Investigation on Pivot Rolling Motion Effect on the Behavior of Rocker Back Tilting Pad Journal Bearings
Abstract
1. Introduction
2. Materials and Methods
2.1. Analytical Approach
2.2. Finite Element Analysis
2.3. Rotor Dynamic Analysis
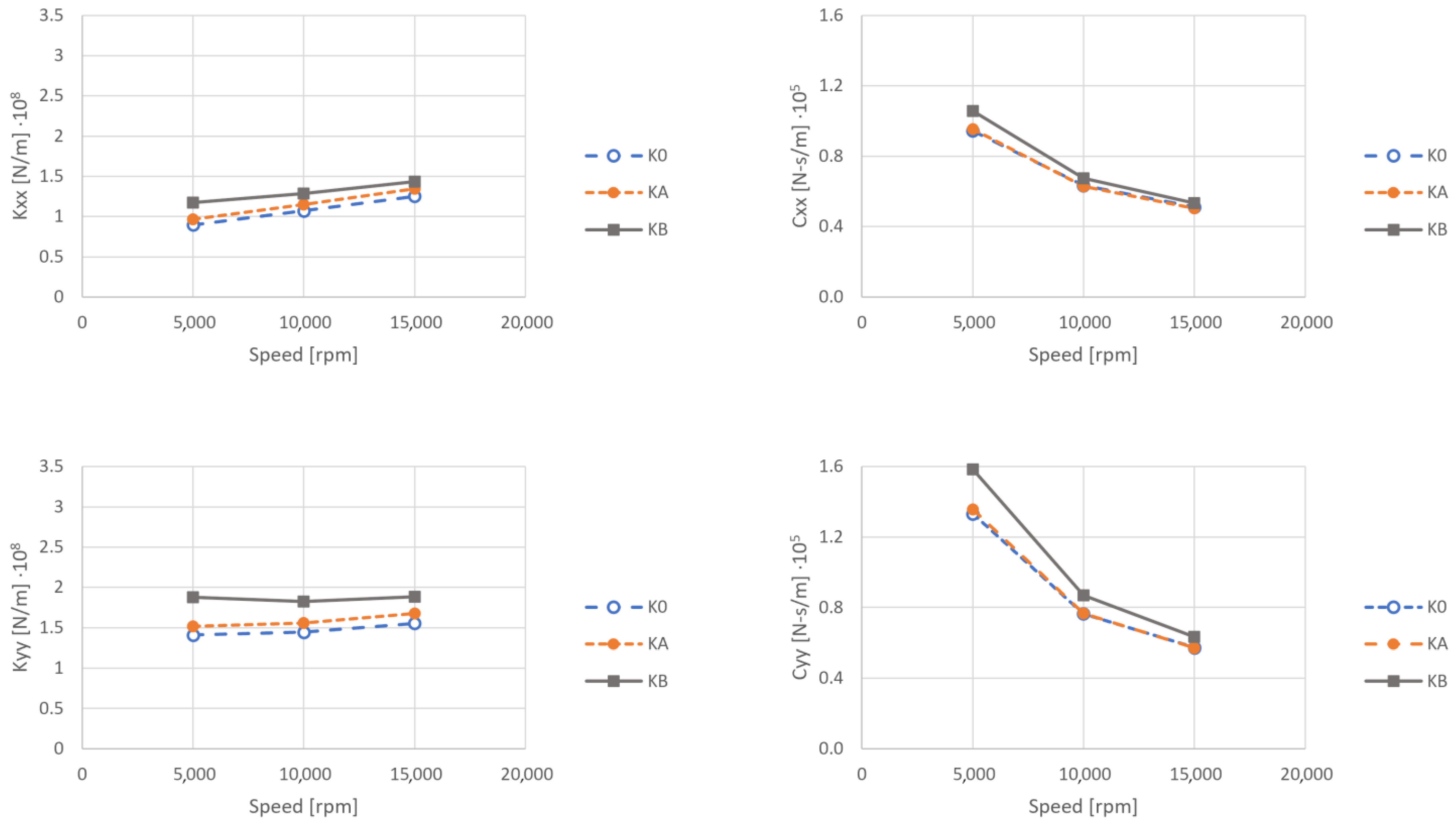
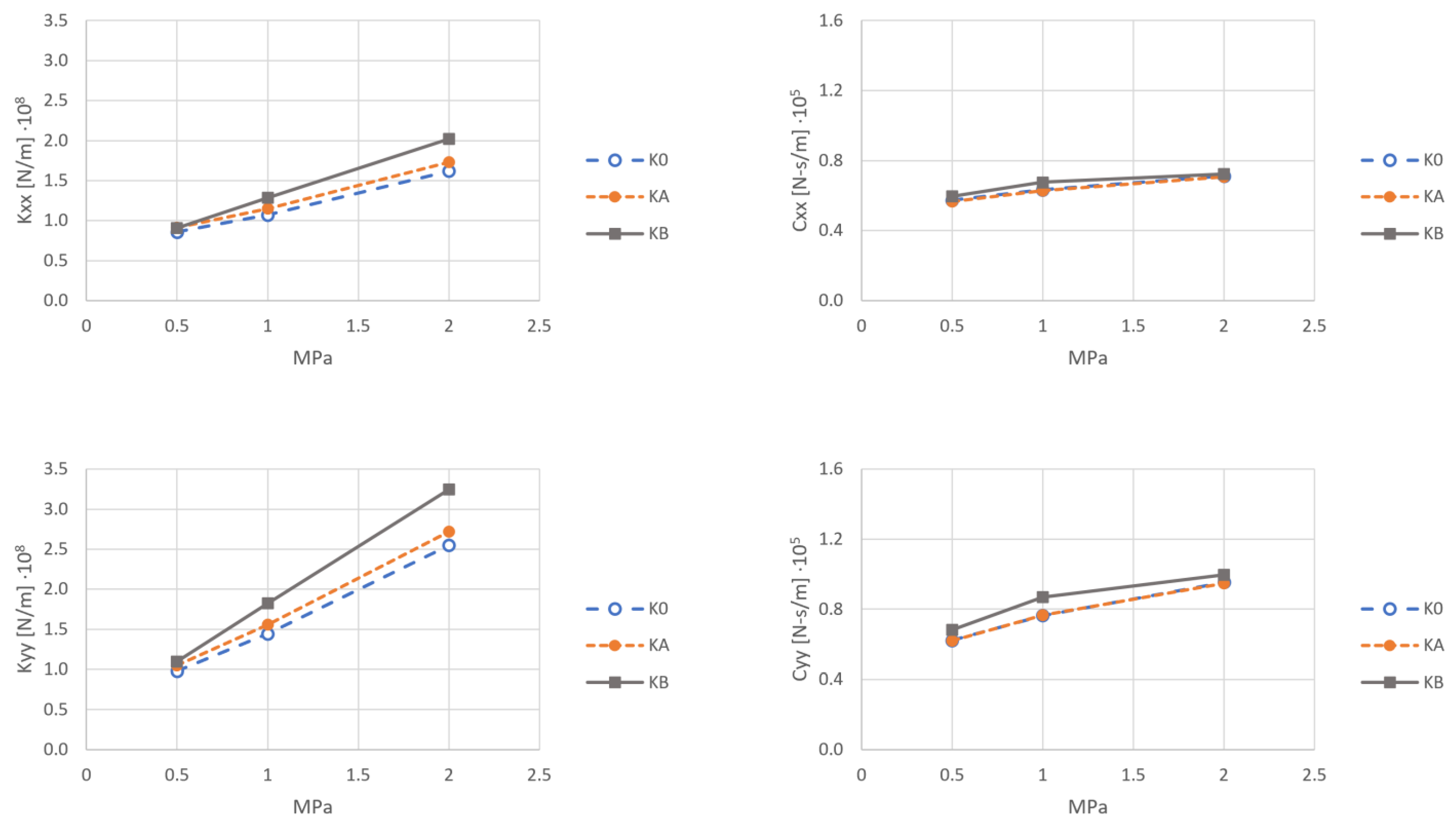
3. Results
3.1. Finite Element Analysis
3.2. Rotor Dynamic Analysis
4. Discussion
5. Conclusions
- journal eccentricity and attitude angle were affected by ;
- cross-coupled coefficients, as well as the destabilizing energy, showed high sensitivity to ;
- direct coefficients were less influenced by , and their values were relatively close to those of the reference configuration in the investigated range.
Author Contributions
Funding
Institutional Review Board Statement
Informed Consent Statement
Data Availability Statement
Acknowledgments
Conflicts of Interest
References
- Wygant, K.D.; Flack, R.D.; Barrett, L.E. Influence of Pad Pivot Friction on Tilting-Pad Journal Bearing Measurements—Part I: Steady Operating Position©. Tribol. Trans. 1999, 42, 210–215. [Google Scholar] [CrossRef]
- Wygant, K.D.; Barrett, L.E.; Flack, R.D. Influence of Pad Pivot Friction on Tilting-Pad Journal Bearing Measurements—Part II: Dynamic Coefficients©. Tribol. Trans. 1999, 42, 250–256. [Google Scholar] [CrossRef]
- Nicholas, J.; Wygant, K. Tilting Pad Journal Bearing Pivot Design for High Load Applications; Texas A&M University: College Station, TX, USA, 1995. [Google Scholar]
- Plantegenet, T. A Brief History of the Flexure Pivot Tilting Pad Journal Bearing; University of London: London, UK, 2021. [Google Scholar]
- Mehdi, S.M.; Jang, K.E.; Kim, T.H. Effects of Pivot Design on Performance of Tilting Pad Journal Bearings. Tribol. Int. 2018, 119, 175–189. [Google Scholar] [CrossRef]
- Dang, P.V.; Chatterton, S.; Pennacchi, P. The Effect of the Pivot Stiffness on the Performances of Five-Pad Tilting Pad Bearings. Lubricants 2019, 7, 61. [Google Scholar] [CrossRef]
- Shi, Z.; Jin, Y.; Yuan, X. Influence of Pivot Design on Nonlinear Dynamic Analysis of Vertical and Horizontal Rotors in Tilting Pad Journal Bearings. Tribol. Int. 2019, 140, 105859. [Google Scholar] [CrossRef]
- Kirk, R.G.; Reedy, S.W. Evaluation of Pivot Stiffness for Typical Tilting-Pad Journal Bearing Designs. J. Vib. Acoust. 1988, 110, 165–171. [Google Scholar] [CrossRef]
- Ciulli, E.; Forte, P.; Antonelli, F.; Minelli, R.; Panara, D. Tilting Pad Journal Bearing Ball and Socket Pivots: Experimental Determination of Stiffness. Machines 2022, 10, 81. [Google Scholar] [CrossRef]
- Ciulli, E.; Betti, A.; Forte, P. The Applicability of the Hertzian Formulas to Point Contacts of Spheres and Spherical Caps. Lubricants 2022, 10, 233. [Google Scholar] [CrossRef]
- Fang, X.; Zhang, C.; Chen, X.; Wang, Y.; Tan, Y. A New Universal Approximate Model for Conformal Contact and Non-Conformal Contact of Spherical Surfaces. Acta Mech. 2015, 226, 1657–1672. [Google Scholar] [CrossRef]
- Zhang, F.; Yin, P.; Liu, Y.; Wang, J. Numerical and Experimental Study on Dynamic Characteristics of Tilting-Pad Journal Bearings Considering Pivot Stiffness in a Vertical Rotor System. Ind. Lubr. Tribol. 2021, 73, 1275–1285. [Google Scholar] [CrossRef]
- Pettinato, B.; De Choudhury, P. Test Results of Key and Spherical Pivot Five-Shoe Tilt Pad Journal Bearings—Part I: Performance Measurements. Tribol. Trans. 1999, 42, 541–547. [Google Scholar] [CrossRef]
- Kim, S.-G.; Kim, K.-W. Influence of Pad–Pivot Friction on Tilting Pad Journal Bearing. Tribol. Int. 2008, 41, 694–703. [Google Scholar] [CrossRef]
- He, F. Including Pivot Friction in Pad Motion for a Tilting Pad Journal Bearing With Ball-Socket Pivots. In Proceedings of the ASME Turbo Expo 2017: Turbomachinery Technical Conference and Exposition. Volume 7A: Structures and Dynamics, Charlotte, NC, USA, 26–30 June 2017. V07AT34A036. [Google Scholar] [CrossRef]
- Kim, S.; Palazzolo, A.B. Pad–Pivot Friction Effect on Nonlinear Response of a Rotor Supported by Tilting-Pad Journal Bearings. J. Tribol. 2019, 141, 091701. [Google Scholar] [CrossRef]
- Kim, S.; Byun, S.; Suh, J. Effects of Tilting Pad Journal Bearing Design Parameters on the Pad-Pivot Friction and Nonlinear Rotordynamic Bifurcations. Appl. Sci. 2020, 10, 5406. [Google Scholar] [CrossRef]
- Dyk, Š.; Rendl, J.; Bulín, R.; Smolík, L. Influence of Detailed Ball-and-Socket Modelling on Tilting Pad Journal Bearings Dynamics. Nonlinear Dyn. 2023, 111, 8155–8171. [Google Scholar] [CrossRef]
- Branagan, L.A.; Barrett, L.E.; Cloud, C.H. A Manual for Use with the Tilting Pad Bearing Program THPAD; Dyrobes: Charlottesville, VA, USA, 2004. [Google Scholar]
- Armentrout, R.W.; Paquette, D.J. Rotordynamic Characteristics of Flexure-Pivot Tilting-Pad Journal Bearings. Tribol. Trans. 1993, 36, 443–451. [Google Scholar] [CrossRef]
- Suh, J.; Palazzolo, A.; Choi, Y.-S. Numerical Modeling and Analysis of Flexure-Pivot Tilting-Pad Bearing. J. Tribol. 2017, 139, 051704. [Google Scholar] [CrossRef]
- Zeidan, F.Y.; Herbage, B.S. Fluid Film Bearing Fundamentals and Failure Analysis. In Proceedings of the 20th Turbomachinery Symposium, Turbomachinery Laboratory; Texas A&M University: College Station, TX, USA, 1991; pp. 161–186. [Google Scholar]
- Dang, P.V.; Chatterton, S.; Pennacchi, P.; Vania, A. Effect of the Load Direction on Non-Nominal Five-Pad Tilting-Pad Journal Bearings. Tribol. Int. 2016, 98, 197–211. [Google Scholar] [CrossRef]











| Time Step | Pressure [MPa] | Moment [N·mm] |
|---|---|---|
| 1 | 0.1 | 0 |
| 2 | 0.2 | 0 |
| … | … | … |
| 10 | 1 | 0 |
| 11 | 1 | 50 |
| 12 | 1 | 100 |
| … | … | … |
| 30 | 1 | 1000 |
| 31 | 1 | 950 |
| … | … | … |
| 50 | 1 | 0 |
| Property | Value | Unit |
|---|---|---|
| Bearing Diameter | 90 | mm |
| Pad Machined Diametral Clearance | 0.4 | mm |
| Bearing Outer Diameter | 130 | mm |
| Pad Material | Steel | |
| Journal Material | Steel | |
| Shell Material | Steel | |
| Lubricant | ISO VG 32 | |
| Oil Supply Temperature | 50 | °C |
| Number of pads | 5 | |
| Load type | Load Between Pads | |
| Pad Arc | 52° | |
| Pad Offset | 0.6 | |
| Preload | 0.55 | |
| Pad axial length | 45 | mm |
| Housing radius, Rh | 65 | |
| Pivot back radius, Rb | 58 or 64 | mm |
Disclaimer/Publisher’s Note: The statements, opinions and data contained in all publications are solely those of the individual author(s) and contributor(s) and not of MDPI and/or the editor(s). MDPI and/or the editor(s) disclaim responsibility for any injury to people or property resulting from any ideas, methods, instructions or products referred to in the content. |
© 2023 by the authors. Licensee MDPI, Basel, Switzerland. This article is an open access article distributed under the terms and conditions of the Creative Commons Attribution (CC BY) license (https://creativecommons.org/licenses/by/4.0/).
Share and Cite
Betti, A.; Forte, P.; Panara, D.; Ciulli, E. Investigation on Pivot Rolling Motion Effect on the Behavior of Rocker Back Tilting Pad Journal Bearings. Appl. Sci. 2023, 13, 5563. https://doi.org/10.3390/app13095563
Betti A, Forte P, Panara D, Ciulli E. Investigation on Pivot Rolling Motion Effect on the Behavior of Rocker Back Tilting Pad Journal Bearings. Applied Sciences. 2023; 13(9):5563. https://doi.org/10.3390/app13095563
Chicago/Turabian StyleBetti, Alberto, Paola Forte, Daniele Panara, and Enrico Ciulli. 2023. "Investigation on Pivot Rolling Motion Effect on the Behavior of Rocker Back Tilting Pad Journal Bearings" Applied Sciences 13, no. 9: 5563. https://doi.org/10.3390/app13095563
APA StyleBetti, A., Forte, P., Panara, D., & Ciulli, E. (2023). Investigation on Pivot Rolling Motion Effect on the Behavior of Rocker Back Tilting Pad Journal Bearings. Applied Sciences, 13(9), 5563. https://doi.org/10.3390/app13095563

