Shaking Table Test of the Negative Skin Friction of a Single Pile Induced by Seismic Settlement of Model Soft Soil
Abstract
1. Introduction
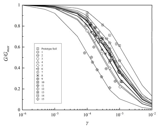
2. Selection of Model Materials for the Pile-Soil Shaking Table Test
3. Loading Condition of the Pile-Soil Shaking Table Model
4. Pile-Soil Shaking Table Model Preparation
5. Analysis of the Shaking Table Test Results of a Single Pile in a Soft Soil Foundation of the Pile-Soil Shaking Table Test
5.1. Soil Seismic Subsidence and Pore Pressure Analysis
5.2. Dynamic Response Analysis of Soil Layers
5.3. Calculation and Analysis of the NSF of the Pile
5.4. Limitations of the Study
- Soft soils are highly structured, and model soft soils cannot truly reflect the dynamic properties of prototype soft soils, but the difficulty of sampling and molding prototype soft soils makes it difficult to carry out shaking table tests with prototype soft soils, so it is necessary to further conduct in-depth research on the similar dynamic properties of model soft soils and prototype soft soils to provide a design basis for soft soil-pile model tests.
- The main purpose of this test was to qualitatively analyze the mechanism and law of NSF generation. The behavior of the test law reflected to the prototype through similar relationships was not the focus. Pile-soil model shaking table testing cannot truly simulate the stress conditions in the prototype stress field and cannot reproduce the real dynamic response of the prototype under actual stress conditions, while dynamic centrifugal model testing can solve the above problems and is the most effective and advanced research method and testing technology for studying geotechnical earthquake engineering problems. Thus, it is necessary to carry out pile-soil centrifuge shaking table model tests with seismic settlement of soft soil.
- In reality, most building foundations have a group pile foundation, and the load is transferred and distributed through the bearing, so the research conclusion of the NSF of only a single pile cannot be applied to actual engineering. Therefore, the shaking table test of the NSF of the pile group due to seismic settlement of soft soil should be carried out in the next step.
- Due to the limitations of the test conditions and model design, and to investigate the effects of ground vibration frequency and peak acceleration on the seismic response of the soil and the NSF of the pile, the ground vibration loading conditions in this study were chosen to be sinusoidal, and vertical seismic excitation and natural seismic waves were not considered. The test protocol should be optimized in future studies to meet the practical application requirements.
6. Discussion
- (1)
- Horizontal ground shaking can cause seismic subsidence in soft soil sites, there is an acceleration amplification effect in soft soil sites, and the amplification effect is greater for weak than strong earthquakes. As the frequency of ground shaking increases, the greater the amount of seismic trapping in soft soil, and the greater the increase in the acceleration amplification factor in soft soil sites.
- (2)
- The distribution of the NSF of the pile body caused by different frequencies and peak accelerations of the sine wave is basically the same: the NSF is mainly distributed in the upper part of the pile body, and in the early stage of ground vibration loading, the NSF grows rapidly, its magnitude is influenced by the frequency and peak acceleration of the sine wave, and the effect of frequency on the NSF is greater than that of peak acceleration.
- (3)
- There is only one neutral point, which is generally located in the middle and lower parts of the pile body, and it shifts downwards with the increase in the peak acceleration of ground vibration, but the downwards shift is not significant.
Author Contributions
Funding
Institutional Review Board Statement
Informed Consent Statement
Data Availability Statement
Acknowledgments
Conflicts of Interest
Appendix A
| Test Number | Parameters | 10−4 | |||||||
|---|---|---|---|---|---|---|---|---|---|
| 0.05 | 0.1 | 0.5 | 1 | 5 | 10 | 50 | 100 | ||
| prototype soft soils | G//Gmax | 0.9970 | 0.9940 | 0.9690 | 0.9390 | 0.7550 | 0.6060 | 0.2350 | 0.1330 |
| 1 | G//Gmax | 0.9921 | 0.9843 | 0.9262 | 0.8625 | 0.5564 | 0.3854 | 0.1115 | 0.0591 |
| 2 | G//Gmax | 0.9944 | 0.9889 | 0.9467 | 0.8989 | 0.6400 | 0.4706 | 0.1509 | 0.0816 |
| 3 | G//Gmax | 0.9883 | 0.9769 | 0.8944 | 0.8091 | 0.4587 | 0.2976 | 0.0781 | 0.0406 |
| 4 | G//Gmax | 0.9844 | 0.9689 | 0.9167 | 0.7989 | 0.5400 | 0.3706 | 0.1309 | 0.0923 |
| 5 | G//Gmax | 0.9849 | 0.9703 | 0.8674 | 0.7659 | 0.3955 | 0.2465 | 0.0614 | 0.0316 |
| 6 | G//Gmax | 0.9837 | 0.9679 | 0.8576 | 0.7507 | 0.3759 | 0.2315 | 0.0568 | 0.0292 |
| 7 | G//Gmax | 0.9592 | 0.9216 | 0.7016 | 0.5403 | 0.1904 | 0.1052 | 0.0230 | 0.0116 |
| 8 | G//Gmax | 0.9884 | 0.9770 | 0.8947 | 0.8094 | 0.4593 | 0.2981 | 0.0783 | 0.0407 |
| 9 | G//Gmax | 0.9886 | 0.9775 | 0.8967 | 0.8128 | 0.4647 | 0.3027 | 0.0799 | 0.0416 |
References
- Liu, H. Earthquake Damage of the Tangshan Earthquake; Seismological Press: Beijing, China, 1986. (In Chinese) [Google Scholar]
- Mendoza, M.J.; Auvinet, G. The Mexico earthquake of September 19, 1985—Behavior of building foundations in Mexico City. Earthq. Spectra 1988, 4, 835–853. [Google Scholar] [CrossRef]
- Jiang, X. Investigation and Research on Earthquake Damages of Foundations in Wenchuan Earthquake. Master’s Thesis, Tongji University, Shanghai, China, 2009. (In Chinese) [Google Scholar] [CrossRef]
- Endo, M.A.; Minou, A.; Kawasaki, I.; Shibata, T. Negative Skin Friction Acting on Steel Piles in Clay. In Proceedings of the 7th International Conference on Soil Mechanics and Foundation Engineering, Mexico City, Mexico, 29 August 1969; pp. 85–92. [Google Scholar]
- Okabe, T. Large negative friction and friction-free pile methods. In Proceedings of the 9th international Conference on Soil Mechanics and Foundation Engineering, Tokyo, Japan, 10–15 July 1977; pp. 679–682. [Google Scholar]
- Shibata, T.; Sekiguchi, H.; Yukitomo, H. Model test and analysis of negative skin friction acting on piles. Soils Found. 1982, 22, 29–39. [Google Scholar] [CrossRef] [PubMed]
- Leung, C.; Liao, B.; Chow, Y.; Shen, R.; Kog, Y. Behavior of Pile Subject to Negative Skin Friction and Axial Load. Soils Found. 2004, 44, 17–26. [Google Scholar] [CrossRef] [PubMed]
- Kong, G.; Yang, Q.; Luan, M. Loading sequence effects on dragload and downdrag for pile foundation. Trans. Tianjin Univ. 2010, 16, 203–208. [Google Scholar] [CrossRef]
- Huang, T.; Zheng, J.H.; Gong, W.M. Research on Negative Skin Friction on Pile by a Simple Model Experiment. Appl. Mech. Mater. 2014, 580–583, 693–696. [Google Scholar] [CrossRef]
- Hong, Y.; Ng, C.W.W.; Chen, Y.M.; Wang, L.Z.; Chan, V.S.Y. Field study of downdrag and dragload of bored piles in consolidating ground. J. Perform. Constr. Facil. 2016, 30, 04015050. [Google Scholar] [CrossRef]
- Kim, H.-J.; Mission, J.L.; Park, T.-W.; Dinoy, P.R. Analysis of negative skin-friction on single piles by one-dimensional consolidation model test. Int. J. Civ. Eng. 2018, 16, 1445–1461. [Google Scholar] [CrossRef]
- Xing, H.; Liu, L. Field tests on influencing factors of negative skin friction for pile foundations in collapsible loess regions. Int. J. Civ. Eng. 2018, 16, 1413–1422. [Google Scholar] [CrossRef]
- Zhang, Y.; Zhou, L.P.; Wang, M.Y.; Ding, X.; Wang, C. Experimental Study on the Negative Skin Friction of the Pile Group Induced by Rising and Lowering the Groundwater Level. Adv. Civ. Eng. 2021, 2021, 2574727. [Google Scholar] [CrossRef]
- Wu, Y.; Ren, Y.; Liu, J.; Ma, L. Analysis of negative skin friction on a single pile based on the effective stress method and the finite element method. Appl. Sci. 2022, 12, 4125. [Google Scholar] [CrossRef]
- Becerra, A.; Sáez, E.; Podestá, L.; Leyton, F. The 2014 earthquake in Iquique, Chile: Comparison between local soil conditions and observed damage in the cities of Iquique and Alto Hospicio. Earthq. Spectra 2016, 32, 1489–1505. [Google Scholar] [CrossRef]
- Avcil, F.; Ercan, I.; Büyüksaraç, A. The effect of local soil conditions on structure target displacements in different seismic zones. Gümüşhane Üniv. Bilim. Derg. 2022, 12, 1000–1011. [Google Scholar]
- Borcherdt, R.D. Effects of local geology on ground motion near San Francisco Bay. Bull. Seismol. Soc. Am. 1970, 60, 29–61. [Google Scholar]
- Ozsarac, V.; Monteiro, R.; Askan, A.; Calvi, G.M. Impact of local site effects on seismic risk assessment of reinforced concrete bridges. Soil Dyn. Earthq. Eng. 2023, 164, 107624. [Google Scholar] [CrossRef]
- Zhang, L.; Goh, S.H.; Yi, J. A centrifuge study of the seismic response of pile–raft systems embedded in soft clay. Géotechnique 2017, 67, 479–490. [Google Scholar] [CrossRef]
- Clough, R.W.; Seed, H.B. Earthquake Resistance of Sloping Core Dams. ASCE Soil Mech. Found. Div. J. 1963, 89, 209–242. [Google Scholar] [CrossRef]
- Tavenas, F.A.; Roy, M.; Rochelle, P.L. An artificial material for simulating champlain clays. Can. Geotech. J. 1973, 10, 489–503. [Google Scholar] [CrossRef]
- Blaney, G.W.; Mallow, W.A. Synthetic clay soil for dynamic model pile tests. In Dynamic Response of Pile Foundations—Experiment, Analysis and Observation; ASCE: New York, NY, USA, 1987; pp. 127–148. [Google Scholar]
- Deng, Y.; Zhang, T.; Cui, Y.; Chen, Y.; Deng, T.; Zhou, X. Pore water salinity effect on the intrinsic compression behaviour of artificial soft soils. Appl. Clay Sci. 2018, 166, 299–306. [Google Scholar] [CrossRef]
- Qiao, F.; Bo, J.; Wang, L.; Chang, Z.; Zhang, Z.; Qi, W. Overview of research on soft soils and their dynamic properties in China. World Earthq. Eng. 2019, 35, 150–161. (In Chinese) [Google Scholar]
- Yan, X.; Yu, H.; Yuan, Y.; Yuan, J. Multi-point shaking table test of the free field under non-uniform earthquake excitation. Soils Found. 2015, 55, 985–1000. [Google Scholar] [CrossRef]
- Cao, J.; Han, L.; Feng, C.; Huang, M. Free field dynamic centrifugal model tests on soft soil layers. J. Chang. Acad. Sci. 2012, 29, 78–82. (In Chinese) [Google Scholar]
- Tian, Z. Research on the Negative Friction Resistance of Pile Foundation Caused by Earthquake Subsidence in Soft Soil Field. Master’s Thesis, School of Disaster Prevention Science and Technology, Langfang, China, 2020. (In Chinese) [Google Scholar] [CrossRef]

















| Test Number | Kaolin: Quartz Sand Powder | Moisture Content |
|---|---|---|
| 1 | 1:1 | 30% |
| 2 | 1:1 | 33% |
| 3 | 1:1 | 36% |
| 4 | 1:1.5 | 30% |
| 5 | 1:1.5 | 33% |
| 6 | 1:1.5 | 36% |
| 7 | 1:2 | 30% |
| 8 | 1:2 | 33% |
| 9 | 1:2 | 36% |
| Condition Number | Input Ground Motion | PGA of the Table |
|---|---|---|
| 1 | Horizontal white noise | 0.05 g |
| 2 | Horizontal 1 Hz sine wave | 0.10 g |
| 3 | Horizontal 1 Hz sine wave | 0.20 g |
| 4 | Horizontal 1 Hz sine wave | 0.30 g |
| 5 | Horizontal white noise | 0.05 g |
| 6 | Horizontal 3 Hz sine wave | 0.10 g |
| 7 | Horizontal 3 Hz sine wave | 0.20 g |
| 8 | Horizontal 3 Hz sine wave | 0.30 g |
| 9 | Horizontal white noise | 0.05 g |
| 10 | Horizontal 5 Hz sine wave | 0.10 g |
| 11 | Horizontal 5 Hz sine wave | 0.20 g |
| 12 | Horizontal 5 Hz sine wave | 0.30 g |
Disclaimer/Publisher’s Note: The statements, opinions and data contained in all publications are solely those of the individual author(s) and contributor(s) and not of MDPI and/or the editor(s). MDPI and/or the editor(s) disclaim responsibility for any injury to people or property resulting from any ideas, methods, instructions or products referred to in the content. |
© 2023 by the authors. Licensee MDPI, Basel, Switzerland. This article is an open access article distributed under the terms and conditions of the Creative Commons Attribution (CC BY) license (https://creativecommons.org/licenses/by/4.0/).
Share and Cite
Li, P.; Lin, M.; Liu, Y. Shaking Table Test of the Negative Skin Friction of a Single Pile Induced by Seismic Settlement of Model Soft Soil. Appl. Sci. 2023, 13, 3588. https://doi.org/10.3390/app13063588
Li P, Lin M, Liu Y. Shaking Table Test of the Negative Skin Friction of a Single Pile Induced by Seismic Settlement of Model Soft Soil. Applied Sciences. 2023; 13(6):3588. https://doi.org/10.3390/app13063588
Chicago/Turabian StyleLi, Ping, Mingyuan Lin, and Yingci Liu. 2023. "Shaking Table Test of the Negative Skin Friction of a Single Pile Induced by Seismic Settlement of Model Soft Soil" Applied Sciences 13, no. 6: 3588. https://doi.org/10.3390/app13063588
APA StyleLi, P., Lin, M., & Liu, Y. (2023). Shaking Table Test of the Negative Skin Friction of a Single Pile Induced by Seismic Settlement of Model Soft Soil. Applied Sciences, 13(6), 3588. https://doi.org/10.3390/app13063588
