Experimental Study on Maximum Dynamic Shear Modulus of Yangtze River Overconsolidated Floodplain Soft Soils
Abstract
1. Introduction
2. Maximum Dynamic Shear Modulus Tests
2.1. Tested Materials
2.2. Specimen Preparation, Saturation, and Consolidation
2.3. Testing Apparatus and Process
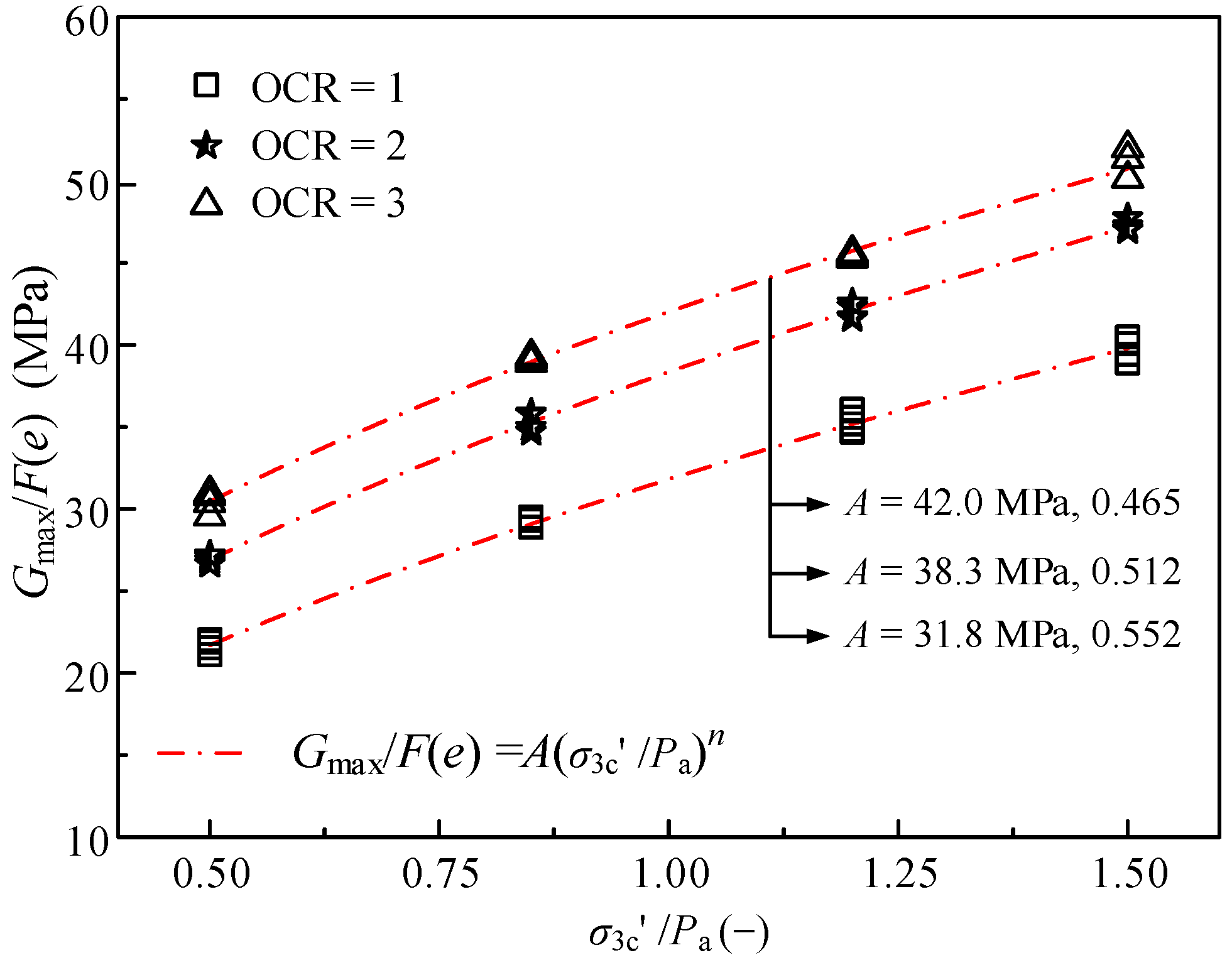
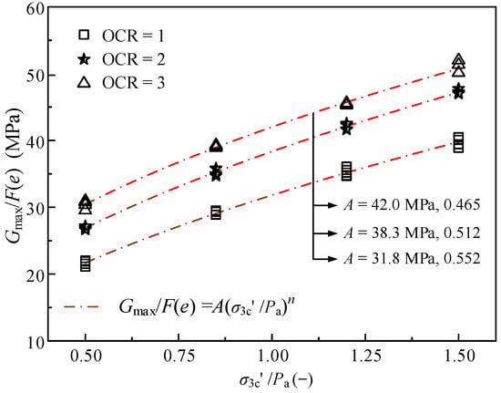
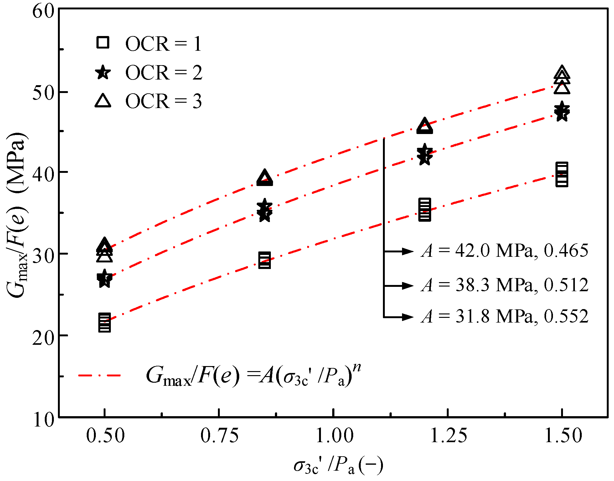
3. Test Results and Analysis
4. Conclusions
Author Contributions
Funding
Institutional Review Board Statement
Informed Consent Statement
Data Availability Statement
Conflicts of Interest
References
- Senetakis, K.; He, H. Dynamic characterization of a biogenic sand with a resonant column of fixed-partly fixed boundary conditions. Soil Dyn. Earthq. Eng. 2017, 95, 180–187. [Google Scholar] [CrossRef]
- An, R.; Kong, L.; Zhang, X.; Li, C. Effects of dry-wet cycles on three-dimensional pore structure and permeability characteristics of granite residual soil using X-ray micro computed tomography. J. Rock Mech. Geotech. Eng. 2022, 14, 851–860. [Google Scholar] [CrossRef]
- Chen, G.X.; Liang, K.; Zhao, K.; Yang, J. Shear modulus and damping ratio of saturated coral sand under generalised cyclic loadings. Géotechnique 2022, 1–18. [Google Scholar] [CrossRef]
- Wu, Q.; Wang, Z.; Qin, Y.; Yang, W. Intelligent Model for Dynamic Shear Modulus and Damping Ratio of Undisturbed Marine Clay Based on Back-Propagation Neural Network. J. Mar. Sci. Eng. 2023, 11, 249. [Google Scholar] [CrossRef]
- He, H.; Li, M.N.; Senetakis, K. A note on influence of stress anisotropy on the Poisson’s ratio of dry sand. J. Rock Mech. Geotech. Eng. 2017, 9, 1159–1164. [Google Scholar] [CrossRef]
- Morsy, A.M.; Salem, M.A.; Elmamlouk, H.H. Evaluation of dynamic properties of calcareous sands in Egypt at small and medium shear strain ranges. Soil Dyn. Earthq. Eng. 2019, 116, 692–708. [Google Scholar] [CrossRef]
- Subramanian, S.; Khan, Q.; Ku, T. Effect of sand on the stiffness characteristics of cement-stabilized clay. Constr. Build. Mater. 2020, 264, 120192. [Google Scholar] [CrossRef]
- Jafarian, Y.; Javdanian, H.; Haddad, A. Dynamic properties of calcareous and siliceous sands under isotropic and anisotropic stress conditions. Soils Found. 2018, 58, 172–184. [Google Scholar] [CrossRef]
- Yang, S.L.; Ren, Y.B.; Andersen, K.N. Effects of thixotropy and reconsolidation on the undrained shear characteristics of remoulded marine clays. Ocean Eng. 2021, 239, 109888. [Google Scholar] [CrossRef]
- Wu, Q.; Liu, Q.F.; Zhuang, H.Y.; Xu, C.X.; Chen, G.X. Experimental investigation of dynamic shear modulus of saturated marine coral sand. Ocean Eng. 2022, 264, 112428. [Google Scholar]
- Kim, D.S.; Stokoe, K.H. Deformational characteristics of soils at small to medium strains. In Proceedings of the First International Conference on Earthquake Geotechnical Engineering, Tokyo, Japan, 14–16 November 1995; pp. 89–94. [Google Scholar]
- Irfan, M.; Cascante, G.; Basu, D.; LeBoeuf, D. Low-strain dynamic characterization of undisturbed Leda clay. Can. Geotech. J. 2022, 59, 631–643. [Google Scholar] [CrossRef]
- Hardin, B.O.; Black, W.L. Vibration modulus of normally consolidated clay. J. Soil Mech. Found. Div. 1968, 92, 27–42. [Google Scholar] [CrossRef]
- Kim, T.C.; Novak, M. Dynamic properties of some cohesive soils of Ontario. Can. Geotech. J. 1981, 18, 371–389. [Google Scholar] [CrossRef]
- Payan, M.; Chenari, R.J. Small strain shear modulus of anisotropically loaded sands. Soil Dyn. Earthq. Eng. 2019, 125, 105726. [Google Scholar] [CrossRef]
- Liu, J.; Otsubo, M.; Kawaguchi, Y.; Kuwano, R. Anisotropy in small-strain shear modulus of granular materials: Effects of particle properties and experimental conditions. Soils Found. 2022, 62, 101105. [Google Scholar] [CrossRef]
- Gu, C.; Wang, J.; Cai, Y.; Guo, L. Influence of cyclic loading history on small strain shear modulus of saturated clays. Soil Dyn. Earthq. Eng. 2014, 66, 1–12. [Google Scholar] [CrossRef]
- Kokusho, T.; Yoshida, Y.; Esashi, Y. Dynamic Properties of Soft Clay for Wide Strain Range. Soils Found. 1982, 22, 1–18. [Google Scholar] [CrossRef]
- Vucetic, M.; Dobry, R. Effect of soil plasticity on cyclic response. J. Geotech. Geoenviron. Eng. 1991, 117, 89–107. [Google Scholar] [CrossRef]
- Santagata, M.; Germaine, J.T.; Ladd, C.C. Factors affecting the initial stiffness of cohesive soils. J. Geotech. Geoenviron. Eng. 2005, 131, 430–441. [Google Scholar] [CrossRef]
- Hoyos, L.R.; Puppala, A.J.; Chainuwat, P. Dynamic Properties of Chemically Stabilized Sulfate Rich Clay. J. Geotech. Geoenviron. Eng. 2004, 130, 153–162. [Google Scholar] [CrossRef]
- Lin, P.; Ni, J.-J.; Garg, A.; Yu, S.-M. Effects of Clay Minerals on Small-Strain Shear Modulus and Damping Ratio of Saturated Clay. Soil Mech. Found. Eng. 2020, 57, 105–109. [Google Scholar] [CrossRef]
- Sadeghzadegan, R.; Naeini, S.A.; Mirzaii, A. Effect of clay content on the small and mid to large strain shear modulus of an unsaturated sand. Eur. J. Environ. Civ. Eng. 2020, 24, 631–649. [Google Scholar] [CrossRef]
- Kantesaria, N.; Sachan, A. Small-strain shear modulus and yielding characteristics of compacted high-plasticity clay. Géotechnique 2022, 72, 424–437. [Google Scholar] [CrossRef]
- D4318-17E01; Standard test method for sand content by volume of bentonitic slurries. ASTM International: West Conshohocken, PA, USA, 2017.
- D5311-13; Standard Test Method for Load Controlled Cyclic Triaxial Strength of Soil. ASTM International: West Conshohocken, PA, USA, 2013.
- Yang, J.; Liu, X. Shear wave velocity and stiffness of sand: The role of non-plastic fines. Géotechnique 2016, 66, 500–514. [Google Scholar] [CrossRef]
- Chen, G.X.; Wu, Q.; Zhao, K.; Shen, Z.F.; Yang, J. A Binary packing material-based procedure for evaluating soil liquefaction triggering during earthquakes. J. Geotech. Geoenviron. Eng. 2020, 146, 04020040. [Google Scholar] [CrossRef]
- Chaney, R.; Demars, K.; Brignoli, E.; Gotti, M.; Stokoe, K. Measurement of Shear Waves in Laboratory Specimens by Means of Piezoelectric Transducers. Geotech. Test. J. 1996, 19, 384–397. [Google Scholar] [CrossRef]
- Lee, J.-S.; Santamarina, J.C. Bender Elements: Performance and Signal Interpretation. J. Geotech. Geoenviron. Eng. 2005, 131, 1063–1070. [Google Scholar] [CrossRef]
- Zhou, Y.-G.; Chen, Y.-M. Laboratory Investigation on Assessing Liquefaction Resistance of Sandy Soils by Shear Wave Velocity. J. Geotech. Geoenviron. Eng. 2007, 133, 959–972. [Google Scholar] [CrossRef]
- Jamiolkowski, M.; Lancellotta, R.; Lopresti, D.C.F. Remarks on the stiffness at small strains of six Italian clays. In Proceedings of the Pre-Failure Deformation of Geomaterials, Sapporo, Japan, 12–14 September 1994; pp. 817–836. [Google Scholar]
- Liang, K.; Chen, G.; Du, X.; Xu, C.; Yang, J. A Unified Formula for Small-Strain Shear Modulus of Sandy Soils Based on Extreme Void Ratios. J. Geotech. Geoenviron. Eng. 2023, 149, 04022127. [Google Scholar] [CrossRef]
- Zhang, Y.; Zhao, K.; Peng, Y.; Chen, G. Dynamic shear modulus and damping ratio characteristics of undisturbed marine soils in the Bohai Sea, China. Earthq. Eng. Vib. 2022, 21, 297–312. [Google Scholar]








| No. | H | ρ | w | e | LL | PL | Ip | Grain size | σ3c′ | OCR | ||
|---|---|---|---|---|---|---|---|---|---|---|---|---|
| (m bgs) | (g·cm−3) | (%) | (-) | (%) | (%) | (%) | Sand a (%) | Silt b (%) | Clay c (%) | (kPa) | (-) | |
| A1 | 8.7–8.9 | 1.39 | 39.32 | 0.95 | 38.1 | 21.8 | 16.3 | 25.8 | 59.8 | 14.4 | 50 | 1 |
| A2 | 6.8–7.0 | 1.27 | 40.11 | 1.10 | 49.7 | 32.5 | 17.2 | 16.6 | 64 | 19.4 | 50 | 1 |
| A3 | 6.3–6.5 | 1.31 | 41.08 | 1.04 | 37.8 | 20.4 | 17.4 | 12.6 | 63.7 | 23.7 | 50 | 1 |
| A4 | 8.3–8.5 | 1.27 | 40.14 | 1.13 | 35.4 | 18.5 | 16.9 | 12.5 | 70.3 | 17.2 | 50 | 1 |
| A5 | 8.2–8.4 | 1.33 | 38.81 | 1.03 | 34.4 | 17.6 | 16.8 | 12.5 | 66.9 | 20.6 | 50 | 2 |
| A6 | 7.7–7.9 | 1.29 | 42.61 | 1.08 | 36.9 | 20.1 | 16.8 | 19.9 | 59 | 21.1 | 50 | 2 |
| A7 | 9.2–9.4 | 1.26 | 41.43 | 1.12 | 39.4 | 22.0 | 17.4 | 46.8 | 39.3 | 13.9 | 50 | 2 |
| A8 | 7.4–7.7 | 1.26 | 40.43 | 1.15 | 37.1 | 20.1 | 17.0 | 19.9 | 59 | 21.1 | 50 | 2 |
| A9 | 7.3–7.5 | 1.30 | 39.55 | 1.09 | 37.6 | 20.1 | 17.5 | 19.9 | 59 | 21.1 | 50 | 3 |
| A10 | 8.3–8.5 | 1.33 | 40.84 | 1.03 | 39.0 | 21.8 | 17.2 | 25.8 | 59.8 | 14.4 | 50 | 3 |
| A11 | 7.8–8.0 | 1.26 | 41.45 | 1.13 | 36.3 | 19.0 | 17.3 | 13.8 | 55 | 31.2 | 50 | 3 |
| A12 | 5.4–5.6 | 1.39 | 42.94 | 0.96 | 38.1 | 21.3 | 16.8 | 9.0 | 66.3 | 24.7 | 50 | 3 |
| B1 | 13.7–13.9 | 1.36 | 40.06 | 0.97 | 42.1 | 24.7 | 17.4 | 8.9 | 68.7 | 22.4 | 85 | 1 |
| B2 | 14.5–14.7 | 1.33 | 39.91 | 1.04 | 38.2 | 21.9 | 16.3 | 5.4 | 74.5 | 20.1 | 85 | 1 |
| B3 | 14.5–14.7 | 1.29 | 40.5 | 1.09 | 39.5 | 21.9 | 17.6 | 5.4 | 74.5 | 20.1 | 85 | 1 |
| B4 | 12.5–12.7 | 1.25 | 40.26 | 1.14 | 35.2 | 18.7 | 16.5 | 31.8 | 51.2 | 17.0 | 85 | 1 |
| B5 | 14.1–14.3 | 1.26 | 39.59 | 1.16 | 39.0 | 22.1 | 16.9 | 6.8 | 76.3 | 16.9 | 85 | 1 |
| B6 | 14.3–14.5 | 1.34 | 40.42 | 1.01 | 36.9 | 20.4 | 16.5 | 10.0 | 64.7 | 25.3 | 85 | 2 |
| B7 | 13.1–13.3 | 1.3 | 40.14 | 1.08 | 34.7 | 18.0 | 16.7 | 15.9 | 66.3 | 17.8 | 85 | 2 |
| B8 | 14.8–15.0 | 1.31 | 41.05 | 1.09 | 31.5 | 14.5 | 17.0 | 2.1 | 76.4 | 21.5 | 85 | 2 |
| B9 | 14.7–14.9 | 1.25 | 41.27 | 1.14 | 39.1 | 21.9 | 17.2 | 5.4 | 74.5 | 20.1 | 85 | 2 |
| B10 | 13.8–14.0 | 1.19 | 40.6 | 1.26 | 41.4 | 24.7 | 16.7 | 8.9 | 68.7 | 22.4 | 85 | 2 |
| B11 | 14.5–14.7 | 1.35 | 38.87 | 1.02 | 42.7 | 27.6 | 15.1 | 1.1 | 77.8 | 21.1 | 85 | 3 |
| B12 | 13.1–13.3 | 1.30 | 38.43 | 1.09 | 35.2 | 18.0 | 17.2 | 15.9 | 66.3 | 17.8 | 85 | 3 |
| B13 | 13.5–13.7 | 1.27 | 40.21 | 1.12 | 41.4 | 24.7 | 16.7 | 8.9 | 68.7 | 22.4 | 85 | 3 |
| B14 | 14.9–15.1 | 1.24 | 41.7 | 1.14 | 40.5 | 23.6 | 16.9 | 7.4 | 76.8 | 15.8 | 85 | 3 |
| C1 | 15.4–15.6 | 1.40 | 42.41 | 0.95 | 38.9 | 21.8 | 17.1 | 30.6 | 48.5 | 20.9 | 120 | 1 |
| C2 | 17.1–17.3 | 1.31 | 38.42 | 1.04 | 39.5 | 23.3 | 16.2 | 5.6 | 67.3 | 27.1 | 120 | 1 |
| C3 | 16.1–16.3 | 1.29 | 41.38 | 1.08 | 39.3 | 23.0 | 16.3 | 7.9 | 66.3 | 25.8 | 120 | 1 |
| C4 | 15.3–15.5 | 1.27 | 39.33 | 1.13 | 41.4 | 23.6 | 17.8 | 7.4 | 76.8 | 15.8 | 120 | 1 |
| C5 | 16.2–16.4 | 1.27 | 38.31 | 1.15 | 39.3 | 23.0 | 16.3 | 7.9 | 66.3 | 25.8 | 120 | 1 |
| C6 | 15.7–15.9 | 1.32 | 39.87 | 1.03 | 39.9 | 23.0 | 16.9 | 7.9 | 66.3 | 25.8 | 120 | 2 |
| C7 | 15.1–15.3 | 1.29 | 40.24 | 1.08 | 39.0 | 21.9 | 17.1 | 4.9 | 69.3 | 25.8 | 120 | 2 |
| C8 | 15.8–16.0 | 1.28 | 36.93 | 1.11 | 38.4 | 23.0 | 15.4 | 7.9 | 66.3 | 25.8 | 120 | 2 |
| C9 | 16.5–16.7 | 1.25 | 41.66 | 1.13 | 34.0 | 16.8 | 17.2 | 11.1 | 24.4 | 64.5 | 120 | 2 |
| C10 | 16.3–16.5 | 1.32 | 37.17 | 1.03 | 32.7 | 16.8 | 15.9 | 11.1 | 24.4 | 64.5 | 120 | 3 |
| C11 | 15.2–15.4 | 1.3 | 39.24 | 1.08 | 38.4 | 23.6 | 14.8 | 7.4 | 76.8 | 15.8 | 120 | 3 |
| C12 | 15.6–15.8 | 1.28 | 40.92 | 1.12 | 40.5 | 23.0 | 17.5 | 7.9 | 66.3 | 25.8 | 120 | 3 |
| C13 | 15.7–15.9 | 1.26 | 39.82 | 1.14 | 39.4 | 23.0 | 16.4 | 7.9 | 66.3 | 25.8 | 120 | 3 |
| D1 | 21.1–21.3 | 1.35 | 41.43 | 0.99 | 37.7 | 20.2 | 17.5 | 3.4 | 72.2 | 24.4 | 150 | 1 |
| D2 | 22.3–22.5 | 1.33 | 40.92 | 1.05 | 37.7 | 21.2 | 16.5 | 3.2 | 72.2 | 24.6 | 150 | 1 |
| D3 | 23.1–23.3 | 1.28 | 41.59 | 1.11 | 40.9 | 23.8 | 17.1 | 3.4 | 74.9 | 21.7 | 150 | 1 |
| D4 | 23.8–24.0 | 1.26 | 40.92 | 1.15 | 41.2 | 23.7 | 17.5 | 3.4 | 73.2 | 23.4 | 150 | 1 |
| D5 | 21.6–21.8 | 1.23 | 41.66 | 1.18 | 39.3 | 22.3 | 17.0 | 3.4 | 83.4 | 13.2 | 150 | 2 |
| D6 | 22.5–22.7 | 1.27 | 39.45 | 1.11 | 39.6 | 22.5 | 17.1 | 5.0 | 69.5 | 25.5 | 150 | 2 |
| D7 | 23.3–23.5 | 1.3 | 41.11 | 1.05 | 39.1 | 21.8 | 17.3 | 4.4 | 83.4 | 12.2 | 150 | 2 |
| D8 | 23.8–24.0 | 1.38 | 38.23 | 0.98 | 37.9 | 21.5 | 16.4 | 8.6 | 68.2 | 23.2 | 150 | 2 |
| D9 | 21.9–22.1 | 1.37 | 39.83 | 0.95 | 40.4 | 23.8 | 16.6 | 3.4 | 85.2 | 11.4 | 150 | 3 |
| D10 | 22.9–23.1 | 1.33 | 40.14 | 1.03 | 38.1 | 20.3 | 17.8 | 15.6 | 60.9 | 23.5 | 150 | 3 |
| D11 | 23.4–23.6 | 1.28 | 39.82 | 1.1 | 37.5 | 20.4 | 17.1 | 14.5 | 71.7 | 13.8 | 150 | 3 |
| D12 | 24.6–24.8 | 1.25 | 38.92 | 1.16 | 38.3 | 20.9 | 17.4 | 3.4 | 83.4 | 13.2 | 150 | 3 |
Disclaimer/Publisher’s Note: The statements, opinions and data contained in all publications are solely those of the individual author(s) and contributor(s) and not of MDPI and/or the editor(s). MDPI and/or the editor(s) disclaim responsibility for any injury to people or property resulting from any ideas, methods, instructions or products referred to in the content. |
© 2023 by the authors. Licensee MDPI, Basel, Switzerland. This article is an open access article distributed under the terms and conditions of the Creative Commons Attribution (CC BY) license (https://creativecommons.org/licenses/by/4.0/).
Share and Cite
Zhou, Y.; Xiao, X.; Zhou, Z.; Wu, Q. Experimental Study on Maximum Dynamic Shear Modulus of Yangtze River Overconsolidated Floodplain Soft Soils. Appl. Sci. 2023, 13, 4733. https://doi.org/10.3390/app13084733
Zhou Y, Xiao X, Zhou Z, Wu Q. Experimental Study on Maximum Dynamic Shear Modulus of Yangtze River Overconsolidated Floodplain Soft Soils. Applied Sciences. 2023; 13(8):4733. https://doi.org/10.3390/app13084733
Chicago/Turabian StyleZhou, Yifeng, Xing Xiao, Zhenglong Zhou, and Qi Wu. 2023. "Experimental Study on Maximum Dynamic Shear Modulus of Yangtze River Overconsolidated Floodplain Soft Soils" Applied Sciences 13, no. 8: 4733. https://doi.org/10.3390/app13084733
APA StyleZhou, Y., Xiao, X., Zhou, Z., & Wu, Q. (2023). Experimental Study on Maximum Dynamic Shear Modulus of Yangtze River Overconsolidated Floodplain Soft Soils. Applied Sciences, 13(8), 4733. https://doi.org/10.3390/app13084733
