Abstract
CNC machine tools are a measure of national manufacturing and comprehensive national strength and how to reduce CNC machine errors in modern industry has received much attention from all walks of life. The thermal deformation of the feed axis of CNC machine tools is affected by the machine’s structure, installation, material properties, motion position, working conditions, and environmental temperature. Therefore, adopting a single thermal error model to the compensation implementation needs is difficult under changing motion parameters. In this paper, VMC655H is used as the research object and an embedded system is used as the control core. The model classification method is based on the approximate matching of the motion parameters of the thermal error model. Dynamic loading technology is used to fit multiple thermal error models as a technical means to reduce the impact of the machine feed axis’s thermal deformation on the positioning accuracy during the manufacturing process. The thermal error classification model for machine tool feed axes with variable motion parameters in an embedded environment can classify, identify, and load compensation device models within a limited range of motion parameters. This strategy can determine the current operating environment and compensate for the poor adaptability of a single thermal error model. The study of the actual operation effect of the compensation device under this strategy shows that the compensation strategy proposed in this paper can compensate for the thermal deformation of the ball screw feed axis under variable motion, and the X-axis positioning accuracy of its feed system can be improved by 53.11%. This study provides a new idea for the compensation method for thermogenic errors in machine tools.
1. Introduction
In modern manufacturing, the requirements for CNC machine tools are high precision, efficiency, and stability, which is the industry’s unwavering goal. Precision and ultraprecision machining are essential development directions of CNC machine tools. CNC machine tools are called “industrial mother machines”, which are essential to industrial product quality. CNC machine tools are widely used in aerospace, military, automotive, and naval vessels, mainly for processing precision and complex parts. However, due to the increase in operating time, under the combined effect of vibration, thermal, and shock loads, the accuracy and stability of the machine tool decrease, seriously affecting the precision and stability of the machined parts. Errors that affect the precision of CNC machine tool machining can be divided into geometric, thermal, and cutting force errors. Research indicates that thermal errors are one of the most critical reasons that affect the accuracy of machine tool machining, and thermal errors account for 40–70% of total manufacturing deformations [1].
Since the thermal error was introduced at the end of the last century [2], the means have gradually changed from the error prevention method to the error compensation method. The error compensation method has received wide attention from machine tool researchers for its low cost. In the last decade, data-driven thermal error modeling has been used to construct an empirical model between thermal error deformation and temperature rise variation by ensuring the statistical significance of the thermal error model in terms of considerable probability validity, so that its results are used to adjust the relative position between the workpiece and the tool for error compensation implementation. A unified thermal error modeling protocol was gradually developed: optimization of temperature-sensitive points, thermal error modeling, compensation implementation, and verification [3].
In the early research process, scholars agreed that uneven temperature field distribution was the leading cause of thermal errors [4]. Specific temperature measurement points have a certain correlation with the thermal errors of machine tools. These temperature measurement points are gradually collectively referred to as thermal critical points or temperature-sensitive points [5]. The selection of temperature-sensitive points is crucial to compensate for thermal errors in CNC machines. To improve the effectiveness of modeling temperature measurement points and thermal errors, cluster analysis, correlation analysis, and correlation coefficient analysis are often used for the detection of temperature-sensitive points. J. Yang et al. [6] used a fuzzy clustering algorithm to optimize the grouping of temperature measurement points and select appropriate points sensitive to thermal error, reducing the number of independent variables in the modeling. In the study by Y. X. Li et al. [7], based on the gray system theory of the gray correlation model, the temperature variables in the thermal error model were reduced and optimized from 16 to 4. T.H. Wang et al. [8] used fuzzy C-mean clustering (FCM) and ISODATA to group temperature sensors. They established a thermal model of the artificial neural network backpropagation genetic algorithm to demonstrate its precision. AM Abdulshahed et al. [9] used models based on the GM gray model and fuzzy C-class mean clustering methods to identify different groups of critical temperature points from IR thermographs, resulting in residual values less than ±2 μm for the FCM-ANFIS model. With further research, Miao et al. [10] used principal component regression (PCR) modeling to eliminate the effect of multicollinearity among temperature variables and achieved good prediction precision and robustness.
The prediction accuracy of the thermal error model ultimately determines the machine’s machining precision. Therefore, data-driven models based on machine learning have started to be used for thermal error compensation. For example, artificial neural networks [11], gray theory [12], and support vector machines [13] became common methods to model thermal errors. Machine learning actually constructs a mathematical model to find the causal relationship between the input feature information and the target label value in a data set to predict the target value. This algorithmic model is commonly used in application scenarios where the correspondence between multiple variables is found. Shen et al. [14] proposed the online asynchronous compensation method (OACM) to deal with static/quasi-static errors caused by thermal deformation and machine geometry, reducing more than 70% of machining errors caused by thermal deformation. Yang et al. [15] established a comprehensive error model based on the MRA method for geometric and thermal errors. The experimental data showed that the error before compensation was as high as 60 μm. After compensation, the error was reduced to 14 μm, which achieved good compensation results. Tseng et al. [16] proposed a nonlinear MRA model that can accurately predict the thermal errors of CNC lathes. Chen et al. [17] applied the MRA model to compensate for spatial positioning errors in machine tools.
However, the technical route to realizing thermal error compensation has not yet been opened, and its compensation technique still needs to be improved in practical engineering applications. Most scholars stop at single-axis or single-scene analysis of some thermal error cases. They need help to provide a complete set of technical routes to solve such similarity problems. For most modeling approaches, thermal error models are obtained by finding the best mapping relationship between thermal errors and temperature variations at temperature-sensitive points. From the perspective of modeling theory, scholars tend to use fitting algorithms or combine various optimization algorithms to focus on outputting a single thermal error model mapping under multiple motion parameters. However, the modeling data’s limitations affect the model’s prediction performance, which is still only applicable to the deformation prediction under the corresponding modeling condition parameters, resulting in poor algorithmic robustness of the individual thermal error models. From the control system point of view, the traditional thermal error compensation model is more about the classification and identification of the thermal error model from the temperature-sensitive points of the machine tool. In contrast, the offline modeling model cannot guarantee an accurate adaptation of the temperature points to the thermal error model established under specific parameters.
Along with the development of thermal error compensation models, data-driven thermal error compensators gradually appear in the public eye. The existing embedded compensators are primarily based on a single thermal error compensation model, which cannot flexibly embed a variety of thermal error models or rapidly iterate the development of existing thermal error models. In this paper, we propose a model classification method based on an embedded system as the control core, approximate matching of thermal error model motion parameters, and the use of dynamic loading technology to fit multiple sets of thermal error models as the technical means to achieve the classification identification and loading of compensation device models within a limited range of motion parameters, and we propose a thermal error classification model based on variable motion parameters of machine tool feed axes in an embedded environment. This embedded thermal error compensator with a dynamic loading technique can speed up the development process of the whole system, separating the underlying hardware from the application layer. It is safer and more efficient than the traditional model.
2. Research Object and Methodology
The thermal behavior of the feed axis is very complex, and its thermal error is affected by the solid structure, mounting method, material properties, internal heat generation and location of the machine tool, working conditions, and ambient temperature. Furthermore, the thermal error of the feed axis varies with the running time and the axial position. Therefore, the thermal error is nonlinear and time-variable. Data-driven algorithms are used to train and identify critical data related to the operation process of massive equipment and its state, to establish the regulatory relationship between variables and the temperature field and thermal expansion, and to obtain an intelligent prediction model with high accuracy. The model is then combined with an embedded system, compensating for the thermal errors of CNC machine tools in real time. First, the temperature of the machining center is collected in real time by the temperature sensors arranged at the critical temperature points of the machining center. The collected values are inputted into the thermal error compensation module of the CNC system through data processing. On the one hand, after receiving the signal, the thermal error compensation module determines the error compensation value in real time according to the thermal error compensation model. On the other hand, it completes the transmission of compensation information to the control system so that the control system can formulate specific control strategies in real time and then make the corresponding error compensation to ensure the machining accuracy of the machine tool.
2.1. Analysis of Vertical Machining Center Structure
The geometry of different types of machine tools varies. Suppose that the geometry of the machine tool is not designed correctly. In that case, it can lead to a degradation of the performance of the machine tool in terms of thermal conductivity, heat dissipation, and thermal stability. For the feed axis, an unreasonable machine geometry can lead to thermal expansion and thermal deformation of the ball screw and the linear dial, resulting in thermal errors along the axial direction of the screw. When the machine tool is subjected to the same environmental heat, the parameters of the thermal characteristics between the material and the material will be very different, and its components will have some differences in expansion and deformation. Different metal materials have different coefficients of thermal expansion, thermal diffusion properties, and boundary conditions, resulting in different deformations of various parts of the machine tool. As the machine running time increases, the thermal deformation of the feed axis intensifies, affecting the correct relative position of the tool and the workpiece, thus reducing the precision of the machine tool machining.
The vertical machining center VMC655H and its feed system are shown in Figure 1 and Figure 2, respectively:
Figure 1.
Vertical machining center VMC655H.
Figure 2.
Schematic sketch of the feed shaft drive method.
The machine table adopts a Cartesian coordinate layout form. Its motor, ball screw sub, guide sub, bearing, and slider are the primary heat sources in the process of machine motion, and the deformation of the screw is also related to its preload form. The feed axis adopts the three-coordinate separated drive. The AC digital feed servo motor is connected to the ball screw through a coupling to drive the moving parts to make a linear reciprocating motion. The feed axis is mounted with one end moving and one end fixed. The angular contact bearing is installed back-to-back.
2.2. Embedded Thermal Error Compensation Control System Design
2.2.1. Embedded Thermal Error Compensation Controller Requirement Analysis
The thermal error compensation process is performed through the acquisition of the surface temperature of the CNC machine as input parameters of the thermal error prediction model. The thermal error compensation value calculated at the current time is transmitted to the CNC system. The CNC system dynamically adjusts the feed displacement according to the thermal error prediction value to achieve real-time thermal error compensation. Considering that the actual use of thermal error presents time lag, time variation, comprehensive nonlinearity, and other characteristics, it is difficult to use a single thermal error prediction model for characterization. The introduction of the thermal error compensation scheme under variable motion parameters makes the thermal error compensator meet the characteristics of fast loading and high applicability. The embedded compensator system must meet both the temperature data acquisition and real-time communication data-processing tasks of CNC machine tools, as well as the application requirements as dynamic identification of motion parameters. The functional requirements of the control system are shown in Table 1.
Table 1.
System functional requirements for dynamic motion parameter recognition.
For the above design requirements, the functional division of the thermal error compensator under dynamic identification of motion parameters is shown in Table 1. To integrate into the embedded control system, the OPC UA client is implemented, and this solution attempts to connect to Siemens machine tools through the OPC UA protocol. To realize the universal applicability of the embedded thermal error compensator, the establishment of the thermal error model and the implementation of the compensation are packaged into two modules of the application framework to cope with the construction and performance of the thermal error model in different environments. The flow of the data signal is shown in Figure 3.
Figure 3.
Thermal error compensator signal transmission flow diagram.
Considering the limited computing power of resources in the embedded environment, the compilation and modeling process are made more flexible and convenient by creating an easy-to-load thermal error compensation model on the PC side and compiling it into an executable file. In the embedded thermal error compensator, the ELF loader differs from the traditional IAP upgrade model by separating the application and the operating system underlay so that the application can still be loaded while the system is running. With the expansion of the program size, the upgrade and maintenance of the program will become extremely convenient. When the motion parameters of the application program change, the PC reconstructs the thermal error model, which can be quickly transferred to the embedded thermal error compensator and interacts with the machine through the OPC UA protocol to realize the compensation implementation process. The compensation process is shown in Figure 4.
Figure 4.
Thermal error compensator compensation implementation process.
2.2.2. Embedded Compensation System Development Software and Hardware Framework Design
- 1.
- Embedded compensation system hardware platform construction
The whole embedded compensation system must be deployed near the machine tool to collect real-time temperature data for abnormality detection and data preprocessing. According to the functional requirements of the embedded compensation system, the temperature data acquisition circuit, microcontroller minimum system, OPC UA communication circuit, TFT display, and other peripheral circuits are integrated into the embedded system. Figure 5 depicts the hardware circuit construction block diagram.
Figure 5.
Block diagram of the thermal error compensator hardware circuit.
The system selects the Cortex-M4-based STM32F407ZGT6 minimal system as the primary operating environment for the operation of the embedded thermal error compensation controller. Using a double-heap allocation, it provides sufficient RAM space for the FreeRTOS and OPC UA protocol stacks through the external IS62WV51216 1M SRAM. By selecting IS62WV51216, LAN8720A, W25Q128, and DS18B20 as primary hardware peripherals, the connection to the central control is realized through FSMC, RMII, SPI, single bus protocol, and other interfaces.
- 2.
- Embedded compensation system software function module division
The internal framework of the embedded development system is divided into four layers in order to match the hardware platform of the embedded compensation system. The physical layer of the underlying hardware uses the main HAL library to encapsulate the interface of the underlying hardware registers to avoid the tediousness of direct register operations. The basic peripheral driver layer initializes the peripherals that the system needs to use and retains the system call interface. The system includes FATFS, LWIP network protocol, and the FreeRtos operating system to provide the necessary runtime environment and call interface for the OPC UA protocol and dynamic loading module. The system application layer is a functional module to complete the classification and compensation of multimotion parameter thermal error models, mainly established from offline data. By acquiring online data and motion parameters, the operating state is determined. The corresponding thermal error compensation models are loaded.
CubeMX builds the main underlying hardware driver layer and the virtual peripheral driver layer runtime environment for the engineering project. The running backend of the control system includes network communication protocols, a multitasking operating system, task scheduling management, UI module display, a file system, etc. The addresses of functions to be called are imported into the dynamic parsing module, based on which the system application uses the redirection technique and the embedded dynamic loader executes the thermal error model.
2.3. Based on Data-Driven Model of Thermal Errors in the Feed Axis of CNC Machine Tools
2.3.1. Optimization Model of Temperature-Sensitive Point Selection Based on Clustering and Correlation Analysis
- 1.
- Temperature data extraction based on limit filtering and Kalman filtering
Making a good choice of temperature-sensitive points is the basic premise of thermal error modeling. Due to the complex workshop environment, the temperature data extracted by a single bus has abnormal and missing phenomena. Therefore, it is necessary to preprocess the temperature data extracted from each channel to ensure the validity and stability of the data. This paper uses a combination of limit and Kalman filtering for data preprocessing [18]. Furthermore, gray-scale correlation analysis and clustering algorithms extract temperature-sensitive points to reduce the time complexity and covariance between temperature-sensitive points and thermal error values caused by the increased number of temperature-sensitive points.
Define the temperature data acquired by the temperature sensor on sensor at moment as , and for the temperature data collected before the current moment define . When the detected temperature value is abnormal, it can be judged according to the following equation.
Where indicates that the current temperature value in the last second of the temperature value of the state mutation range, take .
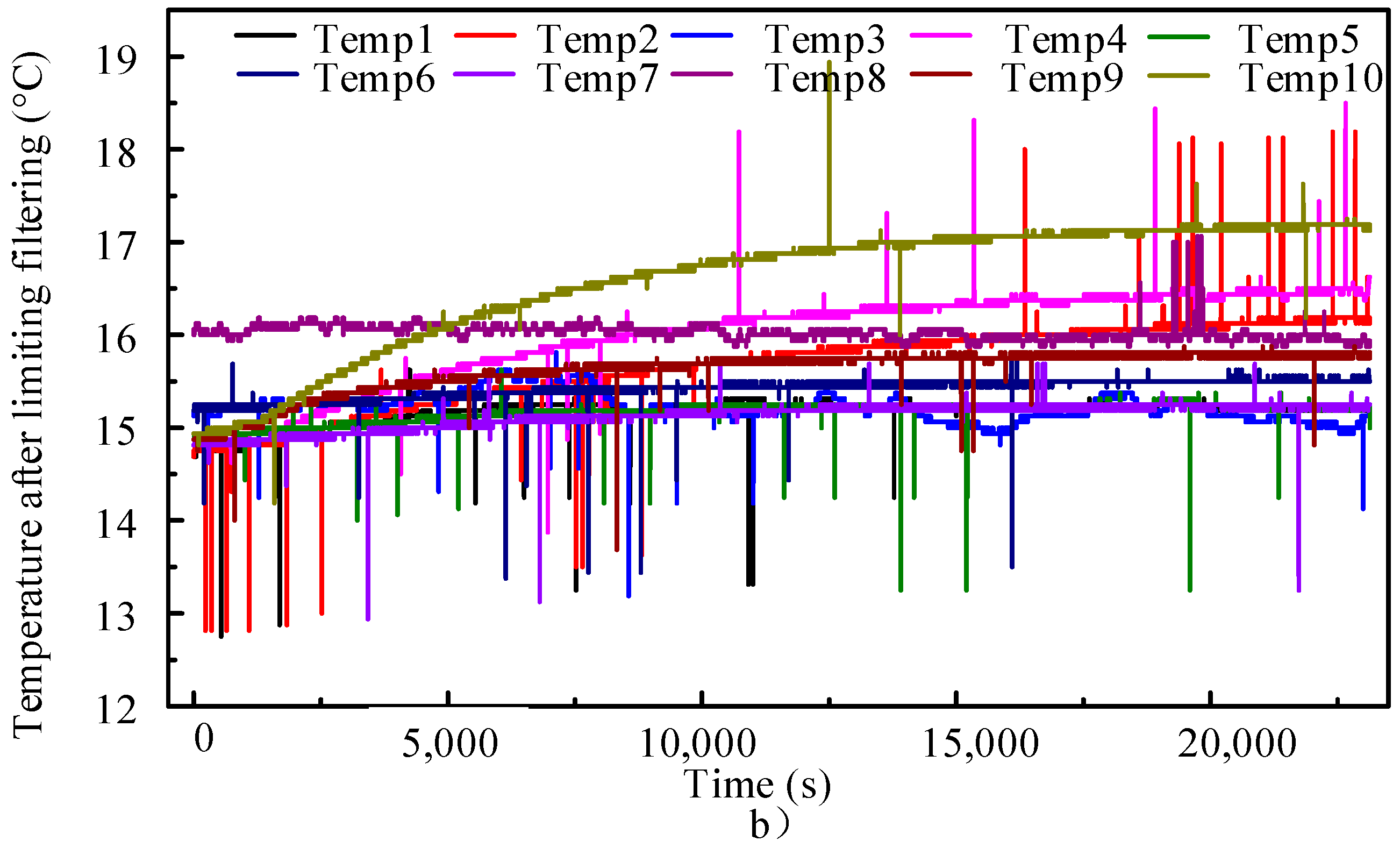
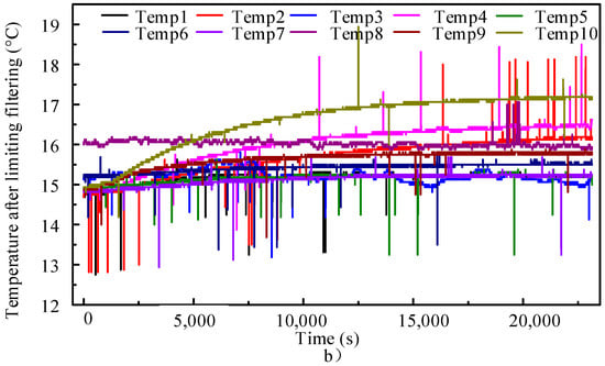
As shown in Figure 6’s initial temperature data, the upper and lower fluctuations of the temperature data after processing were significantly suppressed, and the trend of temperature change in each measured temperature point could be characterized. However, there are still small fluctuations in temperature, and the time series of change trends are inaccurate.

Figure 6.
Raw temperature data and limit filtering. (a) initial temperature data; (b) temperature data after limiting filtering.
In the reverse interception of the deviation of the above temperature values, the importance of the statistics is in line with the trend of normal distribution, the selected statistical interval of 0.001 °C, . The number of temperature values in each interval range is recorded, as shown in Figure 7; the deviation is approximately Gaussian white noise, so the Kalman filter can be used to preprocess the temperature data.
Figure 7.
Statistics on the quantitative relationship of errors in raw temperature data.
Assume that the temperature value of the near heat source to be measured is the object of observation. Kalman-filtered in a continuous-time system, the estimated value of the system has deviations, and this process noise is denoted as . The signal collected in the detection process contains noise and interference signals, which conform to Gaussian white noise, characterized by .
Equation (2) is a discrete-temperature linear dynamic system model, where denotes the system state input, denotes the state matrix observation, is the state transfer matrix, is the state observation matrix, is the control input matrix, is the process noise, and is the measurement noise; note that the control value in the above equation.
The Kalman filter has a complete system, and the filtering process can be divided into two parts: the state update is performed mainly to obtain the a priori estimate of the next moment, and the measurement update is performed to obtain the posterior estimate through the a priori estimate and the measured value.
In Equation (3), denotes the true value of the state; denotes the predicted value of the state, also called the a priori state estimate; and denotes the optimal estimate of the state. In the temperature detection process, the above equations , and are unit matrices. is the optimal state estimate covariance, which denotes the covariance between the actual value and the optimal estimate; is the predicted covariance matrix, the covariance between the true value and the predicted value; and is the Kalman gain matrix under the optimal estimation condition.
The estimation principle of the Kalman filter is to minimize the covariance of the optimal state estimate so that it is increasingly close to the true value. This discrete-temperature linear dynamic system selects the first temperature measurement as the predicted initial value. The following statistics of the temperature sensor measurement variance are R (R = 8.8706), then the variance of the temperature prediction variance is Q = 1 × 10−3. Its final temperature state processed by Kalman filtering is shown in Figure 8.
Figure 8.
Limit filtering and Kalman filtering of raw data.
- 2.
- Temperature-sensitive point extraction algorithm based on cluster analysis and gray correlation analysis
Based on the above-measured temperature data, ten values of each temperature measurement point were selected as the original temperature of the time series, and fuzzy clustering was performed. A better hierarchical clustering effect can be obtained using the single-linkage clustering method [19] with the category spacing equal to the minimum distance between two categories of objects through the MATLAB FCM toolbox.
Excluding the ambient temperature and machine support foot , the final temperature sample was n = 8. The number of clusters was four, which can characterize the trend of the temperature rise. The temperature data measured in 10 days were imported separately, and the temperature clustering term obtained at the last level is relatively stable, as shown in Figure 9 below.
Figure 9.
Single-linkage clustering genealogy comparison chart.
Comparing their spectrograms shows that the overall temperature class clustering classification is more stable when the remaining eight items are considered. Their correlation coefficients are shown in Table 2. The overall also has a good correlation coefficient, so this approach is chosen for cluster analysis. According to Figure 9, the multiday single-linkage clustering method to classify the temperature objects is roughly divided into the following four clusters: {1, 5, 7}, {2, 4, 9}, 8, 10.
Table 2.
Table of cophenetic correlation coefficients for the temperature at different times.
The thermal error sequence in the feed axis stroke 0~650 mm of VMC655H was selected as the reference correlation object to establish the correlation between the measured point temperature sequence and the thermal error sequence. Taking the corresponding 28-day temperature data as an example, the slope of the overall displacement deformation of the screw under its different moments shows a decreasing trend, as shown in Figure 10.
Figure 10.
Positioning errors at different positions of the X-axis.
Three linear regressions fit the temperature change matrix in Figure 8 to obtain the slope of its corresponding position at different moments. It can be observed from Figure 11 that the change in temperature slope and the change in displacement of the X-axis have the same directional consistency, both showing characteristics of the concave function. The trend of temperature change decreases, and the displacement change gradually stabilizes with increasing time.
Figure 11.
Temperature slope change versus displacement slope change graph.
Therefore, the slope of the slope of the primary fitting matrix of the positioning error on the X-axis can be considered for the initial screening of the gray correlation with the variation in a temperature rise of the ten temperature sensors to establish the degree matrix of the gray correlation. Using Dunn’s correlation degree, i.e.,
In Equation (4), y represents the slope of the geometric error displacement change, represents the i-th temperature measurement point, represents the slope of geometric error displacement change, represents the k-th observation of the changing trend of the i-th temperature measurement point. is the gray correlation between the slope of the geometric error displacement change and the changing trend of the i-th temperature measurement point, averaged from the correlation of each observation. is calculated as follows:
In Equation (5), η is the discriminant coefficient, [0, 1], and η = 0.5 is generally taken. The degree of gray correlation is calculated in the interval of [0, 1], and the higher the degree of gray correlation, the stronger the degree of association between the two variables. Table 3 shows that the correlation degree is {2, 7, 4, 6, 10, 5, 9, 1, 3, 8} in order. TEMP2 is the middle screw position, and TEMP7 is the left bearing end face of the X-axis, combined with the spectrum diagram of the fuzzy class clustering relationship above. TEMP2 and TEMP7 are not in the same cluster and are more sensitive to the change in displacement slope points. However, considering that the temperature sensor is not easily placed inside the middle position of the screw in the actual process, TEMP4 on the outer face of the outer end of the right bearing of the X-axis is taken as the temperature-sensitive point. The results have similarities with the temperature-sensitive points extracted in other ways, and the final temperature-critical points are TEMP4 and TEMP7.
Table 3.
Degree of gray correlation between the slope of the PE curve and the rate of temperature.
2.3.2. Data-Driven Modeling of Thermal Errors in Feed Axes of CNC Machine Tools
- 1.
- Thermal error modeling based on multiple linear regression theory
From the previous Figure 10, the shape of the error curve remains unchanged, while the slope of the error curve changes with increasing temperature. The current mainstream linear regression error modeling method separates the basic shape of the error curve to express geometric error and thermal deformation. It is roughly considered that the slope of the curve is caused by thermal deformation, so its pitch is considered. Referring to the Siemens, Huazhong CNC machine tool look-up table type of a thermal error compensation scheme [20], the separation of geometric and thermal errors for modeling is further considered [21].
Its multiple linear regression modeling process for thermal error is as follows:
This subsection intends to assume that the positioning error of the machine tool is all considered as a mapping function of thermal error and the temperature-sensitive points of temperature change , position and ambient temperature difference as independent variables.
In Equation (6), represents the integrated positioning error of the machine feed axis and the approximate thermal error of machine feed axis. indicates the thermal error, and multiple regression of temperature rise values is used to obtain the mapping relationship between temperature rise variation and the slope of thermal deformation of machine feed axis. indicates the relationship between the thermal deformation intercept of the feed axis of the machine tool established by the temperature increase variation. denotes the geometric error, one-element multiple linear fits are used to obtain the position-related deformation, and finds the evaluation deformation of each measurement point by the mean method. denotes the motion coordinates of the machine feed axis, denotes the machine origin coordinates, and denotes the different temperature sensors selected. The geometric error deformations obtained at different periods in Figure 10 are converted into horizontal curves with a one-time fitted slope of 0. The reference curves are shown in Figure 12.
Figure 12.
Comparison chart of thermal error time positions with different motion parameters.
The mean curve of the geometric error was regressed by using a cubic linear regression function for the curve regression, and the primary deformation trend of the curve could be regressed. It is verified that the standard deviation of the three fitted parts is 0.8561, which has a good predictive capacity. To establish the relationship between slope and temperature change to characterize the thermal error, the process is as follows: locating the primary error curve → extracting the slope → linear regression with temperature-sensitive points to establish the relationship model between slope and temperature rise. The required slope versus temperature statistics are presented in Table 4.
Table 4.
Slope and temperature statistics table.
Import Equations (8)–(10) to in Equation (6). The final thermal error model is shown in Equation (11) below.
Through the analysis of the collection of X-axis temperature and displacement sequences of the VMC655H vertical machining center, the positioning error is used as the model reference for thermal deformation. The ambient temperature and thermal error sensitive point at the pre-moderate period is selected as the modeling parameters to construct its geometric error surface, thermal error slope fitting surface, and thermal error intercept fitting surface to predict the temperature values collected in all-time states, and its multiple linear regression overall thermal error model output flow of the way to separate geometric error and thermal error is shown in the data fitting surface in Figure 13.
Figure 13.
Multiple linear regression flow and residual comparison chart. (a) geometric error fitting; (b) geometric error fitting surface; (c) thermal error slope fitting surface; (d) surface of thermal error intercept fitting; (e) thermal error model fitting surface; (f) fitting residual plot.
As seen in Figure 13 above, the thermal error model based on the slope fitting produced a significant displacement change, which was corrected by fitting the geometric error surface to the thermal error intercept fitting surface. The residual interval of the single-case linear regression thermal error model was −2.48 to 2.38 μm, and the mean variance of the slope of each predicted curve is 0.8080. The maximum value of error over time is 42.70 μm, and the accuracy after prediction was 4.83 μm, which has excellent fitting accuracy and can improve the thermal deformation to 88.69%. Suppose that there is a relatively wide range of fluctuations in the motion parameters. In that case, the prediction effect of the single-condition linear regression model does not apply to the prediction under unstable conditions of motion parameters.
- 2.
- PSO-LSSVM-based thermal error modeling
The common support vector machine (SVM) discriminant has a predictive advantage for small sample learning [22]. With the deepening of thermal error research, multiobjective optimization algorithms are often used to extract penalty factors and kernel parameters of SVM regression to establish optimal parameters of thermal error models, which can enhance the predictive capability of thermal error models of LSSVM.
Its LSSVM regression builds a thermal error model by the following procedure:
The level of the training set level is given as , where is the input vector, is the target value, and is the number of samples.
A linear regression function is established in the high-dimensional feature space as follows.
In Equation (12), is the weight vector; is the nonlinear mapping function; is the amount of deviation.
The regression operation by LSSVM establishes its optimization objective:
In Equation (13), is the error variable; is an adjustable parameter called the penalty factor, which is used to balance the training error and model complexity. The resulting function has good generalization ability.
The RBF kernel function was used to construct the thermal error model:
In Equation (14), and is the solution of the Lagrangian function introduced by Equation (11), is the kernel function parameter. However, the best model values of and are not known in the practical application.
This comparative validation introduces a particle swarm algorithm for iterative screening so that it combines the ability of PSO (particle swarm optimization) global search, which makes the thermal error model with better fitting ability, and its PSO-LSSVM thermal error model compensation process is shown in Figure 14.
Figure 14.
PSO-LSSVM modeling flow chart.
The initial temperature and localization error data are imported to construct the sequential test matrix, and iterative adaptive particles screen the parameters of the kernel function and penalty coefficients with strong self-adaptation. After importing Figure 10 and their corresponding temperature data, the gam and sig2 values are obtained using the PSO-LSSVM algorithm: gam = 19.98342, sig2 = 0.01000, which means that the regression model obtained at this time is more loosely classified and has good generalization ability. The thermal error model obtained by PSO-LSSVM for a single working condition has an iterative curve, as shown on the left side of Figure 15, and its adaptation can be quickly converged. The PSO-LSSVM algorithm is predicted using 224 input samples and tested, as shown on the right side of Figure 15. The range of residuals between the expected and predicted outputs of the predicted samples is small, and the range of residuals of the selected test samples fluctuates from [−1.090 μm to 1.380 μm]. The PSO-LSSVM thermal error model under separate motion parameters has excellent predictive capability. The general residual range of the PSO-LSSVM model accompanying the test data set under different motion parameters fluctuates from [−8.490 μm to 10.341 μm], while the fluctuation intervals of some residuals are significantly different. The maximum value of the end error of the feed axis is 64.2 μm, and the compensation accuracy is 18.83 μm. Theoretically, the accuracy of the X-axis positioning error can be improved by 70.67% by using the PSO-LSSVM algorithm to predict the machine thermal error. The above data show that the LSSVM model alone has a good stability prediction capability, even for multiple motion parameters. However, its robustness is still limited. When there are differences in motion parameters, it is more difficult to predict the temperature rise at each point or the thermal error caused by the temperature rise using a single thermal error model.
Figure 15.
PSO-LSSVM adaptation iteration curves with LSSVM residual plots.
2.4. Classification Model of Thermal Error of Feed Axis Based on Probability Distribution
The comparison between the prediction results of multiple linear regression theory and the PSO-LSSVM algorithm under variable motion parameters illustrates that it is difficult to characterize the thermal characteristics of the machine tool feed axis by predicting the thermal deformation of the machine tool feed axis with a single model in a multimotion parameter environment. Therefore, according to the current motion parameters of the machine tool, the thermal error model is classified and discussed in the embedded system, and an independent thermal error model is established for the implementation of compensation under different motion parameters. The core idea of this method is to complete the thermal error compensation model under the corresponding motion parameters by approximate matching of the work conditions.
Suppose that the working stroke is A, the machining position is , feed speed , are corresponding to the pair of Table 5 different parameters, all belonging to the feature vector . It is necessary to obtain the probability that its different values fall under the corresponding parameters needs to be obtained. Its factors are normalized, and its processing formula is as follows.
Table 5.
Limited motion parameters for the feed axis.
In Equation (16),. denotes the degree of approximation of the motion parameter φ to x, y, z under the specific working condition ω in the states of A, B, C. The degree of approximation of its motion parameter φ to each group of known specific working conditions ω is obtained by normalizing Equation (16) and filtering the maximum value of its probability. The thermal characteristics of the feed axis of the machine tool under different motion parameters vary greatly. When considering the separation of the characteristics and processing parameters of the machine tool itself, the variable motion states of the machine tool at different positions and different speeds of motion will be used as the probability statistical classification basis along with the feed speed. The qualifying motion parameters are as follows.
Equation (15) serves to describe the machine tool machining process and the proximity of the given modeling parameters, measuring A and the proximity of the known working stroke; measuring B and the known machining position left, center, and right proximity; measuring C and the proximity of the modeling feed rate. Using Equation (16) to normalize the degree of proximity, if A is 50, 100, and 300 stroke size, respectively, the current stroke probability is 1. The same applies to B, C, and y, z. In this way, the approximation of the parameterized motion parameters can be matched with the known motion parameters. However, in practice, it must contain 27 sets of data and models. Tests and analysis of thermal errors in the machine feed axis in variable motion showed insignificant differences in temperature increase due to thermal errors in different positions.
According to the naive Bayes theory, the approximate thermal error motion parameters under specific processing parameters are required, assuming that each variable motion processing parameter is relatively independent.
Suppose the set of spatial markers . is joint probability density, and its prior probability and conditional probability is shown below.
A priori probabilities:
Conditional probability:
The naive Bayes classifier converts the series into a matrix summation by taking the maximum value.
In Equation (19), is the final filtered class of known motion parameters based on the imported parameters. is the initial parameter probability matrix. is the conditional probability matrix. is the prior probabilities. The above equation is coupled with the prior probabilities of A, B, and C falling into 1~9 to obtain the final classification results. However, this matrix product has a problem in that the corresponding thermal error model cannot be obtained directly when the parameters used are unqualified motion parameters. It is necessary to restrict the to the first nine terms and compare the parameter matching in the first nine terms. Because the first nine elements are artificially set motion parameters, it can be taken directly to establish offline modeling to obtain the model. However, for the parameters in the range of non-motion parameters, the thermal error caused by the processing position factor is considered to have little difference in its temperature rise, so it will be simplified.
Further testing using the A, B, and C values of the random test, introduced into the equation of the probability operation matrix, Equation (19), yields Table 6 for the classification of the random simulation motion parameters. This indicates that they can be assigned to the thermal error model with known parameters regardless of whether the current motion parameters are unknown or known.
Table 6.
Random simulation of classification of working conditions.
2.5. Embedded-Based Thermal Error Compensation Dynamic Loading Technology
2.5.1. Basic Workflow of Dynamic Loading
Implementing the loading process for dynamically loaded modules requires loading ELF files that are not restricted by physical addresses through the file system of the embedded operating system. The same way that the Coffee file system implemented in the paper [23] is used to access FLASH ELF files, the more general FatFs file system is used in this paper. The system function symbol table is put together in embedded systems using structures. The mapping between the retrieved symbol table and the physical address is achieved by dynamic linking. The symbol structure of the system function is implanted by declaring pointers to the system functions that must be made available by the external ELF external executable. The location of the reference in the ELF target file is relocated by passing the name of the target structure string in ELFSymbolt with the physical address of the function’s function symbol structure body. The function pointer to the underlying embedded system function is obtained by importing the process to be defined into the structure variable. Following the linkable ELF file format standard, the dynamic loader can be divided into four steps.
- Parsing the ELF file header: determining the legality of the ELF file, parsing the segment table string and the file offset address of the segment table in ELF, and loading it in memory.
- Loading the executable: iterating through the segment table and segment table strings to find the specific location, size, read, and write permissions of each segment in the ELF file and allocating task memory space in the operating system.
- Symbolic redirection: reading the relocated segments of the ELF file and finding the absolute addresses of the characters used in the symbol table segments to match the function pointer addresses described earlier.
- Executing the program: calculating the absolute address, wrapping it, and running the program when the corresponding task is started.
2.5.2. Embedded System Dynamic Loading Program Design
In order to enable the program to automatically redirect the already assigned thermal error motion parameter model at runtime, the whole process requires the embedded system to have the ability to read and write FLASH fragments with ELF file loading execution and other tasks. The file system provides an essential initialized access environment for the OPC UA client access and the thermal error compensation model classifier.
- 1.
- FATFS file system construction
FatFs is currently the primary open-source embedded file system, which can be independent of various platforms and accessible to the port using the C89 coding format, providing the possibility of data exchange storage for the dynamic loading implementation of the thermal error model. FatFs encapsulates the state of the data file for processing, and developers can call the API to operate the file conveniently. As a control system developer, it is necessary first to enable FatFs to read and write to storage media such as FLASH by matching the operation functions of the underlying storage media, then by mounting the corresponding driver disk inside the file system. The FLASH used in this system is W25Q256, and the W25QXX series uses the 42 MHz high-speed SPI mode for communication. The migration process is shown in Figure 16.
Figure 16.
FatFs migration process.
- 2.
- ELF load module construction
The workflow of the ELF loading module of the system is shown in Figure 17 below. The system is based on FreeRtos real-time runtime architecture, which provides the task creation interface, the runtime interface, and the release interface for multitasking operating systems by loading the current task after assigning the task ID, internal stack, default background run preemption priority, and other policies. Based on the ELF loading process and the configuration environment, embedded internal resources are limited. Since the ELF loader overconsumes embedded internal resources, the read/write occupation of ELF files in memory must be cleared.
Figure 17.
ELF load module migration workflow diagram.
Currently, the compensator can only implement task allocation for a single task after loading the underlying dependency environment at the beginning of the task period and releasing the occupied memory when closing the current task. The thermal error classification model continuously identifies the thermal error model to be loaded by the current compensator, forming an approximate match of the thermal error model under unknown processing motion parameters. The ELF Loader parser calls the system’s underlying function mapping table, dynamically redirects the executable, and performs subsequent task stack allocations for the loaded thermal error model or other executable programs. Therefore, FreeRtos needs to use pvPortRealloc and pvPortCalloc provided by Heap4.c to reallocate, expand the allocated memory, and reduce its Heap fragmentation. After loading the thermal error model, the thermal error compensator automatically performs the newly assigned compensation model task, followed by the initialization of the compensation model, the implementation of the compensation, and stack release.
3. Test Experiments and Results
3.1. Test Experiment of Thermal Error of Machine Feed Axis under Variable Motion
3.1.1. Thermal Error Testing Program for the Vertical Machining Center
The temperature detection device for this experiment is a numerical temperature sensor with a measurement accuracy of ±0.2 °C and a maximum resolution of 0.0625. Displacement data are collected using a Renishaw XL-80 laser interferometer, which uses the principle of laser interference to detect phase changes between interfering beams to measure distance with a resolution of 0.1 μm.
The experiment follows the national standard GB/T-17421.2 to detect the machine tool from cold to thermal equilibrium. The thermal deformation state of the machine tool in the default state and the thermal deformation state after the implementation of compensation are detected, and the positioning error of the machine tool from the cold state operation to the thermal equilibrium state is obtained as the input thermal deformation data. A vertical machining center with a detection stroke of 0~650 mm is used as the research object, and the vertical machining center is connected to the compensator via RJ45. A laser interferometer collects the position error of the machine tool. Its experimental site setup is shown in Figure 18.
Figure 18.
Machine positioning error acquisition solution.
During displacement detection, the reference point was set at zero, the measurement spacing was set to 50 mm, and 14 measurement points were assigned. During each measurement, the machine table was stationary for 4 s (the sampling time of the interferometer was set to 2 s). The reverse return distance was set to 2 mm to avoid measurement errors caused by gaps. Acquisition of the initial machine positioning error requires five detections. The configuration of the interferometer combination method needs to ensure that there is no motion interference and that the receiving aperture can capture two laser rays. The X-axis measuring mirror assembly of the laser interferometer is shown in Figure 19.
Figure 19.
Combined laser interferometer X-axis measurement methods.
Temperature sensors are located as close to the heat source as possible to obtain the temperature data required for modeling. Moreover, considering that the vertical machining center feed screw axis temperature variation cannot be collected directly in real-time, the temperature values near the heat source and the ambient temperature values are mainly collected as the basis for temperature modeling. Since screw bearings, screw nut subs, and servo feed motors are the primary heat sources of the machine tool, all are placed with magnetic suction-type temperature sensors in their housings. Temperature sensors are also placed around the machine’s support feet and at the ends of the feed axis as reference data. The sensors use a wire harness for signal transmission and are secured with a reel or tape to avoid interference with the machine’s motion.
The general layout of the test system temperature sensors is shown in Figure 20.
Figure 20.
Overall layout of the temperature sensor.
The specific compensation verification test procedure is as follows:
- The CNC machine tool is in a cold state after the test starting point to open the thermal error compensation function, and the laser interferometer displays zero.
- In the case of setting the feed rate of 800 mm/min, the mechanical coordinates in the range of 0–650 mm are repeatedly measured five times to obtain the fundamental positioning error of the machine tool and record the overall temperature value of the CNC machine tool.
- Thermal error testing of the machine according to the parameters of different positions and strokes. Before reaching thermal equilibrium, record machine tool positioning error and temperature values are recorded every 30 min.
- The above three steps are performed cyclically to collect the nine data sets required for its modeling. Each test needs to be performed after ensuring that the CNC machine is completely cooled down.
- The thermal error compensation function is turned on and cycled 1–3 times to collect its positioning error curve and verify its compensation effect.
It is important to note that after zeroing the laser interferometer before the first positioning error test, it will not be zeroed again throughout the subsequent compensation verification tests. Information on the parameters involved in the trial is shown in Table 7.
Table 7.
Information sheet on thermal error test parameters.
3.1.2. Validation of Thermal Error Compensation for Vertical Machining Centers
Since embedded internal memory resources are limited, and the LSSVM model takes up a large amount of memory space when using a large amount of data, the multiple linear regression method is chosen to verify the compensation effect of this compensator. Thermal error models on the feed axis are established separately for each motion parameter according to multiple linear regression modeling approaches.
Referring to Equation (11) parameters, the thermal error models under different motion parameters are established as follows.
Tests were performed using the first set of data in Table 6 to simulate the actual motion parameters. The collected temperature was imported into the thermal error model within 1 s by matching the corresponding thermal error classifier to verify its compensation effect under the experimental motion parameters. The compensated geometric error curves and thermal error prediction curves obtained from the above tests are shown in Figure 21.
Figure 21.
Plot of predicted geometric and thermal errors after compensation.
In Figure 21, the thermal error in the temperature increase state of the CNC machine has a clear trend of change. The compensation displacement calculated by the compensation has a clear tendency to increase in the initial stage. The predicted compensation amount is gradually stabilized as the difference between the temperature-sensitive point to be measured, and the ambient temperature becomes smaller. The basic deformation interval under the motion parameters of 1~9 is [−0.10~64.20 μm], while its detected displacement data interval after classification compensation is [−12.60~17.50 μm], and the comparison effect is shown in Figure 22.
Figure 22.
Comparison of the compensation before and after the feed axis.
3.2. Experimental Results of Thermal Error Compensation and Discussion
The approximate matching of motion parameters makes its online real-time compensation in the case of unknown motion parameters have a specific suppression effect on the thermal deformation caused by the screw. When comparing before and after compensation, the X-axis positioning accuracy of the CNC machine feed system can be improved by 53.11%.
Many factors influence thermal error, and the data sampling and modeling process are characterized by multilevel irregularity, multitemporal dynamics, and coexistence of real and fake data, so the thermal error model is a nonlinear multivariate system, and the establishment of its accurate model usually requires a large amount of operational data support. Given this, there is much room for improving the results of this experiment. Commonly used multivariate linear regression models and artificial neural networks have certain defects. For example, the multiple linear regression model is susceptible to external interference, which not only contains more interference noise in the acquired temperature data and reduces the model accuracy, but also leads to overfitting problems due to the coupling relationship between the location-related thermal errors. The artificial neural network model needs better generalization ability, time-consuming training, difficult parameter adjustment, and local optimal solutions. Based on the above problems, the model-free adaptive control algorithm based on machine learning and probabilistic inference will be the focus of research in the subsequent thermal error compensation studies.
4. Conclusions
In this paper, we propose and design a set of thermal error compensation equipment based on an embedded platform to improve the thermal deformation trend of machine tools under variable motion parameters of the feed axes. First, the requirements of the thermal error compensation control system are analyzed, and the software and hardware framework software and hardware framework design of the embedded compensation system hardware and software framework is completed. Second, the Kalman filter and limit filter are used to optimize the temperature data, and the temperature-sensitive points are extracted effectively by fuzzy class clustering and gray correlation. The thermal error model based on multiple linear regression theory and the thermal error model based on PSO-LSSVM is established according to the data obtained. The thermal error classification compensation model based on probability distribution of variable motion parameters in an embedded environment is established by matching different motion parameters with known models for identification with reference to the plain Bayesian classification model, and then the thermal error model is implemented by implanting dynamic loading technique in the embedded device. Finally, the thermal error compensator of the machine tool feed axis is tested, and its experimental verification of thermal error compensation under variable motion shows that the basic deformation interval of the machine tool under variable motion is significantly suppressed, and the X-axis positioning accuracy of the X-axis of the feed system can be improved by 53.11%. The thermal error compensation system is divided into pre-compensation data acquisition modeling and post-modeling compensation implementation through an embedded platform and dynamic loading technology. This method provides a convenient modeling and implementation process, which not only has a certain degree of improvement in the ability to compensate for thermal deformation of the ball screw feed axis under a variable motion, but also has a certain engineering practical application and generalization ability.
Author Contributions
Conceptualization, K.L. and M.Y.; methodology, K.L., B.H. and M.Y.; software, J.X. and M.Y.; validation, K.L. and M.Y.; formal analysis, B.H. and J.Y.; investigation, B.H.; resources, B.H. and K.L.; data curation, B.H. and X.L.; writing—original draft preparation, M.Y. and J.X.; writing—review and editing, J.X.; visualization, J.X.; supervision, B.H.; project administration, B.H. and J.X.; funding acquisition, B.H. All authors have read and agreed to the published version of the manuscript.
Funding
This research was funded by the Foundation of Artificial Intelligence Key Laboratory of Sichuan Province, grant number 2020RYY01, the Science & Technology Department of Sichuan Province, grant number 2021YFG0050, and the Graduate Innovation Fund of Sichuan University of Science & Engineering, grant number Y2022047.
Institutional Review Board Statement
Not applicable.
Informed Consent Statement
Not applicable.
Data Availability Statement
The data presented in this study are available on request from the corresponding author.
Conflicts of Interest
The authors declare no conflict of interest.
References
- Li, Y.; Zhao, J.; Ji, S.; Liang, F. The selection of temperature-sensitivity points based on K-harmonic means clustering and thermal positioning error modeling of machine tools. Int. J. Adv. Manuf. Technol. 2018, 100, 2333–2348. [Google Scholar] [CrossRef]
- Bryan, J. International Status of Thermal Error Research. CIRP Annals 1990, 39, 645–656. [Google Scholar] [CrossRef]
- Liu, J.; Ma, C.; Wang, S. Data-driven thermally-induced error compensation method of high-speed and precision five-axis machine tools. Mech. Syst. Signal Process. 2020, 138, 106538. [Google Scholar] [CrossRef]
- Mou, J. A Method of Using Neural Networks and Inverse Kinematics for Machine Tools Error Estimation and Correction. J. Manuf. Sci. Eng. 1997, 119, 247–254. [Google Scholar] [CrossRef]
- Haitao, Z.; Jianguo, Y.; Jinhua, S. Simulation of thermal behavior of a CNC machine tool spindle. Int. J. Mach. Tools Manuf. 2007, 47, 1003–1010. [Google Scholar] [CrossRef]
- Yang, J.; Shi, H.; Feng, B.; Zhao, L.; Ma, C.; Mei, X. Applying Neural Network based on Fuzzy Cluster Pre-processing to Thermal Error Modeling for Coordinate Boring Machine. Procedia CIRP 2014, 17, 698–703. [Google Scholar] [CrossRef]
- Li, Y.; Yang, J.; Gelvis, T.; Li, Y. Optimization of measuring points for machine tool thermal error based on grey system theory. Int. J. Adv. Manuf. Technol. 2006, 35, 745–750. [Google Scholar] [CrossRef]
- Wang, H.; Wang, L.; Li, T.; Han, J. Thermal sensor selection for the thermal error modeling of machine tool based on the fuzzy clustering method. Int. J. Adv. Manuf. Technol. 2013, 69, 121–126. [Google Scholar] [CrossRef]
- Abdulshahed, A.; Longstaff, A.; Fletcher, S.; Myers, A. Thermal error modeling of machine tools based on ANFIS with fuzzy c-means clustering using a thermal imaging camera. Appl. Math. Model. 2015, 39, 1837–1852. [Google Scholar] [CrossRef]
- Miao, E.; Liu, Y.; Liu, H.; Gao, Z.; Li, W. Study on the effects of changes in temperature-sensitive points on thermal error compensation model for CNC machine tool. Int. J. Mach. Tools Manuf. 2015, 97, 50–59. [Google Scholar] [CrossRef]
- Abdulshahed, A.; Longstaff, A.P.; Fletcher, S.; Myers, A. Comparative Study of Ann and Anfis Prediction Models for Thermal Error Compensation on Cnc Machine Tools. Euspen 2013, 79–89. [Google Scholar]
- Ramesh, R.; Mannan, M.; Poo, A. Thermal error measurement and modeling in machine tools. Int. J. Mach. Tools Manuf. 2003, 43, 391–404. [Google Scholar] [CrossRef]
- Shi, H.; Jiang, C.; Yan, Z.; Tao, T.; Mei, X. Bayesian neural network–based thermal error modeling of feed drive system of CNC machine tool. Int. J. Adv. Manuf. Technol. 2020, 108, 3031–3044. [Google Scholar] [CrossRef]
- Shen, H.; Fu, J.; He, Y.; Yao, X. On-line Asynchronous Compensation Methods for static/quasi-static error implemented on CNC machine tools. Int. J. Mach. Tools Manuf. 2012, 60, 14–26. [Google Scholar] [CrossRef]
- Yang, J.; Ren, Y.; Du, Z. An Application of Real-time Error Compensation on an Nc Twin-spindle Lathe. J. Mater. Process. Technol. 2002, 129, 474–479. [Google Scholar] [CrossRef]
- Tseng, P.; Ho, J. A Study of High-precision Cnc Lathe Thermal Errors and Compensation. Int. J. Adv. Manuf. Technol. 2002, 19, 850–858. [Google Scholar] [CrossRef]
- Chen, J.S.; Yuan, J.X.; Ni, J.; Wu, S.M. Real-time Compensation for Time-variant Volumetric Errors on a Machining Center. J. Eng. Ind. 1993, 115, 472–479. [Google Scholar] [CrossRef]
- Taylor, F.J. Digital Filter Principles and Applications; Wiley-IEEE Press: Hoboken, NJ, USA, 2013. [Google Scholar]
- Ding, Z. Research on Semi-Supervised Clustering Algorithm Based on Minimum Class Spacing. Master’s Thesis, Lanzhou University, Lanzhou, China, 2017. [Google Scholar]
- Huazhong, N.C. Sensor-based thermal error compensation technology. World Manuf. Technol. Equip. Mark. 2019, 164, 80–81, 83. [Google Scholar]
- Xiaopeng, Y.; Guofu, Y.; Guangming, L. Research on decoupling modeling and compensation of integrated error in feed axis of CNC machine tools. J. Mech. Eng. 2016, 52, 184–192. [Google Scholar]
- Hong, T.-L.; Ding, X.-H.; Wang, H.-H. Complex experimental uncertainty analysis based on PSO-LSSVM. J. Shanghai Univ. Technol. 2021, 43, 29–34. [Google Scholar]
- Chen, Z.Q.; Sun, X. FreeRTOS dynamic software modules. Comput. Mod. 2016, 250, 24–28. [Google Scholar]
Disclaimer/Publisher’s Note: The statements, opinions and data contained in all publications are solely those of the individual author(s) and contributor(s) and not of MDPI and/or the editor(s). MDPI and/or the editor(s) disclaim responsibility for any injury to people or property resulting from any ideas, methods, instructions or products referred to in the content. |
© 2023 by the authors. Licensee MDPI, Basel, Switzerland. This article is an open access article distributed under the terms and conditions of the Creative Commons Attribution (CC BY) license (https://creativecommons.org/licenses/by/4.0/).






















