Next Article in Journal
Forewarning Model for Glacial Lake Outburst in Southeast Tibet
Previous Article in Journal
High-Performance Microwave Photonic Transmission Enabled by an Adapter for Fundamental Mode in MMFs
 
 
Font Type:
Arial Georgia Verdana
Font Size:
Aa Aa Aa
Line Spacing:
Column Width:
Background:
Article

Instantaneous Reactive Power Theory in the Geometric Algebra Framework

by
Patricio Salmerón
1,
Juan L. Flores-Garrido
1 and
Juan A. Gómez-Galán
2,*
1
Department of Electrical and Thermal Engineering, University of Huelva, 21007 Huelva, Spain
2
Department of Electronic Engineering, Computers and Automation, University of Huelva, 21007 Huelva, Spain
*
Author to whom correspondence should be addressed.
Appl. Sci. 2023, 13(3), 1796; https://doi.org/10.3390/app13031796
Submission received: 5 December 2022 / Revised: 16 January 2023 / Accepted: 23 January 2023 / Published: 30 January 2023
(This article belongs to the Section Energy Science and Technology)

Abstract

In this paper, a new approach for instantaneous reactive power analysis in the geometric algebra (GA) environment is presented. The different formulations of the instantaneous reactive power theory (IRPT) proposed, to date, have been developed in three-phase systems. There, an instantaneous power variable, and two/three reactive power variables, all handled independently, were introduced. Thanks to GA, it is possible to carry out a global treatment where an instantaneous power multivector is defined. Thus, in the same multidimensional entity all the power variables are included. From the instantaneous power multivector, the instantaneous power current and the instantaneous reactive current are determined. It should be noted that in this mathematical framework there is no limitation on the number of phases, and the extension of the IRPT to the analysis of multi-phase systems appears in a natural manner. In this study, a systematic approach with the most relevant definitions and theorems corresponding to the proposed methodology has been established. Two practical cases of five-phase and three-phase systems have been included to apply the new established formulation.

1. Introduction

The development of the instantaneous reactive power theory (IRPT) has been linked from the beginning to the control of active power line conditioners (APLCs). In fact, the use of APLCs for the compensation of non-linear loads led to the proposal of a new power theory in the time domain. This has allowed for new control strategies for these devices, APLCs, which include in their constitution a dc/ac converter as a fundamental element of their power circuit. In addition, the IRPT also established new paradigms regarding the transfer of energy between source and load. This showed that instantaneous power was not the only power variable needed to describe such a process; a new power variable (in its original version) was postulated, the instantaneous imaginary power. Subsequently, different formulations have appeared over time, in which new variables of instantaneous reactive power were added, as collected in [1].
Originally, the so-named pq formulation was published, aimed at the analysis of three-wire three-phase systems. There, the instantaneous active current and the instantaneous reactive current were defined, obtained from the instantaneous power and the instantaneous imaginary power; this was revealed in [2]. Zero-sequence components were treated separately. Later, what has come to be known as the modified pq formulation was published, where the zero-sequence components were included in the global development. For this, instantaneous power and three components of instantaneous reactive power were considered as power variables; a complete exposition of both approaches can be found in [3]. These formulations have been established both in αβ0 coordinates and in phase coordinates [4,5]. Other developments, with less acceptance, have also been proposed, although all of them are based on the management of an instantaneous power variable, and two/three instantaneous reactive power variables. In that setting, the current components are obtained from the power variables in reference [6]. The implementation of different compensation strategies for non-linear and unbalanced loads, through the use of active compensation equipment (APF or APLCs), has been the largest field of the IRPT application, which continues today; see [7,8,9]. Moreover, although references [10,11] perform an analysis for multi-phase systems, it cannot be considered a unified theory that is generated from a single generalized power variable.
On the other hand, geometric algebra (GA) has been configured as a very useful tool for the analysis of multidimensional problems. It allows the introduction of an operation, the geometric product, which includes in its definition the inner product and the cross product. This means having multidimensional objects called multivectors that are independent of any coordinate system. The GA has its origin in the 19th century, but it was not until Hestenes [12] that it was systematically applied in different fields of science and technology [13,14,15]. One of the most widely applied disciplines today is cybernetics [16]. In this context, the GA provides a suitable mathematical framework for the development of a decomposition model for electrical power. One of the first works on the subject is [17], where an electrical power multivector for distorted single-phase systems is proposed. In [18], the same topic is advanced by introducing a complex GA. In both cases, an identification of the power terms collected in the frequency theories adopted up to that moment is achieved. In the same field, the works [19,20,21] can be considered, which reformulate circuit laws and electrical power within the framework of GA in an original way. However, none of these latter proposals support an extension to systems with more than one phase, which requires a new review of the matter. In this regard, new papers published recently have raised the issue from a new perspective [22,23,24]. In [23], a generalization of the transformations commonly used in electrical engineering is introduced. There, the proposed model, called Simple Kirchhoff Rotation (SKR), corresponds to an orthogonal transformation based on elementary rotations and is valid for any n-dimensional space. The use of GA makes it possible to visualize this new model from a geometric perspective. This methodology enables the generalization of the compensation process traditionally proposed by formulations based on Clarke, Park or space-vector transformations to systems with n phases. On the other hand, in [24] the analysis of power in n-phase systems in the GA environment is addressed with the aid of the Hilbert transform (HT). In fact, the introduction of a geometric vector defined as a combination of the signal and its HT for each phase current and voltage requires a Euclidean space of 2n dimensions. This makes it possible to identify a parallel geometric power and a quadrature geometric power for linear loads. However, the general analysis of nonlinear loads also requires extending the Euclidean space to 3n dimensions in order to include current harmonics not present in the voltage. This does not achieve an identification with the representative power and current terms of the IRPT; that is, it does not identify the instantaneous reactive power and the instantaneous reactive current of the IRPT.
In this work, the GA framework is used to formulate the IRPT in a unified way, without the need to resort to any type of coordinate transformation or mathematical transform, applicable to power systems with any number of phases. The latter can be considered of great importance, since drives with more than three phases have emerged in recent years. In effect, the control of 5-phase, 12-phase, or 16-phase motors in wind turbine or electric vehicle applications is an ongoing field of research [25,26].
The original contributions of this research are the following:
  • GA is used to carry out a unified analysis of the IRPT where it is only necessary to introduce a multidimensional power variable, the instantaneous power multivector. As in single-phase systems, the energy transfer between supply and load in an n-phase circuit can be analyzed from a single power variable.
  • IRPT is naturally extended within the GA framework to systems with any number of phases. Thus, three-phase systems emerge as a particular case of multi-phase analysis.
  • The compensation process is systematized from the new multivector power variable. Thus, a compensator power multivector makes it possible to establish instantaneous compensation and/or time-averaged compensation.
Further elaboration of the previous paragraph is followed by clarification of the key idea of the paper. Instantaneous power is the only power variable necessary to describe the energy transfer between source and load in a single-phase system. The IRPT showed that, to explain the energy transfer between source and load in a system with more than one phase, the instantaneous power is not enough. This is true if an n-phase circuit is to be treated as an entire system and not as a combination of n independent circuits. In this paper it is shown that it is possible to analyze the power transfer between source and load in n-phase systems from a single power variable defined in the GA framework. The consistency with the power and current terms of the IRPT is shown.
The paper is organized as follows. In Section 2, the basic definitions and theorems for the analysis of the IRPT in three-phase systems are presented, first establishing the most convenient instantaneous power terms, and then the current terms obtained from the power variables. In Section 3, the unified process used for three-phase systems is extended to systems with more than three phases. In Section 4, the basics of instantaneous and average value compensation under the GA are established. Section 5 includes two selected case studies corresponding to a five-phase system and a real engineering three-phase system. Finally, the main conclusions are given in Section 6.

2. Instantaneous Reactive Power Theory in Three-Phase Systems: A New Approach

2.1. Instantaneous Power Multivector

Let the three-phase system exist as shown in Figure 1; the voltage vector u and current vector i are defined in the form:
u = [ u 1 u 2 u 3 ] T i = [ i 1 i 2 i 3 ] T
Both vectors include line-to-neutral voltage waveforms and line current waveforms. Each of the voltage and current waveforms are time dependent, although this is not explicitly written in most of the expressions in the text that follows. The vectors u and i can be considered elements of a three-dimensional Euclidean space generated by the orthonormal basis ej with j = 1, 2, 3. Thus, the voltage and current vectors can be expressed as (2):
u = u 1 e 1 + u 2 e 2 + u 3 e 3 i = i 1 e 1 + i 2 e 2 + i 3 e 3
For the system of Figure 1, from relations (1)–(2), the following definition of power is established:
Definition 1.
The instantaneous power multivectorsis defined as the geometric product of the voltage and current vectors (3),
s = u i = u · i + u i
From (3) it follows that the geometric product of any two vectors is obtained from the sum of their inner product (u·i) and their cross product (ui). Although a relation such as the one established in (3) would not make sense in ordinary algebra, it is of special relevance in the framework of geometric algebra (GA).
In the geometric algebra environment, each of its entities is called a multivector and is obtained from the geometric products of the orthonormal basis vectors ej of the support linear space. Thus, an operative expression for s(t) is possible by performing the term-by-term geometric product of the vectors given in (2), taking into account the following properties of the basis vectors ej, [16]:
e i e j = { 1 i = j e i j i j e i j = e i · e j + e i e j = e i e j = e j e i = e j i
That is, the geometric product of a basis vector with itself is a scalar or 0-vector, and the geometric product of two different basis vectors is a bivector or 2-vector, since its inner product is zero.
From (3) and (4) we obtain the expression for the multivector s:
s = u i = p + q 12 e 12 + q 31 e 31 + q 23 e 23 = p + q
In (5), the 0-vector part is the instantaneous power p:
p = u 1 i 1 + u 2 i 2 + u 3 i 3
Furthermore, the 2-vector part q, which will be named the instantaneous reactive power bivector, is formed by three instantaneous reactive power components q12, q31, q23, [5]:
q = ( u 1 i 2 u 2 i 1 ) e 12 + ( u 3 i 1 u 1 i 3 ) e 31 + ( u 2 i 3 u 3 i 2 ) e 23 = q 12 e 12 + q 31 e 31 + q 23 e 23
In (5), it is observed that the multivector s is constituted by the combination of two parts or blades, a 0-vector p, that is, a blade of degree zero, and a 2-vector q, that is, a blade of degree two. In general, a multivector will be constituted by the combination of k-vector parts, with k from 0 to 2n, where n is the dimension of the linear support space of the voltage and current vectors. In GA it is also common to use the symbol < >k to designate each one of the blades of degree k of a multivector. Thus, (5) would be expressed as:
s = u i = p + q = s 0 + s 2
The reverse of any multivector M, denoted as M, is defined from expression (9):
M k = ( 1 ) k ( k 1 ) / 2 M k
From there, the reverse of the instantaneous power multivector s is given by (10):
s = p q
Since (11) is verified:
s 0 = s 0 s 2 = s 2
The introduction of the reverse of a k-vector allows establishment of the instantaneous magnitude or norm of a multivector; definition 2 defines the instantaneous norm of the instantaneous power multivector:
Definition 2.
The instantaneous norm s (s) of the instantaneous power multivectorsis defined according to the expression given by (12):
s = s = ( s s ) 1 / 2 = ( k = 0 3 s k s k ) 1 / 2
The summation in relation (12) extends to all the blades included in the multivector. Note that both the multivector s and its norm are time-dependent entities.
Theorem 1.
The instantaneous norm of the instantaneous power multivector s satisfies the relationship between the squares of the instantaneous power and the instantaneous reactive power given by (13):
s 2 = p 2 + q 2
In fact, from (8), (10), and (12) it follows that the square value of the instantaneous power multivector norm can be obtained by:
s 2 = s ( t ) 2 = s 0 s 0 + s 2 s 2 = p 2 + ( q 12 2 + q 31 2 + q 23 2 )
Consider that, from (4), (9), and (12), for the instantaneous reactive power bivector, we have the relationship:
q 2 = s 2 s 2 = q q = ( q 12 e 12 + q 31 e 31 + q 23 e 23 ) ( q 12 e 12 q 31 e 31 q 23 e 23 ) = ( q 12 2 + q 31 2 + q 23 2 ) = q 2
Relation (14) determines the instantaneous apparent power partition, s. The first term represents the square of the instantaneous power and the second term, obtained from the norm of the instantaneous reactive power bivector, (15), represents the square of the instantaneous reactive power q [1].
The model established by (3) and (14) describes three-phases systems in the same way as followed in single-phase systems. Thus, the squared norm of the instantaneous power multivector has an orthogonal decomposition in terms of the instantaneous power and the instantaneous reactive power, of the same type as the decomposition of the apparent power as a function of the active power and the reactive power, typical of the analysis of the power in the sinusoidal steady state. In Section 3, this is generalized for the analysis of multi-phase systems.

2.2. Instantaneous Power/Instantaneous Reactive Currents

In this section, from the power terms defined in the previous section, the current components are determined. First, the inverse of the vector u is defined.
Definition 3.
The inverse of the voltage vector,u−1, is determined from the relation (16):
u 1 = u u u = u u u
and, therefore, (17) is verified:
u u 1 = u 1 u = 1
The denominator of (16) identifies the square of the voltage vector norm:
u u u 2 = u 1 2 + u 2 2 + u 3 2 = u 2
In the framework of the IRPT, expression (18) represents the square of the instantaneous norm of the voltage vector [1].
Theorem 2.
The current vector i of a three-phase system with voltageuis determined from the instantaneous power multivector according to expression (19):
i = u s u u = u s u u
In fact, by multiplying the left side of (3) by the inverse of the voltage vector, it follows that:
u 1 u i = u 1 s
since by application of the associative property of the geometric product in (20), [11], and the relation (17):
i = u 1 s = u s u u = u s u 2 = u s u 2
also taking into account that, for the 1-vectors, from (9), it is true that:
u = u
Theorem 3.
The current i decomposes into two terms, the instantaneous power current ip, and the instantaneous reactive current, iq:
i = i p + i q = u p u 2 + u q u 2
Furthermore, both components are orthogonal and verify the relation (24):
i 2 = i 2 = i p 2 + i q 2 = i p 2 + i q 2
In fact, from (21) it follows that:
i = u u 2 ( s 0 + s 2 ) = u u 2 ( p + q )
The first term of (25) is the instantaneous power current, ip:
i p = u u 2 p
The second term is the instantaneous reactive current, iq:
i q = u u 2 q
Both current terms are orthogonal, since:
i p = u u 2 p = p u 2 ( u 1 e 1 + u 2 e 2 + u 3 e 3 )
and:
i q = u u 2 q = ( u 1 e 1 + u 2 e 2 + u 3 e 3 ) ( q 12 e 12 + q 31 e 31 + q 23 e 23 ) u 2
That is:
i q = ( u 3 q 31 u 2 q 12 ) e 1 + ( u 1 q 12 u 3 q 23 ) e 2 + u 2 + ( u 2 q 23 u 1 q 31 ) e 3 u 2
and from (4), (28), and (30) we obtain (31):
i p i q = i q i p = 0
Thus, from the distributive property of the geometric product, [11], the relation (32) is fulfilled:
i 2 = i i = ( i p + i q ) ( i p + i q ) = i p 2 + i q 2
As a corollary to Theorem 3, it follows from (26) that:
i p 2 = i p 2 = i p i p = p 2 u 2
and from (27):
i q 2 = i q 2 = i q i q = q 2 u 2
Finally, from (13) and (32) the instantaneous apparent power partition is obtained in the form:
s 2 = s s = i u u i = u 2 i 2 = u 2 ( i p 2 + i q 2 ) = u 2 i p 2 + u 2 i q 2 = p 2 + q 2
where:
p = u i p q = u i q
in agreement with (33) and (34).

2.3. Instantaneous Reactive Power versus Reactive Power

The term reactive power has been used since the dawn of alternating current to take into account the phenomena of phase shift between voltage and current. The IRPT took the name of instantaneous reactive power to designate new time-dependent power variables that, in principle, had nothing to do with classical reactive power. The coincidence in the denomination could lead to confusion. However, instantaneous reactive power variables are, in fact, an extension of the sinusoidal steady-state reactive power concept. To show this idea, and in order not to be exhaustive, we will consider the case where the voltages and currents of a three-phase system do not include zero-sequence components, that is, u1 +u2 +u3 = 0; i1 +i2 +i3 = 0. Under these conditions it can be easily verified that the three components of the instantaneous reactive power bivector, q, (7), have the same value:
q = q 3 ( e 12 + e 31 + e 23 )
where q is the bivector norm q.
The instantaneous reactive current vector is, therefore, from (30):
i q = q u 2 ( u 23 3 e 1 + u 31 3 e 2 + u 12 3 e 3 )
in which line to line voltages appear uij = uiuj. A comparison with reactive current, and from there with classic reactive power, requires a transition to the sinusoidal steady state.
A sinusoidal direct sequence voltage and an asymmetrical sinusoidal current of frequency is considered here first. The extra subscript ‘h’ is used to characterize voltages, currents, and reactive power for this situation. Let be the phase voltages be:
u h = [ u 1 h u 2 h u 3 h ] = 2 e { [ V h V h e j 2 π 3 V h e j 2 π 3 ] e j h ω t }
where Re means ‘take real part’. Line currents are considered in the same way:
i h = [ i 1 h i 2 h i 3 h ] = 2 e { [ I h + e j φ h + I h + e j ( φ h + 2 π 3 ) I h + e j ( φ h + + 2 π 3 ) ] e j h ω t } + 2 e { [ I h e j φ h I h e j ( φ h + 2 π 3 ) I h e j ( φ h 2 π 3 ) ] e j h ω t }
where a current component of the same phase sequence as the voltage and a current component of opposite phase sequence to the voltage are distinguished. For these waveforms the instantaneous reactive power (qh) is:
q h = 3 V h I h + sin φ h + 3 V h I h sin ( 2 h ω t + φ h ) = Q h + q ˜ h
The average value of qh represents the classical reactive power corresponding to the phase shift between voltages and currents of the same phase sequence. When the currents (40) include only a positive sequence component, qh is a constant of value equal to the reactive power Qh. The oscillatory part in (41) is related to the phase-sequence current component opposite to the voltage. Instantaneous reactive power extends the concept of classical reactive power.
From (29) we can find the instantaneous reactive current iqh:
i q h = Q h u h 2 u q h q ˜ h u h 2 u q h
where for convenience the orthogonal voltage vector uqh has been introduced as:
u q h = 1 3 [ u 23 u 31 u 12 ] = 2 e { j [ V h V h e j 2 π 3 V h e j 2 π 3 ] e j h ω t }
Thus, the first term of (42) corresponds to the reactive current component irh of the current ih, which has the same sequence as the voltage:
i r h = 2 e { j Q h u h 2 [ V h V h e j 2 π 3 V h e j 2 π 3 ] e j h ω t }
In the above expression the instantaneous norm of the uh vector for a system of balanced sinusoidal voltages is constant and corresponds to its rms value:
u h 2 = U h 2 = 3 V h 2
Thus, the norm squared (rms squared value) of the reactive current of the harmonic hωt is:
i r h 2 = I r h 2 = Q h 2 U h 2
In the most general conditions of asymmetry and distortion there are difficulties in obtaining a definition of steady-state reactive power, and, therefore, there is no unanimous agreement about its computation. However, two definitions remain noteworthy either because of their historical use or their practical usefulness. In fact, the Budeanu reactive power, which computes the sum of the reactive power terms of each common harmonic between voltage and current, was traditionally used for a long time. In contrast, the definition used by Std 1459 takes only the reactive power of the fundamental harmonic [19].
The expression for reactive power in non-sinusoidal asymmetrical regimes in the frequency domain that is most commonly used today, is that suggested by Shepherd-Sharon and adopted by Czarnecki in the current’s physical components (CPC) theory [19]. An identification with IRPT can be established by considering a system of non-sinusoidal voltages and non-sinusoidal unbalanced currents. That is, let the voltage and current vectors be:
u = h u h ; i = h i h
where the sum extends to all harmonics of interest. In accordance with the results obtained for a generic harmonic of order h, the current vector i will include a reactive component resulting from the computation of the reactive currents of each individual harmonic, (41):
i r = h i r h = h Q h U h 2 u q h = h 2 e { j Q h U h 2 [ V h V h e j 2 π 3 V h e j 2 π 3 ] e j h ω t }
and its rms value is:
i r 2 = I r 2 = h Q h 2 U h 2
The definition of reactive power in non-sinusoidal regimes in the classical sense, i.e., that which admits compensation with only the use of reactive passive elements, and which gives rise to a maximum power factor is, therefore:
Q r = U I r = h U h 2 h Q h 2 U h 2
In which the average value of the instantaneous reactive power corresponding to each of the harmonics appears. The following analysis allows a comparison of the current terms in the IRPT and the frequency domain theories.

3. The New Approach to Multi-Phase Systems

In this section, the development of the IRPT in multi-phase systems is addressed according to the same pattern that is followed in Section 2, that is, by establishing definitions and properties concerning the power terms and current components.

3.1. Instantaneous Power Multivector in Multi-Phase Systems

For a multi-phase power system of n+1 conductors, as illustrated in Figure 2, the voltage vector u constituted by the instantaneous voltages u1, … un of each conductor relative to the neutral conductor is defined. Likewise, the current vector i consisting of instantaneous line currents i1, … in flowing through the conductors, is defined:
u = [ u 1 u n ] T i = [ i 1 i n ] T
The voltage and current vectors can be considered as elements of a n-dimensional linear space and be expressed as a linear combination of the vectors of an orthonormal basis ej, j = 1, …, n, that is:
u = u 1 e 1 + + u n e n i = i 1 e 1 + + i n e n
From an alternative perspective, the vectors u and i can be considered as tensors of order 1, in the same way that a scalar can be considered a zero-order tensor.
Definition 4.
In a multi-phase system, the instantaneous power p is defined as the inner product of voltage and current vectors:
p = u · i = u 1 i 1 + + u n i n
Definition 5.
In a multi-phase system, the instantaneous reactive power tensor is defined as the second order hemi-symmetrical tensor determined by the relationship (54):
q = u i = u i i u
where the symbol ‘’ means outer product and the symbol ’’ means tensor product.
The definition of cross product only makes sense in a three-dimensional space; the tensor product, through the relationship (54), allows a definition of outer product in an n-dimensional space.
The tensor product of the voltage vector to the current vector is:
u i = [ u 1 u 2 u n ] [ i 1 i 2 i n ] = [ u 1 i 1 u 1 i 2 u 1 i n u 2 i 1 u 2 i 2 u 2 i n u n i 1 u n i 2 u n i n ]
and the tensor product of the current vector to the voltage vector is:
i u = [ i 1 i 2 i n ] [ u 1 u 2 u n ] = [ i 1 u 1 i 1 u 2 i 1 u n i 2 u 1 i 2 u 2 i 2 u n i n u 1 i n u 2 i n u n ]
Thus, the instantaneous reactive power tensor takes the following form:
q = u i = [ 0 i 1 u 2 u 1 i 2 i 1 u n u 1 i n u 1 i 2 i 1 u 2 0 i 2 u n u 2 i n u 1 i n i 1 u n u 2 i n i 2 u n 0 ]
The terms on each side of the main diagonal are opposite, so it is a hemisymmetric tensor. Thus, the tensor q is composed of n(n − 1)/2 different terms [9].
Definition 6.
For a multi-phase power system, the instantaneous power multivector s is defined as the geometric product between the voltage vector u and the current vector i in the form (58):
s = u i = u · i + u i
The instantaneous power multivector s is obtained from the inner product of voltage and current vectors (53), that is, the instantaneous real power p, and the outer product of voltage and current vectors (54), which is the instantaneous reactive power tensor q.
Nevertheless, in the context of GA, the multivector s consists of a 0-vector part identifying the instantaneous real power p, and a 2-vector part q, which corresponds to a bivector of instantaneous reactive power. The 2-vector part consists of n(n − 1)/2 instantaneous reactive power components (59):
q = ( u 1 i 2 u 2 i 1 ) e 12 + + ( u 1 i n u n i 1 ) e 1 n + + ( u 2 i n u n i 2 ) e 2 n + = q 12 e 12 + + q 1 n e 1 n + + q 2 n e 2 n +
To obtain (59), (4) was taken into account. The n(n − 1)/2 terms constituting the instantaneous reactive power bivector q are given by:
q i j = ( u i i j i i u j ) i ,   j = 1 ,   ,   n ;   i j
The terms of instantaneous reactive power (60) verify relation (61):
i , j , k = 1 i j k n u k q i j = 0
That is, only (n(n − 1)/2) − 1 instantaneous reactive power variables are independent. By definition of the bivector q, it is perpendicular to the vector u, and therefore the inner product of both (obtained as the semi-sum of the geometric products ‘qu’ and ‘qu’) is zero. Thus, from the latter relationship it follows that a multi-phase energy system is characterized by n(n − 1)/2 power variables; the instantaneous power p and (n(n − 1)/2) − 1 variables of instantaneous reactive power qij.
Theorem 4.
The norm of the instantaneous power multivector represents the instantaneous apparent power s, and verifies the relationship between instantaneous real power and instantaneous reactive power given by (62):
s 2 = p 2 + q 2
The proof is identical to that presented for Theorem 1. Thus, (63) is verified:
s 2 = s 2 = s 0 s 0 + s 2 s 2 = p 2 + i , j = 1 i < j n q i j 2
Relation (63) determines the partition of instantaneous apparent power. The first term represents the instantaneous power and the second, obtained from the norm of instantaneous reactive power bivector, (15), represents the instantaneous reactive power q [9].
The model established by (62) describes multi-phase systems according to the same approach followed in single phase systems. In the same way that was fixed for three-phase systems, the squared norm of the instantaneous power multivector has an orthogonal decomposition in terms of the instantaneous real power and instantaneous reactive power, of the same type as the decomposition of the apparent power depending on active power and reactive power, characteristic of the power analysis at a sinusoidal steady state.

3.2. Instantaneous Power Current and Instantaneous Reactive Current in Multi-Phase Systems

After defining the power terms in a multi-phase system, in this section the current components are obtained. From the definition of the instantaneous power multivector (44), it is possible to determine, for a given voltage u, the current vector i.
Theorem 5.
The current vector i of a multi-phase system supplied with a voltage u is obtained from the instantaneous power multivector according to expression (64):
i = u s u u = u s u u
In fact, if the left side of (44) is multiplied by u−1, it gives:
u 1 u i = u 1 s
and from (17) it follows that (66):
i = u 1 s = u s u u = u s ( t ) u 2 = u s u 2
since it is always verified that:
u = u
Theorem 6.
The current i is decomposed into two terms, the instantaneous power current ip and the instantaneous reactive current, iq:
i = i p + i q = u p u 2 + u q u 2
Furthermore, both components are orthogonal and verify the relationship (69):
i 2 = i 2 = i p 2 + i q 2 = i p 2 + i q 2
The proof is identical to that presented for Theorem 3.
Both current components, instantaneous power current and instantaneous reactive current, verify the relationship (70):
i 2 = i p 2 + i q 2
where:
i p 2 = i p 2 = p 2 u 2
and:
i q 2 = i q 2 = q 2 u 2
Finally, from (70), the partition of the instantaneous apparent power for multi-phase systems is:
s 2 = u 2 i 2 = u 2 i p 2 + u 2 i q 2 = p 2 + q 2
where:
p = u i p q = u i q
according to (71) and (72).

4. Instantaneous/Average Compensation

In previous sections, general power terms are derived within the GA framework. In addition, those expressions are used to decompose the current vector into two orthogonal components. In this section, different compensation strategies and compensation currents are established from the point of view of the exposed development.
From the new formulation, two compensation approaches are presented: time instantaneous compensation (TIC) and time average compensation (TAC). Regarding the second approach, different specific compensation objectives can be proposed: constant supply active power, a unity power factor, and current in phase with the fundamental component of the supply voltage. In addition, the operative expressions of the reactive power variables allow the imposition of other compensation objectives [1,2,3,4,5,6].
Figure 3 presents the schematic of a compensated power system. The supply, the load, and the shunt compensation system are highlighted.
Thus, according to the fact that the instantaneous power multivector is additive, it follows that:
s S = s L + s C
where sS is the source instantaneous power multivector, sL the load instantaneous power multivector, and sC the compensator instantaneous power multivector.
If the load instantaneous power multivector, sL, is considered to be:
s L = u i L = p L + q L
then the load current takes the expression:
i L = u u 2 ( p L + q L ) = i L p + i L q
The time instantaneous compensation process (TIC) is a compensation procedure without energy storage and corresponds to reducing |iq| or |q|, without altering the instantaneous power transfer.
Definition 7.
The time instantaneous compensation method, TIC, consists of connecting a compensator without energy storage in shunt with the load, so that it transfers the instantaneous reactive power of the load with the opposite sign.
Theorem 7.
In a multi-phase system consisting of a load with an instantaneous power multivector, sL, and a shunt compensator without energy storage with an instantaneous power multivector,sC, the time instantaneous compensation process assumes that:
i S = u u 2 p L ; i C = u u 2 q L
In fact, the TIC means that the compensator transfers all the instantaneous reactive power; that is, for the references in Figure 3:
s C = q L
then the compensator current is:
i C = u s C u 2 = u ( q L ) u 2
The application of the Kirchhoff Current Law (KCL) to the system in Figure 3 allows the source current to be determined after compensation:
i S = i L + i C = u s L u 2 + u q L u 2 = u u 2 ( s L q L ) = u p L u 2 i L p
which matches with the load instantaneous power current. Thus, the source current only transfers the load instantaneous power.
The time average compensation process (TAC) corresponds to a reduction in the losses averaged over time, without altering the active power from source to load. That is, for a voltage u, and a given average power transferred to the load (82):
P = 1 T 0 T p d t
it is sought to modify ip or p, so that the average losses are reduced as much as possible. This approach corresponds to the mitigation of the variable part of the instantaneous power that is transferred between source and load [6]:
p ( t ) = P + p ˜
where P is the dc component and p ˜ the ac component of the instantaneous power p; it is clear that this compensation process requires devices with energy storage capacity.
Definition 8.
The time average compensation (TAC) method consists of the connection in shunt with the load of a compensator that injects the load instantaneous reactive power and the oscillations with zero mean value of the instantaneous power.
Theorem 8.
In a multi-phase system consisting of a load with an instantaneous power multivector, sL, and a compensator with an instantaneous power multivector,sC, the time average compensation process assumes that:
i S = u u 2 P L ; i C = u u 2 ( p ˜ L + q L )
In fact, the time average compensation means that the compensator transfers all the instantaneous reactive power and the ac component of the load instantaneous power; that is, for the references in Figure 3:
s C = q L p ˜ L
then the incoming current to the compensator is:
i C = u s C u 2 = u ( q L ) u 2 + u ( p ˜ L ) u 2
The application of KCL to the system in Figure 3 allows us to obtain the source current after compensation:
i S = i L + i C = u u 2 ( s L q L p ˜ L ) = u P L u 2 i L a
Thus, the source current only transfers the average (or active) power of the load.

5. Application Cases

In this section, two systems with different number of phases are considered in order to illustrate the proposed methodology.

5.1. Case 1: A Five-Phase System Example

In this section, a five-phase system with unbalanced and distorted voltages and currents is used. The voltages include the 50 Hz fundamental harmonic and a fifth-order harmonic. In order to provide details of the simulation example, the following nomenclature has been used. Thus, (88) represents a generic expression for the voltage waveform of one of the phases j = 1, …, 5:
v s j ( t ) = 2 h = 1 , 5 j = 1 5 V h j cos ( h ( ω t + θ j ) )
To express unbalance and distortion, VUj and VHFh factors, respectively, are introduced as indicated by (89):
V h j = V U j × V H F h
Table 1 and Table 2 present the values of each of these factors.
Similarly, for the supply current, the 50 Hz fundamental harmonic, and fifth- and seventh-order harmonics, are considered. The subscript h is reserved to indicate the order of the harmonic. A generic waveform for one of the phases is:
i s j ( t ) = 2 h = 1 , 5 , 7 j = 1 5 I h j cos ( h ( ω t + θ j ) + φ j )
with:
I h j = C U j × C H F h
where the CUj and CHFh factors are introduced to account for unbalanced and distorted currents. Likewise, Table 1 and Table 2 record the values that are adopted for these factors in this application example. The phase angles for the voltage and current waveforms are listed in Table 3.
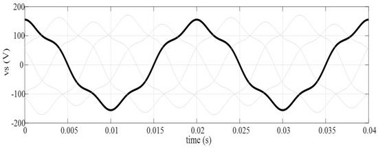
Figure 4 shows the five-phase voltage system (unbalanced and distorted) in which the voltage of phase 1 is highlighted. The two types of compensation indicated in Section 4 are considered. The time instant t = 0.02 s is established as the one where the compensation is applied. Figure 5a shows the current waveforms before and after TIC. In the same way, Figure 5b presents the current waveforms before and after TAC. Figure 5a shows how the source current after TIC is the instantaneous power current, and therefore does not transfer instantaneous reactive power. In the same way, Figure 5b shows how, after TAC, the source current does not transfer instantaneous reactive power nor does it transfer the oscillatory part of the instantaneous power. The current transfers only the average power and reproduces the unbalance and distortion of the voltage.
The balance of the power variables before and after TIC is presented in Figure 6. Figure 6a shows how the instantaneous power is the same before/after TIC. In contrast, Figure 6b shows how the instantaneous reactive power after TIC cancels out. Thus, the instantaneous power multivector norm coincides with the instantaneous power after TIC; Figure 6c.
The balance of the power variables before and after TAC is presented in Figure 7. Figure 7a shows how the instantaneous power after TAC is constant: average power (active power). Figure 7b presents how the instantaneous reactive power is null after TAC, the same situation as shown in Figure 6b. Figure 7c shows how the norm of the instantaneous power multivector, after TAC, coincides with the active power.

5.2. Case 2: An Industrial Three-Phase System

In the following, a real engineering system is presented. This shows more clearly the effectiveness of the proposed method. An unbalanced and distorted three-phase system with neutral conductor is considered. An asymmetrical nonlinear load is formed by three bridge rectifiers connected in a star with an accessible neutral. For this purpose, each RL branch on the dc side of each rectifier has different parameter values according to Table 4. Figure 8 shows a schematic of the implemented power system.
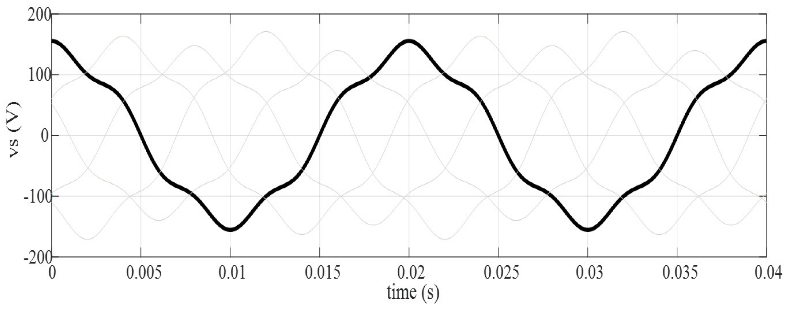
A three-phase unbalanced voltage set with distortion is applied to the load; Table 4. Figure 9 shows the supply voltage waveforms.
The two types of compensation established in Section 4 are applied. As previously established, in TIC the compensation occurs instantaneously from the very moment the APLC operates. In TAC there will be a delay since it is necessary to obtain the averaged value of the load active power. It is common practice for the APLC control circuit to include a low-pass filter (LPF) to perform this task, [1]. Here, a second-order Butterworth filter is used; this implies a delay in the response to TAC which, in this case, is of the order of one and a half cycles.
Results of the waveforms of interest are presented below. Figure 10a presents the waveforms corresponding to the supply current before/after TIC; the compensator is switched on at instant t = 0.06 s. From that moment on, the currents transport only the instantaneous power; they do not transfer instantaneous reactive power between them, reducing, therefore, the value of their instantaneous norm. Figure 10b shows the supply current waveforms before/after TAC. The compensated currents can be seen after the LPF settling time has elapsed. In this case, the currents transport only the average power absorbed by the load.
Figure 11 shows the power balance before/after compensation from the norm of the instantaneous power multivector, ss. Figure 11a presents ss before/after TIC; from 0.06 s, ss is identified with instantaneous power (does not include instantaneous reactive power component). Figure 11b shows ss before/after TAC; from the APLC connection and after the LPF settling time, ss is identified with the average power (does not include instantaneous reactive power and does not include the oscillatory part of the instantaneous power).
Finally, Figure 12 shows the waveforms of the neutral current. Figure 12a presents the neutral current before/after TIC, and Figure 12b shows the neutral current before/after TAC. In both cases there is a significant mitigation of the current after compensation; the small value observed in the figure corresponds to the harmonics still present in the sum of the supply currents after compensation.

6. Conclusions

In this study, a systematic development of the IRPT in the framework of geometric algebra (GA) was carried out. The most relevant definitions and theorems about power variables, current terms, and compensation principles in the IRTP environment were established. For this, the GA mathematical tool was used, which introduces a unified methodology to a multidimensional problem such as that of electrical power. In this way, a single mathematical object called an instantaneous power multivector was defined, which encompasses both the instantaneous power and the different variables of instantaneous reactive power. From there, it was possible to obtain the current and each of its orthogonal components: instantaneous power current and instantaneous reactive current. The approach followed here requires neither coordinate transformations nor mathematical transformations; the waveforms of voltages and line currents are handled directly.
The approach followed was to first carry out an analysis of three-phase systems, to later obtain their subsequent generalization to multi-phase systems. Thus, it was shown that an IRPT development is possible for any number of phases, where the power variables are contained as components of the same mathematical entity.
Logically, the power variables and the current terms presented coincide with those included in the technical literature in the traditional proposals. In the same way, the fundamentals of compensation—instantaneous time compensation (TIC) and time average compensation (TAC)—within the framework of the proposed formulation, were established. Finally, the methodology developed was applied to two practical examples. First, the case of a five-phase system was considered. The currents before and after the use of both types of compensation (TIC and TAC), and the power balance, were shown. Then, in order to show the effective use of the proposed methodology in a real engineering case, a non-sinusoidal unbalanced three-phase system with neutral conductor was presented.

Author Contributions

Conceptualization, P.S., J.L.F.-G. and J.A.G.-G.; Data curation, P.S. and J.L.F.-G.; Formal analysis, P.S.; Investigation, P.S., J.L.F.-G. and J.A.G.-G.; Methodology, P.S. and J.L.F.-G.; Resources, P.S.; Software, P.S., J.L.F.-G. and J.A.G.-G.; Supervision, P.S. and J.A.G.-G.; Validation, P.S., J.L.F.-G. and J.A.G.-G.; Visualization, P.S.; Writing—original draft, P.S., J.L.F.-G. and J.A.G.-G.; Writing—review and editing, P.S. All authors have read and agreed to the published version of the manuscript.

Funding

This research received no external funding.

Institutional Review Board Statement

Not applicable.

Informed Consent Statement

Not applicable.

Data Availability Statement

Not applicable.

Conflicts of Interest

The authors declare no conflict of interest.

References

  1. Salmerón, P.; Sánchez, R.; Kim, H. Instantaneous reactive power theory applied to active power filter compensation: Different approaches, assessment, and experimental results. IEEE Trans. Ind. Electron. 2008, 55, 184–196. [Google Scholar] [CrossRef]
  2. Akagi, H.; Kanazawa, Y.; Nabae, A. Instantaneous reactive power compensators comprising switching devices without energy storage components. IEEE Trans. Ind. Appl. 1984, IA-20, 625–630. [Google Scholar] [CrossRef]
  3. Akagi, H.; Ogasawara, S.; Kim, H. The theory of instantaneous power in three-phase four-wire systems and its application. In Proceedings of the Conference Record of the IEEE Industry Applications, IAS Annual Meeting, Phoenix, AZ, USA, 3–7 October 1999; pp. 74–86. [Google Scholar] [CrossRef]
  4. Nabae, A.; Nakano, H.; Togasawa, S. An instantaneous distortion current compensator without any coordinate transformation. In Proceedings of the IEEJ International Power Electronics Conference, Yokohama, Japan, 5–9 March 1999; pp. 1651–1655. [Google Scholar] [CrossRef]
  5. Peng, F.Z.; Lai, J.S. Generalized instantaneous reactive power theory for three-phase power systems. IEEE Trans. Inst. Meas. 1996, 45, 293–297. [Google Scholar] [CrossRef]
  6. Kim, H.; Blaabgerg, F.; Bak-Jensen, B.; Choi, J. Instantaneous power compensation in three-phase systems by using p-q-r theory. IEEE Trans. Power Electron. 2002, 17, 701–710. [Google Scholar] [CrossRef]
  7. Harirchi, F.; Godoy-Simoes, M. Enhanced instantaneous power theory decomposition for power quality smart converter applications. IEEE Trans. Power Electron. 2018, 33, 9344–9359. [Google Scholar] [CrossRef]
  8. Yan, S.; Wang, M.; Yang, T.; Tan, S.; Chaudhuri, B.; RonHui, S.Y. Achieving multiple functions of three-phase electric springs in unbalanced three-phase power systems using the instantaneous power theory. IEEE Trans. Power Electron. 2018, 33, 5784–5795. [Google Scholar] [CrossRef]
  9. Flores-Garrido, J.L.; Salmerón, P.; Gómez-Galán, J.A. Nonlinear loads compensation using a shunt active power filter controlled by feedforward neural networks. Appl. Sci. 2021, 11, 7737. [Google Scholar] [CrossRef]
  10. Salmerón, P.; Herrera, R.S. Instantaneous reactive power theory: A general approach to poly-phase systems. Electr. Power Syst. Res. 2009, 79, 1263–1270. [Google Scholar] [CrossRef]
  11. Montaño, J.C. Reviewing concepts of instantaneous and average compensations in polyphase systems. IEEE Trans. Ind. Electron. 2011, 58, 213–220. [Google Scholar] [CrossRef]
  12. Hestenes, D. New Foundations for Classical Mechanics, Fundamental Theories of Physics, 2nd ed.; Springer: Berlin, Germany, 1999; ISBN 978-0792355144. [Google Scholar] [CrossRef]
  13. Chappell, J.M.; Drake, S.P.; Seidel, C.L.; Gunn, L.J.; Iqbal, A.; Allison, A.; Abbott, D. Geometric algebra for electrical and electronic engineers. Proc. IEEE 2014, 102, 1340–1363. [Google Scholar] [CrossRef]
  14. Petroianu, A.I. A geometric algebra reformulation and interpretation of Steinmetz’s symbolic method and his power expression in alternating current electrical circuits. Electron. Eng. 2015, 97, 175–180. [Google Scholar] [CrossRef]
  15. Cieśliński, J.; Walczyk, C. Geometric algebra framework applied to circuits with non-sinusoidal voltages and currents. Preprints 2021, 2021110468. [Google Scholar] [CrossRef]
  16. Bayro-Corrochano, E. Geometric Algebra Applications, Vols. I and II; Springer International Publishing: Cham, Switzerland, 2020. [Google Scholar] [CrossRef]
  17. Menti, A.; Zacharias, T.; Milias-Argitis, J. Geometric algebra: A powerful tool for representing power under nonsinusoidal conditions. IEEE Trans. Circuits Syst. I Reg. Papers 2007, 54, 601–609. [Google Scholar] [CrossRef]
  18. Castilla, M.; Bravo, J.C.; Ordóñez, M.; Montaño, J.C. Clifford theory: A geometrical interpretation of multivectorial apparent power. IEEE Trans. Circuits Syst. I Reg. Papers 2008, 55, 3358–3367. [Google Scholar] [CrossRef]
  19. Castro-Núñez, M.; Castro-Puche, R. The IEEE standard 1459, the CPC power theory, and geometric algebra in circuits with nonsinusoidal sources and linear loads. IEEE Trans. Circuits Syst. I 2012, 12, 2980–2990. [Google Scholar] [CrossRef]
  20. Castro-Núñez, M.; Londoño-Monsalve, D.; Castro-Puche, R. Theorems of compensation and Tellegen in non-sinusoidal circuits via geometric algebra. IET J. Eng. 2019, 4, 3409–3417. [Google Scholar] [CrossRef]
  21. Castro-Núñez, M.; Londoño-Monsalve, D.; Castro-Puche, R. Geometric algebra, the key tool to unveil why non-sinusoidal power theories fail. In Proceedings of the 2021 International Conference on Electrical, Computer, Communications and Mechatronics Engineering (ICECCME), Mauritius, Mauritius, 7–8 October 2021. [Google Scholar] [CrossRef]
  22. Montoya, F.G.; León, F.; Arrabal-Campos, F.; Alcayde, A. Determination of instantaneous powers from a novel time-domain parameter identification method of non-linear single-phase circuits. IEEE Trans. Power Deliv. 2022, 5, 3608–3619. [Google Scholar] [CrossRef]
  23. Eid, A.H.; Montoya, F.G. A systematic and comprehensive geometric framework for multiphase power systems analysis and computing in time domain. IEEE Access 2022, 10, 132725–132741. [Google Scholar] [CrossRef]
  24. Montoya, F.G.; Baños, R.; Alcayde, A.; Arrabal-Campos, F.M.; Roldán-Pérez, J. Geometric algebra applied to multiphase electrical circuits in mixed time–frequency domain by means of hypercomplex Hilbert transform. Mathematics 2022, 9, 1419. [Google Scholar] [CrossRef]
  25. Bermúdez, M.; Barrero, F.; Martín, C.; Perales, M. Performance analysis of direct torque controllers in five-phase electrical drives. Appl. Sci. 2021, 11, 11964. [Google Scholar] [CrossRef]
  26. Furmanik, M.; Gorel, L.; Konvičný, D.; Rafajdus, P. Comparative study and overview of field-oriented control techniques for six-phase PMSMs. Appl. Sci. 2021, 11, 7841. [Google Scholar] [CrossRef]
Figure 1. Phase-neutral voltages and line currents in a three-phase power system.
Figure 1. Phase-neutral voltages and line currents in a three-phase power system.
Applsci 13 01796 g001
Figure 2. Phase to neutral voltages and line currents in a multi-phase power system.
Figure 2. Phase to neutral voltages and line currents in a multi-phase power system.
Applsci 13 01796 g002
Figure 3. Multi-phase power system with a shunt compensator.
Figure 3. Multi-phase power system with a shunt compensator.
Applsci 13 01796 g003
Figure 4. Voltages of a distorted and unbalanced five-phase system; phase 1 is highlighted.
Figure 4. Voltages of a distorted and unbalanced five-phase system; phase 1 is highlighted.
Applsci 13 01796 g004
Figure 5. (a) Supply currents before/after instantaneous compensation (TIC). (b) Supply currents before/after average compensation (TAC). Compensation at t = 0.02 s.
Figure 5. (a) Supply currents before/after instantaneous compensation (TIC). (b) Supply currents before/after average compensation (TAC). Compensation at t = 0.02 s.
Applsci 13 01796 g005
Figure 6. Power variables before/after TIC (t = 0.02 s): (a) instantaneous power, (b) instantaneous reactive power, (c) norm of the instantaneous power multivector.
Figure 6. Power variables before/after TIC (t = 0.02 s): (a) instantaneous power, (b) instantaneous reactive power, (c) norm of the instantaneous power multivector.
Applsci 13 01796 g006
Figure 7. Power variables before/after TAC (t = 0.02 s): (a) instantaneous power, (b) instantaneous reactive power, (c) norm of instantaneous power multivector.
Figure 7. Power variables before/after TAC (t = 0.02 s): (a) instantaneous power, (b) instantaneous reactive power, (c) norm of instantaneous power multivector.
Applsci 13 01796 g007
Figure 8. Scheme of an unbalanced non-sinusoidal compensated three-phase system.
Figure 8. Scheme of an unbalanced non-sinusoidal compensated three-phase system.
Applsci 13 01796 g008
Figure 9. Voltages of a distorted and unbalanced 3-phase system; phase 1 is highlighted.
Figure 9. Voltages of a distorted and unbalanced 3-phase system; phase 1 is highlighted.
Applsci 13 01796 g009
Figure 10. (a) Supply currents before/after instantaneous compensation (TIC). (b) Supply currents before/after average compensation (TAC); compensation is achieved in a cycle and a half. Compensation at t = 0.06 s.
Figure 10. (a) Supply currents before/after instantaneous compensation (TIC). (b) Supply currents before/after average compensation (TAC); compensation is achieved in a cycle and a half. Compensation at t = 0.06 s.
Applsci 13 01796 g010
Figure 11. (a) Norm of instantaneous power multivector, ss, before/after instantaneous compensation (TIC); ss only includes the instantaneous power after compensation. (b) Norm of instantaneous power multivector, ss, before/after average compensation (TAC); ss only includes the average power after compensation once the settling time has elapsed. Compensation at t = 0.06 s.
Figure 11. (a) Norm of instantaneous power multivector, ss, before/after instantaneous compensation (TIC); ss only includes the instantaneous power after compensation. (b) Norm of instantaneous power multivector, ss, before/after average compensation (TAC); ss only includes the average power after compensation once the settling time has elapsed. Compensation at t = 0.06 s.
Applsci 13 01796 g011
Figure 12. (a) Neutral current for case 2 before/after TIC. (b) Neutral current for case 2 before/after TAC. Compensation at t = 0.06 s.
Figure 12. (a) Neutral current for case 2 before/after TIC. (b) Neutral current for case 2 before/after TAC. Compensation at t = 0.06 s.
Applsci 13 01796 g012
Table 1. Factors used to express voltage and current unbalance.
Table 1. Factors used to express voltage and current unbalance.
jVUjCUj
111
21.051.1
30.950.9
41.11.05
50.90.95
Table 2. Factors used to express harmonics of voltage and current.
Table 2. Factors used to express harmonics of voltage and current.
hVHFhCHFh
111
50.10.5
7-0.2
Table 3. Phase angles of line voltages and currents.
Table 3. Phase angles of line voltages and currents.
jθjφj
10−π/6
2−2π/5−2π/6
3−4π/5−1.5π/6
4−6π/5−1.8π/6
5−8π/5−1.2π/6
Table 4. RMS values of the supply voltage and RL branch parameters on the dc side of the rectifiers.
Table 4. RMS values of the supply voltage and RL branch parameters on the dc side of the rectifiers.
RMS Voltage Values (V)Rectifiers
Phase jHarmonic h = 1Harmonic h = 5Rj (Ω)Lj (H)
1230230 × 1 × 0.05200.01
2230 × 1.05230 × 1.05 × 0.05250.01
3230 × 0.95230 × 0.95 × 0.05150.01
Disclaimer/Publisher’s Note: The statements, opinions and data contained in all publications are solely those of the individual author(s) and contributor(s) and not of MDPI and/or the editor(s). MDPI and/or the editor(s) disclaim responsibility for any injury to people or property resulting from any ideas, methods, instructions or products referred to in the content.

Share and Cite

MDPI and ACS Style

Salmerón, P.; Flores-Garrido, J.L.; Gómez-Galán, J.A. Instantaneous Reactive Power Theory in the Geometric Algebra Framework. Appl. Sci. 2023, 13, 1796. https://doi.org/10.3390/app13031796

AMA Style

Salmerón P, Flores-Garrido JL, Gómez-Galán JA. Instantaneous Reactive Power Theory in the Geometric Algebra Framework. Applied Sciences. 2023; 13(3):1796. https://doi.org/10.3390/app13031796

Chicago/Turabian Style

Salmerón, Patricio, Juan L. Flores-Garrido, and Juan A. Gómez-Galán. 2023. "Instantaneous Reactive Power Theory in the Geometric Algebra Framework" Applied Sciences 13, no. 3: 1796. https://doi.org/10.3390/app13031796

APA Style

Salmerón, P., Flores-Garrido, J. L., & Gómez-Galán, J. A. (2023). Instantaneous Reactive Power Theory in the Geometric Algebra Framework. Applied Sciences, 13(3), 1796. https://doi.org/10.3390/app13031796

Note that from the first issue of 2016, this journal uses article numbers instead of page numbers. See further details here.

Article Metrics

Back to TopTop