Thermal Hysteresis in Melting–Solidification of Nanoparticles
Abstract
1. Introduction
2. Results and Discussion
2.1. Analysis of NP Solidification
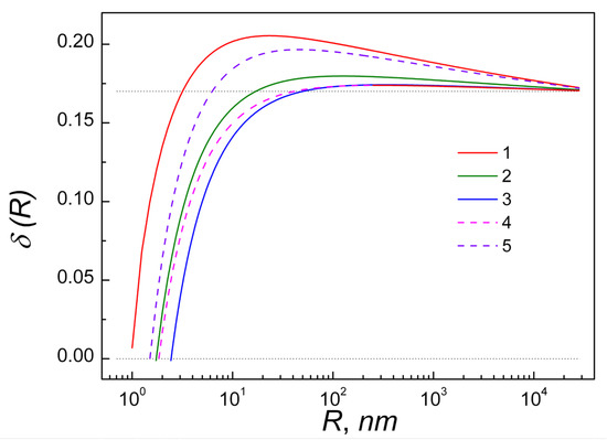
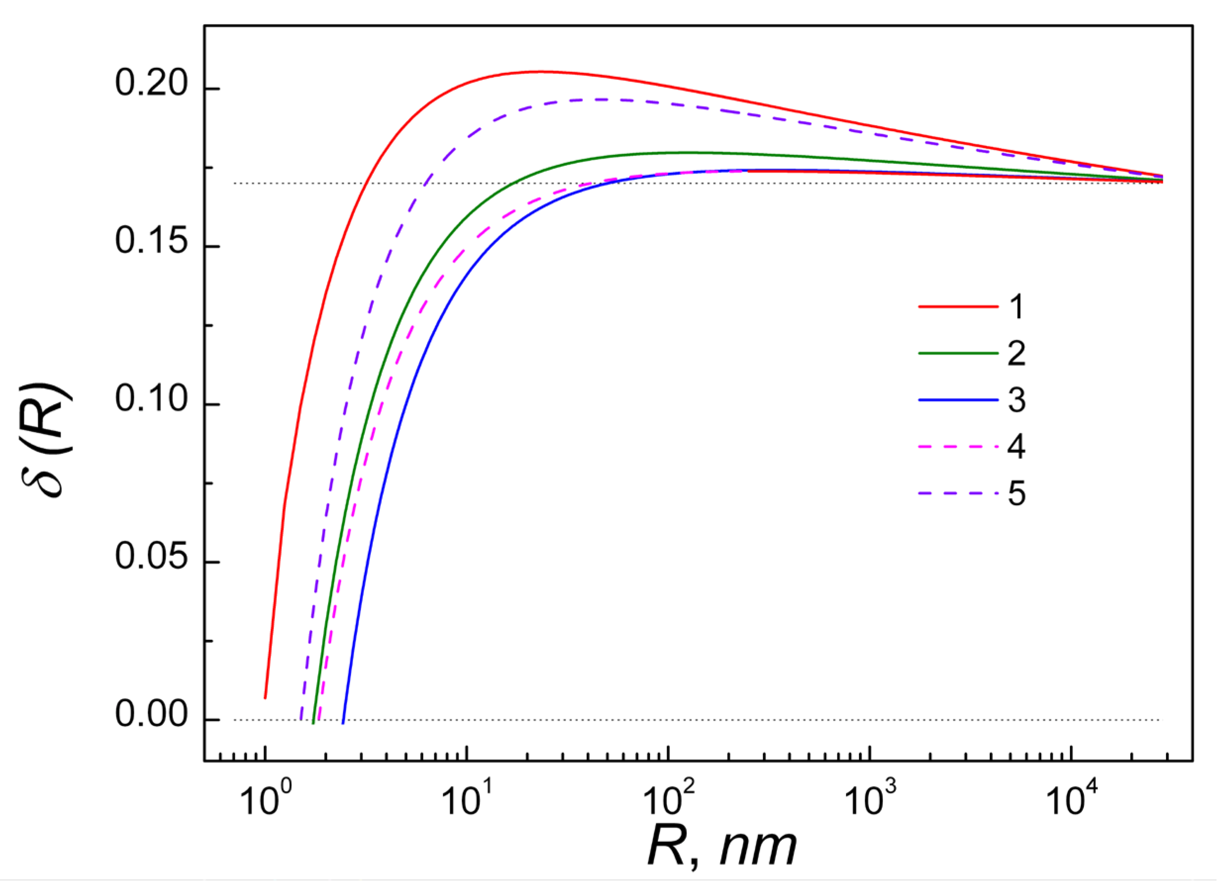
2.2. Thermal Hysteresis
3. Conclusions
Funding
Institutional Review Board Statement
Informed Consent Statement
Data Availability Statement
Conflicts of Interest
References
- Peppiatt, S.J. The melting of small particles. II. Bismuth. Proc. R. Soc. London Ser. A Math. Phys. Sci. 1975, 345, 401–412. [Google Scholar] [CrossRef]
- Buffat, P.; Borel, J.-P. Size effect on the melting temperature of gold particles. Phys. Rev. A 1976, 13, 2287–2298. [Google Scholar] [CrossRef]
- Allen, G.L.; Bayles, R.A.; Gile, W.W.; Jesser, W.A. Small particle melting of pure metals. Thin Solid Film. 1986, 144, 297–308. [Google Scholar] [CrossRef]
- Kellermann, G.; Pereira, F.L.C.; Craievich, A.F. Determination of the melting temperature of spherical nanoparticles in dilute solution as a function of their radius by exclusively using the small-angle X-ray scattering technique. J. Appl. Cryst. 2020, 53, 455–463. [Google Scholar] [CrossRef]
- Chang, J.; Johnson, E. Surface and bulk melting of small metal clusters. Philos. Mag. 2005, 85, 3617–3627. [Google Scholar] [CrossRef]
- Garrigos, R.; Cheyssac, P.; Kofman, R. Melting for lead particles of very small sizes; influence of surface phenomena. Z. Phys. D At. Mol. Clust. 1989, 12, 497–500. [Google Scholar] [CrossRef]
- Schlexer, P.; Andersen, A.B.; Sebok, B.; Chorkendorff, I.; Schiøtz, J.; Hansen, T.W. Size-Dependence of the Melting Temperature of Individual Au Nanoparticles. Part. Part. Syst. Charact. 2019, 36, 1800480. [Google Scholar] [CrossRef]
- Goldstein, A.N.; Echer, C.M.; Alivisatos, A.P. Melting in Semiconductor Nanocrystals. Science 1992, 256, 1425–1427. [Google Scholar] [CrossRef]
- Guenther, G.; Guillon, O. Models of size-dependent nanoparticle melting tested on gold. J. Mater. Sci. 2014, 49, 7915–7932. [Google Scholar] [CrossRef]
- Sear, R.P. Nucleation: Theory and applications to protein solutions and colloidal suspensions. J. Phys. Condens. Matter. 2007, 19, 033101. [Google Scholar] [CrossRef]
- Oxtoby, D.W. Homogeneous nucleation: Theory and experiment. J. Phys. Condens. Matter 1992, 4, 7627–7650. [Google Scholar] [CrossRef]
- Turnbull, D.; Cech, R.E. Microscopic Observation of the Solidification of Small Metal Droplets. J. Appl. Phys. 1950, 21, 804. [Google Scholar] [CrossRef]
- Turnbull, D. Formation of Crystal Nuclei in Liquid Metals. J. Appl. Phys. 1950, 21, 1022–1027. [Google Scholar] [CrossRef]
- Simon, C.; Peterlechner, M.; Wilde, G. Experimental determination of the nucleation rates of undercooled micron-sized liquid droplets based on fast chip calorimetry. Thermochim. Acta 2015, 603, 39–45. [Google Scholar] [CrossRef]
- Kinyanjui, R.; Lehman, L.P.; Zavalij, L.; Cotts, E. Effect of sample size on the solidification temperature and microstructure of SnAgCu near eutectic alloys. J. Mater. Res. 2005, 20, 2914–2918. [Google Scholar] [CrossRef]
- Li, Y.; Zang, L.; Jacobs, D.L.; Zhao, J.; Yue, X.; Wang, C. In situ study on atomic mechanism of melting and freezing of single bismuth nanoparticles. Nat. Commun. 2017, 8, 14462. [Google Scholar] [CrossRef]
- Shibuta, Y.; Suzuki, T. Melting and solidification point of fcc-metal nanoparticles with respect to particle size: A molecular dynamics study. Chem. Phys. Lett. 2010, 498, 323–327. [Google Scholar] [CrossRef]
- Kalyanaraman, R. Nucleation energetics during homogeneous solidification in elemental metallic liquids. J. Appl. Phys. 2008, 104, 033506. [Google Scholar] [CrossRef]
- Vekilov, P.G. Nucleation. Cryst. Growth Des. 2010, 10, 5007–5019. [Google Scholar] [CrossRef] [PubMed]
- Skapski, A.S. A Theory of Surface Tension of Solids—I. Acta Metall. 1956, 4, 576–582. [Google Scholar] [CrossRef]
- Ouyang, G.; Tan, X.; Yang, G. Thermodynamic model of the surface energy of nanocrystals. Phys. Rev. B 2006, 74, 195408. [Google Scholar] [CrossRef]
- Jiang, X.; Xiao, B.; Lan, R.; Gu, X.; Zhang, X.; Sheng, H. Estimation of the solid-liquid interface energy for metal elements. Comput. Mater. Sci. 2019, 170, 109174. [Google Scholar] [CrossRef]
- Jian, Z.; Kuribayashi, K.; Jie, W. Solid-liquid Interface Energy of Metals at Melting Point and Undercooled State. Mater. Trans. 2002, 43, 721–726. [Google Scholar] [CrossRef]
- Flemings, M.C.; Shiohara, Y. Solidification of Undercooled Metals. Mater. Sci. Eng. 1984, 65, 157–170. [Google Scholar] [CrossRef]
- Rudajevová, A.; Dušek, K. Influence of the thermal history and composition on the melting/solidification process in Sn-Ag-Cu solders. Kov. Mater. 2012, 50, 295–300. [Google Scholar] [CrossRef]
- Vitos, L.; Ruban, A.V.; Skriver, H.L.; Kollar, J. The surface energy of metals. Surf. Sci. 1998, 411, 186–202. [Google Scholar] [CrossRef]
- Zhang, S. The solid–liquid interface energy at the melting temperature of metal materials. Nanomater. Energy 2019, 8, 107–113. [Google Scholar] [CrossRef]
- Hou, M. Solid–liquid and liquid–solid transitions in metal nanoparticles. Phys. Chem. Chem. Phys. 2017, 19, 5994–6005. [Google Scholar] [CrossRef] [PubMed]
- Zhdanov, V.P.; Schwind, M.; Zoric, I.; Kasemo, B. Overheating and undercooling during melting and crystallization of metal nanoparticles. Physica E 2010, 42, 1990–1994. [Google Scholar] [CrossRef]


Disclaimer/Publisher’s Note: The statements, opinions and data contained in all publications are solely those of the individual author(s) and contributor(s) and not of MDPI and/or the editor(s). MDPI and/or the editor(s) disclaim responsibility for any injury to people or property resulting from any ideas, methods, instructions or products referred to in the content. |
© 2023 by the author. Licensee MDPI, Basel, Switzerland. This article is an open access article distributed under the terms and conditions of the Creative Commons Attribution (CC BY) license (https://creativecommons.org/licenses/by/4.0/).
Share and Cite
Burlakov, V.M. Thermal Hysteresis in Melting–Solidification of Nanoparticles. Appl. Sci. 2023, 13, 3809. https://doi.org/10.3390/app13063809
Burlakov VM. Thermal Hysteresis in Melting–Solidification of Nanoparticles. Applied Sciences. 2023; 13(6):3809. https://doi.org/10.3390/app13063809
Chicago/Turabian StyleBurlakov, Victor M. 2023. "Thermal Hysteresis in Melting–Solidification of Nanoparticles" Applied Sciences 13, no. 6: 3809. https://doi.org/10.3390/app13063809
APA StyleBurlakov, V. M. (2023). Thermal Hysteresis in Melting–Solidification of Nanoparticles. Applied Sciences, 13(6), 3809. https://doi.org/10.3390/app13063809