Real-Time Indoor Positioning Based on BLE Beacons and Pedestrian Dead Reckoning for Smartphones
Abstract
1. Introduction
- To realize the PDR method, first, peak detection is used for step detection based on the measured acceleration; second, an empirical nonlinear step length estimation model is adopted based on the measured acceleration in a single stride; third, the heading direction is estimated by using the complimentary filter to combine the measurements from magnetometer, gyroscope, and accelerometer.
- For BLE-based localization, a range-free weighted centroid algorithm is proposed instead of commonly-used range-based trilateration or fingerprint-based method. This range-free method has low computation complexity and is proven to be efficient, especially when the BLE anchor tags are densely deployed.
- The particle filter framework is adopted to fuse the positioning results obtained by PDR and BLE-based methods. As the PDR method cannot determine the initial position and suffers from error accumulation over time, and the BLE-based method cannot provide continuous and stable positioning results due to signal fluctuation, the combination of the two methods under the particle filter framework is able to overcome the shortcomings of both sides and provides more stable and accurate positioning results.
- We have implemented the proposed positioning method on the smartphone and performed indoor positioning experiments on a floor of the campus building. Experimental results indicate that our proposed fused positioning method offers more accurate and stable performance in the long run compared with pure PDR or BLE-based positioning.
2. Related Work
2.1. PDR
2.2. BLE-Based Positioning
2.3. Fused Positioning Methods
3. Methodology
3.1. Methodology Architecture
3.2. BLE-Based Positioning
3.2.1. Traditional Centroid Algorithm
3.2.2. Weighted Centroid Algorithm
3.3. PDR Positioning
3.3.1. Step Detection
3.3.2. Step Length Estimation
3.3.3. Heading Direction Estimation
3.4. Particle Filter
3.4.1. Particle Initialization
3.4.2. Particle Position Update
3.4.3. Particle Weight Update
3.4.4. Particle Resampling
3.4.5. Position Estimation
4. Performance Evaluation
4.1. Environmental Setting
4.2. Experimental Results
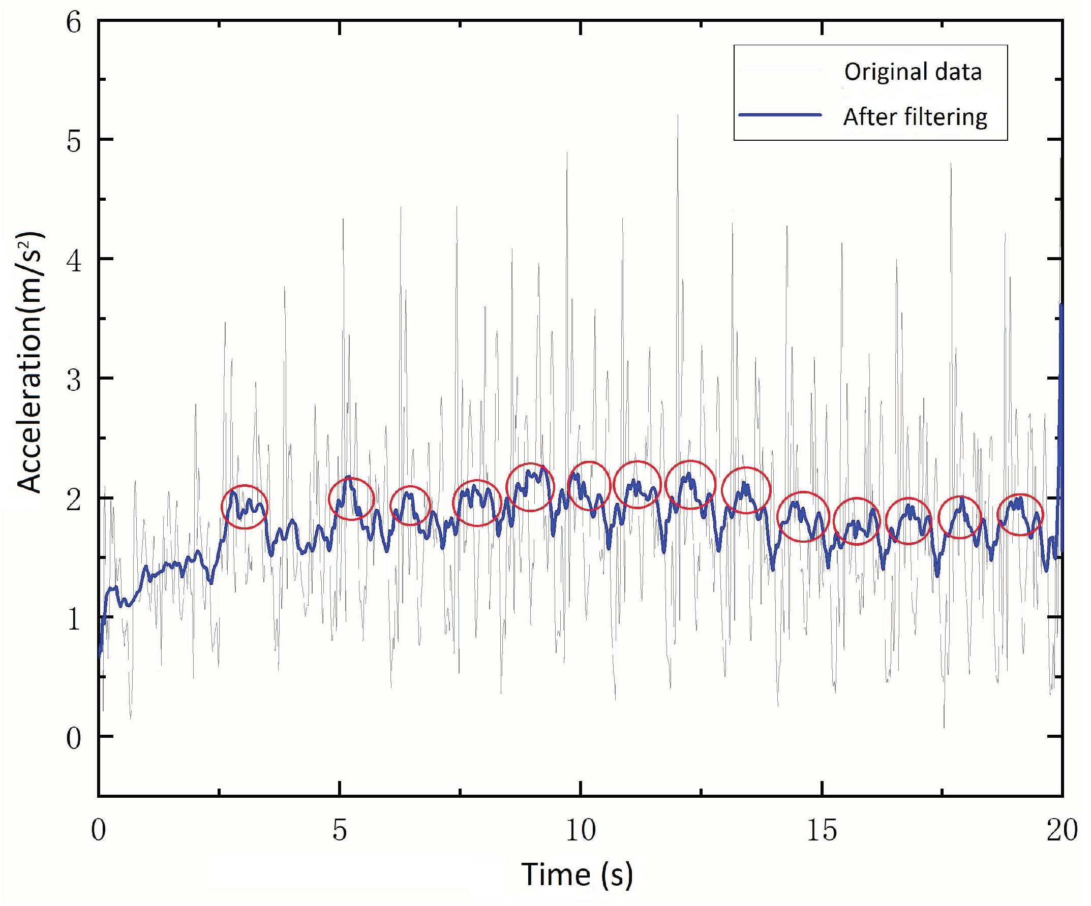
4.2.1. Step Detection and Heading Direction Estimation Results
4.2.2. Performance of Different Methods
- (1)
- For pure PDR positioning, the error is mainly caused by inaccurate measurement of the heading angle and also by inaccurate step length estimation. Analyzed from the source, the error comes from the measurement errors of the magnetometer, the accelerometer, and the gyroscope, which is inevitable. Since the position of the current point is derived from the position of the previous one, a high correlation appears between adjacent points, and thus the error gradually accumulates over a period of time. For example, in Figure 7, the trajectory obtained with PDR positioning after the bend deviates from the ground truth farther and farther away. As shown in Figure 8, the average error increases from 0.5 m at the start to 2.2 m at the end. Therefore, it is concluded that PDR cannot be independently and continuously used for long-term indoor positioning unless supplementary means are adopted to reduce the cumulative error.
- (2)
- The performance of BLE-based positioning is unstable due to the influence of the environment. As shown in Figure 8, the average error obtained with BLE-based positioning is larger than that obtained by PDR in the first part of the trajectory, but the average error of PDR positioning becomes larger in the second part. Compared with PDR positioning, the advantage is that the error is not accumulating over time. It is consequently a good complement to PDR positioning.
- (3)
- The average error of our proposed fused positioning method is the smallest among all the methods. As shown in Figure 8, the average error is not as cumulative as with PDR, and the fluctuation is smaller than that of the BLE-positioning. It is also observed that the positioning errors are large at the start of the positioning process. This is because the initial positions of the particles are randomly generated and dependent on the results from BLE-based positioning. With the increase in the number of iterations and resampling steps, the particles’ positions gradually converge, and the accuracy gradually improves.
5. Conclusions
Author Contributions
Funding
Institutional Review Board Statement
Informed Consent Statement
Data Availability Statement
Conflicts of Interest
References
- Low, R.; Tekler, Z.D.; Cheah, L. An end-to-end point of interest (POI) conflation framework. ISPRS Int. J. Geo-Inf. 2021, 10, 779. [Google Scholar] [CrossRef]
- Liu, T.; Niu, X.; Kuang, J.; Cao, S.; Zhang, L.; Chen, X. Doppler shift mitigation in acoustic positioning based on pedestrian dead reckoning for smartphone. IEEE Trans. Instrum. Meas. 2021, 70, 1–11. [Google Scholar] [CrossRef]
- Dinh, T.M.T.; Duong, N.S.; Nguyen, Q.T. Developing a novel real-time indoor positioning system based on BLE beacons and smartphone sensors. IEEE Sens. J. 2021, 21, 23055–23068. [Google Scholar] [CrossRef]
- Davidson, P.; Piché, R. A survey of selected indoor positioning methods for smartphones. IEEE Commun. Surv. Tutor. 2017, 19, 1347–1370. [Google Scholar] [CrossRef]
- Hou, Y.; Yang, X.; Abbasi, Q.H. Efficient AoA-based wireless indoor localization for hospital outpatients using mobile devices. Sensors 2018, 18, 3698. [Google Scholar] [CrossRef] [PubMed]
- Rezazadeh, J.; Sandrasegaran, K.; Kong, X. A location-based smart shopping system with IoT technology. In Proceedings of the IEEE 4th World Forum on Internet of Things (WF-IoT), Singapore, 5–8 February 2018; pp. 748–753. [Google Scholar]
- Spachos, P.; Plataniotis, K.N. BLE beacons for indoor positioning at an interactive IoT-based smart museum. IEEE Syst. J. 2020, 14, 3483–3493. [Google Scholar] [CrossRef]
- Xia, H.; Zuo, J.; Liu, S.; Qiao, Y. Indoor localization on smartphones using built-in sensors and map constraints. IEEE Trans. Instrum. Meas. 2019, 68, 1189–1198. [Google Scholar] [CrossRef]
- Yan, D.; Shi, C.; Li, T. An improved PDR system with accurate heading and step length estimation using handheld smartphone. J. Navig. 2022, 75, 141–159. [Google Scholar] [CrossRef]
- Xu, S.; Wang, Y.; Sun, M.; Si, M.; Cao, H. A Real-Time BLE/PDR Integrated System by Using an Improved Robust Filter for Indoor Position. Appl. Sci. 2021, 11, 8170. [Google Scholar] [CrossRef]
- Shen, L.L.; Hui, W.W.S. Improved pedestrian dead-reckoning-based indoor positioning by RSSI-based heading correction. IEEE Sens. J. 2016, 16, 7762–7773. [Google Scholar] [CrossRef]
- Ouyang, G.; Abed-Meraim, K. A Survey of Magnetic-Field-Based Indoor Localization. Electronics 2022, 11, 864. [Google Scholar] [CrossRef]
- Faragher, R.; Harle, R. Location fingerprinting with bluetooth low energy beacons. IEEE J. Sel. Areas Commun. 2015, 33, 2418–2428. [Google Scholar] [CrossRef]
- Zhuang, Y.; Yang, J.; Li, Y.; Qi, L.; El-Sheimy, N. Smartphone-based indoor localization with bluetooth low energy beacons. Sensors 2016, 16, 596. [Google Scholar] [CrossRef] [PubMed]
- Filippoupolitis, A.; Oliff, W.; Loukas, G. Bluetooth low energy based occupancy detection for emergency management. In Proceedings of the 2016 15th International Conference on Ubiquitous Computing and Communications and 2016 International Symposium on Cyberspace and Security (IUCC-CSS), Granada, Spain, 14–16 December 2016; pp. 31–38. [Google Scholar]
- Tekler, Z.D.; Low, R.; Gunay, B.; Andersen, R.K.; Blessing, L. A scalable Bluetooth Low Energy approach to identify occupancy patterns and profiles in office spaces. Build. Environ. 2020, 171, 106681. [Google Scholar] [CrossRef]
- Collotta, M.; Pau, G. A novel energy management approach for smart homes using bluetooth low energy. IEEE J. Sel. Areas Commun. 2015, 33, 2988–2996. [Google Scholar] [CrossRef]
- Tekler, Z.D.; Low, R.; Yuen, C.; Blessing, L. Plug-Mate: An IoT-based occupancy-driven plug load management system in smart buildings. Build. Environ. 2022, 223, 109472. [Google Scholar] [CrossRef]
- Sung, K.; Lee, D.K.R.; Kim, H. Indoor pedestrian localization using iBeacon and improved Kalman filter. Sensors 2018, 18, 1722. [Google Scholar] [CrossRef]
- Chen, J.; Zhou, B.; Bao, S.; Liu, X.; Gu, Z.; Li, L.; Zhao, Y.; Zhu, J.; Li, Q. A data-driven inertial navigation/Bluetooth fusion algorithm for indoor localization. IEEE Sens. J. 2022, 22, 5288–5301. [Google Scholar] [CrossRef]
- Wu, X.; Shen, R.; Fu, L.; Tian, X.; Liu, P.; Wang, X. iBILL: Using iBeacon and inertial sensors for accurate indoor localization in large open areas. IEEE Access 2017, 5, 14589–14599. [Google Scholar] [CrossRef]
- Sung, K.; Lee, H.K.; Kim, H. Pedestrian positioning using a double-stacked particle filter in indoor wireless networks. Sensors 2019, 19, 3907. [Google Scholar] [CrossRef]
- Chen, J.; Song, S.; Liu, Z. A PDR/WiFi Indoor Navigation Algorithm Using the Federated Particle Filter. Electronics 2022, 11, 3387. [Google Scholar] [CrossRef]
- Zafari, F.; Gkelias, A.; Leung, K.K. A survey of indoor localization systems and technologies. IEEE Commun. Surv. Tutor. 2019, 21, 2568–2599. [Google Scholar] [CrossRef]
- Farahsari, P.S.; Farahzadi, A.; Rezazadeh, J.; Bagheri, A. A survey on indoor positioning systems for IoT-based applications. IEEE Internet Things J. 2022, 9, 7680–7699. [Google Scholar] [CrossRef]
- Harle, R. A survey of indoor inertial positioning systems for pedestrians. IEEE Commun. Surv. Tutor. 2013, 15, 1281–1293. [Google Scholar] [CrossRef]
- Abadleh, A.; Al-Hawari, E.; Alkafaween, E.; Al-Sawalqah, H. Step detection algorithm for accurate distance estimation using dynamic step length. In Proceedings of the 2017 18th IEEE International Conference on Mobile Data Management (MDM), Daejeon, South Korea, 29 May–1 June 2017; pp. 324–327. [Google Scholar]
- Goyal, P.; Ribeiro, V.J.; Saran, H.; Kumar, A. Strap-down pedestrian dead-reckoning system. In Proceedings of the International Conference on Indoor Positioning and Indoor Navigation, Guimaraes, Portugal, 21–23 September 2011; pp. 1–7. [Google Scholar]
- Wang, J.H.; Ding, J.J.; Chen, Y.; Chen, H.H. Real time accelerometer-based gait recognition using adaptive windowed wavelet transforms. In Proceedings of the 2012 IEEE Asia Pacific Conference on Circuits and Systems, Kaohsiung, Taiwan, 2–5 December 2012; pp. 591–594. [Google Scholar]
- Li, H.; Yang, L. Accurate and Fast Dynamic Time Warping. In Advanced Data Mining and Applications, Proceedings of the Advanced Data Mining and Applications, Hangzhou, China, 14–16 December 2013; Motoda, H., Wu, Z., Cao, L., Zaiane, O., Yao, M., Wang, W., Eds.; Springer: Berlin/Heidelberg, Germany, 2013; pp. 133–144. [Google Scholar]
- Yao, Y.; Pan, L.; Fen, W.; Xu, X.; Liang, X.; Xu, X. A robust step detection and stride length estimation for pedestrian dead reckoning using a smartphone. IEEE Sens. J. 2020, 20, 9685–9697. [Google Scholar] [CrossRef]
- Vezočnik, M.; Juric, M.B. Average step length estimation models’ evaluation using inertial sensors: A review. IEEE Sens. J. 2018, 19, 396–403. [Google Scholar] [CrossRef]
- Kang, W.; Han, Y. SmartPDR: Smartphone-based pedestrian dead reckoning for indoor localization. IEEE Sens. J. 2014, 15, 2906–2916. [Google Scholar] [CrossRef]
- Ho, N.H.; Truong, P.H.; Jeong, G.M. Step-detection and adaptive step-length estimation for pedestrian dead-reckoning at various walking speeds using a smartphone. Sensors 2016, 16, 1423. [Google Scholar] [CrossRef]
- Hu, J.S.; Sun, K.C. A robust orientation estimation algorithm using MARG sensors. IEEE Trans. Instrum. Meas. 2015, 64, 815–822. [Google Scholar]
- Wu, J. MARG attitude estimation using gradient-descent linear Kalman filter. IEEE Trans. Autom. Sci. Eng. 2020, 17, 1777–1790. [Google Scholar] [CrossRef]
- Gadaleta, M.; Rossi, M. Idnet: Smartphone-based gait recognition with convolutional neural networks. Pattern Recognit. 2018, 74, 25–37. [Google Scholar] [CrossRef]
- Hannink, J.; Kautz, T.; Pasluosta, C.F.; Barth, J.; Schülein, S.; Gaßmann, K.G.; Klucken, J.; Eskofier, B.M. Mobile stride length estimation with deep convolutional neural networks. IEEE J. Biomed. Health Inform. 2017, 22, 354–362. [Google Scholar] [CrossRef] [PubMed]
- Gu, F.; Khoshelham, K.; Yu, C.; Shang, J. Accurate step length estimation for pedestrian dead reckoning localization using stacked autoencoders. IEEE Trans. Instrum. Meas. 2018, 68, 2705–2713. [Google Scholar] [CrossRef]
- Wang, Q.; Luo, H.; Ye, L.; Men, A.; Zhao, F.; Huang, Y.; Ou, C. Personalized stride-length estimation based on active online learning. IEEE Internet Things J. 2020, 7, 4885–4897. [Google Scholar] [CrossRef]
- Yan, H.; Shan, Q.; Furukawa, Y. RIDI: Robust IMU double integration. In Proceedings of the the European Conference on Computer Vision (ECCV), Munich, Germany, 8–14 September 2018; pp. 621–636. [Google Scholar]
- Chen, C.; Lu, X.; Markham, A.; Trigoni, N. Ionet: Learning to cure the curse of drift in inertial odometry. In Proceedings of the AAAI Conference on Artificial Intelligence, New Orleans, LA, USA, 2–7 February 2018; Volume 32. [Google Scholar]
- Zhao, X.; Xiao, Z.; Markham, A.; Trigoni, N.; Ren, Y. Does BTLE measure up against WiFi? A comparison of indoor location performance. In Proceedings of the 20th European Wireless Conference, VDE, Barcelona, Spain, 14–16 May 2014; pp. 1–6. [Google Scholar]
- Cantón Paterna, V.; Calveras Auge, A.; Paradells Aspas, J.; Perez Bullones, M.A. A bluetooth low energy indoor positioning system with channel diversity, weighted trilateration and kalman filtering. Sensors 2017, 17, 2927. [Google Scholar] [CrossRef]
- Li, G.; Geng, E.; Ye, Z.; Xu, Y.; Lin, J.; Pang, Y. Indoor positioning algorithm based on the improved RSSI distance model. Sensors 2018, 18, 2820. [Google Scholar] [CrossRef]
- Szyc, K.; Nikodem, M.; Zdunek, M. Bluetooth low energy indoor localization for large industrial areas and limited infrastructure. Ad Hoc Netw. 2023, 139, 103024. [Google Scholar] [CrossRef]
- Alsmadi, L.; Kong, X.; Sandrasegaran, K.; Fang, G. An improved indoor positioning accuracy using filtered RSSI and beacon weight. IEEE Sens. J. 2021, 21, 18205–18213. [Google Scholar] [CrossRef]
- Chen, Z.; Zhu, Q.; Soh, Y.C. Smartphone inertial sensor-based indoor localization and tracking with iBeacon corrections. IEEE Trans. Ind. Inform. 2016, 12, 1540–1549. [Google Scholar] [CrossRef]
- Zhu, Y.; Luo, X.; Guan, S.; Wang, Z. Indoor positioning method based on WiFi/Bluetooth and PDR fusion positioning. In Proceedings of the 13th International Conference on Advanced Computational Intelligence (ICACI), Chongqing, China, 14–16 May 2021; pp. 233–238. [Google Scholar]
- Julier, S.J.; Uhlmann, J.K. Unscented filtering and nonlinear estimation. Proc. IEEE 2004, 92, 401–422. [Google Scholar] [CrossRef]
- Weinberg, H. Using the ADXL202 in Pedometer and Personal Navigation Applications; Analog Devices AN-602 Application Note; Analog Devices: Norwood, MA, USA, 2002; Volume 2, pp. 1–6. [Google Scholar]









| Positioning Methods | Maximum Error (m) | Minimum Error (m) | Average Error (m) |
|---|---|---|---|
| PDR positioning | 2.17 | 0.39 | 1.78 |
| BLE-based positioning | 2.05 | 0.7 | 1.51 |
| Fused positioning | 1.87 | 0.51 | 1.35 |
Disclaimer/Publisher’s Note: The statements, opinions and data contained in all publications are solely those of the individual author(s) and contributor(s) and not of MDPI and/or the editor(s). MDPI and/or the editor(s) disclaim responsibility for any injury to people or property resulting from any ideas, methods, instructions or products referred to in the content. |
© 2023 by the authors. Licensee MDPI, Basel, Switzerland. This article is an open access article distributed under the terms and conditions of the Creative Commons Attribution (CC BY) license (https://creativecommons.org/licenses/by/4.0/).
Share and Cite
Jin, Z.; Li, Y.; Yang, Z.; Zhang, Y.; Cheng, Z. Real-Time Indoor Positioning Based on BLE Beacons and Pedestrian Dead Reckoning for Smartphones. Appl. Sci. 2023, 13, 4415. https://doi.org/10.3390/app13074415
Jin Z, Li Y, Yang Z, Zhang Y, Cheng Z. Real-Time Indoor Positioning Based on BLE Beacons and Pedestrian Dead Reckoning for Smartphones. Applied Sciences. 2023; 13(7):4415. https://doi.org/10.3390/app13074415
Chicago/Turabian StyleJin, Zhiang, Yanjun Li, Zhe Yang, Yufan Zhang, and Zhen Cheng. 2023. "Real-Time Indoor Positioning Based on BLE Beacons and Pedestrian Dead Reckoning for Smartphones" Applied Sciences 13, no. 7: 4415. https://doi.org/10.3390/app13074415
APA StyleJin, Z., Li, Y., Yang, Z., Zhang, Y., & Cheng, Z. (2023). Real-Time Indoor Positioning Based on BLE Beacons and Pedestrian Dead Reckoning for Smartphones. Applied Sciences, 13(7), 4415. https://doi.org/10.3390/app13074415

