Electron Beam Characterization of REBCO-Coated Conductors at Cryogenic Conditions
Abstract
1. Introduction

2. Material and Methods
2.1. Samples Preparation
2.2. Sample Analysis
2.2.1. Surface Morphology Imaging via SEM
2.2.2. Composition Analysis via EDS
2.2.3. Composition Analysis via XPS
2.3. Experimental Techniques
2.3.1. Experimental Setup
2.3.2. SEY Measurement
2.3.3. ESD Measurement
2.4. Measurement Procedure
3. Results and Discussion
3.1. Secondary Electron Yield

3.2. Electron Stimulated Desorption
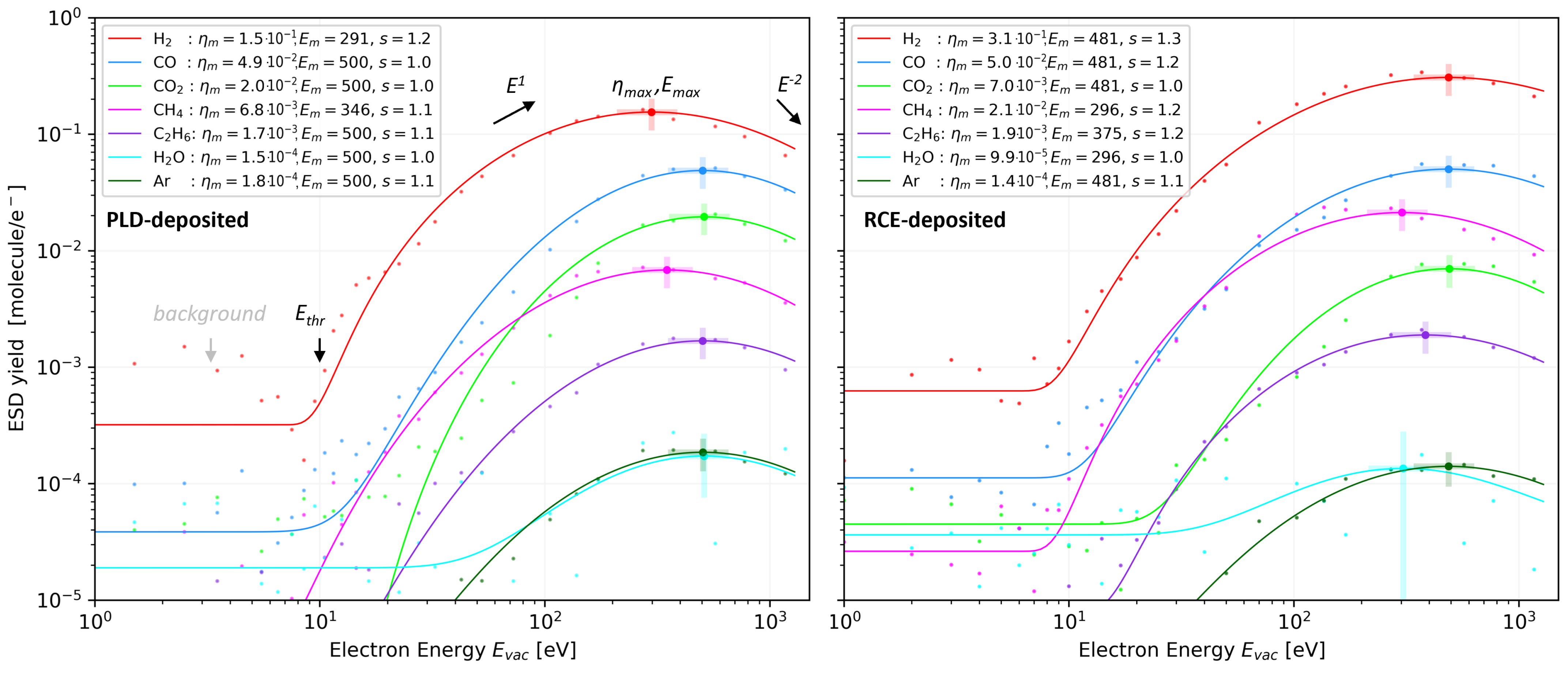
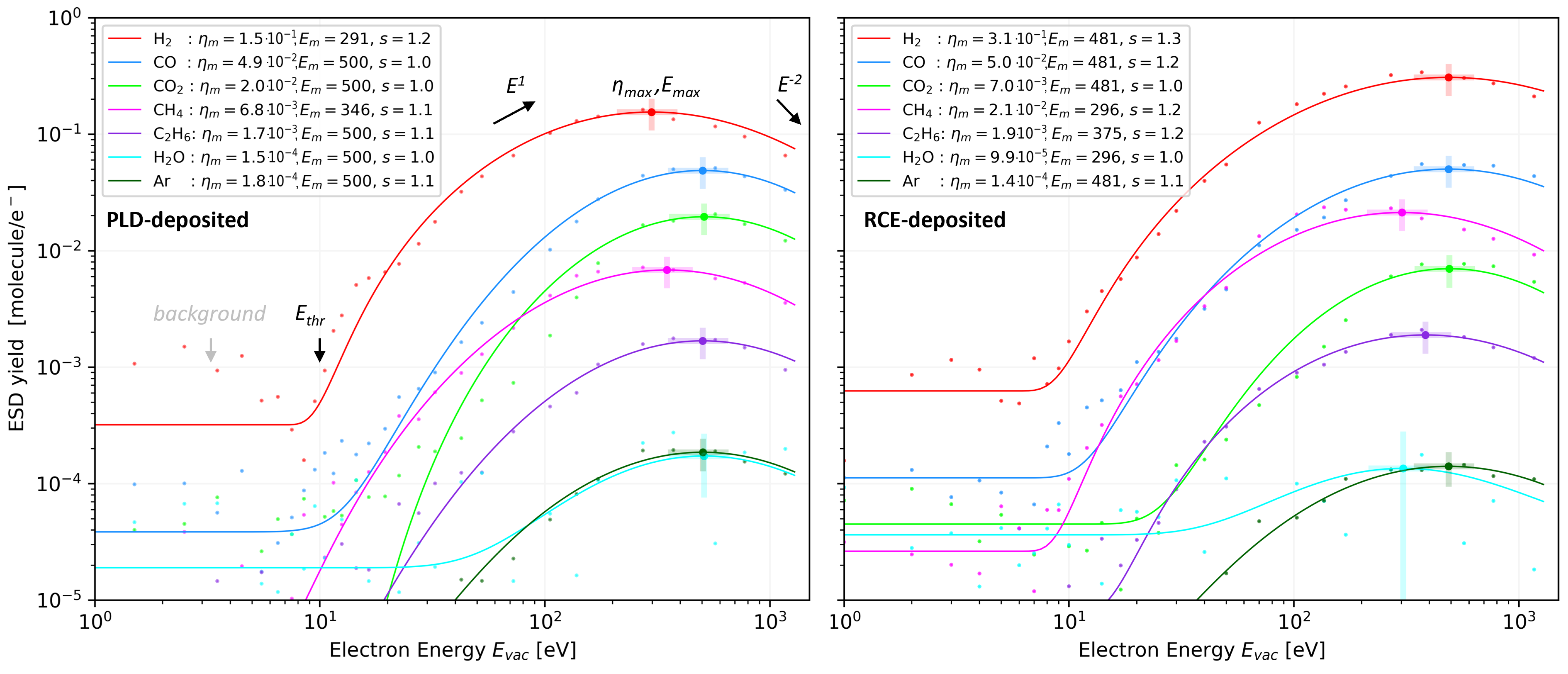
3.2.1. Energy Dependence
3.2.2. Dose Dependence
4. Summary and Conclusions
Author Contributions
Funding
Data Availability Statement
Acknowledgments
Conflicts of Interest
Abbreviations
| BS | Beam Screen |
| CC | Coated Conductor |
| EC | Electron Cloud |
| EDS | Energy Dispersive X-ray Spectroscopy |
| ESD | Electron Stimulated Desorption |
| FE-SEM | Field-Emission SEM |
| HTS | High Temperature Superconductor |
| LTS | Low Temperature Superconductor |
| LHC | Large Hadron Collider |
| PLD | Pulsed Laser Deposition |
| QMS | Quadrupolar Mass Spectrometer |
| RCE-DR | Reactive Co-Evaporation by Deposition and Reaction |
| REBCO | Rare-Earth Barium Copper Oxide |
| RF | Radio Frequency |
| SEM | Secondary Electron Microscope |
| SEY | Secondary Electron Yield |
| SNR | Signal to Noise Ratio |
| UHV | Ultra-High Vacuum |
| XPS | X-ray Photoelectron Spectroscopy |
References
- Bednorz, J.; Müller, K. Possible high Tc superconductivity in the Ba-La-Cu-O system. Z. Phys. B Condens. Matter 1986, 64, 189–193. [Google Scholar] [CrossRef]
- Newman, N.; Lyons, W. High-temperature superconducting microwave devices: Fundamental issues in materials, physics, and engineering. J. Supercond. 1993, 6, 119–160. [Google Scholar] [CrossRef]
- Rossi, L.; Senatore, C. HTS Accelerator Magnet and Conductor Development in Europe. Instruments 2021, 5, 8. [Google Scholar] [CrossRef]
- Wang, X.; Yahia, A.; Bosque, E.; Ferracin, P.; Gourlay, S.; Gupta, R.; Higley, H.; Kashikhin, V.; Kumar, M.; Lombardo, V.; et al. REBCO–A Silver Bullet for Our Next High-Field Magnet and Collider Budget? arXiv 2022, arXiv:2203.08736. [Google Scholar]
- Hein, M. High-Temperature-Superconductor Thin Films at Microwave Frequencies; Wiley-VCH Verlag GmbH & Co. KGaA: Weinheim, Germany, 1999. [Google Scholar] [CrossRef]
- Larbalestier, D.; Gurevich, A.; Feldmann, D.M.; Polyanskii, A. High-TC superconducting materials for electric power applications. Nature 2001, 414, 368–377. [Google Scholar] [CrossRef]
- Golm, J.; Arguedas Cuendis, S.; Calatroni, S.; Cogollos, C.; Döbrich, B.; Gallego, J.; García Barceló, J.; Granados, X.; Gutierrez, J.; Irastorza, I.; et al. Thin Film (High Temperature) Superconducting Radiofrequency Cavities for the Search of Axion Dark Matter. IEEE Trans. Appl. Supercond. 2022, 32, 1–5. [Google Scholar] [CrossRef]
- Van Nugteren, J. High Temperature Superconductor Accelerator Magnets. Ph.D. Thesis, University of Twente, Enschede, The Netherlands, 2016. [Google Scholar]
- Metral, E. Beam Screen Issues. arXiv 2011, arXiv:1108.1643. Comments: 7 pages, Contribution to the EuCARD-AccNet-EuroLumi Workshop: The High-Energy Large Hadron Collider, Malta, 14–16 October 2010; CERN Yellow Report CERN-2011-003, pp. 83–89. [Google Scholar]
- Benedikt, M.; Khachatryan, V.; Sirunyan, A.; Tumasyan, A.; Adam, W.; Aguilo, E.; Bergauer, T.; Dragicevic, M.; Erö, J.; Fabjan, C.; et al. FCC-hh: The Hadron Collider. Eur. Phys. J. Spec. Top. 2019, 228, 755–1107. [Google Scholar] [CrossRef]
- Metral, E. Wake field, impedance and collective instability. J. Instrum. 2021, 16, P10009. [Google Scholar] [CrossRef]
- Skripka, G.; Iadarola, G. Beam-Induced Heat Loads on the Beam Screens of the HL-LHC Arcs. 2019. Available online: https://cds.cern.ch/record/2692753/files/CERN-ACC-2019-0041.pdf (accessed on 17 February 2023).
- Cimino, R.; Demma, T. Electron cloud in accelerators. Int. J. Mod. Phys. A 2014, 29. [Google Scholar] [CrossRef]
- Romano, A.; Boine-Frankenheim, O.; Buffat, X.; Iadarola, G.; Rumolo, G. Electron cloud buildup driving spontaneous vertical instabilities of stored beams in the Large Hadron Collider. Phys. Rev. Accel. Beams 2018, 21, 061002. [Google Scholar] [CrossRef]
- Buratin, E. Electron Cloud and Synchrotron Radiation Characterizations of Technical Surfaces with the Large Hadron Collider Vacuum Pilot Sector. Ph.D. Thesis, École Polytechnique Fédérale de Lausanne, Lausanne, Switzerland, 2020. [Google Scholar]
- Iadarola, G.; Rumolo, G. Electron cloud in the CERN accelerators (PS, SPS, LHC). AIP Conf. Proc. C 2013, 1206051, 19–26. [Google Scholar] [CrossRef]
- Zhang, S.Y. eRHIC Beam Scrubbing; Brookhaven National Lab. (BNL): Long Island, NY, USA, 2017. [Google Scholar] [CrossRef]
- Graves, T.P.; Wukitch, S.J.; LaBombard, B.; Hutchinson, I.H. Effect of multipactor discharge on Alcator C-Mod ion cyclotron range of frequency heating. J. Vac. Sci. Technol. A 2006, 24, 512–516. [Google Scholar] [CrossRef]
- Hillairet, J.; Goniche, M.; Fil, N.; Belhaj, M.; Puech, J. Multipactor in High Power Radio-Frequency Systems for Nuclear Fusion. arXiv 2017, arXiv:1710.03629. [Google Scholar]
- Vincent, B. The LHC vacuum system: Commissioning up to nominal luminosity. Vacuum 2017, 138, 112–119. [Google Scholar] [CrossRef]
- Iadarola, G. Electron Cloud Studies for CERN Particle Accelerators and Simulation Code Development. Ph.D. Thesis, Universita degli Studi di Napoli Federico II, Naples, Italy, 2014. [Google Scholar]
- Papke, K.; Carvalho, A.A.; Zanoni, C.; Grudiev, A. Design studies of a compact superconducting RF crab cavity for future colliders using Nb/Cu technology. Phys. Rev. Accel. Beams 2019, 22, 072001. [Google Scholar] [CrossRef]
- Bruning, O.; Caspers, F.; Collins, I.; Grobner, O.; Henrist, B.; Hilleret, N.; Laurent, J.M.; Morvillo, M.; Pivi, M.; Ruggiero, F.; et al. Electron Cloud and Beam Scrubbing in the LHC. In Proceedings of the 1999 Particle Accelerator Conference (Cat. No.99CH36366), New York, NY, USA, 27 March–2 April 1999; Volume 4, pp. 2629–2631. [Google Scholar] [CrossRef]
- Shiltsev, V.; Zimmermann, F. Modern and future colliders. Rev. Mod. Phys. 2021, 93, 015006. [Google Scholar] [CrossRef]
- Tang, J. Design Concept for a Future Super Proton-Proton Collider. Front. Phys. 2022, 10, 828878. [Google Scholar] [CrossRef]
- Puig, T.; Krkotić, P.; Romanov, A.; O’Callaghan, J.; Zanin, D.A.; Neupert, H.; Pinto, P.C.; Demolon, P.; Costa, A.G.; Taborelli, M.; et al. Coated conductor technology for the beamscreen chamber of future high energy circular colliders. Supercond. Sci. Technol. 2019, 32, 094006. [Google Scholar] [CrossRef]
- Romanov, A.; Krkotić, P.; Telles, G.e.a. High frequency response of thick REBCO coated conductors in the framework of the FCC study. Sci. Rep. 2020, 10, 12325. [Google Scholar] [CrossRef] [PubMed]
- Krkotić, P.; Romanov, A.; Tagdulang, N.; Telles, G.; Puig, T.; Gutierrez, J.; Granados, X.; Calatroni, S.; Perez, F.; Pont, M.; et al. Evaluation of the nonlinear surface resistance of REBCO coated conductors for their use in the FCC-hh beam screen. Supercond. Sci. Technol. 2022, 35, 025015. [Google Scholar] [CrossRef]
- Krkotić, P.; Tagdulang, N.D.; Calatroni, S.; O’Callaghan, J.M.; Pont, M. Potential impedance reduction by REBCO-coated conductors as beam screen coating for the Future Circular Hadron Collider. Europhys. Lett. 2022, 140, 64001. [Google Scholar] [CrossRef]
- MacManus-Driscoll, J.L.; Wimbush, S.C. Processing and application of high-temperature superconducting coated conductors. Nat. Rev. Mater. 2021, 6, 587–604. [Google Scholar] [CrossRef]
- Lee, J.H.; Lee, H.; Lee, J.W.; Choi, S.M.; Yoo, S.I.; Moon, S.H. RCE-DR, a novel process for coated conductor fabrication with high performance. Supercond. Sci. Technol. 2014, 27, 044018. [Google Scholar] [CrossRef]
- Samoilenkov, S.; Molodyk, A.; Lee, S.; Petrykin, V.; Kalitka, V.; Martynova, I.; Makarevich, A.; Markelov, A.; Moyzykh, M.; Blednov, A. Customised 2G HTS wire for applications. Supercond. Sci. Technol. 2015, 29, 024001. [Google Scholar] [CrossRef]
- Seiler, H. Secondary electron emission in the scanning electron microscope. J. Appl. Phys. 1983, 54, R1–R18. [Google Scholar] [CrossRef]
- Petit, V.; Taborelli, M.; Zanin, D.A.; Himmerlich, M.; Neupert, H.; Chiggiato, P.; Iadarola, G. Beam-induced surface modifications as a critical source of heat loads in the Large Hadron Collider. Commun. Phys. 2021, 4, 1–10. [Google Scholar] [CrossRef]
- Koenig, M.; Grant, J. XPS studies of the chemical state of Ba on the surface of impregnated tungsten dispenser cathodes. Appl. Surf. Sci. 1985, 20, 481–496. [Google Scholar] [CrossRef]
- Haubner, M.; Baglin, V.; Henrist, B. Collector-based measurement of gas desorption and secondary electron emission induced by 0–1.4 keV electrons from LHC-grade copper at 15 K. Nucl. Instrum. Methods Phys. Res. Sect. B Beam Interact. Mater. Atoms 2022, 531, 34–43. [Google Scholar] [CrossRef]
- Haubner, M.; Baglin, V.; Henrist, B. Electron conditioning of technical surfaces at cryogenic and room temperature in the 0–1 keV energy range. Vacuum 2023, 207, 111656. [Google Scholar] [CrossRef]
- Cimino, R.; Commisso, M.; Grosso, D.R.; Demma, T.; Baglin, V.; Flammini, R.; Larciprete, R. Nature of the Decrease of the Secondary-Electron Yield by Electron Bombardment and its Energy Dependence. Phys. Rev. Lett. 2012, 109, 064801. [Google Scholar] [CrossRef] [PubMed]
- Nishiwaki, M.; Kato, S. Electron stimulated gas desorption from copper material and its surface analysis. Appl. Surf. Sci. 2001, 169–170, 700–705. [Google Scholar] [CrossRef]
- Scheuerlein, C.; Taborelli, M.; Hilleret, N.; Brown, A.; Baker, M. An AES study of the room temperature conditioning of technological metal surfaces by electron irradiation. Appl. Surf. Sci. 2002, 202, 57–67. [Google Scholar] [CrossRef]
- Leveratto, A.; Saba, A.; Kagerbauer, S.; Himmerlich, M.; Henrist, B.; Fernandez-Pena, S.; Moros, A.; Bernardi, J.; Eisterer, M.; Bernini, C.; et al. Future Circular Collider beam screen: Progress on Tl-1223 HTS coating. Supercond. Sci. Technol. 2020, 33, 054004. [Google Scholar] [CrossRef]
- Savitzky, A.; Golay, M.J.E. Smoothing and Differentiation of Data by Simplified Least Squares Procedures. Anal. Chem. 1964, 36, 1627–1639. [Google Scholar] [CrossRef]
- Furman, M.A.; Pivi, M.T.F. Probabilistic model for the simulation of secondary electron emission. Phys. Rev. ST Accel. Beams 2002, 5, 124404. [Google Scholar] [CrossRef]
- Tavkhelidze, A. Possible mechanism of Cooper pairing in HTS cuprates. arXiv 2008, arXiv:0807.0889. [Google Scholar]
- Krkotić, P. Evaluation of the Surface Impedance of ReBCO Coated Conductors and Requirements for Their Use as Beam Screen Materials for the FCC-hh. Ph.D. Thesis, Universitat Politecnica de Catalunya, Barcelona, Spain, 2022. [Google Scholar] [CrossRef]
- Wulff, E.; Iadarola, G. Implementation and Benchmarking of the Furman-Pivi Model for Secondary Electron Emission in the PyECLOUD Simulation Code; Technical report; CERN: Geneva, Switzerland, 2019. [Google Scholar]
- Cimino, R.; Collins, I.R.; Furman, M.A.; Pivi, M.; Ruggiero, F.; Rumolo, G.; Zimmermann, F. Can low energy electrons affect high energy physics accelerators? Phys. Rev. Lett. 2004, 93, 014801. [Google Scholar] [CrossRef]
- Kennedy, K. Electron Stimulated Desorption Rates from Candidate Vacuum Chamber Surfaces; Lawrence Berkeley National Lab. (LBNL): Berkeley, CA, USA, 1986. [Google Scholar] [CrossRef]
- Malyshev, O. Vacuum in Particle Accelerators: Modelling, Design and Operation of Beam Vacuum Systems; John Wiley and Sons: Hoboken, NJ, USA, 2020. [Google Scholar] [CrossRef]
- Billard, F.; Hilleret, N.; Vorlaufer, G. Some Results on the Electron Induced Desorption Yield of OFHC Copper; Technical report; CERN: Geneva, Switzerland, 2000. [Google Scholar] [CrossRef]
- Suzuki, K.; Kobayashi, S.; Katsube, T. Cross sections of electron stimulated desorption under technical vaccum conditions and 1 to 3 keV electron energies. Appl. Surf. Sci. 1988, 33–34, 325–334. [Google Scholar] [CrossRef]
- Gomez-Goni, J.; Mathewson, A. Temperature dependence of the electron induced gas desorption yields on stainless steel, copper, and aluminum. J. Vac. Sci. Technol. Vacuum Surfaces Film. 1997, 15, 3093. [Google Scholar] [CrossRef]
- Achard, M.H. Desorption des Gaz Induite par des Electrons et des Ions de l’Acier Inoxydable, du Cuivre OFHC, du Titane et de l’Aluminium Purs; Technical report; CERN: Geneva, Switzerland, 1976. [Google Scholar]
- Dulieu, F. Physical and chemical processes at Cryogenic Surfaces: A lesson from the Space. In Proceedings of the ECLOUD’22 and GWDVAC’22 Workshops, Portoferraio, Italy, 25–30 September 2022. [Google Scholar]
- Baglin, V.; Lebrun, P.; Tavian, L.; van Weelderen, R. Cryogenic Beam Screens for High-Energy Particle Accelerators; Technical report; CERN: Geneva, Switzerland, 2013. [Google Scholar]
- Collins, I.R.; Malyshev, O.B. Dynamic Gas Density in the LHC Interaction Regions 1 and 5 and 2 and 8 for Optics Version 6.3; Technical report; CERN: Geneva, Switzerland, 2001. [Google Scholar]
- Baglin, V.; Collins, I.R.; Grobner, O.; Grunhagel, C.; Jenninger, B. Molecular desorption by synchrotron radiation and sticking coefficient at cryogenic temperatures for H2, CH4, CO and CO2. Vacuum 2002, 67, 421–428. [Google Scholar] [CrossRef]
- Andritschky, M.; Grobner, O.; Mathewson, A.; Schumann, F.; Strubin, P.; Souchet, R. Synchrotron radiation induced neutral gas desorption from samples of vacuum chambers. Vacuum 1988, 38, 933–936. [Google Scholar] [CrossRef]



| Sample | C | O | Cu | Ba | Gd |
|---|---|---|---|---|---|
| PLD–deposited: precipitate | 4.5 | 13.0 | 21.0 | 33.5 | 28.0 |
| PLD–deposited: Gd–Ba–Cu–O film | 5.7 | 13.2 | 21.0 | 33.3 | 26.8 |
| RCE–deposited: precipitate | 6.6 | 17.4 | 62.0 | 9.4 | 4.6 |
| RCE–deposited: Gd–Ba-Cu–O film | 4.4 | 13.1 | 19.1 | 29.2 | 34.2 |
| Sample | C | O | Cu | Ba | Gd | N | Ag | Si |
|---|---|---|---|---|---|---|---|---|
| PLD–deposited: | 33.2 | 42.7 | 2.8 | 8.0 | 0.9 | 2.1 | 1.2 | 0.0 |
| RCE–deposited: | 49.3 | 36.3 | 1.7 | 1.9 | 0.4 | 1.4 | 0.0 | 5.3 |
Disclaimer/Publisher’s Note: The statements, opinions and data contained in all publications are solely those of the individual author(s) and contributor(s) and not of MDPI and/or the editor(s). MDPI and/or the editor(s) disclaim responsibility for any injury to people or property resulting from any ideas, methods, instructions or products referred to in the content. |
© 2023 by the authors. Licensee MDPI, Basel, Switzerland. This article is an open access article distributed under the terms and conditions of the Creative Commons Attribution (CC BY) license (https://creativecommons.org/licenses/by/4.0/).
Share and Cite
Haubner, M.; Krkotić, P.; Serafim, C.; Petit, V.; Baglin, V.; Calatroni, S.; Henrist, B.; Romanov, A.; Puig, T.; Gutierrez, J. Electron Beam Characterization of REBCO-Coated Conductors at Cryogenic Conditions. Appl. Sci. 2023, 13, 2765. https://doi.org/10.3390/app13052765
Haubner M, Krkotić P, Serafim C, Petit V, Baglin V, Calatroni S, Henrist B, Romanov A, Puig T, Gutierrez J. Electron Beam Characterization of REBCO-Coated Conductors at Cryogenic Conditions. Applied Sciences. 2023; 13(5):2765. https://doi.org/10.3390/app13052765
Chicago/Turabian StyleHaubner, Michal, Patrick Krkotić, Catarina Serafim, Valentine Petit, Vincent Baglin, Sergio Calatroni, Bernard Henrist, Artur Romanov, Teresa Puig, and Joffre Gutierrez. 2023. "Electron Beam Characterization of REBCO-Coated Conductors at Cryogenic Conditions" Applied Sciences 13, no. 5: 2765. https://doi.org/10.3390/app13052765
APA StyleHaubner, M., Krkotić, P., Serafim, C., Petit, V., Baglin, V., Calatroni, S., Henrist, B., Romanov, A., Puig, T., & Gutierrez, J. (2023). Electron Beam Characterization of REBCO-Coated Conductors at Cryogenic Conditions. Applied Sciences, 13(5), 2765. https://doi.org/10.3390/app13052765

