Analysis of the Mechanical Performance and Durability of Adhesively Bonded Joints Used in the Milling Tool Industry
Abstract
1. Introduction
2. Experimental Details
2.1. Materials
2.1.1. Adhesive
2.1.2. Joint Materials
2.1.3. Fluids and Others
2.2. Specimen Manufacturing
2.2.1. Bulk Plate Specimens
2.2.2. Real Joint Specimens
2.3. Experimental Procedures
2.3.1. Gravimetric Analysis
2.3.2. Fourier Transform Infrared Spectroscopy (FTIR)
2.3.3. RJS Strength Degradation Analysis
Ageing Due to Common Industrial Fluids
Ageing Due to Surface Coatings
Ageing Due to Tool Cleaning
Ageing Due to Repair
Shear Strength Tests
2.3.4. Tool’s Dimensional Variation
3. Experimental Results and Discussion
3.1. Stage 2—Production
3.1.1. EDM Fluid—Gravimetric Analysis
Fourier Transform Infrared Spectroscopy (FTIR)
3.1.2. EDM Fluid—RJS Ageing
3.1.3. Surface Coatings—RJS Ageing
3.2. Stage 3—Work Life
3.2.1. Water—Gravimetric Analysis
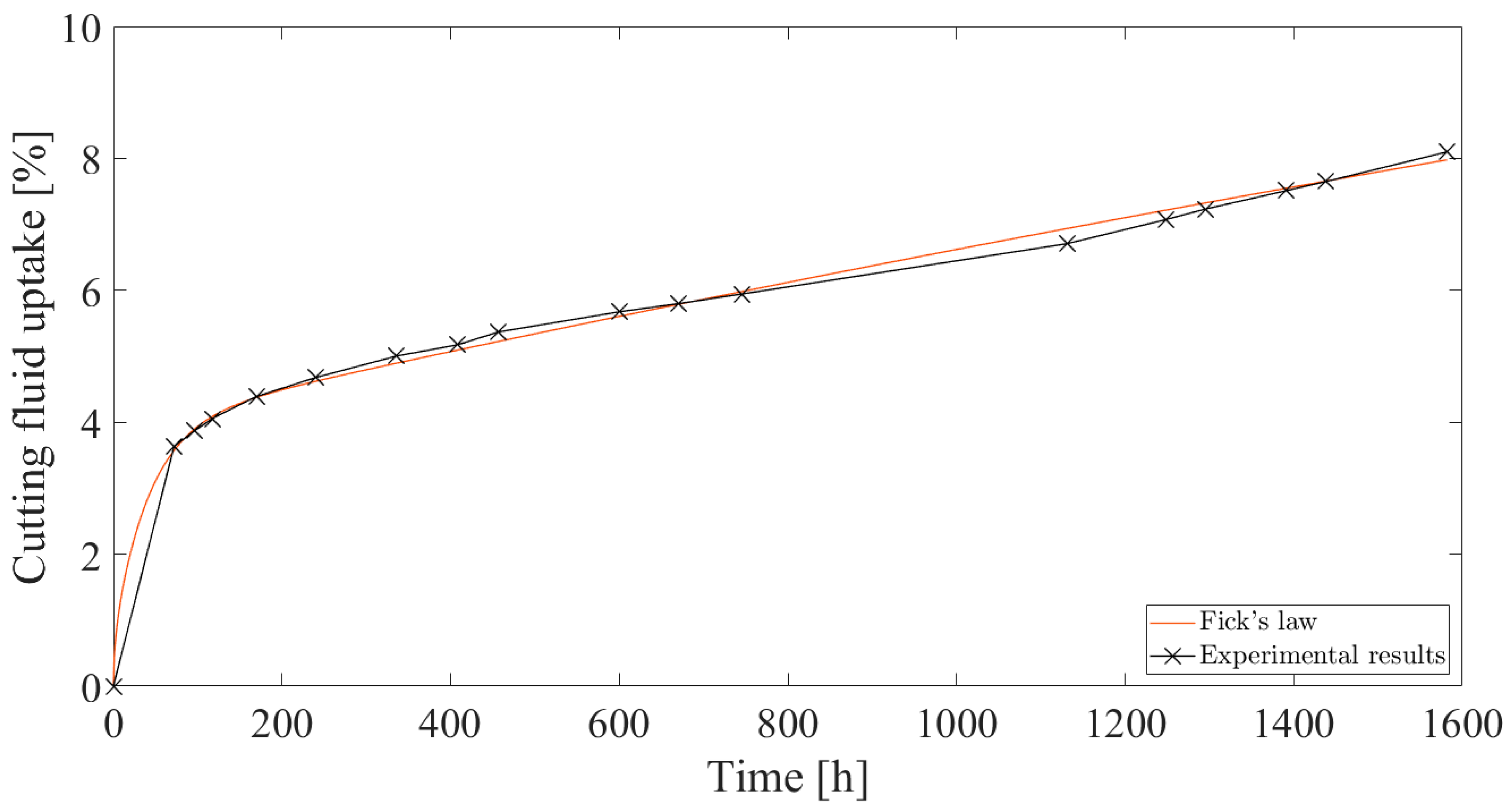
3.2.2. Cutting Fluid—Gravimetric Analysis
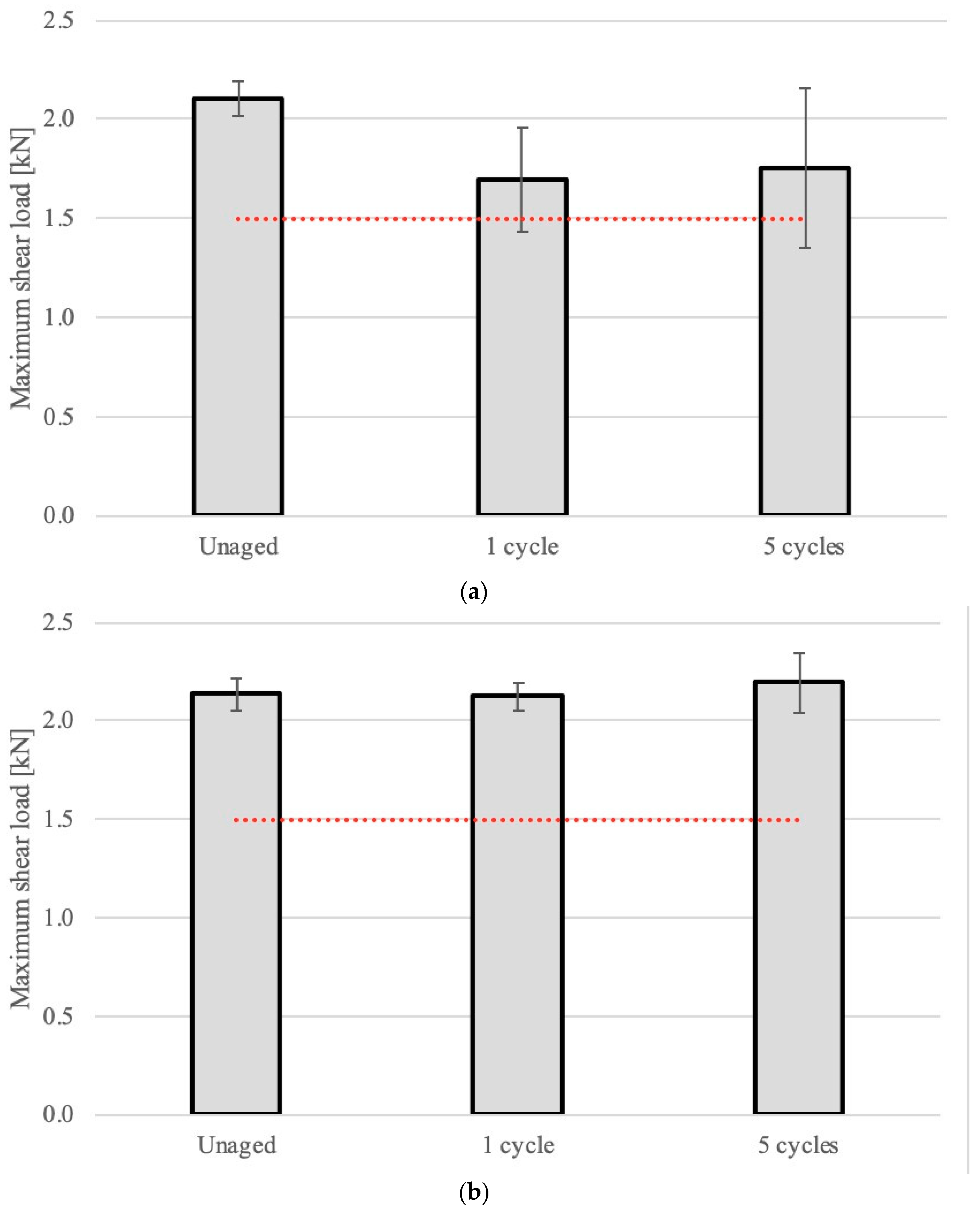
3.2.3. Water—RJS Ageing
3.2.4. Cutting Fluid—RJS Ageing
3.2.5. Cutting Fluid-Tool’s Dimensional Variation
3.3. Stage 4—Maintenance
3.3.1. Petroleum Oil—RJS Ageing
Continuous Cleaning
Cyclic Cleaning
3.3.2. Ultrasound Fluid—RJS Ageing
Continuous Cleaning
Cyclic Cleaning
3.3.3. Sandblasting—RJS Ageing
3.3.4. Tool Repair—RJS Ageing
4. Conclusions
- In the production stage, the dielectric fluid showed no signs of uptake into the adhesive plates and, therefore, was subjected to an FTIR analysis, where no significant changes were observed between the control and the aged samples;
- The strength tests revealed that the ageing in this fluid has no effect on the strength of the adhesive joint when the adherent material is steel. However, there is some decrease in shear load capacity for aluminium specimens;
- Applying surface coatings to steel tools has a negative effect on the strength of the bond. Since the chemical treatments involve corrosive environments and high temperatures and are, oftentimes, undertaken for uncertain and unquantifiable periods of time—until the desired aesthetic finish is observed—it is very difficult to assess the true effects of the process. From a productive standpoint, these coatings should be avoided, and different surface finishes must be chosen;
- During a tool’s usage, fluids such as water (ambient moisture, etc.) and cutting emulsion (metal-cutting tools) are in constant contact with the joint. Having said that, the gravimetric analysis led to the understanding that both water and cutting emulsion have a high rate of diffusion into the adhesive, through a relaxation-controlled process;
- Nevertheless, the cutting emulsion causes much higher uptake since its relaxation phenomenon is more severe. During strength testing it was determined that both fluids reduced the shear load withstood by the joint by more than 50%;
- Maintenance activities performed on the tool also raised concerns regarding joint degradation. However, the petroleum oil analysis allowed us to understand that the joint is still functional after six maintenance cycles;
- A maximum submergence time of sixteen hours was obtained for the petroleum oil, as more time than this would lead to a 20–30% decrease in the joint’s shear strength;
- The ultrasound cleaning mixture produced very acceptable results, and was identified as the best alternative to clean bonded joint milling tools, as after six maintenance cycles the strength decrease was only around 10%;
- In general, these tools should not be cleaned with sandblasting, as, though the shear strength decrease was not critical, this procedure eliminates the beneficial adhesive fillet. Nevertheless, a maximum application of 10 s should be used and only if it is absolutely necessary for the removal of hard residue;
- The repairability tests revealed that it is possible to repair just the bits that were broken during use, as the remaining cutting bits had no adverse effects on the multiple curing cycles;
- The concerns over the dimensional variation of the adhesive joints proved to be unwarranted, since the rate of dimensional fluctuation was too small to have an effect on the quality and accuracy of the cut.
Author Contributions
Funding
Institutional Review Board Statement
Informed Consent Statement
Data Availability Statement
Conflicts of Interest
References
- Darwish, S.; Davies, R. Investigation of the heat flow through bonded and brazed metal cutting tools. Int. J. Mach. Tools Manuf. 1989, 29, 229–237. [Google Scholar] [CrossRef]
- Darwish, S.; Niazi, A.; Ghaneya, A. Phase stability of duralumin machined with bonded and brazed carbide tools. Int. J. Mach. Tools Manuf. 1992, 32, 593–600. [Google Scholar] [CrossRef]
- Younis, M.A. Mechanical and Thermal Stresses in Clamped, Brazed, and Bonded Carbide Tools. J. Eng. Ind. 1992, 114, 377–385. [Google Scholar] [CrossRef]
- Al-Samhan, A.M. Thermal-stresses in carbide-tip bonded face milling cutters. J. King Saud Univ.-Eng. Sci. 2012, 24, 85–94. [Google Scholar] [CrossRef]
- Darwish, S. Effect of tool bit insert-holder assembly on the quality of machined workpieces. J. Mater. Process. Technol. 2000, 105, 230–236. [Google Scholar] [CrossRef]
- Darwish, S. Machining of difficult-to-cut materials with bonded tools. Int. J. Adhes. Adhes. 2000, 20, 279–289. [Google Scholar] [CrossRef]
- Jachak, S.; Giri, J.; Awari, G.K.; Bonde, A.S. Surface finish generated in turning of medium carbon steel parts using conventional and adhesive bonded tools. Mater. Today Proc. 2021, 43, 2882–2887. [Google Scholar] [CrossRef]
- Kilik, R.; Davies, R. Mechanical properties of adhesive filled with metal powders. Int. J. Adhes. Adhes. 1989, 9, 224–228. [Google Scholar] [CrossRef]
- Davies, R.; Darwish, S. Temperature distribution of bonded tools having atomized copper powder mixed with adhesive. Int. J. Mach. Tools Manuf. 1991, 31, 617–623. [Google Scholar] [CrossRef]
- Darwish, S.; Niazi, A.; Ghania, A.; Kassem, M.E. Improving the electrical properties of structural epoxy resin adhesives. Int. J. Adhes. Adhes. 1991, 11, 37–42. [Google Scholar] [CrossRef]
- Correia, D.S.; Carbas, R.J.C.; Marques, E.A.S.; das Neves, P.J.C.; da Silva, L.F.M. Experimental study on aluminium to tungsten carbide/polycrystalline diamond (wc/pcd) adhesive bonding for milling tools. Int. J. Adhes. Adhes. 2022, 114, 103121. [Google Scholar] [CrossRef]
- Correia, D.S.; Marques, E.A.S.; Carbas, R.J.C.; das Neves, P.J.C.; da Silva, L.F.M. Numerical optimisation of bonded joints for the manufacture of edge milling tools. Eng. Fail. Anal. 2022, 134, 106012. [Google Scholar] [CrossRef]
- Correia, D.S.; Marques, E.A.S.; Carbas, R.J.C.; das Neves, P.J.C.; da Silva, L.F.M. Practical implementation and validation of a novel process for manufacturing milling tools using adhesive bonding. In Proceedings of the 2nd International Conference on Advanced Joining Processes (AJP 2021): Selected Contributions of AJP 2021, Sintra, Portugal, 21–22 October 2021; pp. 181–195. [Google Scholar]
- Gomes, P.N.; Correia, D.S.; Marques, E.A.S.; Carbas, R.J.C.; das Neves, P.J.C.; Afonso, W.P.; da Silva, L.F.M. Optimization of curing processes for the manufacturing of adhesively bonded milling tools. Under Rev. Int. J. Adhes. Adhes. 2022, 43, 2882–2887. [Google Scholar]
- Barbosa, A.Q.; da Silva, L.F.M.; Öchsner, A. Hygrothermal aging of an adhesive reinforced with microparticles of cork. J. Adhes. Sci. Technol. 2015, 29, 1714–1732. [Google Scholar] [CrossRef]
- da Silva, L.F.M.; Öchsner, A.; Adams, R.D. Handbook of Adhesion Technology; Springer: Berlin/Heidelberg, Germany, 2018. [Google Scholar]
- Gledhill, R.A.; Kinloch, A.J. Environmental failure of structural adhesive joints. J. Adhes. 1974, 6, 315–330. [Google Scholar] [CrossRef]
- Gledhill, R.A.; Kinloch, A.J.; Shaw, S.J. A model for predicting joint durability. J. Adhes. 1980, 11, 3–15. [Google Scholar] [CrossRef]
- Loh, W.K.; Crocombe, A.D.; Abdel Wahab, M.M.; Ashcroft, I.A. Modelling anomalous moisture uptake, swelling and thermal characteristics of a rubber toughened epoxy adhesive. Int. J. Adhes. Adhes. 2005, 25, 1–12. [Google Scholar] [CrossRef]
- Berens, A.R.; Hopfenberg, H.B. Diffusion and relaxation in glassy polymer powders: 2. separation of diffusion and relaxation parameters. Polymer 1978, 19, 489–496. [Google Scholar] [CrossRef]
- Ocaña, R.; Arenas, J.M.; Alía, C.; Narbón, J.J. Evaluation of degradation of structural adhesive joints in functional automotive applications. Procedia Eng. 2015, 132, 716–723. [Google Scholar] [CrossRef]
- Sousa, J.M.; Correia, J.R.; Firmo, J.P.; Cabral-Fonseca, S.; Gonilha, J. Effects of thermal cycles on adhesively bonded joints between pultruded gfrp adherends. Compos. Struct. 2018, 202, 518–529. [Google Scholar] [CrossRef]
- Humfeld, G.R., Jr.; Dillard, D.A. Residual stress development in adhesive joints subjected to thermal cycling. J. Adhes. 1998, 65, 277–306. [Google Scholar] [CrossRef]
- Costa, M.; Viana, G.; Da Silva, L.F.M.; Campilho, R.D.S.G. Environmental effect on the fatigue degradation of adhesive joints: A review. J. Adhes. 2017, 93, 127–146. [Google Scholar] [CrossRef]
- ISO 294-3:2020; Plastics—Injection Moulding of Test Specimens of Thermoplastic Materials—Part 3: Small Plates. International Organization for Standardization: London, UK, 2020.
- Borges, C.S.P.; Akhavan-Safar, A.; Marques, E.A.S.; Carbas, R.J.C.; Ueffing, C.; Weißgraeber, P.; da Silva, L.F.M. Effect of water ingress on the mechanical and chemical properties of polybutylene terephthalate reinforced with glass fibers. Materials 2021, 14, 1261. [Google Scholar] [CrossRef] [PubMed]



















| Property | Adhesive |
|---|---|
| Tensile strength/MPa | 65.6 |
| Young’s modulus/MPa * | 3881 |
| Shear strength/MPa * | 41.6 |
| Shear modulus/MPa * | 1447 |
| Mode I fracture toughness/N·mm−1 * | 1.27 |
| Mode II fracture toughness/N·mm−1 * | 7.22 |
| Electrical resistivity/Ω·cm | >1 × 1013 |
| Glass Transition Temperature/°C | 130 |
| Stage 2 | Stage 3 | |||
|---|---|---|---|---|
| Condition | EDM Fluid | Surface Coating | Water | Cutting Emulsion |
| Specimen | Bulk RJS (St/Al) | RJS (St) | Bulk RJS (St/Al) | Bulk & Tool (St) RJS (St/Al) |
| Test type | Grav. & FTIR RJS ageing | RJS ageing | Gravimetric RJS ageing | Grav. & ΔD RJS ageing |
| Stage 4 | ||||
| Condition | Petroleum | Ultrasound | Sandblast | Repairing |
| Specimen | RJS (Al) | RJS (Al) | RJS (Al) | RJS (St/Al) |
| Test type | RJS ageing | RJS ageing | RJS ageing | RJS ageing |
| Medium | Paged @ 100 h/% | Paged @ 500 h/% | Paged @ 1000 h/% |
|---|---|---|---|
| ATF gear oil | 85 | 85 | 75 |
| Diesel | 83 | 82 | 80 |
| Motor oil 10W40 | 96 | 95 | 95 |
| Ethanol | 90 | 72 | 40 |
| Water/glycol | 87 | 86 | 80 |
| Benzine | 81 | 80 | 72 |
| 0.039 | 5.55 × 10−13 | 0.00395 | 2.10 × 10−7 |
| 0.0395 | 6.65 × 10−13 | 0.0288 | 4.66 × 10−8 |
| 99.993 | 100.005 | 0.012 | 0.01 |
Disclaimer/Publisher’s Note: The statements, opinions and data contained in all publications are solely those of the individual author(s) and contributor(s) and not of MDPI and/or the editor(s). MDPI and/or the editor(s) disclaim responsibility for any injury to people or property resulting from any ideas, methods, instructions or products referred to in the content. |
© 2023 by the authors. Licensee MDPI, Basel, Switzerland. This article is an open access article distributed under the terms and conditions of the Creative Commons Attribution (CC BY) license (https://creativecommons.org/licenses/by/4.0/).
Share and Cite
de Sousa, R.J.F.; Gomes, P.N.; Correia, D.S.; Carbas, R.J.C.; Marques, E.A.S.; das Neves, P.J.C.; Afonso, W.P.; da Silva, L.F.M. Analysis of the Mechanical Performance and Durability of Adhesively Bonded Joints Used in the Milling Tool Industry. Appl. Sci. 2023, 13, 4937. https://doi.org/10.3390/app13084937
de Sousa RJF, Gomes PN, Correia DS, Carbas RJC, Marques EAS, das Neves PJC, Afonso WP, da Silva LFM. Analysis of the Mechanical Performance and Durability of Adhesively Bonded Joints Used in the Milling Tool Industry. Applied Sciences. 2023; 13(8):4937. https://doi.org/10.3390/app13084937
Chicago/Turabian Stylede Sousa, Rafael J. F., Pedro N. Gomes, Daniel S. Correia, Ricardo J. C. Carbas, Eduardo A. S. Marques, Paulo J. C. das Neves, Willian P. Afonso, and Lucas F. M. da Silva. 2023. "Analysis of the Mechanical Performance and Durability of Adhesively Bonded Joints Used in the Milling Tool Industry" Applied Sciences 13, no. 8: 4937. https://doi.org/10.3390/app13084937
APA Stylede Sousa, R. J. F., Gomes, P. N., Correia, D. S., Carbas, R. J. C., Marques, E. A. S., das Neves, P. J. C., Afonso, W. P., & da Silva, L. F. M. (2023). Analysis of the Mechanical Performance and Durability of Adhesively Bonded Joints Used in the Milling Tool Industry. Applied Sciences, 13(8), 4937. https://doi.org/10.3390/app13084937

