Abstract
There is limited evidence comparing the effects of manual and instrumented-assisted manipulations among adults with neck pain. Our purpose was to determine the effects of a multisession regime of manual and instrument-assisted cervical manipulation on pain, disability, perception of change, and muscle properties in subjects with nonspecific neck pain. We conducted a double-blind, randomized, placebo-controlled study in 32 subjects with nonspecific neck pain. Two groups received three sessions of cervical (C3/C4) manipulation, one group manual and the other instrument-assisted, a third group received three sessions of sham manipulation, and a fourth group served as a control. Self-reported pain, pressure pain thresholds, neck disability, patient perception of change, and properties (tonus, stiffness, and elasticity) of the upper trapezius and biceps brachii were assessed at baseline, immediately after the first session and 15 days after the end of the intervention. After the end of the intervention, the percentage of changes in the visual analogue scale score, Neck Disability Index, and Patient Global Perception of Change score were significantly higher in the manual group in comparison with the other groups (p < 0.05). No between-group differences were observed in the percentage of changes in tonus, stiffness, and elasticity of the four muscles at the end of the intervention. We concluded that three sessions of C3/C4 manual manipulation improved pain and disability in subjects with nonspecific neck pain.
1. Introduction
Nonspecific neck pain, typically localized in the posterior neck between the superior nuchal line and the spinous process of the first thoracic vertebra [1], is the condition with the fourth highest degree of disability [2]. According to the Global Burden of Disease Study, low back and neck pain were the second leading causes of years lived with disability for young adults aged 20–24 years [3]. Based on its cost-effectiveness and clinical results when combined with home exercise and counselling, compared with traditional approaches [4] and certain medications (analgesics and non-steroidal anti-inflammatory drugs) [5], guidelines recommend spinal manipulation for neck pain [6].
Spinal manipulation can be defined as a thrust of high velocity and low amplitude delivered to the spine using a specific contact in order to provide mobility to a joint [7], and has been shown to improve patient self-reported pain and disability at short and long-term levels in subjects with acute and subacute neck pain [8]. Moreover, patient satisfaction seems to be higher in those receiving spinal manipulation as part of their treatment [9], possibly due to the short-term analgesic effects of a single manipulation [10,11]. Spinal manipulation increases pressure pain thresholds at the site of manipulation [12,13], and maybe also at sites not related to the site of manipulation [12]. A widespread effect and one observed at sites not related to the level of manipulation raises the question of whether spinal manipulation should be applied at a specific level, or could be applied at a non-specific spinal level, without a previous clinical examination of motion restriction [14].
Spinal manipulation can be performed manually or instrument-assisted. While some studies showed better short-term results in self-reported disability and pain with manual manipulation [15], others found no differences between these two interventions [16]. However, the available studies in the literature refer to short-term results, and little is known on middle-term effects. Hence, this study aims to assess the short and medium-term effects of a pre-selected spinal level manual and instrument-assisted cervical manipulation on pain, neck disability, patient perception of change, and myotonometer parameters (tonus, stiffness, and elasticity) in subjects with nonspecific neck pain. By assessing regions related and not related to the level manipulated, this study aims also to determine whether the effects of manipulation are region-specific or widespread.
2. Materials and Methods
2.1. Study Design, Randomization, and Implementation
A double-blind, randomized controlled study with two intervention groups (manual or instrument-assisted manipulation), one control group, and one placebo group was conducted. Subjects were randomized (block randomization, 1:1:1:1) using the software Randomizer (www.randomizer.org). The intervention groups received one manipulation per week for three weeks. All participants and examiners were blinded to the treatment group, with the exception of the physical therapist that applied the manipulation. Participants were evaluated at baseline, immediately after the first session, and 15 days after the end of the intervention. The first session took about 1 h for each subject, as they were evaluated pre- and post-intervention.
2.2. Participants
Fifty-four subjects were assessed for eligibility, and 33 met the inclusion criteria and volunteered to participate in the study (Figure 1). The sample was composed of subjects with nonspecific neck pain, with a minimum of 18 years of age, and current neck pain of 2 to 12 weeks duration [8]. Exclusion criteria: history of surgery or neck trauma, current use of anticoagulant therapy, osteoporosis, cancer, fibromyalgia, visual disturbances, dizziness, and/or vertigo; received manipulative therapy in the last year; pregnancy; intake of analgesic, muscle relaxant or anti-inflammatory drugs in the last week; or any other contra-indication to spinal manipulation [17]. Subjects were asked to refrain from seeking additional treatment for neck pain during the study (including pharmacological treatment). Subjects were not paid for participation, all provided written informed consent, and all procedures were conducted according to the Declaration of Helsinki. The study was approved by the Ethics Committee of Porto Health School (ref. No. 1416/2014).
Figure 1.
Flow diagram depicting the study design.
2.3. Outcome Measures
2.3.1. Neck Disability
Disability was assessed at baseline and 15 days after the end of the intervention using the Neck Disability Index [18]. This index contains 7 items related to activities of daily living, 2 related to pain, and 1 related to concentration [19,20,21]. Each item is scored from 0 to 5, and the total score is 50, with higher scores corresponding to greater disability. This instrument presents good reliability (ICC = 0.95; 95% CI = 0.924–0.968); the minimal clinically important difference was identified at 5.5 points [18,22].
2.3.2. Patient’s Impression of Change
Impression of change was assessed 15 days after the end of the intervention with the Patient Global Impression of Change Scale. This instrument consists of a self-evaluation by the patient of his or her overall change since the beginning of the treatment rated on a seven-point scale (1—no change to 7—very much improved).
2.3.3. Muscle Mechanical Properties—Tone, Elasticity, and Stiffness
Before and after the first session, and 15 days after the end of the intervention, the muscle mechanical properties—tone, elasticity, and stiffness—of both the upper trapezius and biceps brachialis were measured with a handheld mechanical impulse-based myotonometric device (MyotonPro, Myoton AS, Tallinn, Estonia). These muscles were chosen to assess regions with (upper trapezius) and without (biceps brachialis) metameric relation to the cervical level manipulated. This device provides measures of (i) muscle tone in resting state, which is indicated by the oscillation frequency (Hz); (ii) elasticity, which represents the capacity to recover the muscle shape after a contraction, indicated by the logarithmic decrement (D log) of a muscle’s natural oscillation; and (iii) stiffness (N/m), i.e., the muscle resistance to changes in muscle shape. The subjects were positioned in a sitting position on a chair, with both forearms supported by a pillow, relaxed, and in supination, with the elbows in a flexed position (90 degrees). To standardize the neck position for all the assessments, the subjects were asked to focus their visual attention at eye level on a fixed mark on the wall located two meters away [23]. For the biceps, the measurement was made at the mid-way point between the anterior aspect of the lateral tip of the acromion and the medial border of the cubital fossa [24]. For the trapezius, the measurement point was the middle of the upper trapezius muscle belly, halfway from the acromion to the 7th cervical spinal process [25]. Three consecutive measurements on both sides, in multi-scan mode comprising 10 mechanical taps one second apart, were performed and the average of tone, elasticity, and stiffness was taken for analysis. This device has proven to be valid and reliable in the assessment of the upper trapezius [25] and biceps brachii muscles [26]. All muscle mechanical parameters were collected by the same operator.
2.3.4. Pain
Pain was assessed at baseline, immediately after the first session, and 15 days after the end of the intervention. Pain intensity was assessed using the visual analogue scale (VAS, 0–10 cm). The subjects were asked to rate their pain intensity at the moment by placing a mark on the scale. This scale presents a minimal clinically important difference of 0.8 cm in subjects with nonspecific neck pain [27].
Pressure pain threshold was measured using an algometer (Force One FDIX, Wagner Instruments, Greenwich, CT, USA) by well-trained examiners in 3 trials. Trained observers can apply an algometer at a consistent rate and provide highly reliable measures in healthy humans [ICC = 0.91 (95%CI, 0.82, 0.97)] [28]. The subjects were positioned in the same position as for the myotonometer assessments [23]. In the first session, the subjects received three ‘practice’ measurements on the dorsal aspect of their hand before testing began, to guarantee that all subjects understand the evaluation [29]. Before the procedure, subjects were asked to notify the examiner the moment the sensation of pressure changed to pain. Then, the instrument was placed over the assessment point, with an angle of 90°, using a 1 cm2 tip and then the pressure was increased at a rate of 1 kg/cm2 per second until the subject referred to the beginning of the sensation of pain (i.e., the subject reported to the examiner that the sensation of pressure changed to pain). The test was then stopped, and the results were recorded.
Pressure pain perception at a given pressure was quantified using the visual analogue scale. The procedures and the assessment points were the same as for the pressure pain threshold, but the pressure was increased to 2.5 kg/cm and then maintained for 5 s. After 5 s, the subject classified the level of pain using the VAS [30]. Both procedures were performed 3 times and included a 30 s rest period between tests. The average of the 3 tests was taken for analysis.
2.4. Interventions
Each subject received three sessions in three weeks, which was similar to other studies showing positive results with a small number of sessions [31,32]. The procedures were applied over C3/C4 spinal level, and not over the segment where some dysfunction or restriction could be found. We chose to apply spinal manipulation over C3/4 in all subjects so we could access upper trapezius and biceps brachialis reaction bilaterally in all subjects. We assumed that there is a metameric relation from C3/4 with the upper trapezius and not with the biceps, and we sought to understand if the effects of spinal manipulation would be metameric-related or widespread. We also aimed to understand if the application of spinal manipulation without an assessment of possible hypomobility in a specific vertebral segment would be able to produce beneficial effects in terms of pain and disability.
2.4.1. Manual Manipulation
The subjects were positioned supine with the cervical spine in a neutral position. The physical therapist used manual palpatory procedures to identify C3, as recommended [33]. The index finger of the therapist contacted over the posterolateral aspect of the zygapophyseal joint of the right side of the C3 vertebra. The subject’s head was supported by the other hand of the physical therapist. Slight ipsilateral side flexion and contralateral rotation were introduced until the tension was perceived in the tissues at the contact point. A high-velocity, low-amplitude thrust manipulation was directed upward and medially in the direction of the subject’s contralateral eye. The physical therapist monitored for an audible cavitation accompanying the manipulations. If the audible cavitation was not noted during the first manipulative attempt, subjects were repositioned, and the procedure was repeated a second time. A maximum of two attempts were performed on each subject [34,35]. The therapist had 20 years of active spinal manipulation and physiotherapy experience.
2.4.2. Instrument-Assisted Manipulation
The instrument-assisted manipulation was applied using a handheld Activator IV Adjusting Instrument (AAI 4, Activator Methods International, Ltd., Phoenix, AZ, USA). All instrument-assisted manipulations were administered with the Activator IV on a setting of “2” (i.e., applying a peak force of 121 N) from a 1 to 4 scale, to reduce the peak forces applied to the cervical region [36]. Subjects were positioned prone, in a relaxed position, with arms next to the body and the cervical spine in a neutral position [36]. Contacts were made firm enough to prevent slipping of the rubber tip, but not so firm as to load the spring, in consistence with the clinical use of the instrument. The spring was then loaded by the instrument’s trigger mechanism, and the impulse was delivered in an anterosuperior direction, over the posterolateral aspect of the vertebra on the right lamina-pedicle junction of C3.
2.4.3. Sham Procedure and Control
The sham manipulation was administered with the same components as the manual manipulation; however, once the barrier was engaged in the pre-manipulative position, the head was re-positioned to neutral with no thrust applied [37]. The subjects from the control group were positioned supine and they received no manual contact.
2.5. Statistical Analysis
Statistical analysis was performed using IBM SPSS statistics version 21.0 (IBM Corporation, Chicago, IL, USA). The normality of the data was tested with the Shapiro–Wilk test and all data were normally distributed. The data were expressed as mean ± standard deviation. The percentage of change in outcomes from baseline to immediately post-intervention and baseline to 15 days post-intervention was calculated as follows: (post-intervention value—baseline value)/baseline value ×100. The chi-square test was used for comparisons between groups in nominal data. One-way ANOVA was used to compare groups at baseline and the percentage of change between groups, and post hoc comparisons were performed using Bonferroni tests. A p-value of ≤0.05 was considered statistically significant.
3. Results
From the 33 subjects initially randomized, one participant did not show up for the assessments. Thus, 32 patients completed the follow-up assessments and were included in the analysis: seven subjects in the control group (seven women; 22.0 ± 2.0 years old), eight in the placebo group (eight women; 21.8 ± 0.9 years old), nine in the manual manipulation group (eight women and one man; 22.0 ± 1.3 years old), and eight in the mechanically assisted manipulation group (six women and two men; 22.4 ± 1.2 years old). The groups were similar regarding age (F(3,31) = 0.279, p = 0.840) and sex distribution (χ2 = 3.883, p = 0.274), as well as in visual analogue scale, disability (neck disability index), Patient Global Impression of Change Scale, pressure pain threshold, pain pressure perception, and tone, elasticity, and stiffness of the trapezius and biceps at baseline (Table 1).
Table 1.
Baseline comparison between groups.
3.1. Immediate Effects (Single Session)
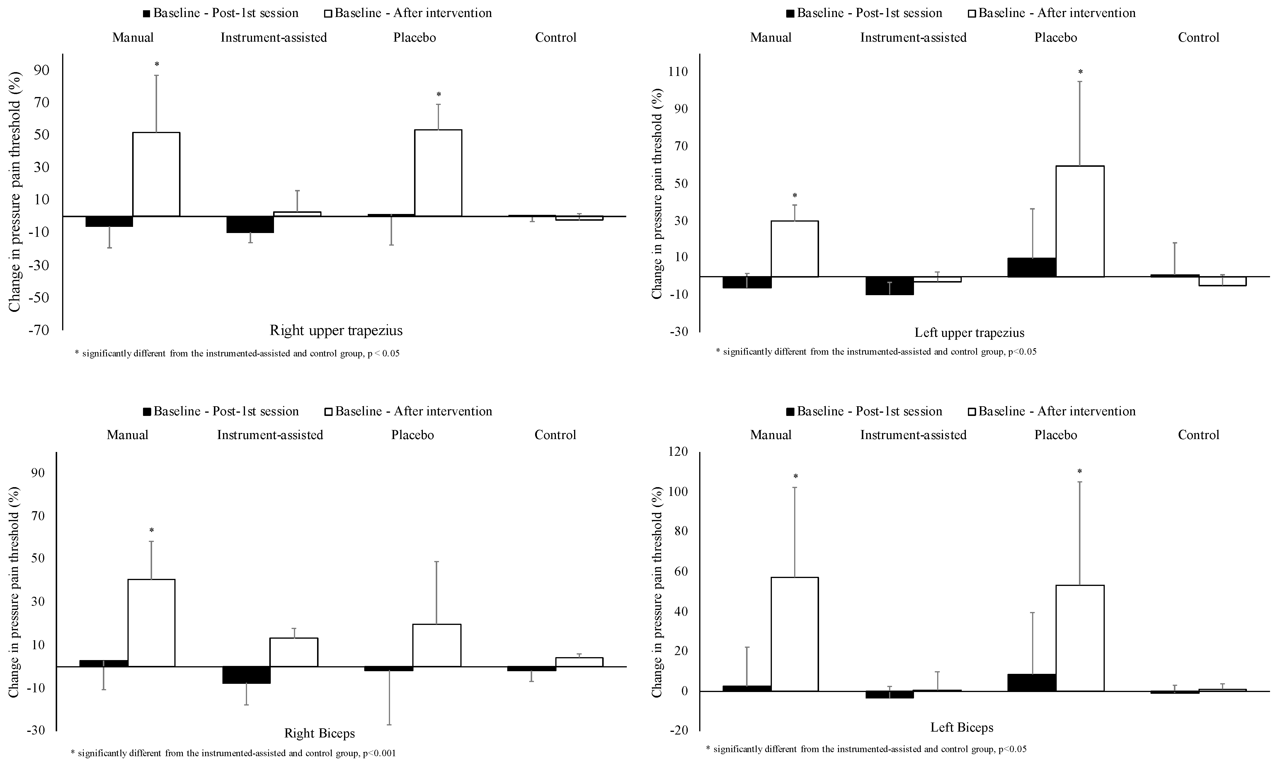
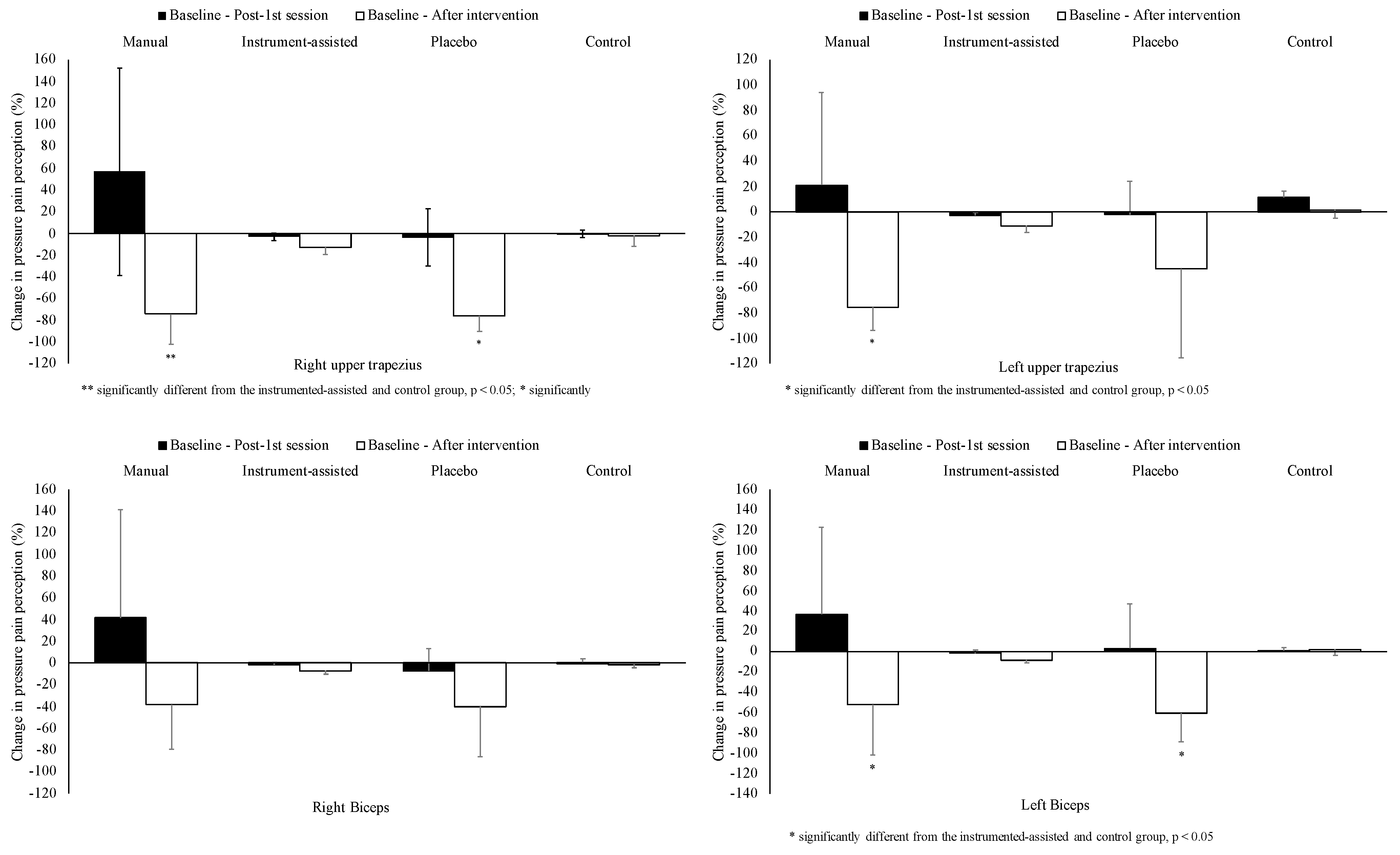
No between-group differences were observed in the percentage of changes in the visual analogue scale (Figure 2), pressure pain threshold (Figure 3), and pain pressure perception (Figure 4) immediately after the first session.
Figure 2.
Immediate (baseline—post 1st session) and mid-term (baseline—after intervention) effects of the interventions in visual analogue scale (EVA), Neck Disability Index (NDI), and Patient Global Impression of Change Scale.
Figure 3.
Immediate (baseline—post 1st session) and mid-term (baseline—after intervention) effects of the interventions in pressure pain threshold.
Figure 4.
Immediate (baseline—post 1st session) and mid-term (baseline—after intervention) effects of the interventions in pressure pain perception.
3.2. Mid-Term Effects
The percentage of change in the visual analogue scale from baseline to the last evaluation was significantly different between groups (F(3,30) = 12.073, p = 0.001); the change in the manual manipulation group was significantly higher than that in the control (mean difference (95% CI), −70.5 (−114.6 to −26.4)%, p = 0.001), instrument-assisted manipulation (mean difference (95% CI), −53.3 (−91.0 to −15.5)%, p = 0.003], and placebo (mean difference (95% CI), −42.0 (−79.8 to −4.2)%, p = 0.023) groups (Figure 2). The change in the Neck Disability Index score was statistically significantly different between groups (F(3,30) = 9.771, p = 0.001), with the change in the manual manipulation group being higher than that of the control [mean difference (95% CI), −56.2 (−90.4 to −22.0)%, p = 0.001], instrument-assisted manipulation (mean difference (95% CI), −53.4 (−86.5 to −20.4)%, p = 0.001), and placebo (mean difference (95% CI), −40.6 (−73.6 to −7.5)%, p = 0.003) groups (Figure 2).
Fifteen days after the end of the intervention, statistically significant differences between groups were also found in the Patient Global Impression of Change Scale (F(3,31) = 11.594, p < 0.001). The manual manipulation group showed a higher score than the control (mean difference (95% CI), 2.6 (1.1 to 4.0)%, p < 0.001), instrument-assisted manipulation (mean difference (95% CI), 2.2 (0.8 to 3.6)%, p = 0.001), and placebo [mean difference (95% CI), 2.2 (0.8 to 3.6)%, p = 0.001] groups (Figure 2).
Regarding pressure pain threshold (Figure 3) and pain pressure perception (Figure 4), the manual group showed significant differences to the control and instrument-assisted manipulation groups, but not to the placebo group in both the upper trapezius and biceps brachii.
No between-group differences were observed in the percentage of changes in tonus, stiffness, and elasticity in all muscles (Table 2).
Table 2.
Between-groups comparison of the percentage of change from baseline to 15 days after the third session in muscle properties.
All participants completed the study with no reports of medical problems, discomfort, or adverse reactions.
4. Discussion
Our main results indicate that a 3 week manual manipulation intervention over a pre-selected cervical level reduces pain and disability and induces a positive change in the patient’s global impression of change in young adults with nonspecific neck pain.
Our results are in agreement with previous studies showing that a multisession program with manual manipulation reduces pain and improves function in both cervical [8] and lumbar regions [15] compared with pharmacological and instrument-assisted manipulation approaches, respectively. Although the pain-relieving mechanism of spinal manipulation has not been clearly determined, it was proposed that the activation of the descending inhibitory pain mechanism might play the most important role concerning post-manipulation hypoalgesia [38]. It should be noted that in the present study, positive results in pain and disability were found with a non-specific region manipulation, suggesting that the clinical effects occur regardless of a previous assessment of tender muscles or restricted spinal levels, as is usual in clinical practice and previous research [15,34,36]. Although only evaluated at a short-term level, no differences were observed in pain intensity and pressure pain threshold between region-specific versus non-region-specific manipulation techniques in patients with chronic low back pain [14].
The results obtained at long-term level in cases of low back pain seem to also corroborate our results since no differences were obtained between prescriptively selected manipulation and a therapist-selected approach [39]. It seems that the positive results observed were not necessarily related to the “correction of the vertebral dysfunction” but may be a result of the spinal manipulation itself. If confirmed in future studies, it could challenge the concept that a specific approach to the spinal segments would explain the reductions in pain intensity that are experienced by the patients. Therefore, the act of manipulation may be more important that the level where it occurs.
The pressure pain thresholds and pressure pain perception did not change immediately after the first session, but only after three sessions, for the manual manipulation and placebo groups. The changes were present not only on the upper trapezius, but also on both biceps brachii, showing some effect over muscles metameric and also non-metameric, related to the spinal level that suffers the intervention. However, as there was no difference in pressure pain thresholds between the manual manipulation and the placebo groups, we cannot assume that the effect occurred due to the manual manipulation. The results obtained in the placebo group could probably be related to touch-induced analgesia combined with periarticular tension [40]. As our placebo technique included human touch and pre-manipulative position, which include periarticular tension, it is possible that those components explain, at least partially, the results found in this group and not in the instrument-assisted manipulation group, in which there was no human touch and the intervention was applied with the cervical in a neutral position. Moreover, outcomes may not depend wholly on the type of treatment provided but may also be influenced by individual attitudes or beliefs regarding the treatment [41]. Since both the manual manipulation and the placebo technique induced cervical motion, the participants of these groups might have been influenced by their beliefs that cervical manipulation induces analgesia. These findings contradict the assumption of therapeutic equivalence between manual and instrumented-assisted manipulation.
The results obtained regarding muscle parameters indicate that cervical manipulation did not induce any changes at the short or mid-term in tone, elasticity, or stiffness. Our results are consistent with previous studies [42], meaning that changes observed in pain and disability after the three sessions were not related to changes in muscle mechanic parameters.
Our study had some limitations that should be acknowledged. The small sample size and the lack of a previous sample-size calculation limit the generalizability of our results. Nonetheless, this study generated outcomes that can be used to determine the sample size in subsequent larger studies aiming to clearly ascertain the findings of this study. The results of this study are restricted to the immediate and mid-term, as we only had 15 days of follow-up. Future studies are needed to determine whether the positive effects on pain and disability are maintained in the long term. Additionally, a source of variability is the different postures and cervical motions used in the different study groups (e.g., while manual manipulation was applied in supine with a rotatory force, the instrument-assisted manipulation was applied with the participants positioned in prone and the cervical in a neutral position). Overall, the results of this study reaffirm the positive effects of manual manipulation recorded in previous trials and further extend understanding of the efficacy of spinal manipulation applied at a non-specific spinal level, without a previous clinical examination of motion restriction. These preliminary findings both encourage further study with these two methods of spinal manipulation, and inform the design and conduct of subsequent studies.
5. Conclusions
Three sessions of pre-selected C3/C4 manual manipulation improved pain and disability in young adults with nonspecific neck pain. We found no changes in tone, elasticity, or stiffness, so the changes in pain and disability were not related to changes in muscle mechanic parameters. The results of our study should be taken with caution until future studies with bigger sample sizes confirm these findings.
Author Contributions
Conceptualization, N.N. and F.R.; methodology, N.N., N.O.-C., A.S.P.S., R.T. and F.R.; data curation, N.N.; writing—original draft preparation, N.N.; writing—review and editing, N.N., N.O.-C., A.S.P.S., R.T. and F.R. All authors have read and agreed to the published version of the manuscript.
Funding
This work was supported by the Fundação para a Ciência e Tecnologia (FCT) through R&D Units funding (UIDB/05210/2020). The University of Aveiro Institute of Biomedicine (iBiMED; reference No. UID/BIM/04501/2020) is a research units supported by the Portuguese Foundation for Science and Technology.
Institutional Review Board Statement
This study was conducted in accordance with the Declaration of Helsinki, and was approved by the Ethics Committee of Porto Health School (ref. No. 1416/2014).
Informed Consent Statement
Informed consent was obtained from all subjects involved in the study.
Data Availability Statement
The data that support the findings of this study are available from the corresponding author upon reasonable request.
Conflicts of Interest
The authors declare no conflict of interest.
Correction Statement
This article has been republished with a minor correction to the existing affiliation information. This change does not affect the scientific content of the article.
References
- Hoving, J.L.; Gross, A.R.; Gasner, D.; Kay, T.; Kennedy, C.; Hondras, M.A.; Haines, T.; Bouter, L. A Critical Appraisal of Review Articles on the Effectiveness of Conservative Treatment for Neck Pain. Spine 2001, 26, 196–205. [Google Scholar] [CrossRef] [PubMed]
- Hoy, D.; March, L.; Woolf, A.; Blyth, F.; Brooks, P.; Smith, E.; Vos, T.; Barendregt, J.; Blore, J.; Murray, C.; et al. The global burden of neck pain: Estimates from the Global Burden of Disease 2010 study. Ann. Rheum. Dis. 2014, 73, 1309–1315. [Google Scholar] [CrossRef] [PubMed]
- Hurwitz, E.L.; Randhawa, K.; Yu, H.; Côté, P.; Haldeman, S. The Global Spine Care Initiative: A summary of the global burden of low back and neck pain studies. Eur. Spine J. 2018, 27, 796–801. [Google Scholar] [CrossRef] [PubMed]
- Leininger, B.; McDonough, C.; Evans, R.; Tosteson, T.; Tosteson, A.N.A.; Bronfort, G. Cost-effectiveness of spinal manipulative therapy, supervised exercise, and home exercise for older adults with chronic neck pain. Spine J. 2016, 16, 1292–1304. [Google Scholar] [CrossRef]
- Gross, A.; Langevin, P.; Burnie, S.J.; Bédard-Brochu, M.-S.; Empey, B.; Dugas, E.; Faber-Dobrescu, M.; Andres, C.; Graham, N.; Goldsmith, C.H.; et al. Manipulation and mobilisation for neck pain contrasted against an inactive control or another active treatment. Cochrane Database Syst. Rev. 2015, CD004249. [Google Scholar] [CrossRef] [PubMed]
- Blanpied, P.R.; Gross, A.R.; Elliott, J.M.; Teyhen, D.S.; Wainner, R.S.; Whitman, J.M.; Sopky, B.J.; Godges, J.J.; Flynn, T.W.; American Physical Therapy Association. Neck pain: Revision 2017: Clinical practice guidelines linked to the international classification of functioning, disability and health from the orthopaedic section of the American Physical Therapy Association. J. Orthop. Sport. Phys. Ther. 2017, 47, A1–A83. [Google Scholar] [CrossRef]
- Herzog, W. The Biomechanics of Spinal Manipulation. J. Bodyw. Mov. Ther. 2010, 14, 280–286. [Google Scholar] [CrossRef]
- Bronfort, G.; Evans, R.; Anderson, A.V.; Svendsen, K.H.; Bracha, Y.; Grimm, R.H. Spinal manipulation, medication, or home exercise with advice for acute and subacute neck pain: A randomized trial. Ann. Intern. Med. 2012, 156, 1–10. [Google Scholar] [CrossRef]
- Hurwitz, E.L. Epidemiology: Spinal manipulation utilization. J. Electromyogr. Kinesiol. 2012, 22, 648–654. [Google Scholar] [CrossRef]
- Leaver, A.M.; Refshauge, K.; Maher, C.; McAuley, J. Conservative interventions provide short-term relief for non-specific neck pain: A systematic review. J. Physiother. 2010, 56, 73–85. [Google Scholar] [CrossRef]
- Coronado, R.A.; Bialosky, J.E.; Cook, C.E. The temporal effects of a single session of high-velocity, low-amplitude thrust manipulation on subjects with spinal pain. Phys. Ther. Rev. 2010, 15, 29–35. [Google Scholar] [CrossRef]
- Coronado, R.A.; Gay, C.W.; Bialosky, J.E.; Carnaby, G.D.; Bishop, M.D.; George, S.Z. Changes in pain sensitivity following spinal manipulation: A systematic review and meta-analysis. J. Electromyogr. Kinesiol. 2012, 22, 752–767. [Google Scholar] [CrossRef]
- De Camargo, V.M.; Alburquerque-Sendín, F.; Bérzin, F.; Stefanelli, V.C.; de Souza, D.P.R.; Fernández-de-las-Peñas, C. Immediate effects on electromyographic activity and pressure pain thresholds after a cervical manipulation in mechanical neck pain: A randomized controlled trial. J. Manip. Physiol. Ther. 2011, 34, 211–220. [Google Scholar] [CrossRef]
- de Oliveira, R.F.; Liebano, R.E.; Costa, L.d.C.M.; Rissato, L.L.; Costa, L.O.P. Immediate Effects of Region-Specific and Non–Region-Specific Spinal Manipulative Therapy in Patients With Chronic Low Back Pain: A Randomized Controlled Trial. Phys. Ther. 2013, 93, 748–756. [Google Scholar] [CrossRef] [PubMed]
- Schneider, M.; Haas, M.; Glick, R.; Stevans, J.; Landsittel, D. A comparison of spinal manipulation methods and usual medical care for acute and Sub-acute low back pain: A randomized clinical trial. Spine 2015, 40, 209. [Google Scholar] [CrossRef]
- Huggins, T.; Boras, A.L.; Gleberzon, B.J.; Popescu, M.; A Bahry, L. Clinical effectiveness of the activator adjusting instrument in the management of musculoskeletal disorders: A systematic review of the literature. J. Can. Chiropr. Assoc. 2012, 56, 49–57. [Google Scholar] [PubMed]
- Hutting, N.; Kerry, R.; Coppieters, M.W.; Scholten-Peeters, G.G. Considerations to improve the safety of cervical spine manual therapy. Musculoskelet. Sci. Pract. 2018, 33, 41–45. [Google Scholar] [CrossRef]
- McCarthy, M.J.H.; Grevitt, M.P.; Silcocks, P.; Hobbs, G. The reliability of the Vernon and Mior neck disability index, and its validity compared with the short form-36 health survey questionnaire. Eur. Spine J. 2007, 16, 2111–2117. [Google Scholar] [CrossRef]
- Vernon, H. The Neck Disability Index: State-of-the-art. J. Manip. Physiol. Ther. 2008, 31, 491–502. [Google Scholar] [CrossRef] [PubMed]
- Wainner, R.S.; Fritz, J.M.; Irrgang, J.J.; Boninger, M.; Delitto, A.; Allison, S. Reliability and Diagnostic Accuracy of the Clinical Examination and Patient Self-Report Measures for Cervical Radiculopathy. Spine 2003, 28, 52–62. [Google Scholar] [CrossRef]
- Cleland, J.A.; Childs, J.D.; Whitman, J.M. Psychometric Properties of the Neck Disability Index and Numeric Pain Rating Scale in Patients With Mechanical Neck Pain. Arch. Phys. Med. Rehabil. 2008, 89, 69–74. [Google Scholar] [CrossRef]
- MacDermid, J.C.; Walton, D.M.; Avery, S.; Blanchard, A.; Etruw, E.; McAlpine, C.; Goldsmith, C.H. Measurement Properties of the Neck Disability Index: A Systematic Review. J. Orthop. Sports Phys. Ther. 2009, 39, 400–417. [Google Scholar] [CrossRef] [PubMed]
- Viir, R.; Laiho, K.; Kramarenko, J.; Mikkelsson, M. Repeatability of Trapezius Muscle Tone Assessment by a Myometric Method. J. Mech. Med. Biol. 2006, 6, 215–228. [Google Scholar] [CrossRef]
- Agyapong-Badu, S.; Aird, L.; Bailey, L.; Mooney, K.; Mullix, J.; Warner, M.; Samuel, D.; Stokes, M. Interrater reliability of muscle tone, stiffness and elasticity meas-urements of rectus femoris and bi-ceps brachii in healthy young and older males. Work. Pap. Health Sci. 2013, 1, 4. [Google Scholar]
- Liu, C.; Feng, Y.; Zhang, H.; Li, Y.; Zhu, Y.; Zhang, Z. Assessing the viscoelastic properties of upper trapezius muscle: Intra- and inter-tester reliability and the effect of shoulder elevation. J. Electromyogr. Kinesiol. 2018, 43, 226–229. [Google Scholar] [CrossRef]
- Bailey, L.; Samuel, D.; Warner, M.; Stokes, M. Parameters representing muscle tone, elasticity and stiffness of biceps brachii in healthy older males: Symmetry and within-session reliability using the MyotonPRO. J. Neurol. Disord. 2013, 1, 1–7. [Google Scholar] [CrossRef]
- Lauche, R.; Langhorst, J.; Dobos, G.J.; Cramer, H. Clinically meaningful differences in pain, disability and quality of life for chronic nonspecific neck pain–a reanalysis of 4 randomized controlled trials of cupping therapy. Complement. Ther. Med. 2013, 21, 342–347. [Google Scholar] [CrossRef]
- Chesterton, L.S.; Sim, J.; Wright, C.C.; Foster, N.E. Interrater Reliability of Algometry in Measuring Pressure Pain Thresholds in Healthy Humans, Using Multiple Raters. Clin. J. Pain 2007, 23, 760–766. [Google Scholar] [CrossRef]
- Thomson, O.; Haig, L.; Mansfield, H. The effects of high-velocity low-amplitude thrust manipulation and mobi-lisation techniques on pressure pain threshold in the lumbar spine. Int. J. Osteopath. Med. 2009, 12, 56–62. [Google Scholar] [CrossRef]
- Oliveira-Campelo, N.M.; de Melo, C.A.; Alburquerque-Sendin, F.; Machado, J.P. Short- and medium-term effects of manual therapy on cervical active range of motion and pressure pain sensitivity in latent myofascial pain of the upper trapezius muscle: A randomized controlled trial. J. Manip. Physiol. Ther. 2013, 36, 300–309. [Google Scholar] [CrossRef]
- Puentedura, E.J.; Landers, M.R.; Cleland, J.A.; Mintken, P.; Huijbregts, P.; Fernandez-De-Las-Peñas, C. Thoracic Spine Thrust Manipulation Versus Cervical Spine Thrust Manipulation in Patients With Acute Neck Pain: A Randomized Clinical Trial. J. Orthop. Sport. Phys. Ther. 2011, 41, 208–220. [Google Scholar] [CrossRef]
- Saayman, L.; Hay, C.; Abrahamse, H. Chiropractic Manipulative Therapy and Low-Level Laser Therapy in the Management of Cervical Facet Dysfunction: A Randomized Controlled Study. J. Manip. Physiol. Ther. 2011, 34, 153–163. [Google Scholar] [CrossRef] [PubMed]
- Gadotti, I.; Magee, D. Validity of surface markers placement on the cervical spine for craniocervical posture assessment. Man. Ther. 2013, 18, 243–247. [Google Scholar] [CrossRef] [PubMed]
- Fernández-Carnero, J.; Cleland, J.A.; Arbizu, R.L.T. Examination of Motor and Hypoalgesic Effects of Cervical vs. Thoracic Spine Manipulation in Patients With Lateral Epicondylalgia: A Clinical Trial. J. Manip. Physiol. Ther. 2011, 34, 432–440. [Google Scholar] [CrossRef]
- Dunning, J.R.; Cleland, J.A.; Waldrop, M.A.; Arnot, C.F.; Young, I.A.; Turner, M.; Sigurdsson, G. Upper cervical and upper thoracic thrust manipulation versus nonthrust mobilization in patients with mechanical neck pain: A multicenter randomized clinical trial. J. Orthop. Sports Phys. Ther. 2012, 42, 5–18. [Google Scholar] [CrossRef]
- Gorrell, L.M.; Beath, K.; Engel, R.M. Manual and Instrument Applied Cervical Manipulation for Mechanical Neck Pain: A Randomized Controlled Trial. J. Manip. Physiol. Ther. 2016, 39, 319–329. [Google Scholar] [CrossRef] [PubMed]
- Dunning, J.; Rushton, A. The effects of cervical high-velocity low-amplitude thrust manipulation on resting electromyographic activity of the biceps brachii muscle. Man. Ther. 2009, 14, 508–513. [Google Scholar] [CrossRef] [PubMed]
- Savva, C.; Giakas, G.; Efstathiou, M. The role of the descending inhibitory pain mechanism in musculoskeletal pain following high-velocity, low amplitude thrust manipulation. A review of the literature. J. Back Musculoskelet. Rehabil. 2014, 27, 377–382. [Google Scholar] [CrossRef] [PubMed]
- Donaldson, M.; Petersen, S.; Cook, C.; Learman, K. A prescriptively selected nonthrust manipulation versus a thera-pist-selected nonthrust manipulation for treatment of individuals with low back pain: A randomized clinical trial. J. Orthop. Sport. Phys. Ther. 2016, 46, 243–250. [Google Scholar] [CrossRef]
- Mancini, F.; Nash, T.; Iannetti, G.D.; Haggard, P. Pain relief by touch: A quantitative approach. Pain 2014, 155, 635–642. [Google Scholar] [CrossRef]
- Diener, I.; Kargela, M.; Louw, A. Listening is therapy: Patient interviewing from a pain science perspective. Physiother. Theory Pract. 2016, 32, 356–367. [Google Scholar] [CrossRef] [PubMed]
- Lehman, G. Kinesiological research: The use of surface electromyography for assessing the effects of spinal manipulation. J. Electromyogr. Kinesiol. 2012, 22, 692–696. [Google Scholar] [CrossRef] [PubMed]
Disclaimer/Publisher’s Note: The statements, opinions and data contained in all publications are solely those of the individual author(s) and contributor(s) and not of MDPI and/or the editor(s). MDPI and/or the editor(s) disclaim responsibility for any injury to people or property resulting from any ideas, methods, instructions or products referred to in the content. |
© 2023 by the authors. Licensee MDPI, Basel, Switzerland. This article is an open access article distributed under the terms and conditions of the Creative Commons Attribution (CC BY) license (https://creativecommons.org/licenses/by/4.0/).



