Implementation of the EPIC Earthquake Early Warning System in the Bursa Province (Türkiye) and Its Surroundings
Abstract
1. Introduction
2. EPIC Earthquake Early Warning System
2.1. Estimation of Earthquake Location and Warning Time
2.2. Estimation of Rapid Earthquake Magnitude
3. Earthquake Early Warning System for Bursa Province (Türkiye) and Its Surroundings
3.1. Earthquake Early Warning System Algorithm (EPIC)
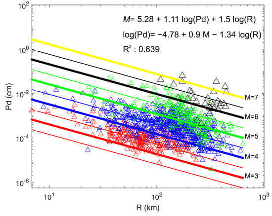
3.2. Determination of Magnitude Equation Coefficients for Bursa Province (Türkiye) and Its Surroundings
4. Results and Discussion
4.1. Latencies and Delays of the Seismic Network
4.2. Real-Time Performance Observations
The 3 June 2022 Çaypınar (Balıkesir) Earthquake (M = 4.8)
5. Conclusions
Author Contributions
Funding
Data Availability Statement
Acknowledgments
Conflicts of Interest
References
- United Nations. Global Survey of Early Warning Systems; United Nations: New York, NY, USA, 2006; p. 56. [Google Scholar]
- Allen, R.M.; Melgar, D. Earthquake Early Warning: Advances, Scientific Challenges, and Societal Needs. Annu. Rev. Earth Planet. Sci. 2019, 47, 361–388. [Google Scholar] [CrossRef]
- Kodera, Y.; Hayashimoto, N.; Moriwaki, K.; Noguchi, K.; Saito, J.; Akutagawa, J.; Adachi, S.; Morimoto, M.; Okamoto, K.; Honda, S.; et al. First-Year Performance of a Nationwide Earthquake Early Warning System Using a Wavefield-Based Ground-Motion Prediction Algorithm in Japan. Seism. Res. Lett. 2020, 91, 826–834. [Google Scholar] [CrossRef]
- Chung, A.I.; Meier, M.A.; Andrews, J.; Bose, M.; Crowell, B.W.; McGuire, J.J.; Smith, D.E. ShakeAlert Earthquake Early Warning System Performance during the 2019 Ridgecrest Earthquake Sequence. Bull. Seism. Soc. Am. 2020, 110, 1904–1923. [Google Scholar] [CrossRef]
- Peng, C.Y.; Jiang, P.; Ma, Q.; Wu, P.; Su, J.R.; Zheng, Y.; Yang, J.S. Performance Evaluation of an Earthquake Early Warning System in the 2019–2020 M6.0 Changning, Sichuan, China, Seismic Sequence. Front. Earth Sci. 2021, 9, 69941. [Google Scholar] [CrossRef]
- Song, J.D.; Zhu, J.B.; Li, S.Y. MEANet: Magnitude estimation via physics-based features time series, an attention mechanism, and neural networks. Geophysics 2023, 88, V33–V43. [Google Scholar] [CrossRef]
- Santos-Reyes, J. How useful are earthquake early warnings? The case of the 2017 earthquakes in Mexico city. Int. J. Disaster Risk Reduct. 2019, 40, 101148. [Google Scholar] [CrossRef]
- Wu, Y.M.; Mittal, H.; Huang, T.C.; Yang, B.M.; Jan, J.C.; Chen, S.K. Performance of a Low-Cost Earthquake Early Warning System (P-Alert) and Shake Map Production during the 2018 Mw 6.4 Hualien, Taiwan, Earthquake. Seism. Res. Lett. 2018, 90, 19–29. [Google Scholar] [CrossRef]
- Cho, S.; Ahn, J.-K.; Hwang, E.-H. Optimization of Network-Based Earthquake Early Warning Systems on the Korean Peninsula. IEEE Access 2022, 10, 83931–83939. [Google Scholar] [CrossRef]
- Festa, G.; Picozzi, M.; Caruso, A.; Colombelli, S.; Cattaneo, M.; Chiaraluce, L.; Elia, L.; Martino, C.; Marzorati, S.; Supino, M.; et al. Performance of Earthquake Early Warning Systems during the 2016–2017 Mw 5–6.5 Central Italy Sequence. Seism. Res. Lett. 2017, 89, 1–12. [Google Scholar] [CrossRef]
- Nof, R.N.; Allen, R.M. Implementing the ElarmS Earthquake Early Warning Algorithm on the Israeli Seismic Network. Bull. Seism. Soc. Am. 2016, 106, 2332–2344. [Google Scholar] [CrossRef]
- Medina, M.; Sanchez, R.; Riquelme, S.; Flores, M.C.; Koch, P.; Bravo, F.; Barrientos, S.; Henson, I.; Chung, A.; Melgar, D.; et al. An Earthquake Early Warning System for Northern Chile Based on ElarmS-3. Seism. Res. Lett. 2022, 93, 3337–3347. [Google Scholar] [CrossRef]
- Ambraseys, N.N. The seismicity of the Marmara Sea area 1800–1899. J. Earthq. Eng. 2000, 4, 377–401. [Google Scholar] [CrossRef]
- Ambraseys, N.N.; Finkel, C.F. Long-Term Seismicity of Istanbul and of the Marmara Sea Region. Terra Nova 1991, 3, 527–539. [Google Scholar] [CrossRef]
- Ambraseys, N.N.; Jackson, J.A. Faulting associated with historical and recent earthquakes in the Eastern Mediterranean region. Geophys. J. Int. 1998, 133, 390–406. [Google Scholar] [CrossRef]
- Gok, E.; Polat, O. An Assessment of the Seismicity of the Bursa Region from a Temporary Seismic Network. Pure Appl. Geophys. 2011, 169, 659–675. [Google Scholar] [CrossRef]
- Kalafat, D.; Gunes, Y.; Kara, M.; Deniz, P.; Kekovali, K.; Kuleli, H.S.; Gulen, L.; Yilmazer, M.; Ozel, N. A Revised and Extended Earthquake Catalogue for Turkey Since 1900 (M ≥ 4.0); Observatory and Earthquake Reaserch Institute: Istanbul, Turkey, 2007; Volume 450. [Google Scholar]
- Sellami, S.P.N.; Mayer-Rosa, D.; Mueller, S.; Eyidogan, H.; Aktar, M.; Gürbüz, C.; Baris, S.; Polat, O.; Yalcin, N. Seismicity and seismotectonics of the Bursa Area. In The Marmara Poly-Project; Schindler, C.P., Ed.; Hochschulverlag AG an der ETH: Zurich, Switzerland, 1997; pp. 449–486. [Google Scholar]
- Ambraseys, N. The seismic activity of the Marmara Sea region over the last 2000 years. Bull. Seism. Soc. Am. 2002, 92, 1–18. [Google Scholar] [CrossRef]
- Özcan, B. Bursa Depremleri (2 Mart-12 Nisan 1855). Güzel Sanatlar Enstitüsü Derg. 1999, 5, 73–118. [Google Scholar]
- Barka, A. The Surface Rupture and Slip Distribution of the 17 August 1999 Izmit Earthquake (M 7.4), North Anatolian Fault. Bull. Seism. Soc. Am. 2002, 92, 43–60. [Google Scholar] [CrossRef]
- Armijo, R.; Meyer, B.; Navarro, S.B.; King, G.; Barka, A. Asymmetric slip partitioning in the Sea of Marmara pull-apart: A clue to propagation processes of the North Anatolian Fault? Terra Nova 2002, 14, 80–86. [Google Scholar] [CrossRef]
- Hubert-Ferrari, A.; Barka, A.; Jacques, E.; Nalbant, S.S.; Meyer, B.; Armijo, R.; Tapponnier, P.; King, G.C.P. Seismic hazard in the Marmara Sea region following the 17 August 1999 Izmit earthquake. Nature 2000, 404, 269–273. [Google Scholar] [CrossRef] [PubMed]
- Le Pichon, X.; Chamot-Rooke, N.; Rangin, C.; Sengör, A.M.C. The North Anatolian fault in the Sea of Marmara. J. Geophys. Res. Solid Earth 2003, 108, 2179. [Google Scholar] [CrossRef]
- Parsons, T. Recalculated probability of M ≥ 7 earthquakes beneath the Sea of Marmara, Turkey. J. Geophys. Res. Solid Earth 2004, 109, B05304. [Google Scholar] [CrossRef]
- Bulut, F.; Aktuğ, B.; Yaltırak, C.; Doğru, A.; Özener, H. Magnitudes of future large earthquakes near Istanbul quantified from 1500 years of historical earthquakes, present-day microseismicity and GPS slip rates. Tectonophysics 2019, 764, 77–87. [Google Scholar] [CrossRef]
- Emre, Ö.; Duman, T.Y.; Özalp, S.; Elmacı, H.; Olgun, Ş.; ve Şaroğlu, F. Açıklamalı Türkiye Diri Fay Haritası; Maden Tetkik ve Arama Genel Müdürlüğü: Ankara, Turkey, 2013. [Google Scholar]
- Given, D.D.; Allen, R.M.; Baltay, A.S.; Bodin, P.; Cochran, E.S.; Creager, K.; de Groot, R.M.; Gee, L.S.; Hauksson, E.; Heaton, T.H. Revised Technical Implementation Plan for the Shake Alert System—An Earthquake Early Warning System for the West Coast of the United States; US Geological Survey: Reston, VA, USA, 2018; ISSN 2331-1258.
- Kohler, M.D.; Smith, D.E.; Andrews, J.; Chung, A.I.; Hartog, R.; Henson, I.; Given, D.D.; de Groot, R.; Guiwits, S. Earthquake early warning ShakeAlert 2.0: Public rollout. Seism. Res. Lett. 2020, 91, 1763–1775. [Google Scholar] [CrossRef]
- Allen, R.M. The ElarmS Earthquake Early Warning Methodology and Application across California. In Earthquake Early Warning Systems; Springer: Berlin/Heidelberg, Germany, 2007; pp. 21–43. [Google Scholar]
- Kuyuk, H.S.; Allen, R.M. A global approach to provide magnitude estimates for earthquake early warning alerts. Geophys. Res. Lett. 2013, 40, 6329–6333. [Google Scholar] [CrossRef]
- Chung, A.I.; Henson, I.; Allen, R.M. Optimizing Earthquake Early Warning Performance: ElarmS-3. Seism. Res. Lett. 2019, 90, 727–743. [Google Scholar] [CrossRef]
- Kennett, B.L.N.; Engdahl, E.R.; Buland, R. Constraints on Seismic Velocities in the Earth from Travel-Times. Geophys. J. Int. 1995, 122, 108–124. [Google Scholar] [CrossRef]
- Oth, A.; Böse, M.; Wenzel, F.; Köhler, N.; Erdik, M. Evaluation and optimization of seismic networks and algorithms for earthquake early warning—The case of Istanbul (Turkey). J. Geophys. Res. Solid Earth 2010, 115, 311. [Google Scholar] [CrossRef]
- Tunç, S. Deprem Erken Uyarı Sistemi Gelişitrilmesi: Bursa Örnek Çalışması; Doktora, Kocaeli Universitesi: Kocaeli, Turkey, 2022. [Google Scholar]
- Sheen, D.-H.; Lim, I.-S.; Park, J.-H.; Chi, H.-C. Magnitude scaling relationships using P waves for earthquake early warning in South Korea. Geosci. J. 2014, 18, 7–12. [Google Scholar] [CrossRef]
- Hsiao, N.-C.; Wu, Y.-M.; Zhao, L.; Chen, D.-Y.; Huang, W.-T.; Kuo, K.-H.; Shin, T.-C.; Leu, P.-L. A new prototype system for earthquake early warning in Taiwan. Soil Dyn. Earthq. Eng. 2011, 31, 201–208. [Google Scholar] [CrossRef]
- Wu, Y.M.; Zhao, L. Magnitude estimation using the first three seconds P-wave amplitude in earthquake early warning. Geophys. Res. Lett. 2006, 33, L16312. [Google Scholar] [CrossRef]
- Wu, Y.-M.; Kanamori, H. Rapid assessment of damage potential of earthquakes in Taiwan from the beginning of P waves. Bull. Seism. Soc. Am. 2005, 95, 1181–1185. [Google Scholar] [CrossRef]
- Yih-Min, W.; Kanamori, H.; Allen, R.M.; Hauksson, E. Determination of earthquake early warning parameters, τ c and Pd, for southern California. Geophys. J. Int. 2007, 170, 711–717. [Google Scholar]
- Allen, R.M.; Kanamori, H. The potential for earthquake early warning in southern California. Science 2003, 300, 786–789. [Google Scholar] [CrossRef]
- Olson, E.L.; Allen, R.M. The deterministic nature of earthquake rupture. Nature 2005, 438, 212–215. [Google Scholar] [CrossRef] [PubMed]
- Kandilli Observatory and Earthquake Research Institute-Regional Earthquake and Tsunami Monitoring Center. Available online: http://www.koeri.boun.edu.tr/sismo/2/data-request/ (accessed on 1 January 2022).
- Shieh, J.T.; Wu, Y.M.; Allen, R.M. A comparison of τc and τpmax for magnitude estimation in earthquake early warning. Geophys. Res. Lett. 2008, 35, L20301. [Google Scholar] [CrossRef]
- Wurman, G.; Allen, R.M.; Lombard, P. Toward earthquake early warning in northern California. J. Geophys. Res. Solid Earth 2007, 112. [Google Scholar] [CrossRef]
- Yamada, M.; Mori, J. Using τc to estimate magnitude for earthquake early warning and effects of near-field terms. J. Geophys. Res. Solid Earth 2009, 114. [Google Scholar] [CrossRef]
- Kurzon, I.; Nof, R.N.; Laporte, M.; Lutzky, H.; Polozov, A.; Zakosky, D.; Shulman, H.; Goldenberg, A.; Tatham, B.; Hamiel, Y. The “TRUAA” seismic network: Upgrading the Israel seismic network—Toward national earthquake early warning system. Seism. Soc. Am. 2020, 91, 3236–3255. [Google Scholar] [CrossRef]
- Satriano, C.; Wu, Y.-M.; Zollo, A.; Kanamori, H. Earthquake early warning: Concepts, methods and physical grounds. Soil Dyn. Earthq. Eng. 2011, 31, 106–118. [Google Scholar] [CrossRef]
- Tsang, L.L.; Allen, R.M.; Wurman, G. Magnitude scaling relations from P-waves in southern California. Geophys. Res. Lett. 2007, 34. [Google Scholar] [CrossRef]
- Crane, S.; Bell, N.; Seywerd, H.; Adams, J. Assessing the Performance of Earthquake Early Warning in Eastern Canada using Historical Earthquakes. In Proceedings of the AGU Fall Meeting Abstracts, New Orleans, LA, USA, 13–17 December 2021; p. S15A-0228. [Google Scholar]










| No | Date | Origin Time (UTC) | Latitude | Longitude | Depth (km) | Magnitude |
|---|---|---|---|---|---|---|
| 1 | 27 November 2013 | 04:13:37.5 | 40.846 | 27.919 | 10.8 | 4.7 |
| 2 | 11 March 2014 | 05:07:00.5 | 40.670 | 27.042 | 11.0 | 3.6 |
| 3 | 28 March 2014 | 03:59:51.2 | 40.422 | 26.134 | 13.2 | 4.5 |
| 4 | 1 June 2014 | 21:17:45.7 | 40.561 | 27.334 | 11.0 | 3.6 |
| 5 | 3 July 2014 | 05:04:46.1 | 40.209 | 27.933 | 11.8 | 4.5 |
| 6 | 3 August 2014 | 10:42:44.5 | 40.606 | 29.159 | 3.4 | 3.6 |
| 7 | 22 October 2014 | 17:11:05.6 | 40.407 | 30.115 | 7.5 | 4.5 |
| 8 | 6 December 2014 | 06:20:53.8 | 38.891 | 26.260 | 15.2 | 5.0 |
| 9 | 24 July 2015 | 06:54:10.1 | 40.251 | 26.305 | 10.7 | 4.6 |
| 10 | 24 July 2015 | 02:39:42.4 | 40.244 | 26.287 | 11.9 | 4.9 |
| 11 | 24 July 2015 | 01:26:00.7 | 40.243 | 26.303 | 11.2 | 4.5 |
| 12 | 10 September 2015 | 08:12:45.7 | 38.840 | 26.278 | 15.4 | 4.9 |
| 13 | 16 October 2015 | 04:35:07.0 | 40.446 | 29.166 | 5.4 | 3.5 |
| 14 | 26 October 2015 | 20:07:59.8 | 39.790 | 26.267 | 6.7 | 4.6 |
| 15 | 28 October 2015 | 16:20:02.0 | 40.822 | 27.764 | 14.3 | 4.5 |
| 16 | 5 December 2015 | 20:53:51.7 | 40.444 | 29.066 | 13.2 | 3.7 |
| 17 | 7 December 2015 | 20:57:51.1 | 40.707 | 27.431 | 10.3 | 3.7 |
| 18 | 28 March 2016 | 17:23:46.7 | 40.732 | 27.541 | 15.5 | 3.7 |
| 19 | 7 June 2016 | 04:09:45.6 | 40.265 | 29.152 | 15.8 | 4.6 |
| 20 | 7 June 2016 | 08:02:14.9 | 40.275 | 29.150 | 13.5 | 3.6 |
| 21 | 22 June 2016 | 23:35:59.7 | 40.705 | 29.223 | 7.6 | 3.7 |
| 22 | 25 June 2016 | 05:40:11.9 | 40.707 | 29.212 | 9.3 | 4.5 |
| 23 | 9 July 2016 | 14:20:51.3 | 40.707 | 29.195 | 9.5 | 3.8 |
| 24 | 17 July 2016 | 08:55:41.3 | 40.703 | 29.166 | 11.4 | 4.1 |
| 25 | 8 October 2016 | 23:02:46.6 | 40.614 | 28.945 | 5.5 | 3.7 |
| 26 | 6 February 2017 | 11:45:00.9 | 39.531 | 26.094 | 12.6 | 4.5 |
| 27 | 6 February 2017 | 10:58:01.2 | 39.525 | 26.100 | 13.9 | 5.3 |
| 28 | 6 February 2017 | 03:51:39.8 | 39.545 | 26.109 | 11.0 | 5.4 |
| 29 | 7 February 2017 | 02:24:02.9 | 39.524 | 26.124 | 12.7 | 5.3 |
| 30 | 8 February 2017 | 01:38:03.2 | 39.531 | 26.143 | 10.4 | 4.6 |
| 31 | 18 February 2017 | 23:19:24.9 | 40.270 | 27.177 | 12.9 | 3.6 |
| 32 | 28 February 2017 | 23:27:33.4 | 39.485 | 26.064 | 11.2 | 4.5 |
| 33 | 21 April 2017 | 14:12:21.0 | 38.651 | 27.601 | 13.1 | 5.1 |
| 34 | 27 March 2017 | 15:53:23.2 | 38.739 | 27.830 | 11.8 | 5.3 |
| 35 | 28 March 2017 | 04:38:19.5 | 38.738 | 27.794 | 10.6 | 4.5 |
| 36 | 12 June 2017 | 12:28:37.5 | 38.847 | 26.325 | 14.4 | 6.3 |
| 37 | 17 June 2017 | 03:40:36.9 | 38.918 | 26.243 | 12.7 | 4.8 |
| 38 | 21 July 2017 | 02:12:34.3 | 36.883 | 27.342 | 9.5 | 4.6 |
| 39 | 22 July 2017 | 22:12:32.2 | 40.018 | 27.141 | 13.2 | 4.3 |
| 40 | 25 July 2017 | 15:21:10.2 | 40.441 | 28.982 | 7.2 | 3.6 |
| 41 | 5 October 2017 | 23:54:42.3 | 40.838 | 28.340 | 13.9 | 3.6 |
| 42 | 4 November 2017 | 21:54:08.2 | 36.706 | 28.154 | 84.9 | 4.5 |
| 43 | 25 December 2017 | 05:13:50.0 | 38.575 | 26.736 | 17.5 | 4.8 |
| 44 | 3 March 2018 | 02:04:33.4 | 39.980 | 26.924 | 12.7 | 4.5 |
| 45 | 13 August 2018 | 08:57:09.1 | 40.661 | 27.356 | 17.2 | 3.7 |
| 46 | 6 September 2018 | 06:00:24.5 | 40.843 | 28.412 | 11.7 | 3.6 |
| 47 | 10 September 2018 | 23:02:55.3 | 37.180 | 30.634 | 105.7 | 4.9 |
| 48 | 4 December 2018 | 12:38:03.2 | 40.667 | 26.975 | 11.3 | 3.6 |
| 49 | 20 December 2018 | 06:34:24.4 | 40.600 | 28.977 | 7.3 | 4.6 |
| 50 | 5 January 2019 | 04:20:14.3 | 40.445 | 28.371 | 10.4 | 4.1 |
| 51 | 11 January 2019 | 16:09:56.4 | 40.282 | 28.857 | 5.2 | 3.9 |
| 52 | 15 February 2019 | 16:14:27.3 | 40.782 | 27.938 | 20.2 | 4.1 |
| 53 | 19 February 2019 | 21:33:55.0 | 40.386 | 27.157 | 11.5 | 4.1 |
| 54 | 19 February 2019 | 19:48:42.7 | 40.383 | 27.154 | 11.6 | 4.0 |
| 55 | 20 February 2019 | 00:27:57.4 | 40.392 | 27.154 | 6.8 | 3.6 |
| 56 | 24 February 2019 | 01:22:24.6 | 40.380 | 27.176 | 11.1 | 3.9 |
| 57 | 23 March 2019 | 15:17:59.1 | 40.812 | 27.754 | 18.1 | 3.7 |
| 58 | 23 March 2019 | 02:51:11.6 | 40.792 | 27.756 | 17.7 | 3.5 |
| 59 | 29 April 2019 | 18:02:43.3 | 39.400 | 26.319 | 11.6 | 4.5 |
| 60 | 9 March 2019 | 16:05:28.8 | 40.846 | 28.143 | 13.1 | 3.6 |
| 61 | 12 March 2019 | 22:24:08.6 | 39.331 | 27.922 | 7.7 | 4.5 |
| 62 | 25 March 2019 | 12:13:35.0 | 40.567 | 27.124 | 16.0 | 4.2 |
| 63 | 12 June 2019 | 22:44:50.4 | 40.723 | 27.444 | 14.5 | 3.6 |
| 64 | 8 August 2019 | 11:25:29.2 | 37.901 | 29.595 | 8.9 | 5.7 |
| 65 | 24 September 2019 | 08:00:21.4 | 40.875 | 28.212 | 9.9 | 4.7 |
| 66 | 26 September 2019 | 10:59:24.6 | 40.880 | 28.216 | 13.3 | 5.7 |
| 67 | 26 September 2019 | 15:39:21.1 | 40.845 | 28.250 | 14.8 | 3.5 |
| 68 | 26 September 2019 | 12:26:10.9 | 40.870 | 28.274 | 11.0 | 3.9 |
| 69 | 26 September 2019 | 12:17:09.3 | 40.870 | 28.273 | 9.3 | 3.9 |
| 70 | 26 September 2019 | 11:26:36.2 | 40.876 | 28.294 | 15.1 | 4.4 |
| 71 | 26 September 2019 | 07:32:06.6 | 40.878 | 28.221 | 7.6 | 3.8 |
| 72 | 27 September 2019 | 11:13:46.7 | 40.852 | 28.274 | 10.5 | 3.5 |
| 73 | 28 September 2019 | 11:03:03.2 | 40.869 | 28.283 | 14.8 | 3.8 |
| 74 | 29 September 2019 | 06:10:57.5 | 40.694 | 29.262 | 14.7 | 3.7 |
| 75 | 4 October 2019 | 15:54:30.6 | 40.312 | 27.255 | 15.0 | 3.6 |
| 76 | 5 October 2019 | 14:51:37.3 | 36.051 | 27.982 | 87.5 | 4.5 |
| 77 | 10 October 2019 | 17:09:39.9 | 40.711 | 29.270 | 4.6 | 3.5 |
| 78 | 10 December 2019 | 20:24:04.9 | 39.450 | 27.918 | 9.9 | 4.5 |
| 79 | 10 December 2019 | 20:14:02.7 | 39.445 | 27.925 | 9.2 | 5.0 |
| 80 | 11 January 2020 | 13:37:36.7 | 40.861 | 28.227 | 14.4 | 4.9 |
| 81 | 22 January 2020 | 20:17:38.5 | 39.064 | 27.848 | 11.6 | 4.6 |
| 82 | 22 January 2020 | 19:22:15.7 | 39.058 | 27.839 | 12.2 | 5.6 |
| 83 | 2 February 2020 | 11:36:40.1 | 39.089 | 27.866 | 13.7 | 4.5 |
| 84 | 2 February 2020 | 00:23:47.3 | 38.999 | 27.856 | 15.4 | 4.8 |
| 85 | 2 February 2020 | 00:57:43.2 | 40.836 | 28.184 | 14.4 | 3.9 |
| 86 | 18 February 2020 | 16:09:22.3 | 39.106 | 27.826 | 13.0 | 5.2 |
| 87 | 24 February 2020 | 02:43:33.3 | 38.991 | 27.877 | 10.4 | 5.0 |
| 88 | 1 April 2020 | 19:03:23.3 | 40.779 | 27.454 | 16.7 | 3.5 |
| 89 | 30 April 2020 | 10:09:46.1 | 37.004 | 28.532 | 8.4 | 4.6 |
| 90 | 26 June 2020 | 07:21:12.2 | 38.789 | 27.794 | 10.9 | 5.5 |
| 91 | 29 June 2020 | 04:06:23.8 | 36.714 | 28.225 | 73.2 | 4.7 |
| 92 | 16 July 2020 | 18:09:26.0 | 38.404 | 26.685 | 18.4 | 4.5 |
| 93 | 8 September 2020 | 21:57:23.5 | 40.701 | 27.420 | 13.6 | 4.6 |
| 94 | 24 September 2020 | 18:06:40.7 | 40.820 | 28.175 | 14.4 | 3.7 |
| 95 | 24 September 2020 | 13:38:31.2 | 40.813 | 28.144 | 13.7 | 4.3 |
| 96 | 30 October 2020 | 11:51:24.4 | 37.888 | 26.706 | 11.2 | 6.9 |
| 97 | 1 November 2020 | 07:05:12.4 | 37.811 | 26.960 | 8.6 | 4.5 |
| 98 | 5 November 2020 | 05:46:45.3 | 40.835 | 28.300 | 7.3 | 3.8 |
| 99 | 11 November 2020 | 06:49:45.4 | 37.853 | 26.968 | 8.0 | 4.7 |
| 100 | 1 February 2021 | 20:46:15.2 | 38.977 | 26.044 | 13.5 | 4.7 |
| 101 | 1 February 2021 | 13:10:15.1 | 38.949 | 26.061 | 10.0 | 4.8 |
| 102 | 1 February 2021 | 08:35:16.6 | 38.961 | 26.020 | 13.7 | 5.2 |
| 103 | 21 March 2021 | 21:33:56.5 | 40.516 | 28.153 | 7.7 | 3.6 |
| 104 | 19 June 2021 | 12:07:52.7 | 40.950 | 29.213 | 14.6 | 4.0 |
| Event Date | Origin Time (UTC) | Latitude Longitude | Alert Time (UTC) | Magnitude Source | Magnitude | ||
|---|---|---|---|---|---|---|---|
| M | |||||||
| 3 June 2022 | 22:58:58.600 | 39.826 27.948 | 22:59:16.077 | Default (Equations (1) and (2)) | - | 3.1 | 4.2 |
| 22:59:14.868 | Developed (Equations (4) and (5)) | - | 4.1 | 4.7 | |||
| 22:58:57.750 | 39.820 27.948 | - | KOERI catalog | 4.8 | - | - | |
Disclaimer/Publisher’s Note: The statements, opinions and data contained in all publications are solely those of the individual author(s) and contributor(s) and not of MDPI and/or the editor(s). MDPI and/or the editor(s) disclaim responsibility for any injury to people or property resulting from any ideas, methods, instructions or products referred to in the content. |
© 2023 by the authors. Licensee MDPI, Basel, Switzerland. This article is an open access article distributed under the terms and conditions of the Creative Commons Attribution (CC BY) license (https://creativecommons.org/licenses/by/4.0/).
Share and Cite
Tunç, S.; Tunç, B.; Budakoğlu, E.; Çaka, D.; Nof, R.N.; Barış, Ş. Implementation of the EPIC Earthquake Early Warning System in the Bursa Province (Türkiye) and Its Surroundings. Appl. Sci. 2023, 13, 4985. https://doi.org/10.3390/app13084985
Tunç S, Tunç B, Budakoğlu E, Çaka D, Nof RN, Barış Ş. Implementation of the EPIC Earthquake Early Warning System in the Bursa Province (Türkiye) and Its Surroundings. Applied Sciences. 2023; 13(8):4985. https://doi.org/10.3390/app13084985
Chicago/Turabian StyleTunç, Süleyman, Berna Tunç, Emrah Budakoğlu, Deniz Çaka, Ran Novitsky Nof, and Şerif Barış. 2023. "Implementation of the EPIC Earthquake Early Warning System in the Bursa Province (Türkiye) and Its Surroundings" Applied Sciences 13, no. 8: 4985. https://doi.org/10.3390/app13084985
APA StyleTunç, S., Tunç, B., Budakoğlu, E., Çaka, D., Nof, R. N., & Barış, Ş. (2023). Implementation of the EPIC Earthquake Early Warning System in the Bursa Province (Türkiye) and Its Surroundings. Applied Sciences, 13(8), 4985. https://doi.org/10.3390/app13084985

