIT (e.g., [,,,,,])—that can be used to build a preliminary design tool, as well as parametric design approaches for ion thrusters (e.g., []). One of the most complete models has been proposed by Goebel and Katz [], which takes into account ion confinement, primary electrons thermalization and confinement, the anode sheath, and the effects of the hollow cathode. This model calculates the performances and working parameters of the ion thruster starting from a known discharge geometry, magnetic field design, voltages, grid geometrical parameters, and cathode voltage drop and is valid for a ring cusp configuration of the magnetic field in the chamber.
The purpose of this work has been to exploit analytic models, analysis tools, and data from known GITs belonging to the medium-low-power class (<5 kW i.e., the interest in miniaturizing electric engines has recently grown) to develop a preliminary design tool for gridded ion thrusters that takes the target thrust (or power) in terms of input and depends on the space mission requirements. Therefore, a simple tool characterized by low computational cost that is thus rapid and reliable has been successfully developed to design medium-low-power gridded ion thrusters.
The following sections will describe the tool and will show its validation in an attempt to match known GIT data (e.g., NSTAR [], XIPS [,]); some of the results will be also compared with those obtained with a design tool that makes use of a simple macroscopic plasma-source simulation (SMPS) code and a genetic algorithm (GA) []; finally, it will be demonstrated that the tool can be used to design very low-power (100 W) thrusters (2 mN of thrust) that could enable new types of space missions (e.g., LUMIO [] and M-ARGO []).
2. Methods
The design tool developed in this work combines a curve-fitting approach with analytical equations in order to obtain the main performances and design parameters of a medium-low-power (<5 kW) gridded ion thruster. This original allows one to obtain accurate results and reduce the degrees of freedom of the problem considered.
For what concerns the curve-fitting approach, some main performance parameters (i.e., thrust, input power, and efficiencies) in some different operating conditions of various engines present in the open literature (T5 [], T6 [], T7 [], NEXT [], NSTAR [], XIPS-13 [], XIPS-25 [], JPL-15 [], Mitsubishi ETS 6 [], and Mitsubishi ETS 8 []) were collected to build, using MATLAB software, useful curves from which data can be interpolated.
The input parameters for the model are the thrust (or power) and the desired discharge chamber diameter. Given these inputs, from the built curves, it is possible to extract important performances parameters such as efficiencies and input power (or thrust).
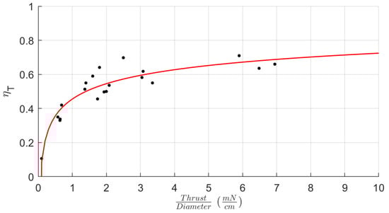
Figure 2 and Figure 3 show the thrust-power curve and the relation between the thrust to diameter ratio and the total efficiency for GITs. The black points in the figures are the data collected from the thrusters mentioned above, in some operating conditions; the red lines are the interpolating curves, exploited in the model.

Figure 2.
Thrust-power curve. Black points represent the data collected from the ion thrusters T5 [], T6 [], T7 [], NEXT [], NSTAR [], XIPS-13 [], XIPS-25 [], JPL-15 [], Mitsubishi ETS 6 [], and Mitsubishi ETS 8 [] in some operating conditions; the red line represents the interpolating curve, exploited in the model.

Figure 3.
Thrust-diameter ratio-total efficiency curve. Black points represent the data collected from the ion thrusters T5 [], T6 [], T7 [], NEXT [], NSTAR [], XIPS-13 [], XIPS-25 [], JPL-15 [], Mitsubishi ETS 6 [], and Mitsubishi ETS 8 [] in some operating conditions; red line represents the interpolating curve, exploited in the model.
Figure 2 and Figure 3 highlight that there is a clear linear dependence between thrust and power in gridded ion thrusters and that the higher the discharge chamber diameter to produce a certain thrust is, the lower the total efficiency will be.
After that, the general equations for electric propulsion and gridded ion thrusters are used to obtain parameters such as mass flow, currents, and voltages from the parameters discussed above. The key equations, valid for GITs, exploited in this tool are:
Equation (1) expresses the electrical efficiency [] as a ratio between the beam power (given by the product of the beam current and the beam voltage ) and the input power . The numerator is rewritten in a function of grids geometrical parameters (screen-grid thickness , grid gap d, screen-grid holes , discharge chamber diameter D, optical transparency , and the function of the number of the accelerator grid holes and their diameters ) []. In this equation, represents the absolute dielectric permittivity, e the electron charge, M the ion mass, and R the ratio of beam voltage to total voltage. Generally, the beam voltage to total voltage ratio is about 0.8 in GITs; this is important for the thruster’s life. Working with lower values of R results in an increase in the thrust level, but the lower the value of R is, the higher the energy of ions that impact the accelerator grid will be, reducing the operative life of the thruster. In this tool, a ratio of 0.8 has been imposed. In Figure 4, there is a representation of the geometrical parameters of the grids.

Figure 4.
Representation of the main geometrical parameters of the grids.
Equation (2) expresses the relation between the total efficiency [], the electrical , and the mass utilization efficiency [], where is a thrust-correction factor used to consider the effects of the beam divergence and the presence of doubly ionized atoms; in this code, it has been considered equal to the typical value of 0.97. Equations (3) and (4) are, respectively, the expression of the specific impulse and of the thrust T in ion thrusters; in Equation (3), g is the gravitational acceleration at sea level. Equation (5) expresses the mass flow rate ; the Equation (6) is an approximated expression of the electrical efficiency , which is re-written to express the discharge current in the function of the beam power , the electrical efficiency , and the discharge voltage . The Equation (7) is the definition of the discharge loss , which is the ratio between the discharge power (given by the product of the discharge current and the discharge voltage ) and the beam current and represents the cost of producing ions. Finally, Equation (8) is the definition of the accelerator grid voltage , defined as the difference between the total voltage and the beam voltage .
To complete the design methodology, analytical equations taken from Goebel and Katz model [], a 0-D model that describes the physics of the discharge chamber in a ring cusp ion thruster, have been exploited to find quantities such as magnetic field values (maximum transverse magnetic field between the magnetic rings and magnetic field strength at the cusps on the anode wall), useful to size the magnets, and the discharge chamber pressure, useful for injector design. The oA ring cusp magnetic field configuration has been chosen for this tool because empirical studies in the past years showed that this configuration is one of the best solutions for electrons and ions confinement [,]. In this model, a uniform plasma in the volume inside the magnetic confinement is assumed; this assumption is well verified almost everywhere except near the cathode plume, so the model predictions do not deviate so much from the experimental results.
The main equations of this model are balances of power and currents inside the chamber. What concerns the power balance is shown in Equation (9).
The first term of the equation , i.e., the input power in the chamber, can be rewritten as a product between the current emitted by the hollow cathode and the voltage to which electrons are subjected in the discharge chamber (Equation (10)).
In Equation (10), represents the current emitted by the cathode, the voltage of primaries electrons from the cathode, the discharge voltage, the cathode voltage drop, the potential drop in the plasma, and the sheath potential relative to the anode wall. This power, from primary electrons (electrons that come from the cathode), is used mainly for producing ions and excited neutrals; some of that is lost at the electrodes. All of these phenomena are taken into account In Equation of the output power in the chamber (Equation (11)).
The first term is the power needed to produce ions; represents the ions production rate, and represents the ionization potential. The second term is the power to produce excited neutrals; represents the neutral excitation rate, and represents the average excitation potential. The other terms of the equation represent the power lost to the electrodes; at walls, ions recombine and electrons are lost. represents the ion current to the screen grid, the ion current back to the cathode, the ion current lost to the anode, the electron current from the plasma going to the anode, the plasma electron energy lost to the wall, and the primary electron current lost directly to the anode. Figure 5 shows a representation of the currents and potentials in the discharge chamber, defined above.

Figure 5.
Currents and potential distribution in the discharge chamber of a gridded ion thruster.
Equation (12) expresses the conservation of the particles flowing to the anode, Equation (13) the current emitted from the hollow cathode, and Equations (14) and (15) the ion production rate. In this tool, the term has been neglected for simplicity, due to the negligible values it generally assumes.
Due to the number of equations and parameters needed to express all of the currents of the above expressions, it was decided, in this manuscript, to show only the terms in which the magnetic field is involved; more details about each of the parameters and related equations can be found in Ref. []. The currents , , and , described above, are influenced by the magnetic field in the discharge chamber. In Equation (16), the primary electron current lost to the anode wall is shown.
In Equation (16), represents the primary-electron density, the primary-electron velocity, and the loss area that can be re-written as a function of the Larmor radius and the total length of the magnetic cusps (Equation (17))
This loss, due to the magnetic field configuration, occurs at the cusps of the magnetic field because in these locations the magnetic field lines are perpendicular to the anode wall. The value of the magnetic field strength at the cusps on the anode wall influences the Larmor radius as shown In Equation (18) and, therefore, the loss area. In this equation, m is the electron mass.
In Equation (19), the secondary electron current (plasma’s electrons) lost to the anode wall at the magnetic cusps is shown.
In Equation (19), k represents the Boltzmann’s constant; the electron temperature; the electron density in the plasma; and the hybrid anode area, a function of the ions and plasma electrons Larmor radius ( and ), due to the influence of ions in the electron motion, as shown In Equation (20).
As for the primary electrons Larmor radius , the Larmor radii and depend on the magnetic field strength at the cusps on the anode wall .
For what concerns the ion current to the anode wall , it can be expressed as shown in Equation (21).
In Equation (21), represents the anode area exposed to plasma; the ion density; and is the confinement factor, a scaling factor related to the presence of magnetized electrons that influence the ion motion, causing a reduction in the Bohm current to the wall. Without a magnetic field, the ion current that flows to the anode is the Bohm current; if a magnetic field is introduced in the chamber, only a fraction of the Bohm ion current is lost to the anode. The main magnetic parameter that influences this factor is the maximum transverse magnetic field between the cusps, as shown in Equation (22). The transverse magnetic field reduces the electron mobility and results in a deceleration of the ions and thus a reduction in the ion current to the anode.
In Equation (22), represents the electrons–ions collision frequency, is the sum of the electrons–neutrals collision frequency and , is the electron mobility, is the maximum transverse magnetic field, and l is the magnetic diffusion length (the transverse location of the maximum magnetic field magnitude between the magnets). In general, the magnetic diffusion length l can be calculated, with a good approximation as where d is the magnets’ distance.
The last step of the tool regards the design of the injectors. Typically, two main types of injectors are used in GITs: jet injectors and ring injectors. Ring injectors comprise a ring with multiple small holes; this injector is useful to provide uniform gas injection into the plume of the cathode. Instead, the jet injector is basically a long cylindrical tube that provides a direct flux of neutrals into the cathode plume region. In this work, a jet injector configuration has been considered for the design tool because, according to Ref. [], it provides the best performance in terms of the life of the cathode and thus the entire engine. The problem faced was the flow of a rarefied gas through a long cylindrical tube; in particular, of sizing a tube that connects two containers at pressures and , with a desired mass flow rate. and represent, respectively, the upstream pressure and the chamber pressure. The Knudsen number is higher than 1, and the problem cannot been solved through the fluid dynamics equations but through statistical mechanics equations. Many authors in the literature solved this problem as shown in Refs. [,,,,,]. In this work, the model of Sharipov [] has been chosen because it is a simple model, and it is valid at any pressure ratio and at any Knudsen number under the hypothesis of high length-to-diameter ratio and small Mach number in the tube; these hypothesis allow to neglect the end effects, to consider the flow 1-D and to linearize the Boltzmann’s equation. The pressure in the discharge chamber is calculated by the tool; must be assigned as an input parameter.
The flowchart of the developed tool, described previously, with the main outputs, is shown in Figure 6.

Figure 6.
Flowchart of the tool with the main outputs.
As a result of the model, the values of the magnetic field at the cusps on the anode surface and the maximum transverse magnetic field are obtained. These parameters, once the anode and magnets’ material has been chosen in the design phase, are exploited to establish the size of the magnetic rings and the distance between the anode surface and the magnets. This sizing is executed by the software FEMM (finite element method magnetics) [], a software package for solving low-frequency electromagnetic problems on two-dimensional planar and axisymmetric domains using FEM. The program addresses linear/nonlinear magneto-static problems, linear/nonlinear time harmonic magnetic problems, linear electrostatic problems, and steady-state heat-flow problems. The software, in this article, has been used to solve magneto-static problems. In this kind of problem, the fields are time invariant, so the field intensity H and the flux density B must satisfy Equations (23)–(25).
In Equation (23), J represents the free-current density; in Equation (25), represents the permeability, that, for non linear material, is a function of B, as shown in Equation (26).
The software FEMM solves the problem finding a field that satisfies Equations (23)–(25) through a magnetic vector potential approach. A vector potential, A, is defined, as shown in Equation (27).
For what concerns Equation (24), it is always satisfied by the definition of B shown in Equation (27). Equation (23) can be rewritten as shown in Equation (28).
In the 2-D planar and axisymmetric cases, the A vector has only one non-zero component, the one in an out-of-plane direction. All of the conditions reduce to a single equation, exploited to find A. Then, B and H can be deduced by differentiating A.
To solve the problem, a semicircle-shaped computational domain has been created around the engine, with the straight edge along the engine’s axis of symmetry. The problem faced is axisymmetric, and for this kind of problem the Dirichlet condition on the boundary is enforced by the software.
For what concerns the mesh, the software FEMM discretizes the problem domain using triangular elements. Over each triangular element, the solution is approximated by a linear interpolation of the values of potential at the vertices of the triangle. In Figure 7, there is an example of a mesh generated by the software. Obviously, in order to execute the calculation, the materials have to be chosen.

Figure 7.
Computational domain and mesh generated by the software FEMM to solve the axysimmetric magneto-static problem.
The sizing of magnet’s width and anode thickness has been executed through an iterative procedure represented in the flowchart shown in Figure 8.

Figure 8.
Flowchart of the steps to find the magnetic ring dimensions.
The iterative procedure consists of imposing first attempt values regarding the dimensions of the magnets and the thickness of the anode. Once these values are set, the values of the maximum transverse magnetic field between the magnets and the magnetic field at the cusps on the anode surface are estimated. After that, the initial values (the dimension of the magnets and anode thickness) are then modified to obtain magnetic field values closer to those to be obtained. The procedure continues until the the maximum transverse magnetic field between the magnets and the magnetic field at the cusps on the anode surface to be obtained are reached. The size of the magnetic rings is influenced mainly by the maximum transverse magnetic field; instead, the value of the magnetic field at the anode surface influences the distance between the magnet surface and the anode surface that faces the plasma in the chamber.
The tool can be used in two ways: to determine performances of a ion thruster given in terms of input thrust (or power) or size (diameter of the discharge chamber), or to determine the minimum size, knowing the thrust (or power) requirements that the engine must meet, through an iterative procedure. By determining a minimum size to obtain a certain thrust (or power), performances and geometrical and working parameters (e.g., mass flow rate) can be obtained.
The model has some degrees of freedom that have been fixed according to consideration about operative life, efficiency, and complexity: the discharge voltage , the cathode voltage drop , the length of the discharge chamber L, and the grid geometry. For the discharge voltage , a maximum value of 28 V has been imposed according to Ref. [] to minimize screen-grid erosion; the value of the cathode voltage drop is imposed to maintain the quantity () under 21.2 V (the second ionization potential) but still maintain a high value in order to increase the ionization to excitation ratio [,]; () V is a good compromise. This quantity, multiplied by the electron charge e, represents the energy of the electrons emitted by the cathode. In the above expression, represents the sheath potential. For what concerns the discharge chamber length L, a typical value of L/D = 1 for medium-low-power gridded ion thrusters is set []. Finally, the grid geometry chosen is that already used by a lot of ion thrusters of different sizes (e.g., NSTAR GIT [], Patterson mini-GIT []). For this tool, it was decided to use a two-grid configuration in spite of a three-grid configuration. Indeed, even if the third grid, placed downstream of the acceleration grid, shields the acceleration grid from ion bombardment, caused by the back-flow of ions toward the thruster, produced by charge exchange (CEX) phenomena in the beam [,], thus improving thruster life, it increases the constructive complexity of the thruster and modeling efforts as well. The Table 1 summarizes the inputs, outputs, and values assigned to the degrees of freedom, described above, of the developed tool.

Table 1.
Input, output, and degree of freedom of the developed tool.
3. Results
3.1. Validation
For validation purposes, the main performance and working parameters of some conventional thrusters (i.e., the discharge chamber diameter from 12 to 30 cm) present in the open literature were compared to those computed by the tool. The thrusters that were selected were: NSTAR [] in Table 2, XIPS-13 [] in Table 3, XIPS-25 [] in Table 4, Table 5 and Table 6, and Mitsubishi ETS-8 [] in Table 7. Each thruster has a range of operating conditions, so only some of them were chosen, randomly, for comparison, e.g., for NSTAR, throttle level 15 (TH15) was selected. To ensure the correctness of the thrusters’ data listed above, it was verified that these data satisfied, with a good approximation, the Equations (1)–(8). The input given to the model, for comparison, was the thrust and the discharge chamber diameter of the selected ion thrusters in a certain operating condition.

Table 2.
Comparison between the characteristics and performances of NSTAR ion thruster (throttle level 15) [] and the results of the developed model.

Table 3.
Comparison between the characteristics and performances of XIPS-13 cm ion thruster (nominal operating condition) [] and the results of the developed model.

Table 4.
Comparison between the characteristics and performances of XIPS-25 cm ion thruster (mission level 1) [] and the results of the developed model.

Table 5.
Comparison between the characteristics and performances of XIPS-25 cm ion thruster (mission level 2) [] and the results of the developed model.

Table 6.
Comparison between the characteristics and performances of XIPS-25 cm ion thruster (mission level 3) [] and the results of the developed model.

Table 7.
Comparison between the characteristics and performances of a working condition of ETS-8 ion thruster [] and the results of the developed model.
The results of the model in Table 2, Table 3, Table 4, Table 5, Table 6 and Table 7 show an error, compared to the performances and working parameters of the thrusters, in general, which are lower than for most of the characteristics and even lower than for many parameters. The error, in general, is lower in the calculation of the performances of the thrusters and slightly higher in the calculation of the working parameters.
For what concerns the comparison with the NSTAR ion thruster, the error is small for every parameter except in the calculation of the accelerator grid voltage , as shown in Table 2. This is related to the fact that this parameter is obtained from the difference between the total beam voltage and the net beam voltage , which are both affected by errors. The acceleration grid voltage , moreover, is quite a lot lower than the total beam voltage and the net beam voltage , so even if the error, in percentage terms, is very small for these two parameters, the error for the acceleration grid voltage , in percentage terms, is quite high.
For what concerns the XIPS-13 ion thruster, the error is quite high for the beam voltage , as shown in Table 3. in the tool is a function of the total efficiency , the specific impulse , the input power , and the grid geometry. The error obtained is probably due to the different grid geometry exploited by this engine because the error on the other parameters is quite small. There is also a slightly high error for the beam current , the total voltage , and the accelerator grid voltage because the calculation of these parameters has been exploited.
For what concerns the comparison with the XIPS-25 ion thruster, the error is small for almost all of the parameters of each operating condition, as shown in Table 4 and Table 5. The error is slightly higher only in the calculation of the accelerator grid voltage . The error of the tool increases, on average changing the operating condition from 1 to 3, and this can be related to the calculation of the total efficiency through the function shown in Figure 3. Moving away from the nominal condition, the error of the function increases. The total efficiency affects all of the values calculated in the tables, except for the input power.
For what concerns the ETS-8 ion thruster, as in XIPS-13 ion thruster, the error on is quite high, as shown in Table 7. Additionally, in this case, even if the error on the specific impulse , and the total efficiency , is not negligible, the error may be associated mainly with a different grid geometry. In fact, in the calculation of , the total efficiency is at the numerator and the specific impulse at the denominator. Having obtained a higher specific impulse and a lower total efficiency, with respect to the thruster, a lower value of should have been obtained with respect to the real performances of the thruster. The other errors obtained are due to the errors in the estimation of .
The model has been further used to reproduce the characteristics of a miniaturized GIT (8 cm of discharge chamber and 100 W as input power) developed by M. J. Patterson [,], as shown in Table 8. In Ref. [], the performance targets of the miniaturized ion thruster developed by M. J. Patterson are listed, and in Ref. [] the actual performances are listed. In this case, to allow for a more effective comparison, it was decided to give the model, as an input parameter, no longer the thrust but the power (100 W).

Table 8.
Comparison between the characteristics and the targeted and real performances of Patterson Ion thruster [,], and the results of the developed model, which has as input parameters 4 mN of thrust and 8 cm as discharge chamber diameter.
For what concerns the comparison between the model results and the Patterson miniaturized gridded ion thruster characteristics, the results in Table 8 show that the performances and working parameter values obtained from the model are between the values of the performance targets parameters [] and the effective performances of the selected engine []. Thus, the model predictions are closer to the real performances respect to Ref. []. Furthermore, the error made by the model, compared to the real performances of the miniaturized ion thruster developed by Patterson, is almost below 10%, and below 5% for half of the parameters. The error is slightly high for the discharge voltage because this value has been assigned, as specified in the previous section, and for the total efficiency , probably because the function shown in Figure 3 has been obtained through data from conventionally sized thrusters.
Overall, the data shown in Table 2, Table 3, Table 4, Table 5, Table 6, Table 7 and Table 8 confirm the validity of the model both for normal-sized and miniaturized ion thrusters; the performance and working parameters obtained from the model are quite similar to the parameters related to the ion thrusters chosen for the comparison.
Furthermore, for NSTAR, the methodology described in the previous section to define the magnets dimensions and the anode thickness (Figure 8) was applied. As described previously, these parameters could be obtained through an FEMM simulation. For this simulation, obviously, as regards the materials of the magnets and the discharge chamber, the same materials used by the NSTAR ion thruster have been selected. In particular, three samarium-cobalt magnet rings, with alternating polarity, have been used. The first magnet ring has been placed in the region of the discharge cathode, the second at the discharge chamber conic-cylinder intersection, and the last near the ion optics. Titanium has been used as the material for the discharge chamber. The results showed good agreement with the expected values, e.g., the width of the front magnets obtained was about 5 mm and the anode wall thickness 1.5 mm. The magneto-static solution obtained by FEMM is shown in Figure 9.

Figure 9.
NSTAR: Rebuilt magnetic field obtain by FEMM software. The discharge chamber diameter in the cylindrical part is 30 cm, and the total length is 23 cm. The width of the front magnets is 5 mm, and the width of the rear one is 10 mm. Titanium is the discharge chamber wall material, and samarium cobalt is the magnet’s material.
Finally, the developed tool has been compared with another tool proposed in the literature, which makes use of a simple macroscopic plasma-source simulation (SMPS) code with and genetic algorithm (GA) []. The tool developed in Ref. [] takes in input the input power , the net accelerating voltage , grid parameters, beam diameter , and the discharge chamber length L; the outputs of the model are the flow rate of the discharge chamber , the beam current , the discharge current , the discharge voltage , the thrust T, and the propellant utilization efficiency of the discharge chamber . In Table 9, the results of the two models in predicting NSTAR ion thruster data in TH15 operating condition are shown. As the input of the developed tool, it was decided to provide the power of NSTAR instead of the thrust T for a better comparison.

Table 9.
Comparison between the characteristics and performances of NSTAR ion thruster (throttle level 15) [] and the results of the tools.
The results in Table 9 show that the developed tool makes slightly lower errors and also allows one to obtain more performances and design parameters than the tool in Ref. [].
3.2. Design of a 2 mN GIT
To highlight the potential of the developed tool, it has been exploited in the preliminary design of a miniaturized GIT that could meet the requirements of space missions such as LUMIO [] and M-ARGO [], which involve the use of a 12U CubeSat. For these two missions, the thruster should be light (<5 kg), characterized by a power of about 100 W or less, able to produce 2 mN of thrust, operative for 200 and 500 days and with a of 0.2 and 3 km/s, respectively. The performances and the main working parameters obtained from the model are shown in Table 10 and Table 11.

Table 10.
Main performances and working parameters of the 2 mN ion thruster.

Table 11.
2 mN Ion thruster characteristics.
Samarium cobalt has been selected as the magnets’ material, i.e., in the literature there are many examples of ion thrusters that work with samarium cobalt [], and it was chosen for its magnetic strength. SmCo 27 MGOe was chosen among various types of samarium cobalt magnets for this magnetic property, which allows one to obtain the high value of the magnetic field at the cusp of the surface of the anode, and at low cost. Actually, there are stronger SmCo magnets, but a very strong magnet results in a small dimension of the width of the magnetic rings, and it can be a problem in terms of fragility. Rigorously, a thermal analysis [] would be advisable to assess whether magnets would reach the maximum operating temperature (300 °C); nevertheless, the temperatures reached in a ion thruster are, in general, lower []. The material chosen for the anode has been Stainless Steel 304, a diamagnetic material particularly resistant to the impact erosion of charged particles. The anode and the magnets’ dimensions, obtained from the model, are shown in Table 12. Molybdenum was selected for the grids, as is commonly done in the open literature []. A total weight of 0.3 kg, without cathodes and power lines, resulted.

Table 12.
Magnets, anode material, and geometric parameters for the 2 mN ion thruster. “1”, “2”, and “3” indicate the ring magnets; “3” refers to the smallest magnetic ring.
The data shown in Table 10 and Table 11 fulfill the requirements of LUMIO and M-ARGO space missions for what concerns power, thrust, weight, and size. A study regarding life-time expectations has not been performed, but GITs, on average, have a good operative life, which satisfies the requirement of the two exploration missions [].
4. Conclusions
This paper has described the development and the validation of a preliminary design tool for medium-low-power (<5 kW) gridded ion thrusters using as input power or thrust, required by a generic space mission. The tool makes use of a curve-fitting approach, analytical equations, and an FEMM simulation to obtain such important parameters as efficiencies, specific impulse, discharge current, and mass flow rate.
The methodology has been verified by comparing the performances and working parameters obtained by the tool with the performances of some conventionally sized thrusters like NSTAR and the mini-ion thruster developed by Patterson. The results obtained by the tool are in good agreement with the real performance and working parameters of the selected thrusters, obtaining a very small error for most of them (in average less than 5–10%), demonstrating the validity of it both for conventionally sized and miniaturized gridded ion thrusters. Slightly higher errors have been obtained for XIPS-13 and ETS-8 ion thrusters in the estimation of the beam voltage (41.6% and 30.6%), probably due to the different grid geometries exploited by the thrusters with respect to the one considered in the tool, and in the calculation of the total efficiency (12.9%) for the Patterson’s GIT because the estimation of the is made with a function that interpolates data from conventionally sized thrusters. Furthermore, for almost every thruster the error in the estimation of the accelerator grid voltage is slightly higher (5.5–44.4%), due to the calculation methodology of this parameter.
The tool has been also compared with a preliminary design tool found in the literature that exploits simple macroscopic plasma-source simulation (SMPS) combined with a genetic algorithm (GA). The developed tool demonstrated the achievement of slightly lower errors in predicting NSTAR ion thruster data in TH15, and more design and performance parameters.
Finally, to demonstrate the potential of the tool, it was used to make the preliminary design of a miniaturized GIT for missions such as LUMIO and M-ARGO, requiring low power (100 W) and low thrust (2 mN).
The method has been shown to have a very low computational weight and a relatively low number of degrees of freedom, due to the curve-fitting approach exploited in the methodology.
Future research in the development of this tool will focus on the implementation of an optimization technique, e.g., PSO (particle swarm optimization), to optimize the values of the degrees of freedom, such as the discharge chamber length.
Author Contributions
Conceptualization, F.B.; methodology, F.A. and F.B.; software, F.A.; validation, F.A; formal analysis, F.A.; data curation, F.A. and M.P.; writing—original draft preparation, F.A.; writing—review and editing, M.P. and F.B.; visualization, F.A. and M.P.; supervision, M.P.; and project administration, F.B. All authors have read and agreed to the published version of the manuscript.
Funding
This research was funded by the Italian research program in aerospace, PRORA (Programma Operativo Ricerche Aerospaziali) entrusted by MIUR (Ministero dell’Istruzione, Ministero dell’Università e della Ricerca).
Institutional Review Board Statement
Not applicable.
Informed Consent Statement
Not applicable.
Data Availability Statement
The data presented in this study are available on request from the corresponding author.
Acknowledgments
The authors would like to thank R. Savino (University of Naples, Federico II) who entrusted his graduated student (F.A.) to the CIRA space propulsion laboratory, giving him the possibility to contribute to this study.
Conflicts of Interest
The authors declare no conflict of interest.
Abbreviations
The following abbreviations are used in this manuscript:
A | Magnetic vector potential |
Electron loss area at anode | |
Total surface area of anode exposed to plasma | |
Primary electron loss area at anode | |
B | Magnetic flux density |
Magnetic field strength at the cusps on the anode wall | |
Maximum transverse magnetic field between magnets | |
d | Grid gap |
D | Discharge chamber diameter |
Screen-grid holes diameter | |
e | Electron charge |
Ion-confinement factor | |
g | Gravitational acceleration at sea level |
H | Magnetic field intensity |
Neutral excitation rate | |
Electron current leaving plasma to anode | |
Ion-beam current | |
Discharge current | |
Current emitted by the hollow cathode | |
Ion current lost to the anode | |
Ion current back to the cathode | |
Primary electron current lost directly to the anode | |
Ion-production rate | |
Ion current to the screen grid | |
Specific impulse | |
J | Free-current density |
k | Boltzmann’s constant |
Knudsen number | |
l | Diffusion length |
Total length of the magnetic cusps | |
m | Electron mass |
Propellant flow rate | |
M | Ion mass |
Electron density in the plasma | |
Ion density in the plasma | |
Primary-electron density | |
Upstream pressure of the injector | |
Discharge chamber pressure | |
Total input power | |
Input power in the discharge chamber | |
Output power in the discharge chamber | |
Beam power | |
Larmor radius of plasma electrons | |
Larmor radius of ions | |
Larmor radius of primary electrons | |
R | Ratio of beam voltage to total voltage |
Thickness of the screen grid | |
T | Thrust |
Optical transparency of the grid | |
Electron temperature | |
Ionization potential | |
Average excitation potential | |
Primary-electron velocity | |
Accel grid voltage | |
Net beam voltage | |
Cathode voltage drop | |
Discharge voltage | |
Voltage of primaries electrons from the cathode | |
Voltage drop in the plasma | |
Total voltage across accelerator gap (+) | |
Thrust-correction factor | |
Absolute dielectric permittivity | |
Plasma electron energy lost to the wall | |
Discharge Loss | |
Electrical efficiency | |
Propellant utilization efficiency | |
Total efficiency | |
Magnetic permeability | |
Electron mobility | |
Sum of electrons–neutrals collision frequency and electrons–ions collision frequency | |
Electrons–ions collision frequency | |
Electrons–neutrals collision frequency | |
Sheath potential relative to the anode wall |
References
- Lev, D.; Myers, R.; Rocketdyne, A.; Kolbeck, J.; Keidar, M.; del Amo, J.G.; Choe, W.; Koizumi, H.; Albertoni, R.; Gabriel, S.; et al. The Technological and Commercial Expansion of Electric Propulsion in the Past 24 Years. In Proceedings of the 35th International Electric Propulsion Conference, Atlanta, Georgia, 8–12 October 2017. [Google Scholar]
- Dale, E.; Jornsand, B.; Gallimore, A. Future Directions for Electric Propulsion Research. Aerospace 2020, 7, 120. [Google Scholar] [CrossRef]
- Witze, A. NASA spacecraft will slam into asteroid in first planetary-defence test. Nature 2021, 600, 17–18. [Google Scholar] [CrossRef]
- Rivkin, A.S.; Chabot, N.L.; Stickle, A.M.; Thomas, C.A.; Richardson, D.C.; Barnouin, O.; Fahnestock, E.G.; Ernst, C.M.; Cheng, A.F.; Chesley, S.; et al. The double asteroid redirection test (DART): Planetary Defense Investigations and Requirements. Planet Sci. J. 2021, 2, 173. [Google Scholar] [CrossRef]
- Cheng, A.F.; Agrusa, H.F.; Barbee, B.W.; Meyer, A.J.; Farnham, T.L.; Raducan, S.D.; Zanotti, G. Momentum transfer from the DART mission kinetic impact on asteroid Dimorphos. Nature 2023, 616, 457–460. [Google Scholar] [CrossRef] [PubMed]
- Crofton, M.W.; Schoeffler, D.T.; Young, J.A.; Patterson, M.J. Erosion Rate Measurements for DART Spacecraft Ion Propulsion System. Appl. Sci. 2022, 12, 7831. [Google Scholar] [CrossRef]
- Neumann, A.; Muhlich, N.S. Ground-Based Experiment for Electric Propulsion Thruster Plume—Magnetic Field Interaction. Aerospace 2023, 10, 117. [Google Scholar] [CrossRef]
- Tan, Y.T.; Irons, K.E.; Petro, E. Viability of Electric Propulsion in Smallsats for Active Debris Removal (EPSADR). In Proceedings of the AIAA SCITECH 2023 Forum, National Harbor, MD, USA, 23–27 January 2023. [Google Scholar]
- O’Reilly, D.; Herdrich, G.; Kavanagh, D.F. Electric Propulsion Methods for Small Satellites: A Review. Aerospace 2021, 8, 22. [Google Scholar] [CrossRef]
- Magaldi, B.; Karnopp, J.; da Silva Sobrinho, A.; Pessoa, R. A Global Model Study of Plasma Chemistry and Propulsion Parameters of a gridded ion thruster Using Argon as Propellant. Plasma 2022, 5, 324–340. [Google Scholar] [CrossRef]
- Sovey, J.S. Improved Ion Containment Using a Ring Cusp Ion Thruster. J. Spacecraft 1984, 21, 488–495. [Google Scholar] [CrossRef]
- Beattie, J.R.; Poeschel, R.L. Ring Cusp Ion Thruster. In Proceedings of the 17th International Electric Propulsion Conference, Tokyo, Japan, 28–31 May 1984. [Google Scholar]
- Goebel, D.M.; Katz, I. Fundamentals of Electric Propulsion: Ion and Hall Thrusters, 1st ed.; John Wiley & Sons: Hoboken, NJ, USA, 2008. [Google Scholar]
- Laya, N.P.; Xu, K.G. Optimization of Screen Grid Aperture Diameter and Aperture Count in Ion Thrusters for Maximum Screen Grid Ion Transparency. In Proceedings of the AIAA SCITECH 2022 Forum, San Diego, CA, USA, 3–January 2022. [Google Scholar]
- Cipriano, A.M.; Del Tos, D.A.; Topputo, F. Orbit Design for LUMIO: The Lunar Meteoroid Impacts Observer. Front. Astron. Space Sci. 2018, 5, 29. [Google Scholar] [CrossRef]
- Topputo, F.; Wang, Y.; Giordano, C.; Franzese, V.; Goldberg, H.; Perez-Lissi, F.; Walker, R. Envelop of reachable asteroids by M-ARGO CubeSat. Adv. Space Res. 2021, 67, 4193–4221. [Google Scholar] [CrossRef]
- Maske, T.D. Plasma Properties and Performance of Mercury Ion Thrusters. AIAA J. 1971, 9, 205–212. [Google Scholar] [CrossRef]
- Ward, J.; Masek, T. A Discharge Computer Model for an Electron Bombardment Thruster. In Proceedings of the 12th International Electric Propulsion Conference, Key Biscayne, FL, USA, 14–17 November 1976. [Google Scholar]
- Matossian, J.N.; Beattie, J.R. Model for Computing Volume Averaged Plasma Properties in Electron-Bombardment Ion Thrusters. J. Propuls. Power 1989, 5, 188–196. [Google Scholar] [CrossRef]
- Brophy, J.R. Ion Thruster Performance Model. Ph.D. Thesis, Colorado State University, Fort Collins, CO, USA, December 1984. [Google Scholar]
- Brophy, J.R.; Wilbur, P.J. Simple Performance Model for Ring and Line Cusp Ion Thrusters. AIAA J. 1985, 23, 1731–1736. [Google Scholar] [CrossRef]
- Wilbur, P.J.; Beattie, J.R.; Hyman, J. Approach to the Parametric Design of Ion Thrusters. J. Propuls. Power 1990, 6, 575–583. [Google Scholar] [CrossRef]
- Polk, J.E.; Kakuda, R.Y.; Anderson, J.R.; Brophy, J.R. In-Flight Performance of the NSTAR Ion Propulsion System on the Deep Space One Mission. In Proceedings of the 2000 IEEE Aerospace Conference, Big Sky, MT, USA, 18–25 March 2000. [Google Scholar]
- Beattie, J.R.; Williams, J.D.; Robson, R.R. Flight qualification of an 18-mN Xenon ion thruster. In Proceedings of the 23rd International Electric Propulsion Conference, Seattle, WA, USA, 13–16 September 1993. [Google Scholar]
- Tighe, W.G.; Chien, K.R.; Solis, E.; Rebello, P.; Goebel, D.M.; Snyder, J.S. Performance Evaluation of the XIPS 25-cm Thruster for Application to NASA Discovery Missions. In Proceedings of the 42nd Joint Propulsion Conference and Exhibit, Sacramento, CA, USA, 9–12 July 2006. [Google Scholar]
- Nakayama, Y.; Wilbur, P.J. The Feasibility of a Genetic-Algorithm-Based Ion Thruster Design Code. In Proceedings of the 37th Joint Propulsion Conference and Exhibit, Salt Lake City, GA, USA, 8–11 July 2001. [Google Scholar]
- Randall, P.N.; Lewis, R.A.; Clark, S.D.; Hall, K.W. T5 Performance, Industrialization and Future Applications. In Proceedings of the 36th International Electric Propulsion Conference, Wien, Austria, 15–20 September 2019. [Google Scholar]
- Snyder, J.S.; Goebel, D.M.; Hofer, R.R.; Polk, J.E.; Wallace, N.C.; Simpson, H. Performance Evaluation of the T6 Ion Engine. J. Propuls. Power 2012, 28, 371–379. [Google Scholar] [CrossRef]
- Luna, J.P.; Lewis, R.A.; Park, N.; Bosher, J.; Guarducci, F.; Cannat, F. T7 Thruster Design and Performance. In Proceedings of the 36th International Electric Propulsion Conference, Wien, Austria, 15–20 September 2019. [Google Scholar]
- Patterson, M.J.; Benson, S.W. NEXT Ion Propulsion System Development Status and Performance. In Proceedings of the 43rd Joint Propulsion Conference, Cincinnati, OH, USA, 8–11 July 2007. [Google Scholar]
- Brophy, J.R.; Pless, L.C.; Mueller, J.; Anderson, J.R. Operating Characteristics of a 15-cm-dia Ion Engine for Small Planetary Spacecraft. In Proceedings of the 23rd International Electric Propulsion Conference, Seattle, WA, USA, 13–16 September 1993. [Google Scholar]
- Shimada, S.; Satoh, K.; Gotoh, Y.; Nishida, E.; Takegahara, H. Ion Engine System Development of ETS-VI. In Proceedings of the 22nd International Electric Propulsion Conference, Viareggio, Italy, 14–17 October 1991. [Google Scholar]
- Ozaki, T.; Gotoh, Y.; Itoh, T.; Kajiwara, K. Development Status of 20 mN Class Xenon Ion Thruster for ETS-8. In Proceedings of the 27th International Electric Propulsion Conference, Pasadena, CA, USA, 15–19 October 2001. [Google Scholar]
- Chu, E.; Goebel, D.M.; Wirz, R.E. Reduction of Energetic Ion Production in Hollow Cathodes by External Gas Injection. J. Propuls. Power 2013, 29, 1155–1163. [Google Scholar] [CrossRef]
- Cercignani, C.; Sernagioto, F. Cylindrical Poiseuille Flow of a Rarefied Gas. Phys. Fluids 1966, 9, 40–44. [Google Scholar] [CrossRef]
- Loyalka, S.K. Kinetic theory of thermal transpiration and mechanocaloric effect.II. Chem. Phys. 1975, 63, 4054–4060. [Google Scholar]
- Lo, S.S.; Loyalka, S.K. An Efficient Computation of Near-Continuum Rarefied Gas Flows. J. Appl. Math. Phys. 1982, 33, 419–424. [Google Scholar] [CrossRef]
- Lo, S.S.; Loyalka, S.K.; Storvik, T.S. Rarefied gas flow in a cylindrical annulus. J. Vac. Sci. Technol. 1983, 1, 1539–1548. [Google Scholar] [CrossRef]
- Valougeorgis, D.; Thomas, J.R. Exact numerical results for Poiseuille and thermal creep flow in a cylindrical tube. Phys. Fluids 1986, 29, 423–429. [Google Scholar] [CrossRef]
- Sharipov, F.M.; Seleznev, V.D. Rarefied Gas Flow Through a Long Tube at any Pressure Ratio. J. Vac. Sci. Technol. 1994, 12, 2933–2935. [Google Scholar] [CrossRef]
- Meeker, D. Finite Element Method Magnetics, User’s Manual. Available online: http://www.femm.info/Archives/doc/manual42.pdf (accessed on 10 April 2023).
- Patterson, M.J.; Grisnik, S.P.; Soulas, G.C. Scaling of Ion Thrusters to Low Power. In Proceedings of the 25th International Electric Propulsion Conference, Cleveland, OH, USA, 24–28 August 1997. [Google Scholar]
- Rapp, D.; Englander-Golden, P. Total Cross Sections for Ionization and Attachment in Gases by Electron Impact. I. Positive Ionization. Chem. Phys. 1965, 43, 1464–1479. [Google Scholar] [CrossRef]
- Hayashi, M. Determination of Electron-Xenon Total Excitation Cross-Sections, from Threshold to 100-eV, from Experimental Values of Townsend’s α. J. Phys. D 1983, 16, 581–589. [Google Scholar] [CrossRef]
- Wirz, R.E.; Polk, J.; Marrese, C.; Müller, J.; Escobedo, J.; Sheehan, P. Development and testing of a 3 cm Electron Bombardment Micro-Ion Thruster. In Proceedings of the 27th International Electric Propulsion Conference, Pasadena, CA, USA, 15–19 October 2001. [Google Scholar]
- Patterson, M.J.; Haag, T.W.; Rawlin, V.K. NASA 30 cm Ion Thruster Development Status. In Proceedings of the 30th Joint Propulsion Conference, Indianapolis, IN, USA, 27–29 June 1994. [Google Scholar]
- Wirz, R.E.; Anderson, J.R.; Goebel, D.M.; Katz, I. Decel Grid Effects on Ion Thruster Grid Erosion. IEEE Trans. Plasma Sci. 2008, 36, 2122–2129. [Google Scholar] [CrossRef]
- Lu, C.; Zhao, Y.; Wan, J.; Chu, Y.; Zheng, L.; Cao, Y. Influence of the Decelerator Grid on the Optical Performance of the Ion Thruster. J. Aerosp. Eng. 2019, 2019, 1–11. [Google Scholar] [CrossRef]
- Patterson, M.J. Low Power Ion Thruster Development Status. In Proceedings of the 34th Joint Propulsion Conference and Exhibit, Cleveland, OH, USA, 13–15 July 1998. [Google Scholar]
- Abranches, D.; Brojo, F. A Study of the Magnetic Field inside the Discharge Chamber of an Ion Thruster. KnE Eng. 2020, 2020, 476–486. [Google Scholar] [CrossRef]
- Van Noord, J.L. NEXT Ion Thruster Thermal Model. In Proceedings of the 43rd Joint Propulsion Conference and Exhibit, Cincinnati, OH, USA, 8–11 July 2007. [Google Scholar]
- Yeo, S.H.; Ogawa, H.; Kahnfeld, D. Miniaturization perspectives of electrostatic propulsion for small spacecraft platforms. Prog. Aerosp. Sci. 2021, 126, 100742. [Google Scholar] [CrossRef]
Disclaimer/Publisher’s Note: The statements, opinions and data contained in all publications are solely those of the individual author(s) and contributor(s) and not of MDPI and/or the editor(s). MDPI and/or the editor(s) disclaim responsibility for any injury to people or property resulting from any ideas, methods, instructions or products referred to in the content. |
© 2023 by the authors. Licensee MDPI, Basel, Switzerland. This article is an open access article distributed under the terms and conditions of the Creative Commons Attribution (CC BY) license (https://creativecommons.org/licenses/by/4.0/).