Deep Learning-Based Network Intrusion Detection Using Multiple Image Transformers
Abstract
1. Introduction
- (1)
- It enables NIDS development that can provide optimal detection performance by affording guidelines for applying image DL models to NIDS through a comprehensive analysis of various dimension reduction algorithms and classification performance.
- (2)
- The classification performance of NIDS can be maximized, enabling accurate intrusion detection by devising a method for converting non-image-based NIDS datasets into 2D images that are optimized for image DL models.
2. Related Work
2.1. Threshold/Pattern-Matching-Based NIDS
2.2. Early ML-Based NIDS
2.3. Advance DL-Based NIDS
- -
- The NIDS dataset has an extremely small feature size compared with the image dataset.
- -
- Image data are represented as a dense matrix, but NIDS data are represented as a sparse one.
- -
- The data in the image dataset consist only of the same data called pixels, whereas the NIDS data consist of different types of data.
- -
- The two pixels in the image have a higher correlation as the distance decreases, while the two features in the NIDS data have independent properties regardless of the distance.
3. Proposed Algorithm
3.1. Image Transformation
3.2. Multiple Image Transformer-Based Algorithms
3.3. 2D Image-Based DL Classifier
4. Performance Evaluation
4.1. Evaluation Environment
4.1.1. ISCXIDS2012 Dataset [25]
4.1.2. CSE-CIC-IDS2018 Dataset [38]
4.2. Detection Rate
4.3. Confusion Matrix
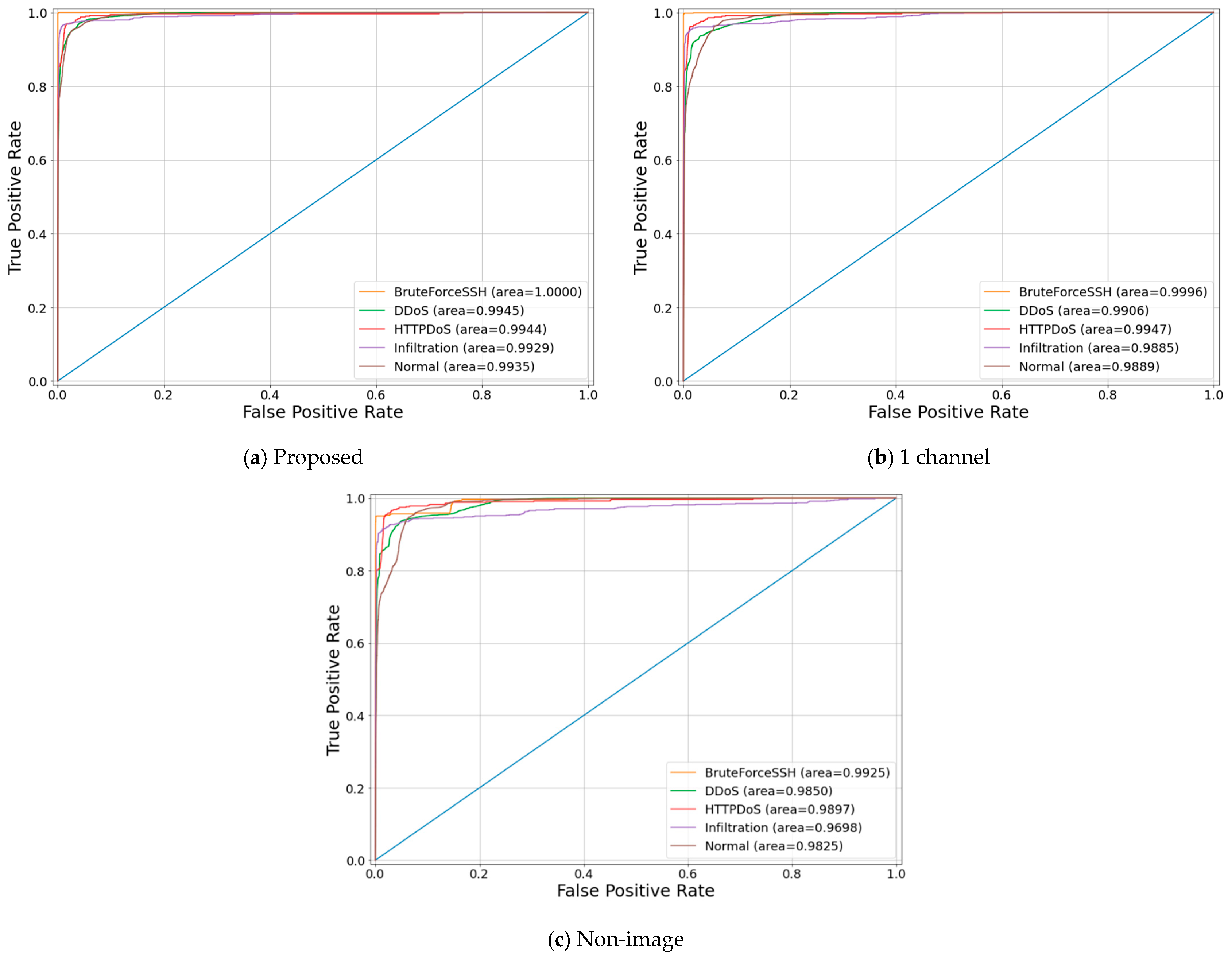
4.4. ROC Curve
5. Conclusions
Author Contributions
Funding
Institutional Review Board Statement
Informed Consent Statement
Data Availability Statement
Conflicts of Interest
References
- Faizal, M.A.; Mohd Zaki, M.; Shahrin, S.; Robiah, Y.; Siti Rahayu, S.; Nazrulazhar, B. Threshold Verification Technique for Network Intrusion Detection System. arXiv 2009. [Google Scholar] [CrossRef]
- Chunyue, Z.; Yun, L.; Hongke, Z. A Pattern matching based Network Intrusion Detection System. In Proceedings of the 2006 9th International Conference on Control, Automation, Robotics and Vision, Singapore, 5–8 December 2006; pp. 1–4. [Google Scholar] [CrossRef]
- Bilge, L.; Dumitras, T. Before we knew it: An empirical study of zero-day attacks in the real world. In Proceedings of the 2012 ACM Conference on Computer and Communications Security, Raleigh, NC, USA, 16–18 October 2012; pp. 833–844. [Google Scholar] [CrossRef]
- Kruegel, C.; Toth, T. Using decision trees to improve signature-based intrusion detection. In Proceedings of the 2003 International Workshop on Recent Advances in Intrusion Detection, Pittsburgh, PA, USA, 8–10 September 2003; pp. 173–191. [Google Scholar] [CrossRef]
- Sahu, S.; Mehtre, B.M. Network intrusion detection system using J48 Decision Tree. In Proceedings of the 2015 International Conference on Advances in Computing, Communications and Informatics (ICACCI), Kochi, India, 10–13 August 2015; pp. 2023–2026. [Google Scholar] [CrossRef]
- Ho, T.K. Random Decision Forests. In Proceedings of the 2015 3rd International Conference on Document Analysis and Recognition, Montreal, QC, Canada, 14–16 August 1995; pp. 278–282. [Google Scholar]
- Ho, T.K. The Random Subspace Method for Constructing Decision Forests. IEEE Trans. Pattern Anal. Mach. Intell. 1998, 20, 832–844. [Google Scholar] [CrossRef]
- Freund, Y.; Schapire, R.E. A decision-theoretic [sic] generalization of on-line learning and an application to boosting. Lect. Notes Comput. Sci. 1995, 904, 23–37. [Google Scholar] [CrossRef]
- Al-Qatf, M.; Lasheng, Y.; Al-Habib, M.; Al-Sabahi, K. Deep Learning Approach Combining Sparse Autoencoder with SVM for Network Intrusion Detection. IEEE Access 2018, 6, 52843–52856. [Google Scholar] [CrossRef]
- Gu, J.; Zhu, M.; Zhou, Z.; Zhang, F.; Lin, Z.; Zhang, Q.; Breternitz, M. Implementation and evaluation of deep neural networks (DNN) on mainstream heterogeneous systems. In Proceedings of the 2014 5th Asia-Pacific Workshop on Systems (APSys ’14), Beijing, China, 25–26 June 2014; ACM: New York, NY, USA, 2014; pp. 1–7. [Google Scholar] [CrossRef]
- Jolliffe, I.T.; Cadima, J. Principal component analysis: A review and recent developments. Philos. Trans. R. Soc. A Math. Phys. Eng. Sci. 2016, 374, 20150202. [Google Scholar] [CrossRef] [PubMed]
- van der Maaten, L.J.P.; Hinton, G.E. Visualizing Data Using t-SNE. J. Mach. Learn. Res. 2008, 9, 2579–2605. [Google Scholar]
- Sharma, A.; Vans, E.; Shigemizu, D.; Boroevich, K.A.; Tsunoda, T. DeepInsight: A methodology to transform a non-image data to an image for convolution neural network architecture. Sci. Rep. 2019, 9, 11399. [Google Scholar] [CrossRef] [PubMed]
- Valueva, M.V.; Nagornov, N.N.; Lyakhov, P.A.; Valuev, G.V.; Chervyakov, N.I. Application of the residue number system to reduce hardware costs of the convolutional neural network implementation. Math. Comput. Simul. 2020, 177, 232–243. [Google Scholar] [CrossRef]
- Schölkopf, B.; Smola, A.; Müller, K.-R. Nonlinear Component Analysis as a Kernel Eigenvalue Problem. Neural Comput. 1998, 10, 1299–1319. [Google Scholar] [CrossRef]
- McInnes, L.; Healy, J.; Melville, J. UMAP: Uniform Manifold Approximation and Projection for Dimension Reduction. arXiv 2018. [Google Scholar] [CrossRef]
- Broomhead, D.H.; Lowe, D. Multivariable Functional Interpolation and Adaptive Networks. Complex Syst. 1998, 2, 321–355. [Google Scholar]
- Sun, F.X. Danger Theory Based Risk Evaluation Model for Smurf Attacks. Key Eng. Mater. 2011, 467–469, 515–521. [Google Scholar] [CrossRef]
- Erikson, J. Hacking the Art of Exploitation, 2nd ed.; NoStarch Press: San Francisco, CA, USA, 1997; p. 264. [Google Scholar]
- Dharmapurikarg, S.; Krishnamurthy, P.; Sproull, T.; Lockwood, J. Deep packet inspection using parallel bloom filters. In Proceedings of the 2003 11th Symposium on High Performance Interconnects, Stanford, CA, USA, 20–22 August 2003. [Google Scholar]
- Symantec Internet Security Threat Report: Trends for July–December 2007. Symantec Corporation. Available online: https://docs.broadcom.com/doc/istr-08-april-exec-sum-en (accessed on 17 February 2023).
- Aho, A.V.; Corasick, M.J. Efficient string matching: An aid to bibliographic search. Commun. ACM 1975, 18, 333–340. [Google Scholar] [CrossRef]
- Malek, Z.S.; Trivedi, B.; Shah, A. User behavior Pattern -Signature based Intrusion Detection. In Proceedings of the 2020 Fourth World Conference on Smart Trends in Systems, Security and Sustainability (WorldS4), London, UK, 27–28 July 2020; pp. 549–552. [Google Scholar] [CrossRef]
- Li, L.; Yu, Y.; Bai, S.; Hou, Y.; Chen, X. An Effective Two-Step Intrusion Detection Approach Based on Binary Classification and k-NN. IEEE Access 2017, 6, 12060–12073. [Google Scholar] [CrossRef]
- Tavallaee, M.; Bagheri, E.; Lu, W.; Ghorbani, A. A Detailed Analysis of the KDD CUP 99 Data Set. In Proceedings of the 2009 IEEE Symposium on Computational Intelligence for Security and Defense Applications (CISDA), Ottawa, ON, Canada, 8–10 July 2009. [Google Scholar] [CrossRef]
- Shiravi, A.; Shiravi, H.; Tavallaee, M.; Ali, A. Ghorbani, Toward developing a systematic approach to generate benchmark datasets for intrusion detection. Comput. Secur. 2012, 31, 357–374. [Google Scholar] [CrossRef]
- Description of Kyoto University Benchmark Data. Available online: https://www.takakura.com/Kyoto_data/BenchmarkData-Description-v5.pdf (accessed on 13 January 2023).
- Quinlan, R. C4. 5: Programs for Machine Learning; Elsevier: Amsterdam, The Netherlands, 2014. [Google Scholar]
- Quinlan, R. Data Mining Tools See5 and c5. Available online: https://www.researchgate.net/publication/307174962_Data_Mining_Tools_See5_and_C50 (accessed on 17 February 2023).
- Lu, C. Research on the technical application of artificial intelligence in network intrusion detection system. In Proceedings of the 2022 International Conference on Electronics and Devices, Computational Science (ICEDCS), Marseille, France, 22–24 September 2022. [Google Scholar] [CrossRef]
- Wang, J.D.; He, A.; Castiglione, B.; Gupta, B.; Karuppiah, M.; Wu, L. PCNNCEC: Efficient and Privacy-Preserving Convolutional Neural Network Inference Based on Cloud-Edge-Client Collaboration. IEEE Trans. Netw. Sci. Eng. 2022. [Google Scholar] [CrossRef]
- Shi, Z.; Chehade, A. A dual-LSTM framework combining change point detection and remaining useful life prediction. Reliab. Eng. Syst. Saf. 2021, 205, 107257. [Google Scholar] [CrossRef]
- Li, X.Y.; Tang, R.; Song, W. Intrusion Detection System Using Improved Convolution Neural Network. In Proceedings of the 2022 11th International Conference of Information and Communication Technology (ICTech), Wuhan, China, 4–6 February 2022. [Google Scholar] [CrossRef]
- Wang, W.; Sheng, Y.; Wang, J.; Zeng, X.; Ye, X.; Huang, Y.; Zhu, M. HAST-IDS: Learning hierarchical spatial-temporal features using deep neural networks to improve intrusion detection. IEEE Access 2017, 6, 1792–1806. [Google Scholar] [CrossRef]
- Agarap, A.F. Deep learning using rectified linear units (relu). arXiv 2018, arXiv:1803.08375. [Google Scholar]
- Khan, A.; Cotton, C. Detecting Attacks on IoT Devices using Featureless 1D-CNN. In Proceedings of the 2021 IEEE International Conference on Cyber Security and Resilience (CSR), Rhodes, Greece, 27–29 July 2021. [Google Scholar] [CrossRef]
- Navya, V.K.; Adithi, J.; Rudrawal, D.; Tailor, H.; James, N. Intrusion Detection System using Deep Neural Networks (DNN). In Proceedings of the 2021 International Conference on Advancements in Electrical, Electronics, Communication, Computing and Automation (ICAECA), Coimbatore, India, 8–9 October 2021; pp. 1–6. [Google Scholar] [CrossRef]
- Soheily-Khah, S.; Marteau, P.; Béchet, N. Intrusion Detection in Network Systems Through Hybrid Supervised and Unsupervised Machine Learning Process: A Case Study on the ISCX Dataset. In Proceedings of the 1st International Conference on Data Intelligence and Security (ICDIS), South Padre Island, TX, USA, 8–10 April 2018. [Google Scholar] [CrossRef]










| Label | Training Dataset | Validation Dataset | Testing Dataset |
|---|---|---|---|
| BruteForceSSH | 3000 | 1000 | 1000 |
| DDoS | 36,000 | 12,000 | 12,000 |
| HTTPDoS | 1500 | 500 | 500 |
| Infiltration | 2700 | 900 | 900 |
| Normal | 60,000 | 20,000 | 20,000 |
| Total | 103,200 | 34,400 | 34,400 |
| Label | Training Dataset | Validation Dataset | Testing Dataset |
|---|---|---|---|
| Benign | 30,000 | 10,000 | 10,000 |
| Bot | 6000 | 2000 | 2000 |
| BruteForce-FTP | 5400 | 1800 | 1800 |
| BruteForce-SSH | 5400 | 1800 | 1800 |
| BruteForce-WEB | 360 | 120 | 120 |
| DDoS-HOIC | 7200 | 2400 | 2400 |
| DDoS-LOIC-HTTP | 7200 | 2400 | 2400 |
| DoS-GoldenEye | 2400 | 800 | 800 |
| DoS-Hulk | 7200 | 2400 | 2400 |
| DoS-SlowHTTPTest | 5400 | 1800 | 1800 |
| DoS-Slowloris | 1500 | 500 | 500 |
| Total | 78,060 | 26,020 | 26,020 |
Disclaimer/Publisher’s Note: The statements, opinions and data contained in all publications are solely those of the individual author(s) and contributor(s) and not of MDPI and/or the editor(s). MDPI and/or the editor(s) disclaim responsibility for any injury to people or property resulting from any ideas, methods, instructions or products referred to in the content. |
© 2023 by the authors. Licensee MDPI, Basel, Switzerland. This article is an open access article distributed under the terms and conditions of the Creative Commons Attribution (CC BY) license (https://creativecommons.org/licenses/by/4.0/).
Share and Cite
Kim, T.; Pak, W. Deep Learning-Based Network Intrusion Detection Using Multiple Image Transformers. Appl. Sci. 2023, 13, 2754. https://doi.org/10.3390/app13052754
Kim T, Pak W. Deep Learning-Based Network Intrusion Detection Using Multiple Image Transformers. Applied Sciences. 2023; 13(5):2754. https://doi.org/10.3390/app13052754
Chicago/Turabian StyleKim, Taehoon, and Wooguil Pak. 2023. "Deep Learning-Based Network Intrusion Detection Using Multiple Image Transformers" Applied Sciences 13, no. 5: 2754. https://doi.org/10.3390/app13052754
APA StyleKim, T., & Pak, W. (2023). Deep Learning-Based Network Intrusion Detection Using Multiple Image Transformers. Applied Sciences, 13(5), 2754. https://doi.org/10.3390/app13052754

