Developing a New Filtered-X Recursive Least Squares Adaptive Algorithm Based on a Robust Objective Function for Impulsive Active Noise Control Systems
Abstract
1. Introduction
- It is well-known that the RLS-based adaptation exhibits a far better convergence speed compared with the stochastic gradient-based adaptation (as in the LMS algorithm), where the price to be paid is increased computational complexity. The computational complexity may not be an issue with the recent advancements in semiconductor technology; therefore, in order to realize a fast convergence speed, the proposed algorithm is derived in the framework of an RLS-based adaptation.
- Instead of FxLMS-based ANC, the ‘modified Fx’ (MFx) LMS (MFxLMS)-based ANC structure [38] is used to implement the proposed algorithm. The MFxLMS ANC uses two copies of the ANC filter so that generation of the noise control signal and adaptation of coefficients of the ANC filter are treated as separate processes. This allows implementing advanced adaptive algorithms for ANC systems (for details, see [38] and the references therein).
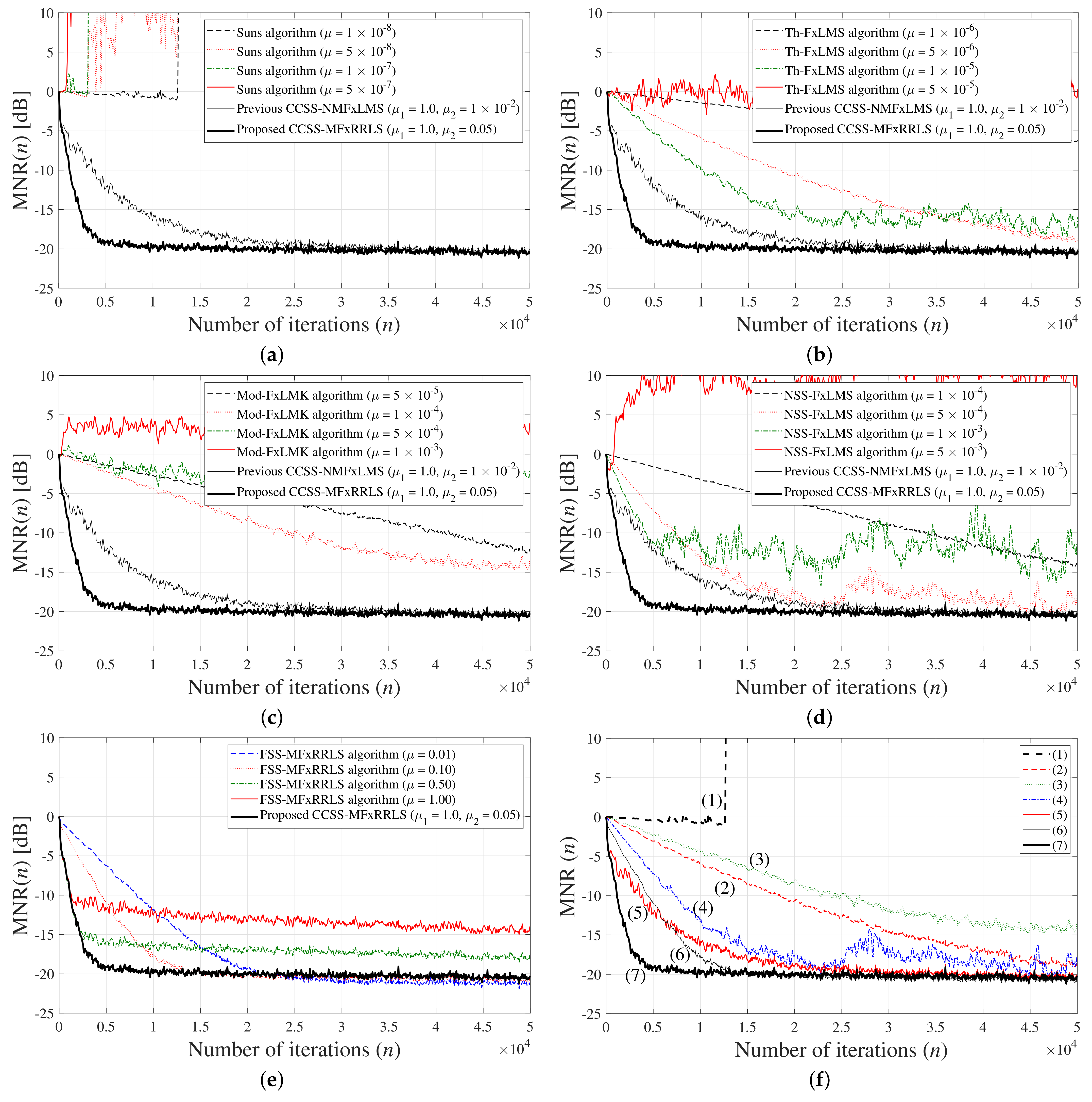
- In the classical FxRLS algorithm [3], the cost function is (deterministic) least squares which is not well-suited for the application at hand, i.e., impulsive ANC systems. The RLS-based adaptive ANC algorithm developed in this paper employs an objective function expected to achieve robustness against impulsive sources. Furthermore, a fixed step size (FSS) is introduced in the proposed algorithm while computing the the increment vector, resulting in the FSS MFx robust RLS (FSS-MFxRRLS) algorithm for ANC of impulsive sources.
- In order to address the issue of the numerical instability of the FxRLS algorithm [18], a very simple solution of low-pass filtering is incorporated while computing the current estimate of the inverse correlation matrix.
- In previous work, a convex-combined step size (CCSS) based modified normalized FxLMS (CCSS-MNFxLMS) algorithm was developed [39,40]. Motivated by the result presented there, it is suggested to incorporate a similar strategy with the FSS-MFxRRLS ANC algorithm and develop the proposed CCSS-based MFx robust RLS (CCSS-MFxRRLS) algorithm.
2. Classical ANC Algorithms
2.1. Classical FxLMS Algorithm
2.2. Classical FxRLS Algorithm
3. Proposed Algorithm
3.1. Derivation of Robust FxRLS Algorithm
3.2. A Few Practical Considerations
3.3. Developing the Convex Combined Step Size Approach
- 1
- In 3 and 4, it has been assumed that is an FIR filter of length M.
- 2
- Proposed FSS-MFxRRLS algorithm = 1–11.
- 3
- Proposed CCSS-MFxRRLS algorithm = 1–10, 12–16.
4. Results and Discussion
4.1. Simulation Conditions
4.2. Choosing the Parameter
4.3. Scenario 1: Impulsiveness of Noise Sources
4.4. Scenario 2: Sources with Mixed Stable Distribution
4.5. Scenario 3: Impulsive Sources with Time-Varying Characteristics
4.6. A Few Remarks on Computational Complexity Comparison
- Sun’s algorithm [24] requires multiplications per iteration, additions/subtractions per iteration, and 1 comparison operation.
- The Th-FxLMS algorithm [25] requires multiplications per iteration, additions/subtractions per iteration, and 2 comparison operation.
- The INSS-FxLMS algorithm [26] requires multiplications per iteration, additions/subtractions per iteration, and 1 division operation.
5. Conclusions
Funding
Institutional Review Board Statement
Informed Consent Statement
Data Availability Statement
Acknowledgments
Conflicts of Interest
References
- Lueg, P. Process of Silencing Sound Oscillations. U.S. Patent 2043416, 9 June 1936. [Google Scholar]
- Elliot, S.J. Signal Processing for Active Control; Academic Press: London, UK, 2001. [Google Scholar]
- Kuo, S.M.; Morgan, D.R. Active Noise Control Systems-Algorithms and DSP Implementations; Wiley: New York, NY, USA, 1996. [Google Scholar]
- Kuo, S.M.; Morgan, D.R. Active Noise Control: A tutorial review. Proc. IEEE 1999, 87, 943–973. [Google Scholar] [CrossRef]
- Liu, L.; Kuo, S.M.; Raghuathan, K.P. An audio integrated motorcycle helmet. J. Low Freq. Noise Vib. Act. Control 2010, 29, 161–170. [Google Scholar] [CrossRef]
- Lei, C.; Xu, J.; Wang, J.; Zheng, C.; Li, X. Active headrest with robust performance against head movement. J. Low Freq. Noise Vib. Act. Control 2015, 34, 233–250. [Google Scholar] [CrossRef]
- Latos, M.; Stankiewicz, K. Studies on the effectiveness of noise protection for an enclosed industrial area using global active noise reduction systems. J. Low Freq. Noise Vib. Act. Control 2015, 34, 9–20. [Google Scholar] [CrossRef]
- Xu, Z.H.; Lee, C.M.; Qiu, Z. A Study of the virtual microphone algorithm for ANC system working in audio interference environment. J. Low Freq. Noise Vib. Act. Control 2014, 33, 89–206. [Google Scholar] [CrossRef]
- Gan, W.S.; Kuo, S.M. An integrated audio and active noise control headsets. IEEE Trans. Consum. Electron. 2002, 48, 242–247. [Google Scholar] [CrossRef]
- Kuo, S.M.; Mitra, S.; Gan, W.S. Active noise control system for headphone applications. IEEE Trans. Control Sys. Tech. 2006, 14, 331–335. [Google Scholar] [CrossRef]
- Lu, L.; Yin, K.L.; de Lamare, R.C.; Zheng, Z.; Yu, Y.; Yang, X.; Chen, B. A survey on active noise control in the past decade–Part I: Linear systems. Signal Process. 2021, 183, 108039. [Google Scholar] [CrossRef]
- Lu, L.; Yin, K.L.; de Lamare, R.C.; Zheng, Z.; Yu, Y.; Yang, X.; Chen, B. A survey on active noise control in the past decade–II: Nonlinear systems. Signal Process. 2021, 181, 107929. [Google Scholar] [CrossRef]
- Widrow, B.; Stearns, S.D. Adaptive Signal Processing; Prentice Hall: Hoboken, NJ, USA, 1985. [Google Scholar]
- Douglas, S.C. A family of normalized LMS algorithms. IEEE Signal Process. Lett. 1994, 1, 49–51. [Google Scholar] [CrossRef]
- Park, Y.C.; Sommerfeldt, S.D. A fast adaptive noise control algorithm based on lattice structure. Appl. Acoust. 1996, 47, 1–25. [Google Scholar] [CrossRef]
- Eriksson, L.J.; Allie, M.C.; Greiner, R.A. The selection and application of an IIR adaptive filter for use in active sound attenuation. IEEE Trans. Acoust. Speech Signal Process. 1987, 35, 433–437. [Google Scholar] [CrossRef]
- Crawford, D.H.; Stewart, R.W. Adaptive IIR filtered-v algorithms for active noise control. J. Acoust. Soc. Am. 1997, 101, 2097–2103. [Google Scholar] [CrossRef]
- Bouchard, M.; Quednau, S. Multichannel recursive-least-squares algorithms and fast-transversal-filter algorithms for active noise control and sound reproduction systems. IEEE Trans. Speech Audio Process. 2000, 8, 606–618. [Google Scholar] [CrossRef]
- Kuo, S.M.; Tahernezhadi, M. Frequency-domain periodic active noise control and equalization. IEEE Trans. Speech Audio Process. 1997, 5, 348–358. [Google Scholar] [CrossRef]
- Bergamasco, M.; Rossa, F.D.; Piroddi, L. Active noise control with on-line estimation of non-Gaussian noise characteristics. J. Sound Vibr. 2012, 33, 27–40. [Google Scholar] [CrossRef]
- Liu, L.; Gujjula, S.; Thanigai, P.; Kuo, S.M. Still in womb: Intrauterine acoustic embedded active noise control for infant incubators. Adv. Acoust. Vibr. 2008, 2008, 495317. [Google Scholar] [CrossRef]
- Zhou, Y.L.; Yin, Y.X.; Zhang, Q.Z. An optimal repetitive control algorithm for periodic impulsive noise attenuation in a non-minimum phase ANC system. Appl. Acoust. 2013, 74, 1175–1181. [Google Scholar] [CrossRef]
- Wierzchowski, W. Review of active noise control algorithms for impulsive noise control. Pomiary Autom. Kontrola 2014, 60, 358–361. [Google Scholar]
- Sun, X.; Kuo, S.M.; Meng, G. Adaptive algorithm for active control of impulsive noise. Jr. Sound Vibr. 2006, 291, 516–522. [Google Scholar] [CrossRef]
- Akhtar, M.T.; Mitsuhashi, W. Improving performance of FxLMS algorithm for active noise control of impulsive noise. Jr. Sound Vibr. 2009, 327, 647–656. [Google Scholar] [CrossRef]
- Akhtar, M.T.; Mitsuhashi, W. A modified normalized FxLMS algorithm for active control of impulsive noise. In Proceedings of the EUSIPCO 2010, Aalborg, Denmark, 23–27 August 2010; pp. 1–5. [Google Scholar]
- Wu, L.; He, H.; Qiu, X. An active impulsive noise control algorithm with logarithmic transformation. IEEE Trans. Audio Speech Lang. Process. 2010, 19, 1041–1044. [Google Scholar]
- Li, P.; Yu, X. Active noise cancellation algorithms for impulsive noise. Mech. Syst. Signal Process. 2013, 36, 630–635. [Google Scholar] [CrossRef] [PubMed]
- Sun, G.; Li, M.; Lim, T.C. Enhanced filtered-x least mean M-estimate algorithm for active impulsive noise control. Appl. Acoust. 2015, 90, 31–41. [Google Scholar] [CrossRef]
- Sun, G.; Li, M.; Lim, T.C. A family of threshold based robust adaptive algorithms for active impulsive noise control. Appl. Acoust. 2015, 97, 30–36. [Google Scholar] [CrossRef]
- Shao, M.; Nikias, C.L. Signal processing with fractional lower order moments: Stable processes and their applications. Proc. IEEE 1993, 81, 986–1010. [Google Scholar] [CrossRef]
- Leahy, R.; Zhou, Z.; Hsu, Y.C. Adaptive filtering of stable processes for active attenuation of impulsive noise. In Proceedings of the IEEE ICASSP 1995, Detroit, MI, USA, 9–12 May 1995; Volume 5, pp. 2983–2986. [Google Scholar]
- Akhtar, M.T.; Mitsuhashi, W. Improving robustness of filtered-x least mean p-power algorithm for active attenuation of standard symmetric-alpha-stable impulsive noise. Appl. Acoust. 2011, 72, 688–694. [Google Scholar] [CrossRef]
- Akhtar, M.T. Fractional lower order moment based adaptive algorithms for active noise control of impulsive noise sources. J. Acoust. Soc. Am. 2012, 132, EL456–EL462. [Google Scholar] [CrossRef]
- Akhtar, M.T. A time-varying normalized step size based generalized fractional moment adaptive algorithm and its application to ANC of impulsive sources. Appl. Acoust. 2019, 155, 240–249. [Google Scholar] [CrossRef]
- Song, P.; Zhao, H. Filtered-x generalized mixed norm (FXGMN) algorithm for active noise control. Mech. Syst. Signal Process. 2018, 107, 93–104. [Google Scholar] [CrossRef]
- Lu, L.; Zhao, H. Improved filtered-x least mean kurtosis algorithm for active noise control. Circuits Syst. Signal. Process. 2017, 36, 1586–1603. [Google Scholar] [CrossRef]
- Akhtar, M.T.; Abe, M.; Kawamata, M. A New variable step size LMS algorithm-based method for improved online secondary path modeling in active noise control systems. IEEE Trans. Audio Speech Lang. Process. 2006, 14, 720–726. [Google Scholar] [CrossRef]
- Akhtar, M.T. A convex-combined step-size-based normalized modified filtered-x least mean square algorithm for impulsive active noise control systems. In Proceedings of the EUSIPCO 2018, Roma, Italy, 3–7 September 2018; pp. 2468–2472. [Google Scholar]
- Akhtar, M.T. On active impulsive noise control (AINC) systems: Developing a filtered-reference adaptive algorithm using convex-combined normalized step-size approach. Circuits Syst. Signal Process. 2020, 39, 4354–4377. [Google Scholar] [CrossRef]
- Akhtar, M.T. Novel recursive least squares-based filtered-x adaptive algorithm developed for active control of impulsive noise sources. In Proceedings of the IEEE International Conference on Systems, Man, and Cybernetics (IEEE SMC 2020), Toronto, ON, Canada, 11–14 October 2020; pp. 2359–2364. [Google Scholar]
- Haykin, S. Adaptive Filter Theory, 4th ed.; Prentice Hall: Hoboken, NJ, USA, 2002. [Google Scholar]
- Huang, F.; Zhang, J.; Zhang, S. Maximum versoria criterion-based robust adaptive filtering algorithm. IEEE Trans. Circuits Sys.—II Express Briefs 2017, 64, 1252–1256. [Google Scholar] [CrossRef]
- Diniz, P.S.R. Adaptive Filtering: Algorithms and Practical Implementation; Springer: New York, NY, USA, 2013. [Google Scholar]
- Benesty, J.; Rey, H.; Vega, L.R.; Tressens, S. A nonparametric VSS NLMS algorithm. IEEE Signal Process. Lett. 2006, 13, 581–584. [Google Scholar] [CrossRef]
- Vega, L.R.; Rey, H.; Benesty, J.; Tressens, S. A new robust variable step-size NLMS algorithm. IEEE Trans. Signal Process. 2008, 56, 1878–1893. [Google Scholar] [CrossRef]
- Farhang-Boroujeny, B. Adaptive Filters: Theory and Applications, 2nd ed.; John Wiley & Sons: Hoboken, NJ, USA, 2013. [Google Scholar]
- Zhang, S.; Zhang, J. New steady-state analysis of variable step-size LMS algorithm with different noise distributions. IEEE Signal Lett. 2014, 21, 653–657. [Google Scholar] [CrossRef]
- Arenas-García, J.; Gómez-Verdejo, V.; Figueiras-Vidal, A.R. New algorithms for improved adaptive convex combination of LMS transversal filters. IEEE Trans. Instrum. Meas. 2005, 54, 2239–2249. [Google Scholar] [CrossRef]
- Ferrer, M.; Gonzalez, A.; de Diego, M.; Pi nero, G. Convex combination filtered-x algorithms for active noise control systems. IEEE Trans. Audio Speech Lang. Process. 2013, 21, 156–167. [Google Scholar] [CrossRef]
- Azpicueta-Ruiz, L.A.; Silva, M.T.M.; Nascimento, V.H.; Sayed, A.H. Combinations of adaptive filters: Performance and convergence properties. IEEE Signal Process. Mag. 2016, 33, 120–140. [Google Scholar]
- Zhang, S.; Zheng, W.X.; Zhang, J. A new combined-step-size normalized least mean square algorithm for cyclostationary inputs. Signal Process. 2017, 141, 261–272. [Google Scholar] [CrossRef]
- Huang, F.; Zhang, J.; Pang, Y. A novel combination scheme of proportionate filter. Signal Process. 2018, 143, 222–231. [Google Scholar] [CrossRef]
- Stanciu, C.; Anghel, C.; Udrea, M.; Stanciu, L. Variable-regularized low complexity RLS algorithm for stereophonic acoustic echo cancellation. In Proceedings of the 2017 International Symposium Signals, Circuits and Systems (ISSCS), Iasi, Romania, 13–14 July 2017. [Google Scholar]
- Belge, M.; Miller, E.L. A Sliding window RLS-like adaptive algorithm for filtering alpha-stable noise. IEEE Sig. Process. Lett. 2000, 7, 86–89. [Google Scholar] [CrossRef]
- Liang, J.; Ji, B.; Zhang, J.; Wang, S.; Zhao, F. Recursive least squares-like algorithms for the adaptive second-order lattice notch filter. Digit. Signal Process. 2008, 18, 291–306. [Google Scholar] [CrossRef]
















| Initialization and Parameter Selection | ||
|---|---|---|
| L, M, , (), , , , , , , | ||
| while available do | ||
| 1. | % Update signal vector | |
| 2. | % ANC filter output | |
| 3. | % Filtered-x signal | |
| 4. | % Estimate of disturbance signal | |
| 5. | % Update filtered-x signal vector | |
| 6. | % Error signal for adaptation | |
| 7. | % Parameter in objective function | |
| 8. | % vector for Kalman gain computation | |
| 9. | % Kalman gain vector | |
| 10. | % Inverse correlation matrix | |
| 11. | % FSS-MFxRRLS update equation | |
| 12. | % Time-varying step-size | |
| 13. | % CCSS-MFxRRLS update equation | |
| 14. | % Adaptive parameter for | |
| 15. | % Threshold adaptive parameter | |
| 16. | % Sigmoidal activation function | |
| end while | ||
Disclaimer/Publisher’s Note: The statements, opinions and data contained in all publications are solely those of the individual author(s) and contributor(s) and not of MDPI and/or the editor(s). MDPI and/or the editor(s) disclaim responsibility for any injury to people or property resulting from any ideas, methods, instructions or products referred to in the content. |
© 2023 by the author. Licensee MDPI, Basel, Switzerland. This article is an open access article distributed under the terms and conditions of the Creative Commons Attribution (CC BY) license (https://creativecommons.org/licenses/by/4.0/).
Share and Cite
Akhtar, M.T. Developing a New Filtered-X Recursive Least Squares Adaptive Algorithm Based on a Robust Objective Function for Impulsive Active Noise Control Systems. Appl. Sci. 2023, 13, 2715. https://doi.org/10.3390/app13042715
Akhtar MT. Developing a New Filtered-X Recursive Least Squares Adaptive Algorithm Based on a Robust Objective Function for Impulsive Active Noise Control Systems. Applied Sciences. 2023; 13(4):2715. https://doi.org/10.3390/app13042715
Chicago/Turabian StyleAkhtar, Muhammad Tahir. 2023. "Developing a New Filtered-X Recursive Least Squares Adaptive Algorithm Based on a Robust Objective Function for Impulsive Active Noise Control Systems" Applied Sciences 13, no. 4: 2715. https://doi.org/10.3390/app13042715
APA StyleAkhtar, M. T. (2023). Developing a New Filtered-X Recursive Least Squares Adaptive Algorithm Based on a Robust Objective Function for Impulsive Active Noise Control Systems. Applied Sciences, 13(4), 2715. https://doi.org/10.3390/app13042715

