Abstract
Xanthone derivatives constitute an interesting and widely studied group of compounds, both in terms of the activity of naturally occurring plant ingredients and as a scaffold with high biological activity potential for medicinal chemists. This group of compounds has already been the subject of reviews. However, our purpose was to prepare a publication for medicinal chemists to have a clear overview of anticancer activity, particularly in central nervous system cancer glioblastoma, and to be able to compare their new achievements to the anticancer activity that has already been found in this group. An integral part of the work is a tabular summary of the literature results of antineoplastic activity (e.g., IC50 values) for xanthone derivatives in various types of in vitro viability assays.
1. Introduction
1.1. Xanthone Scaffold
Xanthone (9H-xanthen-9-one, xanthos gr. yellow) is a tricyclic scaffold, containing oxygen as the heteroatom, namely, dibenzo-γ-pyrone (Figure 1A). In nature, xanthone derivatives occur mostly in two families of higher plants, Guttiferae and Gentianaceae. There are numerous activities exerted by these plants’ ingredients that are mostly associated with variously substituted xanthone derivatives, both in terms of position and the kind of substituent [1].
Figure 1.
Chemical structure of xanthone, resonance forms of its neutral form (A) and structure of its O,O-dipolar ion (B) [2].
The xanthone core can be presented in several resonance forms, which influence its reactivity (Figure 1A) [2]. The presence of the biaryl ether group and the carbonyl group implies the planar tricyclic system, associated with the O-O dipolar ion form (Figure 1B). As a consequence, xanthone exerts poor solubility, which can only be minimized with the use of proper substitution.
This group of compounds has attracted considerable attention due to their very interesting biological activities, such as anticancer [3,4,5,6], anticonvulsant [7,8], anti-inflammatory, antioxidant [9], α-glucosidase inhibitory activity [10], cholesterol acyltransferase inhibitory activity [11], antibacterial [12,13], and antifungal [14] activity. The biological activities of these compounds are associated with their tricyclic scaffold and vary, depending on the nature and/or position of the attached substituents. As a consequence, a whole variety of xanthone derivatives has been obtained and tested in terms of their biological activity.
1.2. Characteristics of Medicinal Chemistry Research Regarding Brain Cancers
Glioblastoma multiforme (GBM) is the most frequent, primary malignant, lethal brain tumor in humans, characterized by a survival rate of less than 5% in 5 years after diagnosis, as well as a median survival of 14.6 months. Notwithstanding the considerable advancement in the development of new treatments, this disease continues to progress through rapid cell growth [15]. Like most tumors, this disease is treated by surgical resection followed by radiotherapy and chemotherapy (Temozolomide). However, the distribution of the drug to the tumor is also a challenge, resulting in poor efficacy. Treatment for brain glioma is still insufficient, and there is an urgent need for new agents against glioblastoma with strong brain permeability [16].
Currently, despite significant progress in therapy for cancers, human brain tumors still require unmet medical needs, to such an extent that even dietary phytochemicals are considered a possibility for any therapy or even to serve as lead compounds in the process of drug discovery [12]. A great number of epidemiological studies have proven the chemopreventive role of natural, dietary compounds against cancer. Many of these studies have reported the potential of using natural compounds in combination with chemotherapy and radiotherapy as a novel approach to the effective treatment of cancer [17]. Effective treatment for brain cancer would have a large impact on this cancer’s morbidity and mortality. Accordingly, new derivatives have been synthesized that are based on the structures of the active compounds that have been isolated from plants. The xanthone skeleton is nowadays seen as a privileged structure [18] and several xanthone derivatives have reached the stage of clinical trials, e.g., Gambogic acid [19] (chapter 2.2 Figure 3) and dimethylxanthoneacetic acid (DMXAA, 5,6-dimethylxanthone-4-acetic acid, Vadimezan) [20]. DMXAA is currently not associated with central nervous system tumors. However, it is worth mentioning in the context of research on xanthones in cancer therapy. It is a naturally occurring xanthone that has also been synthesized and described in the literature [18,21,22,23,24]. The compound belongs to vascular-disrupting agents. Its antitumor activity is probably based on the reduction of the blood flow within the tumor, causing vascular collapse and hemorrhagic necrosis—which consequently generates tumor hypoxia [20,25,26,27,28]. Vadimezan had been the subject of two big clinical trials (phase III) [20,25,29] regarding its efficacy in non-small cell lung cancer (NSCLC) in combination with Paclitaxel and Carboplatin or Docetaxel. Both trials were terminated prematurely due to a surprising lack of improvement in the overall survival levels when compared to the control group. The failure of the clinical trials could have been caused by the imperfection of the animal models, the selection of taxanes as the primary therapy, or the wrong choice of tumor type. Currently, the potential use of DMXAA in combination with immunotherapy has been proposed, due to the effectiveness of these drugs in different areas of tumor tissue [25].
Exploring unconventional molecular targets raises hopes for new anti-cancer therapies. There are numerous types of membrane receptors specific to various mitogens: (1) epidermal growth factor receptor (EGFR) responsive to EGF (epidermal growth factor) and TGF (transforming growth factor), and (2) platelet-derived growth factor receptors PDGFR-α and -β, (3) insulin-like growth factor receptor (IGFR). These cell structures may be involved in the stimulation of tumor cells via an alteration of signaling cascades that has already been described. Many alterations in the progress of gliomas [11] have been observed, such as an increase in the activation and/or overexpression of growth factors and receptors (EGF, TGF, and EGFR), as well as increased mutations of tumor suppressor genes (e.g., p. 53, phosphatase and tensin homolog deleted on chromosome 10, PI3K/AKT—intracellular signaling proteins). Development of therapeutic agents targeting these altered signaling cascades may provide alternative strategies, in addition to conventional treatment procedures. On the contrary, cell death is regulated by mitochondrial signaling involving anti-apoptotic proteins such as Bcl-2 (B-cell lymphoma 2) and Bcl-XL (Bcl-2-like protein) and pro-apoptotic proteins such as Bax (Bcl-2-associated X protein), Bid (BH3-interacting domain death agonist), and Bad (Bcl-2-associated death promoter, BCL-2 antagonist of cell death). The pro-apoptotic proteins activate caspase-3, -8, and -9 and induce the cleavage of caspase substrate proteins including poly-ADP ribosyl polymerase (PARP), which conducts the last step of the apoptotic cell signaling pathway [30].
Research on new antineoplastic agents relies on cell viability assays, which are useful tools in screening a large number of chemicals for their cytotoxicity to various cell lines. We can divide them into dye exclusion, colorimetric, fluorometric, luminometric, and flow cytometric assays. Among them, the most commonly used ones are colorimetric assays, where biochemical markers are measured spectrophotometrically to determine the metabolic activity of the cells [31].
The NR (neutral red, 3-amino-7-dimethylamino-2-methyl-phenazinehydrochlorid) [32], CV (crystal violet), and SRB (sulforhodamine B) assays rely on the uptake of the dye by the viable cells and its retention within lysosomes (NR) or proteins and DNA (CV). In the case of SRB, the dye binds to proteins in acidic conditions, while rising pH enables its dissolution [31].
Among commonly used tetrazolium salts, MTT (3-(4,5-Dimethyl-2-thiazolyl)-2,5-diphenyl-2 tetrazolium bromide) [33] was the first to be developed. The test relies on the reduction of yellow salt into purple insoluble formazan in the reaction catalyzed by the dehydrogenase in metabolically active viable cells. The remaining tetrazolium assays are variations of the MTT test, characterized primarily by the water/medium solubility of the resulting product, which simplifies the test methodology. These include the following: XTT (2,3-Bis-(2-methoxy-4-nitro-5-sulfophenyl)-2H-tetrazolium-5-carboxanilid) [34], MTS (tetrazolium inner salt, 3-(4,5-Dimethylthiazol-2-yl)-5-(3-carboxymethoxyphenyl)-2-(4-sulfophenyl)-2H-tetrazolium) [33], WST-1 (2-(4-Iodophenyl)-3-(4-nitrophenyl)-5-(2,4-disulfophenyl)-2H-tetrazolium, monosodium salt) [35], and WST-8 (2-(2-Methoxy-4-nitrophenyl)-3-(4-nitrophenyl)-5-(2,4-disulfophenyl)-2H-tetrazolium monosodium salt) [36]. One of the tetrazolium derivatives (Iodonitrotetrazolium or 2-(4-Iodophenyl)-3-(4-nitrophenyl)-5-phenyl-2H-tetrazolium) is also utilized in the LDH (lactate dehydrogenase) assay. In contrast to the above-mentioned assays, LDH is based on necrotic/apoptotic/damaged cells detection—the enzyme is released into culture media due to loss of cell membrane integrity and reduces the reagent to formazan dye [37].
In this paper, we review the role of several natural and synthesized xanthone derivatives in the treatment of glioblastoma and other cancers, using the results of cell viability assays performed with the use of various cell lines as a basis and—if available—in vivo or clinical studies. Only compounds cytotoxic to central nervous system cell lines are included. However, we decided to discuss their activity against other cancer cell lines in order to obtain a holistic picture of their pharmacological profile. In some cases, this approach also allows us to show the multi-stage process of their development as CNS antineoplastic compounds.
2. Antineoplastic Activity of Xanthone Derivatives
2.1. Mangostin Isomers and Derivatives
2.1.1. Apoptosis Phenomenon
Garcinia mangostana pericarp (Mangosteen) has proved active against breast cancer [38]. Garcinia mangostana extract contains in its composition: mainly α-Mangostin (80–90%), β-Mangostin, γ-Mangostin, methoxy-β-Mangostin, Garcinone E, 1,3,6,7- Tetrahydroxyxanthone, Mangostenone E, 11-Hydroxy-1-isomangostin, and four newly discovered xanthone analogues: Garcinoxanthones S–V [39,40,41,42]. The activity was observed in the MCF-7 breast cancer cell line, which is an in vitro model of overexpressed ER-α cells. The Mangosteen pericarp extract exhibits strong cytotoxic activity on MCF-7 cells with IC50 of 45 μg/mL (MTT test) and apoptosis induction was observed; although, Mangosteen pericarp extract did not suppress the ER-α either in the nucleus or cytoplasm. The conclusion is that its anticancer activity might be mediated by other genes involved in the ER-α signaling pathway in breast cancer cells. The Mangosteen cytotoxic and proapoptotic activity was lower compared to that of Tamoxifen [38].
The pericarp extract contains four prenylated xanthone derivatives: α-Mangostin, β-Mangostin, γ-Mangostin, and methoxy-β-Mangostin (Figure 2), which have been evaluated in various human cancer cells. The first three derivatives are cytotoxic in the human leukemia cell line HL60 (tested concentrations from 5 to 20 µM), α-Mangostin showed the most pronounced effect in concentrations of 10 µM and 20 µM. Methylation of R2 (4, Figure 2, β-Mangostin-OMe) significantly reduced the activity. The antiproliferative activity of α-Mangostin could result from the apoptotic process. α-Mangostin induces caspase-3-dependent apoptosis in HL60 cells, and may therefore mediate the mitochondrial pathway during apoptosis. One to two h after the application of the compound, the parameters of mitochondrial dysfunction, which include swelling, loss of membrane potential (DΨm), a decrease in intracellular ATP, ROS accumulation, and cytochrome c/AIF release were observed. On the other hand, α-Mangostin-treatment did not affect the expression of the Bcl-2 family proteins. Activation of MAP kinases was not observed. This can indicate that α-Mangostin preferentially targets mitochondria in the early phase, resulting in the indication of apoptosis in HL60 cells [43].
Figure 2.
Prenylated xanthone derivatives from Garcinia mangostana pericarp.
Even more pronounced growth suppression has been observed on human colon cancer DLD-1 cells for α-Mangostin (IC50 = 7.5 µM, cytotoxicity at 20 µM, trypan blue assay) [44]. α-Mangostin induces apoptosis through the down-regulation of signaling involving MAP kinases and the serine/threonine kinase Akt. It also exhibits synergistic effects with the anti-cancer drug 5-fluorouracil. The synergistic growth suppression in DLD-1 cells by the combined treatment with α-Mangostin and 5-fluorouracil both at 2.5 µM, resulted in more pronounced growth inhibition than with the treatment with 5 µM of α-mangostin or 5 µM 5-fluorouracil alone. These findings indicate unique mechanisms of α-Mangostin-induced apoptosis and its action as an effective chemosensitizer. Mangostin alone exhibited a cytotoxic effect at 20 µM mainly due to caspase-independent apoptosis [44].
α-Mangostin properties were also tested in vitro against three human cell lines: squamous carcinoma SCC-15 (human tongue, Squamous Cell Carcinoma) and glioblastoma multiforme U-118 MG (human glioblastoma astrocytoma cells) and was compared to normal skin fibroblasts BJ [45]. The compound showed cytotoxic activity: decreased cell viability and proliferation, induction of apoptosis, and reduction in adhesion at concentrations lower than 10 μM (the IC50 values were 6.43, 9.59, and 8.97 μM for SCC-15, U-118 MG, and BJ, respectively) [45].
Moreover, our research showed that α-Mangostin strongly upregulated the expression of pro-apoptotic Bax in comparison to antiapoptotic Bcl-2 [4].
α-Mangostin significantly suppresses cell proliferation, induces cell cycle arrest, and triggers apoptosis in hepatocellular carcinoma HCC cell lines such as HepG2, SK-Hep-1, Huh7, and SMMC-7721. It was also found that the compound inhibits tumor growth in nude mice bearing HepG2 or SK-Hep-1 xenografts. The mechanism of a potent α-Mangostin anti-HCC effect is in the blocking of the STAT3 signaling pathway by means of suppression of the degradation of SHP1 induced by the ubiquitin–proteasome pathway [46].
γ-Mangostin was reported to strongly inhibit glioblastoma multiforme cell proliferation. It is suspected to mediate cytotoxicity via apoptosis in U87 MG and GBM 8401 cell lines [47]. γ-Mangostin exhibits IC50 values 74.14 and 64.67 μM in U87 MG and GBM 8401 cell lines, respectively. These values are significantly lower than for the clinical chemotherapeutic agent Carmustine (BCNU), with IC50 values 632.1 and 346.6 μM in U87 MG and GBM 8401 cell lines, respectively. Considering the mechanism of action in U87 MG and GBM 8401, cells treated with γ-Mangostin were observed: condensed cells and hypodiploid cells that carry on several intracellular reactive oxygen species (ROS) production and mitochondrial dysfunction [47].
There are also results from in vivo studies available. Panaxanthone (α-Mangostin, 80–90%; γ-Mangostin, 10–20%) was administrated orally to mice every day by gavage with doses of 20 and 40 mg/kg for 30 days. The NK (natural killer) cell activity was determined by measuring LDH after the incubation of YAC-1 cells (target cells) and splenocytes (effector cells) at a ratio of 1:50. The activities of both groups were significantly elevated (control group 0 mg/kg). A significant increase in the NK cell activity by Panaxanthone was also observed in the human pilot study on healthy people at a dose of 150 mg/day per person for 7 days [39].
2.1.2. Autophagy Phenomenon
Some research shows that α-Mangostin induces autophagic cell death but not apoptosis. This activity was proved with the use of autophagy inhibitors 3-methyladenine and bafilomycin or beclin-1 [48], which resulted in the suppression of α-Mangostin-mediated cell death. A critical mediator of α-Mangostin’s inhibition of cell growth is the liver kinase B1 (LKB1)—AMP-activated protein kinase (AMPK). Activation of AMPK induces α-Mangostin-mediated phosphorylation of raptor (RPTOR, the regulatory associated protein of mTORC1), which subsequently associates with 14–3-3γ and results in the loss of mTORC1 activity. The phosphorylation of both downstream targets of mTORC1, p70 ribosomal protein S6 kinase (p70S6 kinase), and 4E-BP1, is also diminished by the activation of AMPK [48]. Further evidence of the autophagy theory is in the inhibition of AMPK expression with shRNAs or the inhibitor of AMPK reduced α-Mangostin-induced autophagy.
GBM8401 and DBTRG-05MG are human glioblastoma multiforme (brain tumor) cell lines. The research showed that these cell lines are highly sensitive to α-Mangostin both in vitro and in vivo (transplanted glioblastoma in nude mice) tests. The mechanism of action of α-Mangostin is associated with autophagic cell death, which has been proven by analysis as having influence on several autophagy-related pathways, e.g., liver kinase B1 (LKB1)/AMP-activated protein kinase (AMPK). This finding demonstrates that AMPK activation by α-Mangostin could also inhibit mTORC1 activity by increasing raptor phosphorylation [48].
2.2. Gambogic Acid
Gambogic acid (5. Figure 3) is the major active ingredient of Gamboge (resin) from the Garcinia hanburryi tree and is used in traditional Chinese medicine [30]. It has been tested for cytotoxic activity with the use of various cell lines, including those within CNS.
Figure 3.
Gambogic acid (5) chemical structure.
Gambogic acid induces ROS generation, which contributes to the anticancer activity of this compound on glioblastoma multiforme T98G cell lines (anti-proliferative activity at 300 nM, MTT assay). The generation of ROS in cancerous cells results in the induction of apoptosis by activating caspase-8, -9, and -3, and down-regulating the expression of Bcl-2 as well as increasing the release of the cytochrome c apoptosis-inducing factor (AIF). Co-treatment with antioxidants neutralizes the cytotoxic effect of Gambogic acid, which confirms the involvement of ROS in its mechanism of action [30]. There are more written reports regarding the interference of Gambogic acid in the antioxidant system of the cell. In our study, it decreased significantly the activity of the pivotal antioxidant enzyme—superoxide dismutase (SOD). The observed effect was opposite to the results obtained for α-Mangostin [4,5]. ROS can affect cells in two ways, depending on the concentration. While slightly increased, they promote cell proliferation and differentiation. However, a large increase in the ROS concentration leads to oxidative damage and cell apoptosis. Both phenomena may be supported/prevented by the mechanisms developed by cancer cells [5]. For example, the level of the mitochondrial form of SOD (MnSOD) may be decreased, leading to accumulation of the superoxide anion, which stimulates cell growth. As the tumor cells develop, MnSOD expression increases, the catalase and the glutathione peroxidase expression decrease, and the overall ROS levels constantly increase. Therefore, both the anti- and pro-oxidant activities do not preclude the anti-cancer effect of the compound.
Gambogic acid (GA) also causes the apoptosis of rat C6 glioma cells in a concentration-dependent manner by the mitochondrial pathway of apoptosis [49]. The research was performed with the use of rat brain microvascular endothelial cells (rBMEC) and apoptosis was induced via mitochondrial Bax, Bcl-2, caspase-3, caspase-9, and cytochrome c release [49]. Bcl-2 and Bax are two kinds of apoptosis-related proteins and caspase-3 is the regulator downstream of Bcl-2 and Bax [30,50,51]. As a result, the expression of Bcl-2 was decreased, while Bax and caspase-3 increased, thus causing the reduction in the ratio of Bcl-2 to Bax [49,52]. It had an antineoplastic effect on rat C6 glioma cells. Secondly, Gambogic acid passes the blood–brain barrier, which could make this compound very useful in glioblastoma therapy. The in vivo study also revealed that an intravenous injection of GA once a day for two weeks could significantly reduce tumor volumes by the process of anti-angiogenesis and apoptosis of glioma cells.
In addition to the previously noted possible mechanisms of action, there are several less common molecular targets associated with gambogic acid. Transferrin receptor 1 (TfR), is a transmembrane protein whose expression is increased in rapidly dividing cells—in cancers such as glioma, as well as colon and pancreatic cancers. It has been proven that Gambogic acid binds to TfR, inducing the signal leading to rapid apoptosis [53].
The effect of gambogic acid on another interesting target—phosphoinositide kinase-3 (PI3K)/protein kinase B (AKT)/mammalian target of rapamycin (mTOR) signaling pathway—was examined in human U251 glioma cells (compound cytotoxic in MTT assay at 5 nM). Gambogic acid decreased the phosphorylation of P38, AKT, and mTOR. Additionally, it reduced the phosphorylation of ribosomal protein precursors (Pre), the insulin-like growth factor I (IGF-1), and the upstream binding factor (UBF). These results suggest that the compound downregulates and inactivates the pro-survival PI3K/AKT/mTOR pathway. This is important from the point of view of ribosomal occurrence in gambogic-acid-affected glioma cells. Moreover, the results indicate that the PI3K/AKT/mTOR pathway may serve as a potential molecular target in glioma therapy [54,55].
Gambogic acid has been subjected to clinical trials (Phase II) regarding therapy of solid tumors (intravenous injections) [56]. The most important challenges include its poor solubility and related pharmacokinetic problems (research on an appropriate drug delivery system is ongoing), as well as difficulties in optimizing the method of chemical synthesis, as currently Gambogic acid is extracted from natural sources with a low yield [55].
2.3. Gartanin
Gartanin (6, Figure 4) is an isoprenylated xanthone that can be found in the Mangosteen fruit. This compound has been tested, among others, on the T98G glioma cell line and showed cytotoxic activity in the MTT test at 10 µM. The compound inhibits proliferation, colony formation, and migration of glioma cells. This is probably due to cell cycle arrest at phase G1 and induction of autophagy. The decreased migration of malignant cells is probably caused by suppression of the MAPK signaling pathway. These results indicate that Gartanin is very promising regarding therapy of glioblastoma—both administered alone or as an additional drug in combination therapy with another, already established chemotherapeutic agent [57]. Gartanin also reduces the viability and proliferation of prostate cancer 22Rv1 and LNCaP cells (in MTT test IC50 equal to 14.9 µM and 15.3 µM, respectively) and induces apoptosis of these cells. The unique mechanism of action of this compound probably involves degradation of the androgen receptor—a target of prostate cancer [58].
Figure 4.
Chemical structure of Gartanin (6).
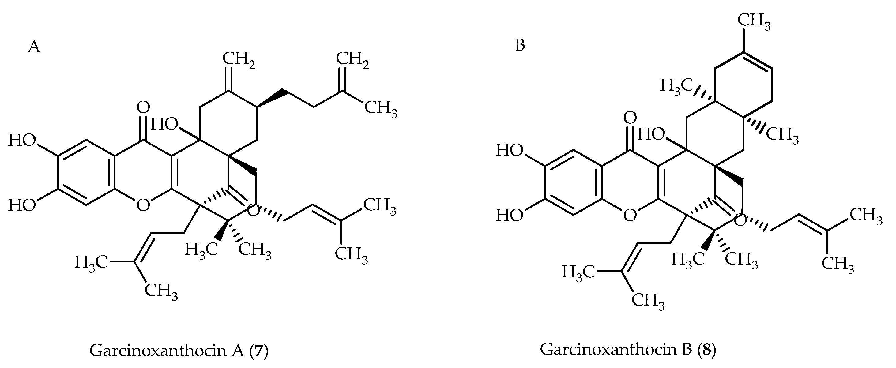
2.4. Garcinoxanthocin A and B
Garcinoxanthocin A (7, Figure 5A) and Garcinoxanthocin B (8, Figure 5B) are two examples of prenylated xanthone derivatives isolated from the fruits of Garcinia xanthochymus. They show an inhibitory effect against U251MG glioblastoma cells (IC50 values 3.5 and 1.8 µM, respectively). The postulated mechanism of action involves the STAT3 transcription factor (signal transducer and activator of transcription 3), the abnormal activity of which characterizes the U251MG cells. However, it should be noted that mechanism studies were performed for other derivatives in the series, containing structural modifications of the xanthone moiety [59].
Figure 5.
Chemical structures of Garcinoxanthocin derivatives.
2.5. Xanthone Glucosides
2.5.1. Mangiferin and Its Derivatives
Mangiferin (9, Figure 6A) can be found in Mangifera indica mango leaves. It indicates anticancer activity on a few human brain cancer cell lines (MTT assay): U-138 MG (glioblastoma) [60], U-87 MG (glioblastoma astrocytoma) [61], and U-118 MG (glioblastoma multiforme)—by increasing apoptosis [62]—and among other cancer cells, A549 human lung carcinoma cells (apoptosis induction) [62,63], K562 leukemia cells (telomerase inhibition and apoptosis induction), and MDA-MB231 breast cancer cells [64].
Figure 6.
Chemical structures of Xanthone glucosides.
It was also discovered that Mangiferin can make glioblastoma cells more sensitive to radiation. The in vitro results (MTT assay) showed that mangiferin administration (59.2 ηmol/mL) followed by radiation causes DNA damage and decreases proliferation of glioblastoma cells U-87 MG and U-118 MG. The mock-treated cells served as a control in this experiment and the effect was more pronounced for cells treated with Mangiferin. Using a combination of mangiferin and radiation, the topic was further investigated on tumor-bearing mice. The obtained results were promising: reduction of the tumor mass: from 2.0 ± 0.1 to 0.6 ± 0.1 g, and the tumor volume: from 1 ± 0.05 to 0.37 ± 0.05 cm3, as well as extended life span: in the group treated with Mangiferin and radiation more than 80% of mice were alive after 100 days, whereas in the control group, bearing the tumor without any treatment, all mice were dead after 80 days [60].
Mangiferin was subject to acetylation, as this structural modification is known to increase the solubility and stability of some natural compounds (e.g., flavonoids) in lipophilic systems. Mangiferin (9, Figure 6A) and Mangiferin peracetate’s (10, Figure 6B) growth inhibitory activity was tested on six human cell lines, including three glioblastoma astrocytoma lines: U87MG, U251, U373, and A375-C5 (malignant melanoma IL-1 insensitive); MCF-7 (breast adenocarcinoma); and NCI-H460 (non-small cell lung cancer). Mangiferin was active only on A375-C5, MCF-7, and NCI-H460 with GI50 values higher than 150 µM. GI50 is defined as the concentration of the tested compound that causes 50% cell growth inhibition. In contrast, Mangiferin peracetate displayed cell growth inhibitory activity on all of the tested cell lines. The best activity of mangiferin peracetate (the lowest GI50) was observed for the A375-C5 cell line (GI50 = 58.06 µM). In the case of glioblastoma astrocytoma cell lines, the GI50 values were higher than 150 µM [65].
2.5.2. 3,6-Bis(2,3,4,6-Tetra-O-Acetyl-β-Glucopyranosyl)Xanthone
3,6-dihydroxyxanthone was tested on glioma, lung, and breast cell lines, but demonstrated only weak growth inhibitory activity [66]. New acetylated xanthonoside 3,6-Bis(2,3,4,6-tetra-O-acetyl-β-glucopyranosyl)xanthone (11, Figure 6C) and its deacetylated derivative 3,6-Bis(O-β-D-glucopyranosyl)xanthone (12, Figure 6D) were tested on glioblastoma cell lines: U251, U373, and U87MG cell lines, as well as A375-C5 (IL-1 insensitive malignant melanoma), MCF-7 (breast adenocarcinoma), and NCI-H460 (non-small-cell lung cancer) with GI50 values for the acetylated compound (12, Figure 7C): 0.55 (U251), 0.42 (U373) 0.42 (U87MG), 135 (A375-C5), 0.46 (MCF-7), and 0.19 µM (NCI-H460), respectively. A deacetylated derivative has not been tested on glioblastoma cell lines, while in the case of other cell types, the GI50 values were above 150 µM. Active compounds still have to pass the blood–brain barrier (bbb) without being hydrolyzed by enzymes known as esterases. To solve this problem, the acetylated, glycosidic derivatives of xanthone were encapsulated into liposomes. However, there is one well-known problem with liposomes concerning their becoming unstable after a short time. Therefore, compound 11 (Figure 6C), besides other glycosidic derivatives of xanthone, has been packaged into both liposomes and proliposomes. Depending on the cell line, the effects of encapsulation in the carrier varied. In the case of liposomes, cytotoxic activity was retained in two out of three tested cell lines (U251 and U373), but it was less marked than that observed with the free compound. In the case of proliposomes, an unexpected, strong cytotoxic effect was observed in all tested cell lines U87MG, U251, and U373 (particularly in the highest tested concentration 100 µM), both for the compound enclosed in the carrier and for the carrier itself. This may be due to the presence of excipients such as mannitol. Carriers represent a promising development route for xanthone derivatives, while the impact of their use on therapeutic activity requires further study [67].
Figure 7.
Chemical structures of Cudraxanthone derivatives.
2.6. Cudraxanthone and Its Derivatives
Cudraxanthone (13, Figure 7A), 8-Hydroxycudraxanthone (14, Figure 7B), and Morusignin I (15, Figure 7C) [68] are examples of naturally occurring xanthone derivatives. These compounds were tested in resazurin reduction assay on various cancer cell lines. Cudraxanthone I (13) was active with IC50 values ranging from 2.78 (against breast cancer MDA-MB231 BCRP cells) to 22.49 µM (against human glioblastoma U87MG cells), 8-hydroxycudraxanthone with the IC50 values ranging from 7.15 (against leukemia CCRF-CEM cells) to 53.85 µM (against human glioblastoma U87MG.ΔEGFR cells), while Morousignin I (15, Figure 7C) with the IC50 values ranging from 16.65 (against leukemia CCRF-CEM cells) to 70.38 µM (against hepatocarcinoma HepG2 cells).
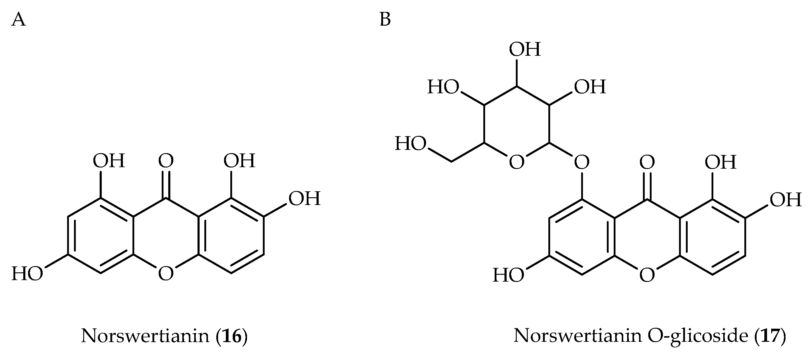
2.7. Norswertianin
Norswertianin (NOR, 16, Figure 8A) and other similar xanthones with a 1, 3, 7, 8-oxygenation pattern, as well as O-glicosilated forms of these compounds, were found in Gentiana dinarica Beck. G. dinarica plant. This endemic plant was genetically modified in order to obtain higher xanthones accumulation and faster root growth. Norswertianin and Norswertianin O-glicoside (NOR-O-P, 17, Figure 8B) were investigated for antiglioma activity. The results of the crystal violet assay indicated that NOR and NOR-1-O-P inhibit U25 glioblastoma cells growth in a dose-dependent manner (IC50 = 31.2 µM for NOR and 48.3 µM for NOR-1-O-P, respectively) [69].
Figure 8.
Chemical structure of Norswertanin (16) and Norswertianin O-glicoside.
2.8. Thioxanthone Derivatives
The most known compound Lucanthone (18, Figure 9A) and its active metabolite Hicanthone (19, Figure 9B) [70] are antiparasitic drugs, which have been extensively studied regarding other indications, including cancer—Lucanthone has reached phase II clinical trials for glioblastoma multiforme [71]. Both compounds are DNA intercalators. The mechanism of their action involves also inhibition of nucleic acid biosynthesis as well as inhibition of topoisomerases and apurinic endonuclease 1 [72]. However, their mutagenic properties led to their withdrawal from further use. The structural modifications of these compounds led to the discovery of other potent thioxanthones with neoplastic activity. It transpired that some derivatives among them were cardiotoxic and likewise withdrawn (1-chloro-4-propoxy-9H-thioxanthen-9-one (20), SR271425 (21), and SR233377 (22), Figure 9C–E). An interesting example is 1-[[2-(diethylamino)ethyl]amino]-4-propoxy-9H-thioxanthen-9-one (23, Figure 9F), which showed advantageous properties in tests performed with the use of various cell lines (e.g., the sulphorodamine-B assay performed on the K562 cell line—chronic myeloid leukemia, GI50 = 1.9 µM). This serves as a leading compound for the design of a new series of thioxanthone derivatives with neoplastic activity [2].
Figure 9.
Chemical structures of thioxanthones.
3. Xanthone Derivatives Targeting CNS Tumors—Medicinal Chemistry Perspective
A review of the literature indicates that among the derivatives of xanthones and thioxatones, there are substances with proven cytotoxic activity against cancer cells of the central nervous system. These compounds are summarized in Table 1 together with the results of selected studies of antitumor activity in order to compare their pharmacological profiles. Most of these compounds also have cytotoxic activity against other cancers. The cited studies are characterized by a diverse research methodology, including the types of cytotoxicity tests used and the range of cell lines tested. Therefore, the discussion of the influence of the structure on the selectivity of the anticancer activity of these compounds is difficult to perform. It can be concluded that multidirectional activity in relation to many cell lines, also outside the CNS, is commonly observed.
Table 1.
Xanthone derivatives cytotoxic toward tumor cell lines within CNS and their anticancer activities.
The chemical structures of the presented substances are very diverse. This makes it difficult to perform a consistent and complete structure–anticancer activity analysis. Nevertheless, it can be concluded that most of the xanthones and thioxanthones active against CNS tumor cells have hydroxyl substituents attached directly to the aromatic xanthone system. In some cases, hydroxyl groups may be modified by etherification, e.g., methylation (compounds 1, 2, 4, and 20) or acetylation (compounds 10 and 11). In addition, structural modifications may include the incorporation of other functional groups, including amino group (compounds 17, 18, 20, 21, and 22), amide moiety (compound 20), carboxylic group (compound 5, Gambogic acid), as well as other substituents, e.g., chlorine (compound 19) and isoprene groups (compounds 1, 2, 3, 4, 5, 6, 7, 8, 13, 14, and 15). Particularly noteworthy is the isoprene group, due to the abundance of this type of compound among the cytotoxic derivatives of xanthones.
Based on the available literature data, it is not possible to perform a proper SAR analysis. However, a comparison of the compounds described above allows us to draw the conclusion that the presence of hydroxyl groups and isoprene substituents predisposes the CNS cytotoxic activity of xanthone derivatives. In addition, the replacement of the oxygen atom with sulfur in the xanthone scaffold does not preclude its anticancer activity (activity of compounds 17–22).
4. Conclusions
Xanthone derivatives (both natural and rationally designed/synthetic) constitute an interesting group of compounds regarding medicinal chemistry, including the search for new neoplastic agents. In this review, the anticancer activity of xanthone derivatives was distinguished by a focus on glioblastoma—one of the most frequent lethal brain tumors in humans, characterized by a low survival rate and a median survival period. Xanthone and its modifications are undoubtedly a promising group in the design of compounds active in relation to this type of cancer—one of the thioxanthone derivatives (Lucanthone) has reached phase II clinical trials for this indication. Literature analysis illustrates that important issues for the further development of xanthone derivatives are the insight into the structure–activity relationship, the appropriate selection of screening tests for activity and safety, and the proper design of advanced pre-clinical and clinical studies. Table 1 summarizes the research conducted so far on the anticancer activity of xanthones, including the results of selected in vitro viability tests.
Author Contributions
Conceptualization, G.M. and A.M.W.; writing—original draft preparation, G.M.; writing—review and editing, A.M.W. and K.P.-S. All authors have read and agreed to the published version of the manuscript.
Funding
The publication was financed from Jagiellonian University Medical College statutory funds N42/DBS/000277.
Data Availability Statement
No new data were created or analyzed in this study. Data sharing is not applicable to this article.
Conflicts of Interest
The authors declare no conflict of interest.
References
- Mazimba, O.; Nana, F.; Kuete, V.; Singh, G.S. Xanthones and Anthranoids from the Medicinal Plants of Africa; Elsevier: Amsterdam, The Netherlands, 2013; ISBN 9780124059276. [Google Scholar]
- Pinto, M.M.M.; Palmeira, A.; Fernandes, C.; Resende, D.I.S.P.; Sousa, E.; Cidade, H.; Tiritan, M.E.; Correia-Da-silva, M.; Cravo, S. From Natural Products to New Synthetic Small Molecules: A Journey through the World of Xanthones. Molecules 2021, 26, 431. [Google Scholar] [CrossRef] [PubMed]
- Klein-júnior, L.C.; Campos, A.; Niero, R.; Corrêa, R.; Heyden, V. Xanthones and Cancer: From Natural Sources to Mechanisms of Action. Chem. Biodivers. 2020, 17, e1900499. [Google Scholar] [CrossRef] [PubMed]
- Szkaradek, N.; Sypniewski, D.; Waszkielewicz, A.M.; Gunia-Krzyżak, A.; Galilejczyk, A.; Gałka, S.; Marona, H.; Bednarek, I. Synthesis and in Vitro Evaluation of Anticancer Potential of New Aminoalkanol Derivatives of Xanthone. Anticancer. Agents Med. Chem. 2016, 16, 1587–1604. [Google Scholar] [CrossRef] [PubMed]
- Sypniewski, D.; Szkaradek, N.; Loch, T.; Waszkielewicz, A.M.; Gunia-Krzyżak, A.; Matczyńska, D.; Sołtysik, D.; Marona, H.; Bednarek, I. Contribution of Reactive Oxygen Species to the Anticancer Activity of Aminoalkanol Derivatives of Xanthone. Invest. New Drugs 2018, 36, 355–369. [Google Scholar] [CrossRef] [PubMed]
- Rech, J.; Sypniewski, D.; Żelaszczyk, D.; Szkaradek, N.; Rogóż, W.; Waszkielewicz, A.; Marona, H.; Bednarek, I. Novel Xanthone Derivatives Impair Growth and Invasiveness of Colon Cancer Cells in Vitro. Biomolecules 2021, 11, 1480. [Google Scholar] [CrossRef] [PubMed]
- Marona, H.; Pekala, E.; Antkiewicz-Michaluk, L.; Walczak, M.; Szneler, E. Anticonvulsant Activity of Some Xanthone Derivatives. Bioorganic Med. Chem. 2008, 16, 7234–7244. [Google Scholar] [CrossRef] [PubMed]
- Waszkielewicz, A.M.; Gunia, A.; Szkaradek, N.; Pytka, K.; Siwek, A.; Satała, G.; Bojarski, A.J.; Szneler, E.; Marona, H. Synthesis and Evaluation of Pharmacological Properties of Some New Xanthone Derivatives with Piperazine Moiety. Bioorganic Med. Chem. Lett. 2013, 23, 4419–4423. [Google Scholar] [CrossRef] [PubMed]
- Aye, A.; Song, Y.J.; Jeon, Y.D.; Jin, J.S. Xanthone Suppresses Allergic Contact Dermatitis in Vitro and in Vivo. Int. Immunopharmacol. 2020, 78, 106061. [Google Scholar] [CrossRef]
- Santos, C.M.M.; Freitas, M.; Fernandes, E. A Comprehensive Review on Xanthone Derivatives as α-Glucosidase Inhibitors. Eur. J. Med. Chem. 2018, 157, 1460–1479. [Google Scholar] [CrossRef]
- Shagufta; Ahmad, I. Recent Insight into the Biological Activities of Synthetic Xanthone Derivatives. Eur. J. Med. Chem. 2016, 116, 267–280. [Google Scholar] [CrossRef]
- Fukai, T.; Oku, Y.; Hou, A.J.; Yonekawa, M.; Terada, S. Antimicrobial Activity of Isoprenoid-Substituted Xanthones from Cudrania Cochinchinensis against Vancomycin-Resistant Enterococci. Phytomedicine 2005, 12, 510–513. [Google Scholar] [CrossRef]
- Mazur, G.; Skiba-Kurek, I.; Karczewska, E.; Pańczyk-Straszak, K.; Jaworska, J.; Waszkielewicz, A.M. Design, Synthesis and Activity against Staphylococcus Epidermidis of 5-Chloro-2- or 5-Chloro-4-Methyl-9H-Xanthen-9-One and Some of Its Derivatives. Chem. Biol. Drug Des. 2020, 00, 1–12. [Google Scholar] [CrossRef]
- Klesiewicz, K.; Żelaszczyk, D.; Trojanowska, D.; Bogusz, B.; Małek, M.; Waszkielewicz, A.; Szkaradek, N.; Karczewska, E.; Marona, H.; Budak, A. Preliminary Antifungal Activity Assay of Selected Chlorine-Containing Derivatives of Xanthone and Phenoxyethyl Amines. Chem. Biol. Drug Des. 2018, 92, 1867–1875. [Google Scholar] [CrossRef] [PubMed]
- Urbańska, K.; Sokołowska, J.; Szmidt, M.; Sysa, P. Glioblastoma Multiforme—An Overview. Contemp. Oncol. 2014, 18, 307–312. [Google Scholar] [CrossRef]
- Krakstad, C.; Chekenya, M. Survival Signalling and Apoptosis Resistance in Glioblastomas: Opportunities for Targeted Therapeutics. Mol. Cancer 2010, 9, 135. [Google Scholar] [CrossRef] [PubMed]
- Desai, V.; Bhushan, A. Natural Bioactive Compounds: Alternative Approach to the Treatment of Glioblastoma Multiforme. Biomed Res. Int. 2017, 2017. [Google Scholar] [CrossRef]
- Gomes, A.S.; Brandaro, P.; Fernandez, C.; Coreia-da-Silva, M. Drug-like Properties and ADME of Xanthone Derivatives: The Antechamber of Clinical Trials. Curr. Med. Chem. 2016, 23, 3654–3686. [Google Scholar] [CrossRef]
- Chi, Y.; Zhan, X.K.; Yu, H.; Xie, G.R.; Wang, Z.Z.; Xiao, W.; Wang, Y.G.; Xiong, F.X.; Hu, J.F.; Yang, L.; et al. An Open-Labeled, Randomized, Multicenter Phase IIa Study of Gambogic Acid Injection for Advanced Malignant Tumors. Chin. Med. J. (Engl). 2013, 126, 1642–1646. [Google Scholar] [CrossRef]
- Lara, P.N.; Douillard, J.Y.; Nakagawa, K.; Von Pawel, J.; McKeage, M.J.; Albert, I.; Losonczy, G.; Reck, M.; Heo, D.S.; Fan, X.; et al. Randomized Phase III Placebo-Controlled Trial of Carboplatin and Paclitaxel with or without the Vascular Disrupting Agent Vadimezan (ASA404) in Advanced Non-Small-Cell Lung Cancer. J. Clin. Oncol. 2011, 29, 2965–2971. [Google Scholar] [CrossRef]
- Pinto, M.M.M.; Sousa, M.E.; Nascimento, M.S.J. Xanthone Derivatives: New Insights in Biological Activities. Curr. Med. Chem. 2005, 12, 2517–2538. [Google Scholar] [CrossRef]
- Milanović, D.; Braun, F.; Weber, W.; Grosu, A.L.; Behe, M.; Niedermann, G. The Influence of the Combined Treatment with Vadimezan (ASA404) and Taxol on the Growth of U251 Glioblastoma Xenografts. BMC Cancer 2012, 12, 1. [Google Scholar] [CrossRef] [PubMed]
- Liu, J.; Zhang, J.; Wang, H.; Liu, Z.; Zhang, C.; Jiang, Z.; Chen, H. Synthesis of Xanthone Derivatives and Studies on the Inhibition against Cancer Cells Growth and Synergistic Combinations of Them. Eur. J. Med. Chem. 2017, 133, 50–61. [Google Scholar] [CrossRef] [PubMed]
- Yang, S.; Denny, W.A. A New Short Synthesis of 5,6-Dimethylxanthenone-4-Acetic Acid (ASA404, DMXAA). Tetrahedron Lett. 2009, 50, 3945–3947. [Google Scholar] [CrossRef]
- Daei Farshchi Adli, A.; Jahanban-Esfahlan, R.; Seidi, K.; Samandari-Rad, S.; Zarghami, N. An Overview on Vadimezan (DMXAA): The Vascular Disrupting Agent. Chem. Biol. Drug Des. 2018, 91, 996–1006. [Google Scholar] [CrossRef] [PubMed]
- Tozer, G.M.; Kanthou, C.; Baguley, B.C. Disrupting Tumour Blood Vessels. Nat. Rev. Cancer 2005, 5, 423–435. [Google Scholar] [CrossRef]
- Ching, L.M.; Cao, Z.; Kieda, C.; Zwain, S.; Jameson, M.B.; Baguley, B.C. Induction of Endothelial Cell Apoptosis by the Antivascular Agent 5,6-Dimethylxanthenone-4-Acetic Acid. Br. J. Cancer 2002, 86, 1937–1942. [Google Scholar] [CrossRef]
- Yung, R.; Seyfoddin, V.; Guise, C.; Tijono, S.; McGregor, A.; Connor, B.; Ching, L.M. Efficacy against Subcutaneous or Intracranial Murine GL261 Gliomas in Relation to the Concentration of the Vascular-Disrupting Agent, 5,6-Dimethylxanthenone-4-Acetic Acid (DMXAA), in the Brain and Plasma. Cancer Chemother. Pharmacol. 2014, 73, 639–649. [Google Scholar] [CrossRef]
- Rehman, F.; Rustin, G. ASA404: Update on Drug Development. vExpert Opin. Investig. Drugs 2008, 17, 1547–1551. [Google Scholar] [CrossRef]
- Thida, M.; Kim, D.W.; Tran, T.T.T.; Pham, M.Q.; Lee, H.; Kim, I.; Lee, J.W. Gambogic Acid Induces Apoptotic Cell Death in T98G Glioma Cells. Bioorganic Med. Chem. Lett. 2016, 26, 1097–1101. [Google Scholar] [CrossRef]
- Kamiloglu, S.; Sari, G.; Ozdal, T.; Capanoglu, E. Guidelines for Cell Viability Assays. Food Front. 2020, 1, 332–349. [Google Scholar] [CrossRef]
- Repetto, G.; del Peso, A.; Zurita, J.L. Neutral Red Uptake Assay for the Estimation of Cell Viability/Cytotoxicity. Nat. Protoc. 2008, 3, 1125–1131. [Google Scholar] [CrossRef] [PubMed]
- Wang, P.; Henning, S.M.; Heber, D. Limitations of MTT and MTS-Based Assays for Measurement of Antiproliferative Activity of Green Tea Polyphenols. J. Mater. Sci. Mater. Med. 2010, 5, 471–478. [Google Scholar] [CrossRef] [PubMed]
- Roehm, N.W.; Rodgers, G.H.; Hatfield, S.M.; Glasebrook, A.L. An Improved Colorimetric Assay for Cell Proliferation and Viability Utilizing the Tetrazolium Salt XTT. J. Immunol. Methods 1991, 142, 257–265. [Google Scholar] [CrossRef] [PubMed]
- Scarcello, E.; Lambremont, A.; Vanbever, R.; Jacques, P.J.; Lison, D. Mind Your Assays: Misleading Cytotoxicity with the WST-1 Assay in the Presence of Manganese. PLoS ONE 2020, 15, 1–14. [Google Scholar] [CrossRef]
- Tominaga, H.; Ishiyama, M.; Ohseto, F.; Sasamoto, K.; Hamamoto, T.; Suzuki, K.; Watanabe, M. A Water-Soluble Tetrazolium Salt Useful for Colorimetric Cell Viability Assay. Anal. Commun. 1999, 36, 47–50. [Google Scholar] [CrossRef]
- Smith, S.M.; Wunder, M.B.; Norris, D.A.; Shellman, Y.G. A Simple Protocol for Using a LDH-Based Cytotoxicity Assay to Assess the Effects of Death and Growth Inhibition at the Same Time. PLoS ONE 2011, 6. [Google Scholar] [CrossRef]
- Setiawati, A. Anticancer Activity of Mangosteen Pericarp Dry Extract Against Mcf-7 Breast Cancer Cell Line Through Estrogen Receptor -A. Indones. J. Pharm. 2014, 25, 119. [Google Scholar] [CrossRef]
- Akao, Y.; Nakagawa, Y.; Iinuma, M.; Nozawa, Y. Anti-Cancer Effects of Xanthones from Pericarps of Mangosteen. Int. J. Mol. Sci. 2008, 9, 355–370. [Google Scholar] [CrossRef]
- Gutierrez-Orozco, F.; Failla, M.L. Biological Activities and Bioavailability of Mangosteen Xanthones: A Critical Review of the Current Evidence. Nutrients 2013, 5, 3163–3183. [Google Scholar] [CrossRef]
- Shan, T.; Ma, Q.; Guo, K.; Liu, J.; Li, W.; Wang, F.; Wu, E. Xanthones from Mangosteen Extracts as Natural Chemopreventive Agents: Potential Anticancer Drugs. Curr. Mol. Med. 2011, 11, 666–677. [Google Scholar] [CrossRef]
- Kurniawan, Y.S.; Tata, K.; Priyangga, A.; Pranowo, H.D.; Sholikhah, E.N.; Zulkarnain, A.K.; Fatimi, H.A.; Julianus, J. An Update on the Anticancer Activity of Xanthone Derivatives: A Review. Pharmaceuticals 2021, 14, 1144. [Google Scholar] [CrossRef] [PubMed]
- Matsumoto, K.; Akao, Y.; Yi, H.; Ohguchi, K.; Ito, T.; Tanaka, T.; Kobayashi, E.; Iinuma, M.; Nozawa, Y. Preferential Target Is Mitochondria in α-Mangostin-Induced Apoptosis in Human Leukemia HL60 Cells. Bioorganic Med. Chem. 2004, 12, 5799–5806. [Google Scholar] [CrossRef] [PubMed]
- Nakagawa, Y.; Iinuma, M.; Naoe, T.; Nozawa, Y.; Akao, Y. Characterized Mechanism of α-Mangostin-Induced Cell Death: Caspase-Independent Apoptosis with Release of Endonuclease-G from Mitochondria and Increased MiR-143 Expression in Human Colorectal Cancer DLD-1 Cells. Bioorganic Med. Chem. 2007, 15, 5620–5628. [Google Scholar] [CrossRef] [PubMed]
- Markowicz, J.; Uram, Ł.; Sobich, J.; Mangiardi, L.; Maj, P.; Rode, W. Antitumor and Anti-Nematode Activities of α-Mangostin. Eur. J. Pharmacol. 2019, 863. [Google Scholar] [CrossRef] [PubMed]
- Zhang, H.; Tan, Y.P.; Zhao, L.; Wang, L.; Fu, N.J.; Zheng, S.P.; Shen, X.F. Anticancer Activity of Dietary Xanthone α-Mangostin against Hepatocellular Carcinoma by Inhibition of STAT3 Signaling via Stabilization of SHP1. Cell Death Dis. 2020, 11. [Google Scholar] [CrossRef] [PubMed]
- Chang, H.F.; Huang, W.T.; Chen, H.J.; Yang, L.L. Apoptotic Effects of γ-Mangostin from the Fruit Hull of Garcinia Mangostana on Human Malignant Glioma Cells. Molecules 2010, 15, 8953–8966. [Google Scholar] [CrossRef]
- Chao, A.C.; Hsu, Y.L.; Liu, C.K.; Kuo, P.L. α-Mangostin, a Dietary Xanthone, Induces Autophagic Cell Death by Activating the AMP-Activated Protein Kinase Pathway in Glioblastoma Cells. J. Agric. Food Chem. 2011, 59, 2086–2096. [Google Scholar] [CrossRef]
- Qiang, L.; Yang, Y.; You, Q.D.; Ma, Y.J.; Yang, L.; Nie, F.F.; Gu, H.Y.; Zhao, L.; Lu, N.; Qi, Q.; et al. Inhibition of Glioblastoma Growth and Angiogenesis by Gambogic Acid: An in Vitro and in Vivo Study. Biochem. Pharmacol. 2008, 75, 1083–1092. [Google Scholar] [CrossRef]
- Jakubowicz-Gil, J.; Langner, E.; Ba̧dziul, D.; Wertel, I.; Rzeski, W. Apoptosis Induction in Human Glioblastoma Multiforme T98G Cells upon Temozolomide and Quercetin Treatment. Tumor Biol. 2013, 34, 2367–2378. [Google Scholar] [CrossRef]
- Boatright, K.M.; Renatus, M.; Scott, F.L.; Sperandio, S.; Shin, H.; Pedersen, I.M.; Ricci, J.E.; Edris, W.A.; Sutherlin, D.P.; Green, D.R.; et al. A Unified Model for Apical Caspase Activation. Mol. Cell 2003, 11, 529–541. [Google Scholar] [CrossRef]
- Wang, X.; Chen, W. Gambogic Acid Is a Novel Anti-Cancer Agent That Inhibits Cell Proliferation, Angiogenesis and Metastasis. Natl. Acad Sci. 2012, 12, 994–1000. [Google Scholar] [CrossRef]
- Kasibhatla, S.; Jessen, K.A.; Maliartchouk, S.; Wang, J.Y.; English, N.M.; Drewe, J.; Qiu, L.; Archer, S.P.; Ponce, A.E.; Sirisoma, N.; et al. A Role for Transferrin Receptor in Triggering Apoptosis When Targeted with Gambogic Acid. Proc. Natl. Acad. Sci. USA 2005, 102, 12095–12100. [Google Scholar] [CrossRef] [PubMed]
- Luo, G.; Jiang, S.; Zhang, X.; Ling, Y.; Luo, H.; Zhang, Y. Gambogic Acid Affects Ribosomal Occurrence in Glioma Cells by Downregulating the Phosphoinositide Kinase-3/Protein Kinase B/Mammalian Target of Rapamycin Signaling Pathway. J. Nanosci. Nanotechnol. 2019, 20, 3361–3372. [Google Scholar] [CrossRef] [PubMed]
- Gilani, S.A.; Imran, M.; Sciences, A.; Haq, I.U.; Mehboob, R. Gambogic Acid as Anticancer Agent: A Review. Preprints 2020, 2020070029. [Google Scholar] [CrossRef]
- Liu, Y.; Chen, Y.; Lin, L.; Li, H. Gambogic Acid as a Candidate for Cancer Therapy: A Review. Int. J. Nanomedicine 2020, 15, 10385–10399. [Google Scholar] [CrossRef] [PubMed]
- Luo, M.; Liu, Q.; He, M.; Yu, Z.; Pi, R.; Li, M.; Yang, X.; Wang, S.; Liu, A. Gartanin Induces Cell Cycle Arrest and Autophagy and Suppresses Migration Involving PI3K/Akt/MTOR and MAPK Signalling Pathway in Human Glioma Cells. J. Cell. Mol. Med. 2017, 21, 46–57. [Google Scholar] [CrossRef] [PubMed]
- Li, G.; Petiwala, S.M.; Yan, M.; Won, J.H.; Petukhov, P.A.; Johnson, J.J. Gartanin, an Isoprenylated Xanthone from the Mangosteen Fruit (Garcinia Mangostana), Is an Androgen Receptor Degradation Enhancer. Mol. Nutr. Food Res. 2016, 60, 1458–1469. [Google Scholar] [CrossRef] [PubMed]
- Youn, U.J.; Sripisut, T.; Miklossy, G.; Turkson, J.; Laphookhieo, S.; Chang, L.C. Bioactive Polyprenylated Benzophenone Derivatives from the Fruits Extracts of Garcinia Xanthochymus. Bioorganic Med. Chem. Lett. 2017, 27, 3760–3765. [Google Scholar] [CrossRef] [PubMed]
- Mu, F.; Liu, T.; Zheng, H.; Xie, X.; Lei, T.; He, X.; Du, S.; Tong, R.; Wang, Y. Mangiferin Induces Radiosensitization in Glioblastoma Cells by Inhibiting Nonhomologous End Joining. Oncol. Rep. 2018, 40, 3663–3673. [Google Scholar] [CrossRef]
- Xiao, J.; Liu, L.; Zhong, Z.; Xiao, C.; Zhang, J. Mangiferin Regulates Proliferation and Apoptosis in Glioma Cells by Induction of MicroRNA-15b and Inhibition of MMP-9 Expression. Oncol. Rep. 2015, 33, 2815–2820. [Google Scholar] [CrossRef]
- Shi, W.; Deng, J.; Tong, R.; Yang, Y.; He, X.; Lv, J.; Wang, H.; Deng, S.; Qi, P.; Zhang, D.; et al. Molecular Mechanisms Underlying Mangiferin-Induced Apoptosis and Cell Cycle Arrest in A549 Human Lung Carcinoma Cells. Mol. Med. Rep. 2016, 13, 3423–3432. [Google Scholar] [CrossRef] [PubMed]
- Rajendran, P.; Ekambaram, G.; Sakthisekaran, D. Protective Role of Mangiferin against Benzo(a)Pyrene Induced Lung Carcinogenesis in Experimental Animals. Biol. Pharm. Bull. 2008, 31, 1053–1058. [Google Scholar] [CrossRef] [PubMed]
- Peng, Z.; Luo, J.; Xia, L.; Chen, Y.; Song, S. CML Cell Line K562 Cell Apoptosis Induced by Mangiferin]. Zhongguo Shi Yan Xue Ye Xue Za Zhi 2004, 12, 590–594. [Google Scholar] [PubMed]
- Neves, A.R.; Correia-da-Silva, M.; Silva, P.M.A.; Ribeiro, D.; Sousa, E.; Bousbaa, H.; Pinto, M. Synthesis of New Glycosylated Flavonoids with Inhibitory Activity on Cell Growth. Molecules 2018, 23, 1093. [Google Scholar] [CrossRef]
- Miladiyah, I.; Jumina, J.; Haryana, S.M.; Mustofa, M. Biological Activity, Quantitative Structure–Activity Relationship Analysis, and Molecular Docking of Xanthone Derivatives as Anticancer Drugs. Drug Des. Devel. Ther. 2018, 12, 149–158. [Google Scholar] [CrossRef]
- Alves, A.; Correia-da-Silva, M.; Nunes, C.; Campos, J.; Sousa, E.; Silva, P.M.A.; Bousbaa, H.; Rodrigues, F.; Ferreira, D.; Costa, P.C.; et al. Discovery of a New Xanthone against Glioma: Synthesis and Development of (Pro)Liposome Formulations. Molecules 2019, 24, 409. [Google Scholar] [CrossRef]
- Kuete, V.; Sandjo, L.P.; Ouete, J.L.N.; Fouotsa, H.; Wiench, B.; Efferth, T. Cytotoxicity and Modes of Action of Three Naturally Occurring Xanthones (8-Hydroxycudraxanthone G, Morusignin i and Cudraxanthone I) against Sensitive and Multidrug-Resistant Cancer Cell Lines. Phytomedicine 2014, 21, 315–322. [Google Scholar] [CrossRef]
- Tovilovic-Kovacevic, G.; Krstic-Milosevic, D.; Vinterhalter, B.; Toljic, M.; Perovic, V.; Trajkovic, V.; Harhaji-Trajkovic, L.; Zogovic, N. Xanthone-Rich Extract from Gentiana Dinarica Transformed Roots and Its Active Component Norswertianin Induce Autophagy and ROS-Dependent Differentiation of Human Glioblastoma Cell Line. Phytomedicine 2018, 47, 151–160. [Google Scholar] [CrossRef]
- Rosi, D.; Peruzzotti, G.; Dennis, E.W.; Berberian, D.A.; Freele, H. Lucanthone 867. J. Med. Chem. 1967, 10, 867–876. [Google Scholar] [CrossRef]
- Safety and Efficiancy Study of Lucanthone When Used in Combination with Temozolomide (TMZ) and Radiation to Treat Glioblastoma Multiforme. Available online: https://clinicaltrials.gov/ct2/show/NCT01587144 (accessed on 25 November 2020).
- Naidu, M.D.; Agarwal, R.; Pena, L.A.; Cunha, L.; Mezei, M.; Shen, M.; Wilson, D.M.; Liu, Y.; Sanchez, Z.; Chaudhary, P.; et al. Lucanthone and Its Derivative Hycanthone Inhibit Apurinic Endonuclease-1 (APE1) by Direct Protein Binding. PLoS ONE 2011, 6. [Google Scholar] [CrossRef]
- Nakatani, K.; Nakahata, N.; Arakawa, T.; Yasuda, H.; Ohizumi, Y. Inhibition of Cyclooxygenase and Prostaglandin E2 Synthesis by γ-Mangostin, a Xanthone Derivative in Mangosteen, in C6 Rat Glioma Cells. Biochem. Pharmacol. 2002, 63, 73–79. [Google Scholar] [CrossRef] [PubMed]
- He, X.Y.; Liu, X.J.; Chen, X.; Bian, L.G.; Zhao, W.G.; Shen, J.K.; Sun, Q.F. Gambogic Acid Induces EGFR Degradation and Akt/MTORC1 Inhibition through AMPK Dependent-LRIG1 Upregulation in Cultured U87 Glioma Cells. Biochem. Biophys. Res. Commun. 2013, 435, 397–402. [Google Scholar] [CrossRef] [PubMed]
Disclaimer/Publisher’s Note: The statements, opinions and data contained in all publications are solely those of the individual author(s) and contributor(s) and not of MDPI and/or the editor(s). MDPI and/or the editor(s) disclaim responsibility for any injury to people or property resulting from any ideas, methods, instructions or products referred to in the content. |
© 2023 by the authors. Licensee MDPI, Basel, Switzerland. This article is an open access article distributed under the terms and conditions of the Creative Commons Attribution (CC BY) license (https://creativecommons.org/licenses/by/4.0/).








