Simple Route to Increase Electrical Conductivity and Optical Transmittance in Graphene/Silver Nanoparticles Hybrid Suspensions
Abstract
1. Introduction
2. Materials and Methods
3. Results and Discussion
3.1. Manufacturing of Graphene/AgNP Hybrid Suspensions
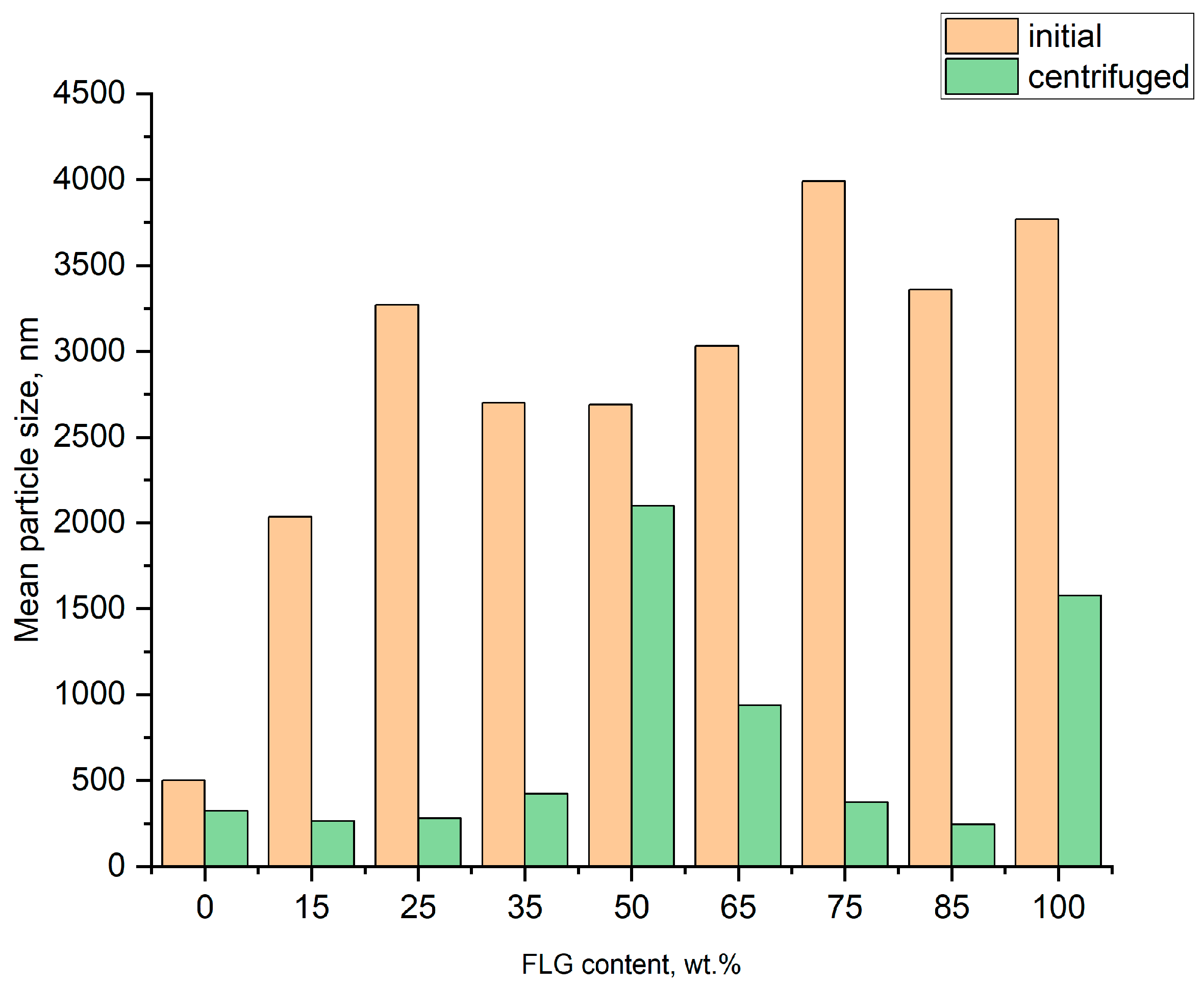
3.2. Influence of Centrifugation on Particle Size Distributions
3.3. Non-Linear Concentration Effects of Optical Transparency and Electrical Conductivity
- Percolation threshold in the system (suspensions) is achieved even at concentrations as low as ca. 0.5 mg/mL (see Section 3.2); therefore, centrifugation does not significantly affect the level of electrical conductivity;
- Individual nanoparticles are primarily responsible for charge carrier properties in the suspensions; the influence of agglomerates and larger particles is not very pronounced.
- Non-linear dependence of average transmission on suspension composition;
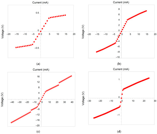
3.4. Electrical and Optical Properties of Graphene/AgNPs-Based Films
4. Conclusions
Author Contributions
Funding
Institutional Review Board Statement
Informed Consent Statement
Data Availability Statement
Acknowledgments
Conflicts of Interest
References
- Mu, B.; Xu, Y.; Xu, J.; Nikitina, M.A.; Zafari, U.; Xiao, X. Inkjet direct printing approach for flexible electronic. Results Eng. 2022, 14, 100466. [Google Scholar] [CrossRef]
- Tran, T.S.; Dutta, N.K.; Choudhury, N.R. Graphene inks for printed flexible electronics: Graphene dispersions, ink formulations, printing techniques and applications. Adv. Colloid Interf. Sci. 2018, 261, 41–61. [Google Scholar] [CrossRef] [PubMed]
- Lee, M.S.; Lee, K.; Kim, S.Y.; Lee, H.; Park, J.; Choi, K.H.; Kim, H.K.; Kim, D.G.; Lee, D.Y.; Nam, S.W.; et al. High-performance, transparent, and stretchable electrodes using graphene−metal nanowire hybrid structures. Nano Lett. 2013, 13, 2814–2821. [Google Scholar] [CrossRef]
- Xue, Y.; Zhu, L.; Chen, H.; Qu, J.; Dai, L. Multiscale patterning of graphene oxide and reduced graphene oxide for flexible supercapacitors. Carbon 2015, 92, 305–310. [Google Scholar] [CrossRef]
- Soni, M.; Kumar, P.; Pandey, J.; Sharma, S.K.; Soni, A. Scalable and site specific functionalization of reduced graphene oxide for circuit elements and flexible electronics. Carbon 2018, 128, 172–178. [Google Scholar] [CrossRef]
- Wu, C.; Cheng, Q.; Wu, K. Electrochemical functionalization of N-methyl-2-pyrrolidone-exfoliated graphene nanosheets as highly sensitive analytical platform for phenols. Analyt. Chem. 2015, 87, 3294–3299. [Google Scholar] [CrossRef]
- Wu, C.; Cheng, Q.; Wu, K.; Wu, G.; Li, Q. Graphene prepared by one-pot solvent exfoliation as a highly sensitive platform for electrochemical sensing. Analyt. Chim. Acta 2014, 825, 26–33. [Google Scholar] [CrossRef]
- Li, J.; Ye, F.; Vaziri, S.; Muhammed, M.; Lemme, M.C.; Östling, M. A Simple Route towards High-Concentration Surfactant-Free Graphene Dispersions. Carbon 2012, 50, 3113–3116. [Google Scholar] [CrossRef]
- Tyurnina, A.V.; Tzanakis, I.; Morton, J.; Mi, J.; Porfyrakis, K.; Maciejewska, B.M.; Grobert, N.; Eskin, D.G. Ultrasonic exfoliation of graphene in water: A key parameter study. Carbon 2020, 168, 737–747. [Google Scholar] [CrossRef]
- Tyurnina, A.V.; Morton, J.A.; Subroto, T.; Khavari, M.; Maciejewska, B.; Mi, J.; Grobert, N.; Porfyrakis, K.; Tzanakis, I.; Eskin, D.G. Environment friendly dual-frequency ultrasonic exfoliation of few-layer graphene. Carbon 2021, 185, 536–545. [Google Scholar] [CrossRef]
- Notley, S.M. Highly concentrated aqueous suspensions of graphene through ultrasonic exfoliation with continuous surfactant addition. Langmuir 2012, 28, 14110–14113. [Google Scholar] [CrossRef]
- Narayan, R.; Kim, S.O. Surfactant mediated liquid phase exfoliation of graphene. Nano Converg. 2015, 2, 20. [Google Scholar] [CrossRef]
- Morozov, Y.; Chistyakov, D.; Chernyshev, V.; Sergeev, G. Cryochemical synthesis of polymorphous nanostructures of a steroid neurohormone. Molecules 2017, 22, 1378. [Google Scholar] [CrossRef] [PubMed]
- Skiba, M.; Pivovarov, A.; Vorobyova, V.; Derkach, T.; Kurmakova, I. Plasma-chemical formation of silver nanoparticles: The silver ions concentration effect on the particle size and their antimicrobial properties. J. Chem. Technol. Metallurg. 2019, 54, 311–318. [Google Scholar]
- Cobley, C.M.; Skrabalak, S.E.; Campbell, D.J.; Xia, Y. Shape-controlled synthesis of silver nanoparticles for plasmonic and sensing applications. Plasmonics 2009, 4, 171–179. [Google Scholar] [CrossRef]
- Khodashenas, B.; Ghorbani, H.R. Synthesis of silver nanoparticles with different shapes. Arab. J. Chem. 2019, 12, 1823–1838. [Google Scholar] [CrossRef]
- Parente, M.; Van Helvert, M.; Hamans, R.F.; Verbroekken, R.; Sinha, R.; Bieberle-Hütter, A.; Baldi, A. Simple and fast high-yield synthesis of silver nanowires. Nano Lett. 2020, 20, 5759–5764. [Google Scholar] [CrossRef]
- Li, J.; Ma, P.C.; Chow, W.S.; To, C.K.; Tang, B.Z.; Kim, J.K. Correlations between percolation threshold, dispersion state, and aspect ratio of carbon nanotubes. Adv. Funct. Mater. 2007, 17, 3207–3215. [Google Scholar] [CrossRef]
- De, S.; King, P.J.; Lyons, P.E.; Khan, U.; Coleman, J.N. Size effects and the problem with percolation in nanostructured transparent conductors. ACS Nano 2010, 4, 7064–7072. [Google Scholar] [CrossRef]
- Large, M.J.; Ogilvie, S.P.; Alomairy, S.; Vockerodt, T.; Myles, D.; Cann, M.; Chan, H.; Jurewicz, I.; King, A.A.K.; Dalton, A.B. Selective mechanical transfer deposition of Langmuir graphene films for high-performance silver nanowire hybrid electrodes. Langmuir 2017, 33, 12038–12045. [Google Scholar] [CrossRef]
- Marcq, F.; Demont, P.; Monfraix, P.; Peigney, A.; Laurent, C.; Falat, T.; Courtade, F.; Jamin, T. Carbon nanotubes and silver flakes filled epoxy resin for new hybrid conductive adhesives. Microelectron. Reliab. 2011, 57, 1230–1234. [Google Scholar] [CrossRef]
- Sagalianov, I.; Vovchenko, L.; Matzui, L.; Lazarenko, O. Synergistic enhancement of the percolation threshold in hybrid polymeric nanocomposites based on carbon nanotubes and graphite nanoplatelets. Nanoscale Res. Lett. 2017, 12, 140. [Google Scholar] [CrossRef] [PubMed]
- Barani, Z.; Mohammadzadeh, A.; Geremew, A.; Huang, C.Y.; Coleman, D.; Mangolini, L.; Kargar, F.; Balandin, A.A. Thermal properties of the binary-filler hybrid composites with graphene and copper nanoparticles. Adv. Funct. Mater. 2019, 30, 1904008. [Google Scholar] [CrossRef]
- Kim, K.W.; Han, W.; Kim, B.J. Effects of mixing ratio of hybrid carbonaceous fillers on thermal conductivity and mechanical properties of polypropylene matrix composites. Polymers 2022, 14, 1935. [Google Scholar] [CrossRef]
- Birgin, H.B.; D’Alessandro, A.; Laflamme, S.; Ubertini, F. Hybrid carbon microfibers-graphite fillers for piezoresistive cementitious composites. Sensors 2021, 21, 518. [Google Scholar] [CrossRef]
- Seiferling, F.; de las Heras, D.; Telo da Gama, M.M. Percolation in binary and ternary mixtures of patchy colloids. J. Chem. Phys. 2016, 145, 074903. [Google Scholar] [CrossRef]
- Marsden, A.J.; Papageorgiou, D.G.; Vallés, C.; Liscio, A.; Palermo, V.; Bissett, M.A.; Young, R.J.; Kinloch, I.A. Electrical percolation in graphene–polymer composites. 2D Mater. 2018, 5, 032003. [Google Scholar] [CrossRef]
- Wang, Z.; Liu, H.; Chen, F.; Zhang, Q. A three-dimensional printed biomimetic hierarchical graphene architecture for high-efficiency solar steam-generation. J. Mater. Chem. A 2020, 8, 19387–19395. [Google Scholar] [CrossRef]
- Liang, J.; Li, L.; Tong, K.; Ren, Z.; Hu, W.; Niu, X.; Chen, Y.; Pei, Q. Silver nanowire percolation network soldered with graphene oxide at room temperature and its application for fully stretchable polymer light-emitting diodes. ACS Nano 2014, 8, 1590–1600. [Google Scholar] [CrossRef]
- Ferrari, A.G.M.; Rowley-Neale, S.J.; Banks, C.E. Screen-printed electrodes: Transitioning the laboratory in-to-the field. Talanta Open 2021, 3, 100032. [Google Scholar] [CrossRef]
- Mallikarjuna, K.; Kim, H. Highly transparent conductive reduced graphene oxide/silver nanowires/silver grid electrodes for low-voltage electrochromic smart windows. ACS Appl. Mater. Interf. 2018, 11, 1969–1978. [Google Scholar] [CrossRef] [PubMed]
- Miao, J.; Liu, H.; Li, W.; Zhang, X. Mussel-inspired polydopamine-functionalized graphene as a conductive adhesion promoter and protective layer for silver nanowire transparent electrodes. Langmuir 2016, 32, 5365–5372. [Google Scholar] [CrossRef] [PubMed]
- Smith, S.L.; Nissamudeen, K.M.; Philip, D.; Gopchandran, K.G. Studies on surface plasmon resonance and photoluminescence of silver nanoparticles. Spectr. Acta A Mol. Biomol. Spectr. 2008, 71, 186–190. [Google Scholar] [CrossRef] [PubMed]
- Gul, M.; Jelani, M.; Hassan, N.U.; Naeem, M.; Rakha, S.A.; Khurram, A.A.; Ali, N.; Munir, A. Modified electrical and microwave absorption properties of silver nanowires grown on graphene nanoplatelets. Mater. Res. Express 2019, 6, 1250f8. [Google Scholar] [CrossRef]
- Zhang, N.; Wang, Z.; Song, R.; Wang, Q.; Chen, H.; Zhang, B.; Lv, H.; Wu, Z.; He, D. Flexible and transparent graphene/silver-nanowires composite film for high electromagnetic interference shielding effectiveness. Sci. Bull. 2019, 64, 540–546. [Google Scholar] [CrossRef]
- Ray, A.; Narasimman, R. Transparent conducting electrodes for optoelectronic devices: State-of-the-art and perspectives. Mater. Res. Found. 2021, 104, 77–113. [Google Scholar]
- Li, H.; Liu, Y.; Su, A.; Wang, J.; Duan, Y. Promising hybrid graphene-silver nanowire composite electrode for flexible organic light-emitting diodes. Sci. Rep. 2019, 9, 17998. [Google Scholar] [CrossRef]
- Zhang, W.; Song, W.; Huang, J.; Huang, L.; Yan, T.; Ge, J.; Peng, R.; Ge, Z. Graphene: Silver nanowires composite transparent electrode based flexible organic solar cells with 13.4% efficiency. J. Mater. Chem. A 2019, 7, 22021–22028. [Google Scholar] [CrossRef]
- Zhang, Y.; Bai, S.; Chen, T.; Yang, H.; Guo, X. Facile preparation of flexible and highly stable graphene oxide-silver nanowire hybrid transparent conductive electrode. Mater. Res. Express 2020, 7, 016413. [Google Scholar] [CrossRef]
- Ye, N.; Yan, J.; Xie, S.; Kong, Y.; Liang, T.; Chen, H.; Xu, M. Silver nanowires-graphene hybrid transparent conductive electrodes for highly efficient inverted organic solar cells. Nanotechnology 2017, 28, 305402. [Google Scholar] [CrossRef]
- Shin, D.H.; Seo, S.W.; Kim, J.M.; Lee, H.S.; Choi, S.H. Graphene transparent conductive electrodes doped with graphene quantum dots-mixed silver nanowires for highly-flexible organic solar cells. J. Alloys Compd. 2018, 744, 1–6. [Google Scholar] [CrossRef]
- Duan, F.; Yang, W.J.; He, X.; Jiang, J.Y.; Zhu, W.Y.; Xia, D.X. Investigation on the silver nanowire/graphene transparent electrode in electrochromic device. J. Nano Res. 2018, 55, 82–90. [Google Scholar] [CrossRef]
- Tugba Camic, B.; Vapaavuori, J.; Basarir, F. Transparent conductive electrode based on LBL deposition of graphene oxide and copper nanowires. Mater. Lett. 2022, 311, 131632. [Google Scholar] [CrossRef]
- Huang, S.; Liu, Y.; Yang, F.; Wang, Y.; Yu, T.; Ma, D. Metal nanowires for transparent conductive electrodes in flexible chromatic devices: A review. Envir. Chem. Lett. 2022, 20, 3005–3037. [Google Scholar] [CrossRef]
- Duan, F.; Li, W.; Wang, G.; Weng, C.; Jin, H.; Zhang, H.; Zhang, Z. Can insulating graphene oxide contribute the enhanced conductivity and durability of silver nanowire coating? Nano Res. 2019, 12, 1571–1577. [Google Scholar] [CrossRef]
- Huang, H. Fabrication of three-dimensional sandwich-like silver nanowire network coated bilayer graphene nanostructures for flexible display. Appl. Opt. 2020, 59, 9878–9883. [Google Scholar] [CrossRef]
- Samoilov, V.M.; Danilov, E.A.; Nikolaeva, A.V.; Yerpuleva, G.A.; Trofimova, N.N.; Abramchuk, S.S.; Ponkratov, K.V. Formation of graphene aqueous suspensions using fluorinated surfactant-assisted ultrasonication of pristine graphite. Carbon 2015, 84, 38–46. [Google Scholar] [CrossRef]
- Danilov, E.A.; Dronova, M.A.; Veretennikov, M.R.; Samoilov, V.M.; Dulina, O.A.; Yashtulov, N.A. Influence of some synthesis medium parameters on particle size and properties of silver nanorods. Vestn. Tehnol. Univ. 2022, 25, 5–12. [Google Scholar] [CrossRef]
- Ammar, S.; Fiévet, F. Polyol synthesis: A versatile wet-chemistry route for the design and production of functional inorganic nanoparticles. Nanomaterials 2020, 10, 1217. [Google Scholar] [CrossRef]
- Cao, L.; Huang, Q.; Cui, J.; Lin, H.; Li, W.; Lin, Z.; Zhang, P. Rapid and facile synthesis of high-performance silver nanowires by a halide-mediated, modified polyol method for transparent conductive films. Nanomaterials 2020, 10, 1139. [Google Scholar] [CrossRef]
- Fievet, F.; Ammar-Merah, S.; Brayner, R.; Chau, F.; Giraud, M.; Mammeri, F.; Peron, J.; Piquemal, J.Y.; Sicarda, L.; Viau, G. The polyol process: A unique method for easy access to metal nanoparticles with tailored sizes, shapes and compositions. Chem. Soc. Rev. 2018, 47, 5187–5233. [Google Scholar] [PubMed]
- Kumar, A.; Shaikh, M.O.; Chuang, C.H. Silver nanowire synthesis and strategies for fabricating transparent conducting electrodes. Nanomaterials 2021, 11, 693. [Google Scholar] [CrossRef]
- Li, B.; Ye, S.; Stewart, I.E.; Alvarez, S.; Wiley, B.J. Synthesis and Purification of Silver Nanowires to Make Conducting Films with a Transmittance of 99%. Nano Lett. 2015, 15, 6722–6726. [Google Scholar] [CrossRef]
- Bao, J.; Wang, J.X.; Zeng, X.F.; Zhang, L.L.; Chen, J.F. Large-Scale Synthesis of Uniform Silver Nanowires by High-Gravity Technology for Flexible Transparent Conductive Electrodes. Ind. Eng. Chem. Res. 2019, 58, 20630–20638. [Google Scholar] [CrossRef]
- Choi, Y.; Kim, C.S.; Jo, S. Spray deposition of Ag nanowire-graphene oxide hybrid electrodes for flexible polymer-dispersed liquid crystal display. Materials 2018, 11, 2231. [Google Scholar] [CrossRef] [PubMed]
- Shi, Y.; He, L.; Deng, Q.; Liu, Q.; Li, L.; Wang, W.; Xin, Z.; Liu, R. Synthesis and applications of silver nanowires for transparent conductive films. Micromachines 2019, 10, 330. [Google Scholar] [CrossRef]
- Liu, C.Y.; Zhang, Y.S.; Kao, C.K.; Liu, J.H. Fabrication of silver nanowires via a β-cyclodextrin-derived soft template. Expr. Polym. Lett. 2018, 12, 591–599. [Google Scholar] [CrossRef]
- ZZhao, W.; Wang, S.S.; Cao, H.T.; Xie, L.H.; Hong, C.S.; Jin, L.Z.; Yu, M.N.; Zhang, H.; Zhang, Z.Y.; Huang, L.H.; et al. An eco-friendly water-assisted polyol method to enhance the aspect ratio of silver nanowires. RSC Adv. 2019, 9, 1933–1938. [Google Scholar] [CrossRef]
- Chen, Z.; Balankura, T.; Fichthorn, K.A.; Riou, R.A. Revisiting the polyol synthesis of silver nanostructures: Role of chloride in nanocube formation. ACS Nano 2019, 13, 1849–1860. [Google Scholar] [CrossRef]
- Gabbett, C.; Boland, C.S.; Harvey, A.; Vega-Mayoral, V.; Young, R.L.; Coleman, J.N. The effect of network formation on the mechanical properties of 1D:2D nano:nano composites. Chem. Mater. 2018, 30, 5245–5255. [Google Scholar] [CrossRef]
- Barwich, S.; de Araújo, J.M.; Rafferty, A.; da Rocha, C.G.; Ferreira, M.S.; Coleman, J.N. On the relationship between morphology and conductivity in nanosheet networks. Carbon 2021, 171, 306–319. [Google Scholar] [CrossRef]
- Cunningham, G.; Lotya, M.; McEvoy, N.; Duesberg, G.S.; van der Schoot, P.; Coleman, J.N. Percolation scaling in composites of exfoliated MoS2 filled with nanotubes and graphene. Nanoscale 2012, 4, 6260–6264. [Google Scholar] [CrossRef] [PubMed]
- Fernandes, I.J.; Aroche, A.F.; Schuck, A.; Lamberty, P.; Peter, C.R.; Hasenkamp, W.; Rocha, T.L. Silver nanoparticle conductive inks: Synthesis, characterization, and fabrication of inkjet-printed flexible electrodes. Sci. Rep. 2020, 10, 8878. [Google Scholar] [CrossRef] [PubMed]
- Maragoó, O.M.; Bonaccorso, F.; Saija, R.; Privitera, G.; Gucciardi, P.G.; Iatií, M.A.; Calogero, G.; Jones, P.H.; Borghese, F.; Denti, P.; et al. Brownian motion of graphene. ACS Nano 2010, 4, 7515–7523. [Google Scholar] [CrossRef]
- Torrisi, F.; Hasan, T.; Wu, W.; Sun, Z.; Lombardo, A.; Kulmala, T.S.; Hsieh, G.W.; Jung, S.; Bonaccorso, F.; Paul, C.J.; et al. Inkjet-printed graphene electronics. ACS Nano 2012, 6, 2992–3006. [Google Scholar] [CrossRef]
- Danilov, E.A.; Samoilov, V.M.; Kalyakin, T.S.; Shakhnazarova, A.B.; Nakhodnova, A.V. Properties of suspensions of few-layer graphene particles obtained by means of the direct exfoliation of natural graphite in polyatomic alcohols. Sorbtsionnye Khromatograficheskie Protsessy 2022, 22, 453–465. [Google Scholar]
- Gomez, C.V.; Tene, T.; Guevara, M.; Usca, G.T.; Colcha, D.; Brito, H.; Molina, R.; Bellucci, S.; Tavolaro, A. Preparation of few-layer graphene dispersions from hydrothermally expanded graphite. Appl. Sci. 2019, 9, 2539. [Google Scholar] [CrossRef]
- Douglas, J.; Zhou, H.X.; Hubbard, J. Hydrodynamic friction and the capacitance of arbitrarily shaped objects. Phys. Rew. E Stat. Phys. Plasm. Fluids Rel. Interd. Top. 1994, 49, 5319–5331. [Google Scholar] [CrossRef]
- Tang, X.Z.; Li, X.; Cao, Z.; Yang, J.; Wang, H.; Pu, X.; Yu, Z.Z. Synthesis of graphene decorated with silver nanoparticles by simultaneous reduction of graphene oxide and silver ions with glucose. Carbon 2013, 59, 93–99. [Google Scholar] [CrossRef]
- Danilov, E.A.; Samoilov, V.M.; Dmitrieva, V.S.; Nikolaeva, A.V.; Ponomareva, D.V.; Timoshchuk, E.I. Manufacturing transparent conducting films based on directly exfoliated graphene particles via Langmuir-Blodgett technique. Inorg. Mater. Appl. Res. 2018, 9, 794–802. [Google Scholar] [CrossRef]
- Lee, E.; Choi, K.B.; Lee, S.; Kim, J.; Jung, J.; Baik, S.; Lim, Y.; Kim, S.; Shim, W. A scalable and facile synthesis of alumina/exfoliated graphite composites by attrition milling. RSC Adv. 2015, 5, 93267–93273. [Google Scholar] [CrossRef]
- Oskouyi, A.; Sundararaj, U.; Mertiny, P. Tunneling conductivity and piezoresistivity of composites containing randomly dispersed conductive nano-platelets. Materials 2014, 7, 2501–2521. [Google Scholar] [CrossRef] [PubMed]
- Kazemi, F.; Mohammadpour, Z.; Naghib, S.M.; Zare, Y.; Rhee, K.E. Percolation onset and electrical conductivity for a multiphase system containing carbon nanotubes and nanoclay. J. Mater. Res. Technol. 2021, 15, 1777–1788. [Google Scholar] [CrossRef]
- Srivastava, S.; Kinoa, H.; Joachima, C. Contact conductance of a graphene nanoribbon with its graphene nano-electrodes. Nanoscale 2016, 8, 9265–9271. [Google Scholar] [CrossRef]
- Chen, D.; Qiao, X.; Qiu, X.; Che, J. Synthesis and electrical properties of uniform silver nanoparticles for electronic applications. J. Mater. Sci. 2009, 44, 1076–1081. [Google Scholar] [CrossRef]
- Wang, G. Confronting theoretical results of localized and additional surface plasmon resonances in silver nanoparticles with electron energy-loss spectroscopy measurements. Phys. Rev. B 2021, 103, 195417. [Google Scholar] [CrossRef]
- Kulkarni, G.U.; Kiruthika, S.; Gupta, R.; Rao, K.D.M. Towards low cost materials and methods for transparent electrodes. Curr. Opin. Chem. Eng. 2015, 8, 60–68. [Google Scholar] [CrossRef]
- Xu, Y.; Liu, J. Graphene as transparent electrodes: Fabrication and new emerging applications. Small 2016, 12, 1400–1419. [Google Scholar] [CrossRef]
- Luo, M.; Liu, Y.; Huang, W.; Qiao, W.; Zhou, Y.; Ye, Y.; Chen, L.S. Towards flexible transparent electrodes based on carbon and metallic materials. Micromachines 2017, 8, 12. [Google Scholar] [CrossRef]
- Karim, N.; Afroj, S.; Tan, S.; Novoselov, K.S.; Yeates, S.G. All inkjet-printed graphene-silver composite inks for highly conductive wearable E-textiles applications. Sci. Rep. 2019, 9, 8035. [Google Scholar] [CrossRef]










Disclaimer/Publisher’s Note: The statements, opinions and data contained in all publications are solely those of the individual author(s) and contributor(s) and not of MDPI and/or the editor(s). MDPI and/or the editor(s) disclaim responsibility for any injury to people or property resulting from any ideas, methods, instructions or products referred to in the content. |
© 2023 by the authors. Licensee MDPI, Basel, Switzerland. This article is an open access article distributed under the terms and conditions of the Creative Commons Attribution (CC BY) license (https://creativecommons.org/licenses/by/4.0/).
Share and Cite
Danilov, E.A.; Veretennikov, M.; Dronova, M.; Kalyakin, T.; Stepashkin, A.A.; Tcherdyntsev, V.V.; Samoilov, V. Simple Route to Increase Electrical Conductivity and Optical Transmittance in Graphene/Silver Nanoparticles Hybrid Suspensions. Appl. Sci. 2023, 13, 1922. https://doi.org/10.3390/app13031922
Danilov EA, Veretennikov M, Dronova M, Kalyakin T, Stepashkin AA, Tcherdyntsev VV, Samoilov V. Simple Route to Increase Electrical Conductivity and Optical Transmittance in Graphene/Silver Nanoparticles Hybrid Suspensions. Applied Sciences. 2023; 13(3):1922. https://doi.org/10.3390/app13031922
Chicago/Turabian StyleDanilov, Egor A., Mikhail Veretennikov, Maria Dronova, Timofey Kalyakin, Andrey A. Stepashkin, Victor V. Tcherdyntsev, and Vladimir Samoilov. 2023. "Simple Route to Increase Electrical Conductivity and Optical Transmittance in Graphene/Silver Nanoparticles Hybrid Suspensions" Applied Sciences 13, no. 3: 1922. https://doi.org/10.3390/app13031922
APA StyleDanilov, E. A., Veretennikov, M., Dronova, M., Kalyakin, T., Stepashkin, A. A., Tcherdyntsev, V. V., & Samoilov, V. (2023). Simple Route to Increase Electrical Conductivity and Optical Transmittance in Graphene/Silver Nanoparticles Hybrid Suspensions. Applied Sciences, 13(3), 1922. https://doi.org/10.3390/app13031922

