A New 3D Marine Controlled-Source Electromagnetic Modeling Algorithm Based on Two New Types of Quadratic Edge Elements
Abstract
1. Introduction
2. Theory
3. Edge-Based Finite Element Analysis
4. First and Conventional Quadratic Edge Elements
4.1. First-Order Edge Hexahedral Element
4.2. A Quadratic Hexahedron Element of a Conventional Serendipity Type
4.3. Lagrange Quadratic Hexahedron Element
4.4. A New Type of Quadratic Edge Element
4.5. Interpolation and Convergence
5. Model Studies
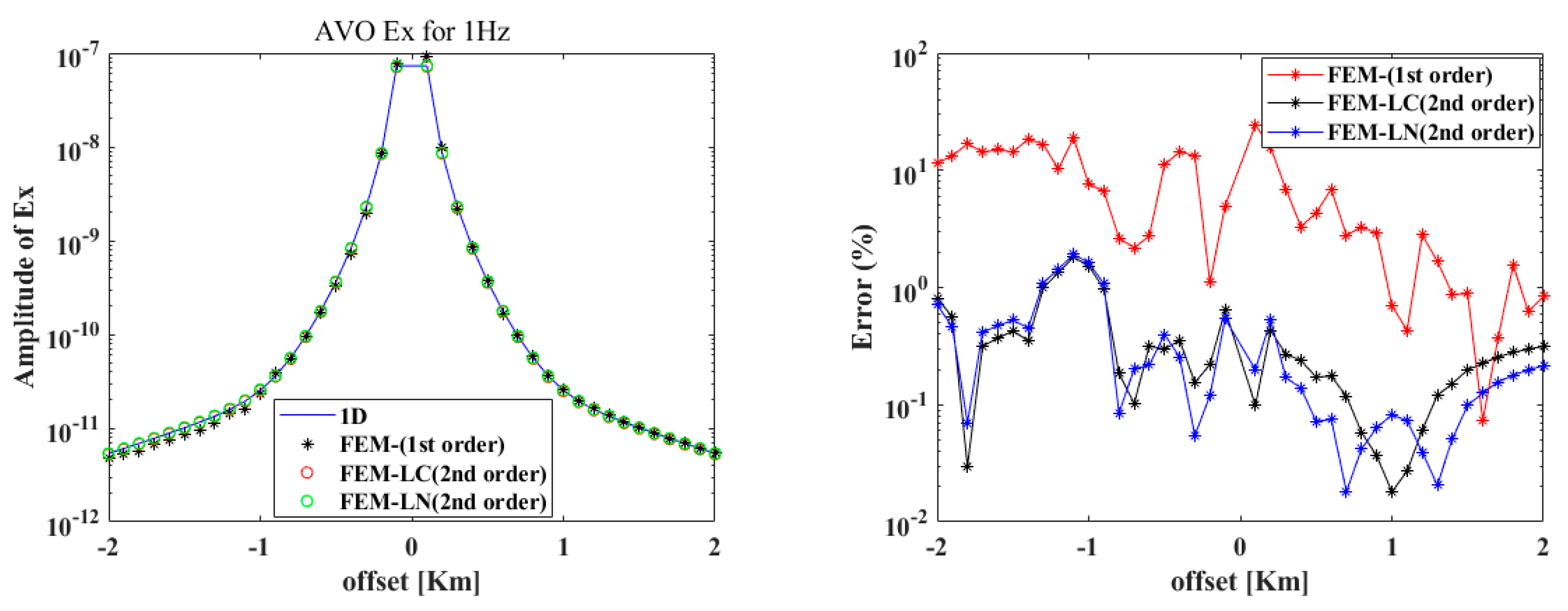
5.1. Verification of the New Algorithm
5.2. Off-Shore Hydrocarbon ReservoirMmodel
5.3. Pyramid Type Bathymetry Model
6. Conclusions
Author Contributions
Funding
Institutional Review Board Statement
Informed Consent Statement
Data Availability Statement
Conflicts of Interest
References
- Constable, S.; Srnka, L.J. An introduction to marine controlled source electromagnetic methods for hydrocarbon exploration. Geophysics 2007, 72, WA3–WA12. [Google Scholar] [CrossRef]
- Constable, S. Ten years of marine CSEM for hydrocarbon exploration. Geophysics 2010, 75, A67–A81. [Google Scholar] [CrossRef]
- Weitemeyer, K.; Gao, G.; Constable, S.; Alumbaugh, D. The practical application of 2D inversion to marine controlled-source electromagnetic data. Geophysics 2010, 75, F199–F211. [Google Scholar] [CrossRef]
- Wannamaker, P.; Hohmann, G.; San Filipo, W. Electromagnetic modeling of 3-dimensional bodies in layered earths using integral equations. Geophysics 1984, 49, 60–74. [Google Scholar] [CrossRef]
- Avdeev, D.B.; Kuvshinov, A.V.; Pankratov, O.V.; Newman, G.A. High performance three-dimensional electromagnetic modeling using modified Neumann series: Wide band numerical solution and examples. J. Geomag. Geoelectr. 1997, 49, 1519–1539. [Google Scholar] [CrossRef]
- Zhdanov, M.S.; Fang, S. Quasi-linear series in three-dimensional electromagnetic modeling. Radio Sci. 1997, 32, 2167–2188. [Google Scholar] [CrossRef]
- Newman, G.A.; Alumbaugh, D.L. Frequency-domain modelling of airborne electromagnetic responses using staggered finite differences. Geophys. Prospect. 1995, 43, 1021–1042. [Google Scholar] [CrossRef]
- Davydycheva, S.; Druskin, V.; Habashy, T. An efficient finite difference scheme for electromagnetic logging in 3D anisotropic inhomogeneous media. Geophysics 2003, 68, 1525–1536. [Google Scholar] [CrossRef]
- Abubakar, A.; Habashy, T.M.; Druskin, V.L.; Knizhnerman, L.; Alumbaugh, D. 2.5D forward and inverse modeling for interpreting low-frequency electromagnetic measurements. Geophysics 2008, 73, F165–F177. [Google Scholar] [CrossRef]
- Commer, M.; Newman, G.A. New advances in three-dimensional controlled-source electromagnetic inversion. Geophys. J. Int. 2008, 172, 513–535. [Google Scholar] [CrossRef]
- Sasaki, Y.; Meju, M.A. Useful characteristics of shallow and deep marine CSEM responses inferred from 3D finite-difference modeling. Geophysics 2009, 74, F67–F76. [Google Scholar] [CrossRef]
- Streich, R.; Becken, M. Electromagnetic fields generated by finite length wire sources: Comparison with point dipole solutions. Geophys. Prospect. 2011, 59, 361–374. [Google Scholar] [CrossRef]
- Badea, E.A.; Everett, M.E.; Newman, G.A.; Biro, O. Finite-element analysis of controlled-source electromagnetic induction using Coulomb gauged potentials. Geophysics 2001, 66, 786–799. [Google Scholar] [CrossRef]
- Schwarzbach, C.; Borner, R.-U.; Spitzer, K. Three-dimensional adaptive higher order finite element simulation for geo-electromagnetics—A marine CSEM example. Geophys. J. Int. 2011, 187, 63–74. [Google Scholar] [CrossRef]
- Ansari, S.; Farquharson, C.G. 3D finite-element forward modeling of electromagnetic data using vector and scalar potentials and unstructured grids. Geophysics 2014, 79, E149–E165. [Google Scholar] [CrossRef]
- Cai, H.; Xiong, B.; Han, M.; Zhdanov, M. 3D controlled-source electromagnetic modeling in anisotropic medium using edge-based finite element method. Comput. Geosci. 2014, 73, 164–176. [Google Scholar] [CrossRef]
- Cai, H.; Xiong, B.; Zhdanov, M. Three-dimensional marine controlled-source electromagnetic modelling in anisotropic medium using finite element method. Chin. J. Geophys. 2015, 58, 2839–2850. [Google Scholar]
- N′ed′elec, J.C. Mixed finite elements in R3. Numer. Math. 1980, 35, 315–341. [Google Scholar] [CrossRef]
- Mukherjee, S.; Everett, M.E. 3D controlled-source electromagnetic 455 edge-based finite element modeling of conductive and permeable heterogeneities. Geophysics 2011, 76, F215–F226. [Google Scholar] [CrossRef]
- Silva, N.V.; Morgan, J.V.; MacGregor, L.; Warner, M. A finite element multifrontal method for 3D CSEM modeling in the frequency domain. Geophysics 2012, 77, E101–E115. [Google Scholar] [CrossRef]
- Castillo-Reyes, O.; Amor-Martin, A.; Botella, A.; Anquez, P.; García-Castillo, L.E. Tailored meshing for parallel 3D electromagnetic modeling using high-order edge elements. J. Comput. Sci. 2022, 63, 101813. [Google Scholar] [CrossRef]
- Bíró, O.; Preis, K.; Richter, K.R. On the use of the magnetic vector potential in the nodal and edge finite element analysis of 3D magnetostatic problems. IEEE Trans. Magn. 1996, 32, 651–654. [Google Scholar] [CrossRef]
- Biró, O.; Preis, K. Partial tree-gauging of second order edge element vector potential formulations. In Proceedings of the Computational Electromagnetics, Montreal, QC, Canada, 28 June–2 July 2015. [Google Scholar]
- Zhdanov, M.S. Geophysical Electromagnetic Theory and Methods; Elsevier: Amsterdam, The Netherlands, 2009. [Google Scholar]
- Jin, J. Finite Element Method in Electromagnetics; Wiley-IEEE Press: New York, NY, USA, 2002. [Google Scholar]
- Ward, S.H.; Hohmann, G.W. Electromagnetic Theory for Geophysical Applications; SEG: Oklahoma City, OK, USA, 1988. [Google Scholar]
- Anderson, W.L. A hybrid fast Hankel transform algorithm for electromagnetic modeling. Geophysics 1989, 54, 263–266. [Google Scholar] [CrossRef]
- Zhdanov, M.S.; Keller, G. The Geoelectrical Methods in Geophysical Exploration; Elsevier: Amsterdam, The Netherlands, 1994. [Google Scholar]
- Guptasarma, D.; Singh, B. New digital linear filters for Hankel J0 and J1 transforms. Geophys. Prospect. 1997, 54, 263–266. [Google Scholar]


























| Element | Edges | Faces | Interior Bubbles | Total |
|---|---|---|---|---|
| 1st | 12 | 0 | 0 | 12 |
| SC | 24 | 12 | 0 | 36 |
| SN | 12 | 12 | 0 | 24 |
| LC | 24 | 24 | 6 | 54 |
| LN | 12 | 24 | 6 | 42 |
| Layer | |
|---|---|
| Air | |
| Sea Water | |
| Sediment | |
| Reservoir |
| Element | Number of Elements | DOF | CPU Time |
|---|---|---|---|
| 1st order | 332,112 | 867,730 | 30.5 |
| SC | 332,112 | 3,952,952 | 51.7 |
| SN | 332,112 | 2,960,408 | 76.2 |
| LC | 332,112 | 5,920,816 | 111.4 |
| LN | 332,112 | 4,924,272 | 221.9 |
| Layer | ||
|---|---|---|
| Air | ||
| Sea Water | ||
| Sediment | ||
| Reservoir |
| Element | Number of Elements | DOF | CPU Time |
|---|---|---|---|
| SC | 560,000 | 6,679,300 | 141.7 |
| SN | 560,000 | 4,999,050 | 156.2 |
| LC | 560,000 | 9,998,100 | 311.4 |
| LN | 560,000 | 8,317,850 | 471.9 |
Disclaimer/Publisher’s Note: The statements, opinions and data contained in all publications are solely those of the individual author(s) and contributor(s) and not of MDPI and/or the editor(s). MDPI and/or the editor(s) disclaim responsibility for any injury to people or property resulting from any ideas, methods, instructions or products referred to in the content. |
© 2023 by the authors. Licensee MDPI, Basel, Switzerland. This article is an open access article distributed under the terms and conditions of the Creative Commons Attribution (CC BY) license (https://creativecommons.org/licenses/by/4.0/).
Share and Cite
Xiong, B.; Lu, Y.; Chen, H.; Cheng, Z.; Liu, H.; Han, Y. A New 3D Marine Controlled-Source Electromagnetic Modeling Algorithm Based on Two New Types of Quadratic Edge Elements. Appl. Sci. 2023, 13, 2821. https://doi.org/10.3390/app13052821
Xiong B, Lu Y, Chen H, Cheng Z, Liu H, Han Y. A New 3D Marine Controlled-Source Electromagnetic Modeling Algorithm Based on Two New Types of Quadratic Edge Elements. Applied Sciences. 2023; 13(5):2821. https://doi.org/10.3390/app13052821
Chicago/Turabian StyleXiong, Bin, Yuguo Lu, Hanbo Chen, Ziyu Cheng, Hao Liu, and Yu Han. 2023. "A New 3D Marine Controlled-Source Electromagnetic Modeling Algorithm Based on Two New Types of Quadratic Edge Elements" Applied Sciences 13, no. 5: 2821. https://doi.org/10.3390/app13052821
APA StyleXiong, B., Lu, Y., Chen, H., Cheng, Z., Liu, H., & Han, Y. (2023). A New 3D Marine Controlled-Source Electromagnetic Modeling Algorithm Based on Two New Types of Quadratic Edge Elements. Applied Sciences, 13(5), 2821. https://doi.org/10.3390/app13052821

