On the Use of Population Data for Training Seasonal Local Models-Based Glucose Predictors: An In Silico Study
Abstract
1. Introduction
2. Material and Methods
2.1. Data Overview
- A nominal day with three meals of 40, 90 and 60 g of carbohydrates at 7:00, 14:00 and 21:00 h were simulated.
- Actual mealtime and carbohydrate intake varied around nominal values following a normal distribution with a standard deviation of 20 min for mealtime, and a 10% coefficient of variance for meal size.
- Meal absorption dynamics were changed at each meal by randomly selecting one of the meal model parameter sets available from the simulator [23].
- Meal absorption rate at each meal changed within a uniform distribution in ±30%, and carbohydrate bioavailability in ±10% around selected nominal values.
- Carbohydrate counting errors by the patient were considered to follow a uniform distribution between −30% and +10%, following results in [25] where a trend to meal underestimation is reported.
- Insulin absorption pharmacokinetics varied in ±30%, according to the intra-patient variability reported in [26].
- Circadian variability of insulin sensitivity was considered with variations in ±30% around nominal sensitivity, reproducing changes in basal insulin requirements in the adult population reported in [27].
- The 15–15 rule [28] was used to treat hypoglycemia (15 g of carbohydrates were administered when glucose went below 70 mg/dL, and repeated if after 15 min hypoglycemia was still present).
2.2. CGM Data Partitioning
2.3. Data Regularization
2.4. Data Clustering
2.5. Data Preparation for Identification
2.6. Local SARIMA Modeling
2.7. Models Integration in a Glucose Predictor
2.8. Glucose Predictors Validation
3. Results and Discussion
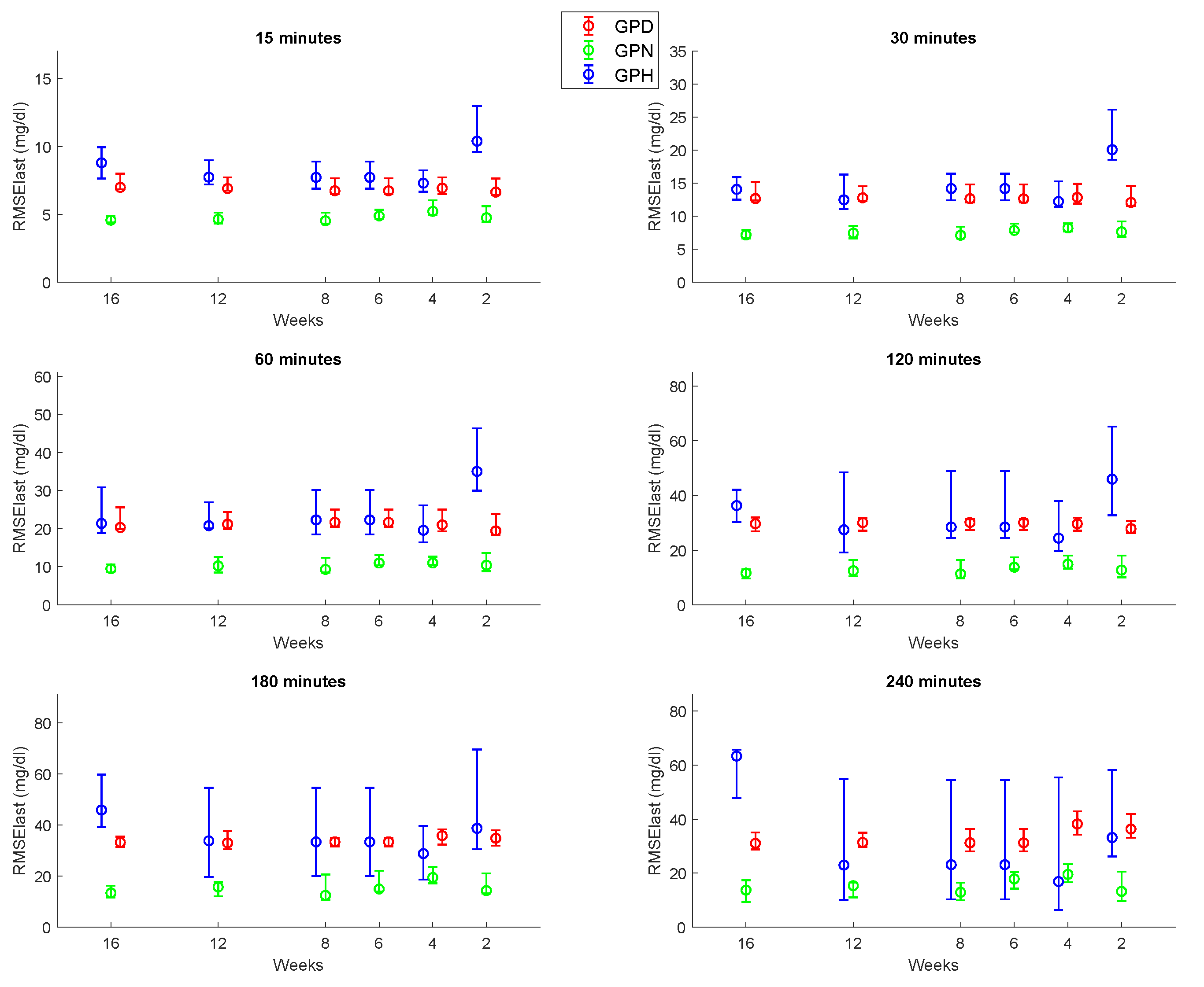
3.1. Individual vs. Population Predictor
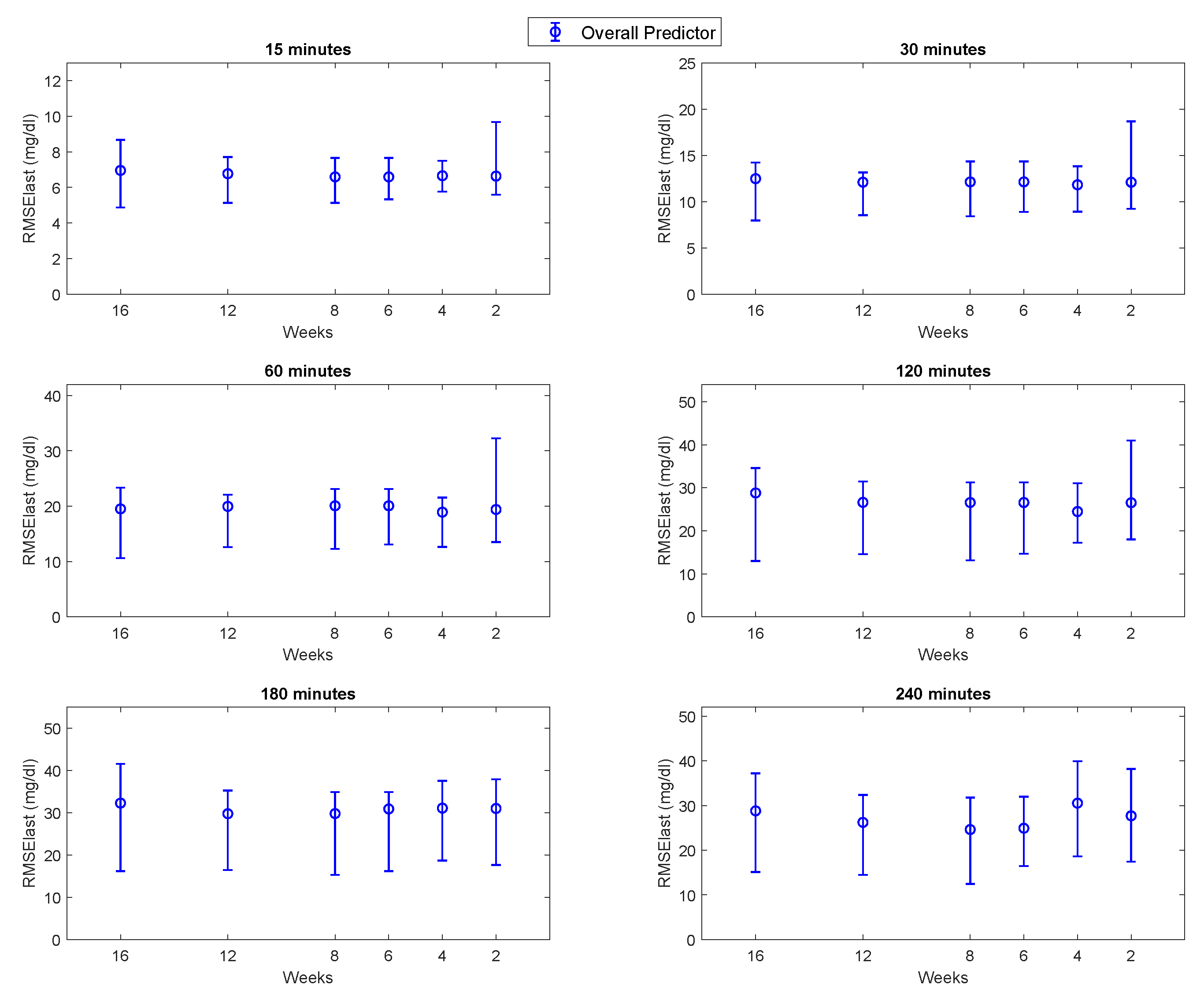
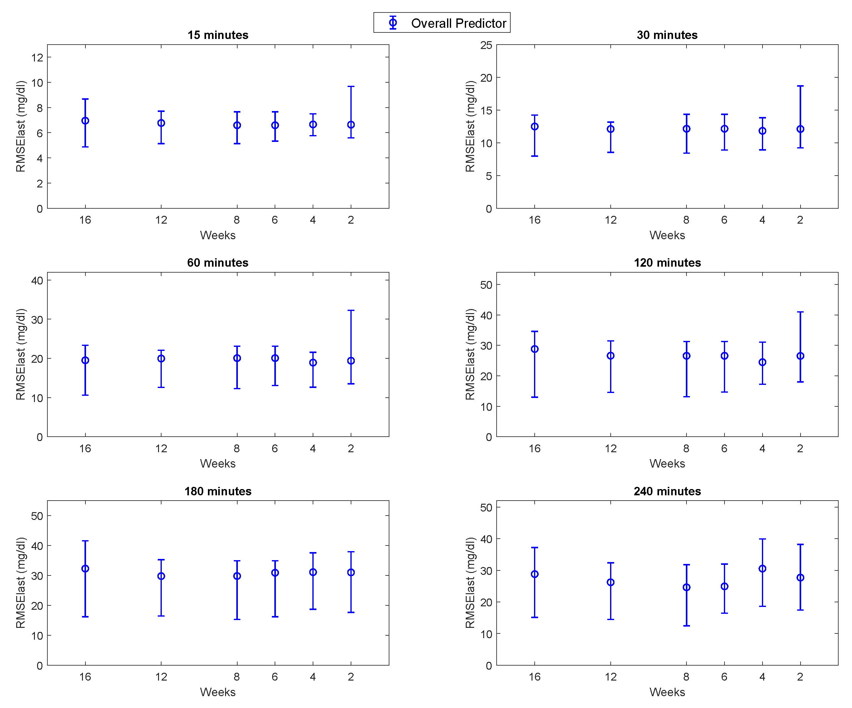
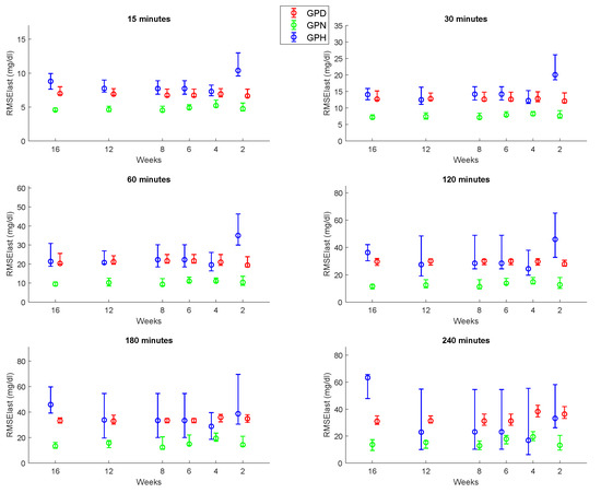
3.2. Effect of the Number of Weeks of Data on the Population Predictor
4. Conclusions
Author Contributions
Funding
Institutional Review Board Statement
Informed Consent Statement
Data Availability Statement
Conflicts of Interest
References
- International Diabetes Federation. IDF Diabetes Atlas, 10th ed.; International Diabetes Federation: Brussels, Belgium, 2021. [Google Scholar]
- Hovorka, R. Continuous glucose monitoring and closed-loop systems. Diabet. Med. 2006, 23, 1–12. [Google Scholar] [CrossRef] [PubMed]
- Palerm, C.C.; Willis, J.P.; Desemone, J.; Bequette, B.W. Hypoglycemia prediction and detection using optimal estimation. Diabetes Technol. Ther. 2005, 7, 3–14. [Google Scholar] [CrossRef] [PubMed]
- Li, L.; Xie, X.; Yang, J. A predictive model incorporating the change detection and Winsorization methods for alerting hypoglycemia and hyperglycemia. Med. Biol. Eng. Comput. 2021, 59, 2311–2324. [Google Scholar] [CrossRef]
- Forlenza, G.P.; Li, Z.; Buckingham, B.A.; Pinsker, J.E.; Cengiz, E.; Wadwa, R.P.; Ekhlaspour, L.; Church, M.M.; Weinzimer, S.A.; Jost, E.; et al. Predictive low-glucose suspend reduces hypoglycemia in adults, adolescents, and children with type 1 diabetes in an at-home randomized crossover study: Results of the PROLOG trial. Diabetes Care 2018, 41, 2155–2161. [Google Scholar] [CrossRef]
- Haidar, A. The artificial pancreas: How closed-loop control is revolutionizing diabetes. IEEE Control Syst. Mag. 2016, 36, 28–47. [Google Scholar]
- Kovatchev, B.; Tamborlane, W.V.; Cefalu, W.T.; Cobelli, C. The artificial pancreas in 2016: A digital treatment ecosystem for diabetes. Diabetes Care 2016, 39, 1123–1126. [Google Scholar] [CrossRef] [PubMed]
- Trevitt, S.; Simpson, S.; Wood, A. Artificial pancreas device systems for the closed-loop control of type 1 diabetes: What systems are in development? J. Diabetes Sci. Technol. 2016, 10, 714–723. [Google Scholar] [CrossRef]
- Bergenstal, R.M.; Garg, S.; Weinzimer, S.A.; Buckingham, B.A.; Bode, B.W.; Tamborlane, W.V.; Kaufman, F.R. Safety of a hybrid closed-loop insulin delivery system in patients with type 1 diabetes. JAMA 2016, 316, 1407–1408. [Google Scholar] [CrossRef]
- Georga, E.I.; Príncipe, J.C.K.; Fotiadis, D.I. Short-term prediction of glucose in type 1 diabetes using kernel adaptive filter. Med. Biol. Eng. Comput. 2019, 57, 27–46. [Google Scholar] [CrossRef]
- Hovorka, R.; Canonico, V.; Chassin, L.J.; Haueter, U.; Massi-Benedetti, M.; Federici, M.O.; Pieber, T.R.; Schaller, H.C.; Schaupp, L.; Vering, T.; et al. Nonlinear model predictive control of glucose concentration in subjects with type 1 diabetes. Physiol. Meas. 2004, 25, 905. [Google Scholar] [CrossRef]
- Oviedo, S.; Vehí, J.; Calm, R.; Armengol, J. A review of personalized blood glucose prediction strategies for T1DM patients. Int. J. Numer. Methods Biomed. Eng. 2017, 33, e2833. [Google Scholar] [CrossRef]
- Li, K.; Daniels, J.; Liu, C.; Herrero-Vinas, P.; Georgiou, P. Convolutional Recurrent Neural Networks for Glucose Prediction. IEEE J. Biomed. Health Inform. 2020, 24, 603–613. [Google Scholar] [CrossRef]
- Zhu, T.; Li, K.; Chen, J.; Herrero, P.; Georgiou, P. Dilated Recurrent Neural Networks for Glucose Forecasting in Type 1 Diabetes. J. Healthc. Inform. Res. 2020, 4, 308–324. [Google Scholar] [CrossRef] [PubMed]
- Langarica, S.; Rodriguez-Fernandez, M.; Núñez, F.; Doyle, F. A meta-learning approach to personalized blood glucose prediction in type 1 diabetes. Control Eng. Pract. 2023, 135, 105498. [Google Scholar] [CrossRef]
- Montaser, E.; Díez, J.L.; Bondia, J. Stochastic Seasonal Models for Glucose Prediction in the Artificial Pancreas. J. Diabetes Sci. Technol. 2017, 11, 1124–1131. [Google Scholar] [CrossRef] [PubMed]
- Montaser, E.; Díez, J.L.; Rossetti, P.; Rashid, M.; Cinar, A.; Bondia, J. Seasonal Local Models for Glucose Prediction in Type 1 Diabetes. J. Biomed. Health Inform. 2020, 24, 2064–2072. [Google Scholar] [CrossRef] [PubMed]
- Montaser, E.; Díez, J.-L.; Bondia, J. Glucose Prediction under Variable-Length Time-Stamped Daily Events: A Seasonal Stochastic Local Modeling Framework. Sensors 2021, 21, 3188. [Google Scholar] [CrossRef]
- Prendin, F.; Díez, J.L.; del Favero, S.; Sparacino, G.; Facchinetti, A.; Bondia, J. Assessment of Seasonal Stochastic Local Models for Glucose Prediction without Meal Size Information under Free-Living Conditions. Sensors 2022, 22, 8682. [Google Scholar] [CrossRef]
- León-Vargas, F.; Martin, C.; Garcia-Jaramillo, M.; Aldea, A.; Leal, Y.; Herrero, P.; Reyes, A.; Henao, D.; Gomez, A. Is a cloud-based platform useful for diabetes management in Colombia? The Tidepool experience. Comput. Methods Programs Biomed. 2021, 208, 106205. [Google Scholar] [CrossRef]
- Vehi, J.; Regincós Isern, J.; Parcerisas, A.; Calm, R.; Contreras, I. Impact of Use Frequency of a Mobile Diabetes Management App on Blood Glucose Control: Evaluation Study. JMIR Mhealth Uhealth 2019, 7, e11933. [Google Scholar] [CrossRef]
- Aleppo, G.; Ruedy, K.; Riddlesworth, T.; Kruger, D.; Peters, A.; Hirsch, I.; Bergenstal, R.; Toschi, E.; Ahmann, A.; Shah, V.; et al. REPLACE-BG: A Randomized Trial Comparing Continuous Glucose Monitoring With and Without Routine Blood Glucose Monitoring in Adults With Well-Controlled Type 1 Diabetes. Diabetes Care 2017, 40, 538–545. [Google Scholar] [CrossRef] [PubMed]
- Dalla Man, C.; Micheletto, F.; Lv, D.; Breton, M.; Kovatchev, B.; Cobelli, C. The UVA/PADOVA type 1 diabetes simulator: New features. J. Diabetes Sci. Technol. 2014, 8, 26–34. [Google Scholar]
- Schiavon, M.; Man, C.D.; Kudva, Y.C.; Basu, A.; Cobelli, C. In silico optimization of basal insulin infusion rate during exercise: Implication for artificial pancreas. J. Diabetes Sci. Technol. 2013, 7, 1461–1469. [Google Scholar] [CrossRef] [PubMed]
- Brazeau, A.S.; Mircescu, H.; Desjardins, K.; Leroux, C.; Strychar, I.; Ekoé, J.M.; Rabasa-Lhoret, R. Carbohydrate counting accuracy and blood glucose variability in adults with type 1 diabetes. Diabetes Res. Clin. Pract. 2013, 99, 19–23. [Google Scholar] [CrossRef]
- Haidar, A.; Elleri, D.; Kumareswaran, K.; Leelarathna, L.; Allen, J.M.; Caldwell, K.; Murphy, H.R.; Wilinska, M.E.; Acerini, C.L.; Evans, M.L.; et al. Pharmacokinetics of insulin aspart in pump-treated subjects with type 1 diabetes: Reproducibility and effect of age, weight, and duration of diabetes. Diabetes Care 2013, 36, e173–e174. [Google Scholar] [CrossRef]
- Scheiner, G.; Boyer, B. Characteristics of basal insulin requirements by age and gender in Type-1 diabetes patients using insulin pump therapy. Diabetes Res. Clin. Pract. 2005, 69, 14–21. [Google Scholar] [CrossRef]
- American Diabetes Association. Standards of Medical Care in Diabetes. Diabetes Care. 2014, 1, S14–S80. [Google Scholar]
- Bezdek, J.C. Pattern Recognition with Fuzzy Objective Function Algorithms; Advanced Applications in Pattern Recognition Series; Springer: New York, NY, USA, 1981. [Google Scholar]
- Dixon, J.K. Pattern recognition with partly missing data. IEEE Trans. Syst. Man Cybern. 1979, 9, 617–621. [Google Scholar] [CrossRef]
- Wang, W.; Zhang, Y. On fuzzy cluster validity indices. Fuzzy Sets Syst. 2007, 158, 2095–2117. [Google Scholar] [CrossRef]
- Box, G.E.; Jenkins, G.M.; Reinsel, G.C.; Ljung, G.M. Time Series Analysis: Forecasting and Control; John Wiley & Sons: Hoboken, NJ, USA, 2015. [Google Scholar]





| Number of Clusters | |||
|---|---|---|---|
| Dataset Size (weeks) | Day Predictor | Night Predictor | Hypoglycemic Predictor |
| 16 | 8 | 5 | 8 |
| 12 | 8 | 5 | 6 |
| 8 | 8 | 4 | 6 |
| 6 | 8 | 4 | 6 |
| 4 | 8 | 3 | 5 |
| 2 | 8 | 3 | 5 |
| Number of Predictions | RMSE Individual (mg/dL) | RMSE Population (mg/dL) | |
|---|---|---|---|
| PH = 15 min | |||
| Meals | 133,540 | 6.58 (0.96) 6.54 [6.10, 6.79] | 7.58 (1.20) 6.98 [6.84, 7.99]• |
| Night | 26,426 | 4.90 (0.87) 4.71 [4.29, 5.07] | 4.86 (0.87) 4.57 [4.39, 4.87] |
| Hypo | 4308 | 8.08 (2.97) 6.57 [6.43, 10.80] | 8.67 (1.41) 8.79 [7.63, 9.93] |
| Overall | 164,274 | 6.52 (2.24) 6.37 [5.07, 6.70] | 7.04 (1.99) 6.96 [4.87, 8.67]• |
| PH = 30 min | |||
| Meals | 128,144 | 12.08 (1.81) 11.71 [11.16, 12.33] | 13.91 (2.31) 12.68 [12.40, 15.19]• |
| Night | 24,659 | 7.93 (1.83) 7.42 [6.69, 8.35] | 7.86 (1.82) 7.19 [6.66, 7.96] |
| Hypo | 3746 | 13.95 (4.67) 12.66 [11.30, 14.53] | 14.13 (2.80) 14.08 [12.51, 15.91] |
| Overall | 156,549 | 11.32 (3.92) 11.27 [8.35, 12.65] | 11.97 (3.72) 12.49 [7.96, 14.23]• |
| PH = 60 min | |||
| Meals | 117,356 | 19.49 (3.52) 18.58 [17.43, 20.09] | 22.75 (4.28) 20.29 [19.89, 25.56]• |
| Night | 21,142 | 10.46 (2.95) 9.67 [8.23, 11.08] | 10.44 (3.02) 9.45 [8.51, 10.62] |
| Hypo | 2709 | 23.60 (9.77) 20.94 [17.57, 23.39] | 24.10 (7.41) 21.35 [18.81, 30.87] |
| Overall | 141,207 | 17.85 (8.21) 17.44 [11.08, 20.93] | 19.10 (8.04) 19.52 [10.62, 23.37] |
| PH = 120 min | |||
| Meals | 95,780 | 26.80 (6.03) 24.77 [22.77, 28.19] | 30.75 (5.86) 29.63 [26.87, 31.95]• |
| Night | 14,149 | 12.01 (3.62) 11.24 [8.71, 14.29] | 12.59 (4.50) 11.58 [9.61, 12.96] |
| Hypo | 1143 | 36.64 (21.12) 29.97 [20.72, 42.83] | 40.45 (13.64) 36.30 [30.22, 42.10] |
| Overall | 111,072 | 25.15 (16.12) 22.72 [14.29, 28.19] | 27.93 (14.58) 28.79 [12.96, 34.57]• |
| PH = 180 min | |||
| Meals | 74,297 | 32.14(6.80) 30.31 [27.52, 34.38] | 34.92 (6.70) 33.21 [31.40, 35.45]• |
| Night | 7182 | 13.25 (4.41) 13.32 [9.33, 14.79] | 14.89 (5.96) 13.38 [11.63, 16.20] |
| Hypo | 374 | 41.50 (25.48) 35.28 [29.39, 41.73] | 48.39 (15.44) 45.89 [39.24, 59.79] |
| Overall | 81,853 | 28.96 (19.10) 28.45 [14.79, 34.38] | 32.73 (17.17) 32.30 [16.20, 41.59]• |
| PH = 240 min | |||
| Meals | 53,118 | 34.53 (9.29) 33.93 [27.40, 37.77] | 33.28 (7.43) 31.02 [28.80, 35.09] |
| Night | 1384 | 12.87 (6.05) 10.38 [8.30, 16.19] | 15.10 (7.23) 13.72 [9.35, 17.36] |
| Hypo | 117 | 41.58 (14.18) 43.77 [30.66, 50.34] | 55.26 (20.57) 63.35 [47.86, 65.74] |
| Overall | 54,619 | 27.28 (15.18) 25.58 [13.10, 36.60] | 30.40 (18.45) 28.80 [15.13, 37.18] |
Disclaimer/Publisher’s Note: The statements, opinions and data contained in all publications are solely those of the individual author(s) and contributor(s) and not of MDPI and/or the editor(s). MDPI and/or the editor(s) disclaim responsibility for any injury to people or property resulting from any ideas, methods, instructions or products referred to in the content. |
© 2023 by the authors. Licensee MDPI, Basel, Switzerland. This article is an open access article distributed under the terms and conditions of the Creative Commons Attribution (CC BY) license (https://creativecommons.org/licenses/by/4.0/).
Share and Cite
Aslan, A.; Díez, J.-L.; Laguna Sanz, A.J.; Bondia, J. On the Use of Population Data for Training Seasonal Local Models-Based Glucose Predictors: An In Silico Study. Appl. Sci. 2023, 13, 5348. https://doi.org/10.3390/app13095348
Aslan A, Díez J-L, Laguna Sanz AJ, Bondia J. On the Use of Population Data for Training Seasonal Local Models-Based Glucose Predictors: An In Silico Study. Applied Sciences. 2023; 13(9):5348. https://doi.org/10.3390/app13095348
Chicago/Turabian StyleAslan, Antonio, José-Luis Díez, Alejandro José Laguna Sanz, and Jorge Bondia. 2023. "On the Use of Population Data for Training Seasonal Local Models-Based Glucose Predictors: An In Silico Study" Applied Sciences 13, no. 9: 5348. https://doi.org/10.3390/app13095348
APA StyleAslan, A., Díez, J.-L., Laguna Sanz, A. J., & Bondia, J. (2023). On the Use of Population Data for Training Seasonal Local Models-Based Glucose Predictors: An In Silico Study. Applied Sciences, 13(9), 5348. https://doi.org/10.3390/app13095348

