Abstract
The modernization of human civilization has led to the prospect of better and more durable building materials. Marble, found in various colors and textures, has been used as a building stone for centuries, either as cut stone or polished stone. The present study evaluated the petrological, geochemical, and geotechnical characterizations of the Gahirat Marble formation as a building stone. It is exposed over an area of 160 square kilometers in southwestern Chitral. The Gahirat Marble formation has been divided into two parts, i.e., the eastern and western parts. The eastern part is a coarse crystalline rock that exhibits a granulose structure and was subjected to amphibolite facies metamorphism, whereas its western part is a coarse-to-medium crystalline rock that displays a differential granulose structure and was subjected to green schist facies metamorphism. Petrographically, it is composed mainly of calcite (>92%) with minute quartz, chlorite, muscovite, biotite, garnet, and opaque minerals. The X-ray fluorescence (XRF) technique was used to analyze the chemical composition of the Gahirat Marble showing that it is a pure calciocarbonate marble (CaO: 53.16–55.02 wt.%). The specific gravity measured varies from 2.46–2.71 gm/cm3, water absorption is <0.2%, sulfate soundness is <0.65, and due to its unconfined compressive strength, it is classified as strong rock, thus conforming to ASTM C503 specifications. The results acquired from the investigated samples suggest they are suitable as dimension stones. Until now, it has been limitedly mined and marketed but can be further exploited for export trade, based upon its petrographic, geotechnical, and geochemical characterization.
1. Introduction
Natural stones are widely used as building stones and have been available for human use since prehistoric ages. These stones mainly comprise marble, sandstone, limestone, etc. [1]. They can be shaped into the form of blocks, slabs, or tiles for decorative purposes. In ancient civilizations, building stones were mostly used for monuments, building materials, and decoration [2]. Building stones are available in a wide variety of colors and textures, depending on the mineral composition of the rock. Nature has produced stones with different engineering characteristics; those chosen for dimension stones and construction materials must meet the highest standards to ensure the best work in all conditions [3]. The type of rock used as a building stone is influenced by different factors, from its physical and chemical properties to its innovative characteristics [4].
Building stones are extracted or mined from different parts of the Earth’s surface [5]. Building stones have been extensively used as aggregates and dimension stones [6]. Building stones largely depend on the mineral composition of the rock. Their quality and characteristics may be extensively affected by tectonic activity. Tectonic forces may affect the lithology, mineral composition, and rock strength. In addition, the suitability of the rock as a building stone is determined by the regional geology of its region [7]. Yavuz et al. [8] described a variety of factors to determine the quality of marble rock suitable for building stones. These factors include the rock’s physical properties, volume, transportation costs, and ease of quarrying [9,10].
Marble is a crystalline metamorphic rock composed mainly of calcite or dolomite, and it is mostly used for monumental and decorative purposes as it can be shaped into blocks, slabs, and tiles [11,12]. The use of marble as building and dimension stones is a global practice due to its availability in different colors and its polished surface, durability, and ease of processing [5,13]. Marbles that are colorless or light-colored are considered the most elegant, classy, and decorative natural stone, and are widely used in buildings and artistic sculptures [14,15]. Crushed marble is also used as a fine construction aggregate, in mortars, and in paints as it is a good filler and extender, has high brightness, and is weather-resistant [16]. White marble and limestone are used in the manufacturing of statues, monuments, and architectural work [17].
Assessment of the geotechnical properties of rocks used as building and dimension stones has generally been reported in previous studies [10,18]. These properties are affected by many factors such as weathering, texture, porosity, fissures, petrography, and mineralogy [19,20,21,22,23].
The marble industry in Pakistan has enormous potential to contribute significantly to the economic growth of the country. The aim of this study is to detail the fundamental characteristics of Pakistan’s well-known marble resources. The main objective of the current study is to perform a geotechnical investigation based on the physico-mechanical properties of the marble available in various quarries in the Chitral area that is used for decorative purposes. For optimal utilization in construction applications, several geological and engineering features of the rocks were evaluated. The physico-mechanical properties of a rock are very important for the selection of rocks as dimension stones [24]. High values of tensile and compressive strength indicate the durability of the marble as a dimension stone [12,25]. Moreover, the accessibility and ease of quarrying is another factor to consider, and the dimension stone must meet the standards for strength, porosity, workability, appearance, and durability [1,3,26,27]. Petrographic analysis was used to characterize the quality of the rock based on the type of mineral and the grain texture formed during different geological times in a particular environment [28,29,30,31,32]. Bukhari et al. [27] evaluated the geotechnical properties of the Gahirat Marble. However, the geotechnical properties in relation to petrographic and geochemical analysis have not yet been studied. The purpose of the current study is to establish a relationship among the geotechnical, petrographical, and geochemical properties of Gahirat Marble for the suitability of marble in the construction industry.
2. Geological Setting
There are huge reserves of marble, limestone, dolostone, and granite in Pakistan, with the reserves of marble and onyx topping 300 billion metric tons, according to the Trade Development Authority of Pakistan [33]. The Government of KPK, in collaboration with Pakistan Stone Development Company (PASDEC), drew up a prefeasibility report in 2010 on marble and granite quarrying and processing in the FATA (Mohamand Agency) and Chitral (Figure 1) [34]. The huge reserves of Gahirat Marble in Chitral display colors varying from white to light grey (Figure 2a–d). Malkani et al. [35] described the Gahirat Marble deposits in Chitral, which have a total potential of around 1000 million metric tons.
Figure 1.
Geological and sample location map of the Chitral area.
Figure 2.
Exposed Unit of Gahirat Marble (a) showing gray color Gahirat Marble near the Chinar area. (b) The line showing contact between Chitral slates and Gahirat Marble near Gahirat Gol area. (c) Type locality of Gahirat Marble showing white color near Gahirat village. (d) Showing intrusive contact of Kesu-Buni zone granodiorite with Gahirat Marble.
The Chitral district mostly lies in northwest Pakistan, on the southern side of the Karakoram Block (Figure 1) [36]. The rocks exposed in the Karakoram Block are situated between the Indus Zangpo Suture Zone on the northern side and the Indus Suture Zone on the southern side [37]. In the north of the Indus Suture Zone, the Chitral area is divided into two geological zones on the northern and southern sides of the Reshun Fault.
The northern zone comprises Chitral Slates (Permain to Cretaceous), Koghozi Greenschist (Jurassic), Kesu-Buni Pluton medium-grained granodiorite, Gahirat Marble (Cretaceous), Krinj Limestone (Cretaceous), Reshun Formation (Late Cretaceous), and Karakoram Block [38]. Paleozoic and Mesozoic sedimentary and volcanic rocks that have undergone regional metamorphism characterize the rocks in the Chitral area [39]. The metamorphosed rocks are mainly greenschist to amphibolite facies. The low-grade metamorphic rocks are slate, chlorite mica schist, green stone, marble, and graphitic schist. The high-grade metamorphic rocks are garnet–biotite schist and biotite–staurolite schist. The age of metamorphic rocks is from the Ordovician to lower Cretaceous [40,41,42]. Desio [43] described Gahirat Marble as a thick complex of white to ash gray, massive, and coarse crystalline marble. FitzPatrick [44] described this formation as a light grey marble containing massive and coarse crystalline grains. Gahirat Marble primarily contains calcite along with accessory minerals, including muscovite, phlogopite, chlorite, and opaque minerals.
3. Materials and Methods
Twenty-two representative rock samples were collected from outcrops exposed in different areas of Chitral (Figure 1 and Figure 2). Physico-mechanical tests were performed on each of these samples. Samples were prepared and tested according to the ASTM standard C503. The physical properties such as sodium sulphates soundness (C 88), water absorption, and specific gravity tests were conducted according to ASTM C97. The mechanical properties were also determined with methods such as the unconfined compressive strength test (UCS) (ASTM C170) and the Brazilian tensile strength test (BTS) (ASTM D3967). For petrographic analysis, thin sections of the marble samples were prepared according to ASTM C295. The whole rock chemical analysis was performed using an X-ray fluorescence spectrometer (XRF), which is essential for its comprehensive characterization, including its provenance study and economic evaluation [45].
4. Results
4.1. Petrography
The eastern contact of Gahirat Marble is with granodiorite, which has intruded into the marble. The western contact of the marble is with the slates, and, in some places, there is no surface exposure due to the presence of alluvium (Figure 1). Overall, Gahirat Marble has been subjected to greenschist to amphibolite facies metamorphism. In general, texturally, it is coarse-to-medium crystalline rock, depicting a differential granulose structure. Based on its petrographic texture, Gahirat Marble is further divided into eastern and western parts. The eastern part of the marble is coarse-grained, whereas the western part has a coarse-to-medium-grained granulose structure.
4.1.1. Eastern Gahirat Marble
Mineralogically, the eastern part of Gahirat Marble is mainly composed of calcite (94–96%), with minor amounts of garnet (0.5–1.5%), dolomite (0.5–1%), ore minerals (0.5–2.5%), muscovite (0.5–1.5%), biotite (0.5–1%), and quartz (up to 0.5%) (Table 1). The calcite twins in the marble formed due to intense mechanical deformation (Figure 3a). The minerals found in the marble, e.g., calcite, became unstable when the granodioritic magma intruded into the marble. The recrystallization of the calcite occurred in the marble under uniform pressure and high temperature conditions. The stable maximum grain size of these calcite crystals was reached due to thermal metamorphism. Some portions of the eastern marble are also coarse-to-medium-grained, having alignments of muscovite in two directions, which reveals that it was subjected to dynamo thermal metamorphism (Figure 3e). Calcite is the most abundant mineral in the marble, having a heteroblastic texture ranging in size from 0.5 to 2.2 mm in GMGL1 (Figure 3a). The grains of calcite are subhedral to euhedral in shape, with interlocked crystals having curved boundaries (Figure 3c). The intra-granular fracturing among the mineral grains is absent and shows minor alteration at their boundaries. The twining in the calcite is visible, along with the bends of twining lamellas (Figure 3a). The presence of muscovite, biotite, and garnet implies that it was subjected to the amphibolite facies of metamorphism (Figure 3d,f).
Table 1.
Modal mineralogy (Vol. %) of Gahirat Marble.
Figure 3.
Photomicrograph of Gahirat Marble: (a) large crystals of calcite (cal) having very few micro fracture GMGL1, (b) calcite grains showing twin lamellae having homoplastic texture with few traces of ore mineral GMKB1, (c) shows both visible and invisible twin lamellael grains of calcite in GMK1, (d) shows large interlocking crystals of calcite with biotite mica with significantly less fracture grain GMB1, (e) the muscovite grains showing alignment in two direction twin lamellae GMA2 showing minor fractures in calcite crystal, (f) showing garnet grains between the calcite GMGT1.
4.1.2. Western Gahirat Marble
Mineralogically, the western part of Gahirat Marble is mainly composed of calcite (92–98%) with minor amounts of quartz (0.5–1.5%), dolomite (0.5–2%), ore minerals (1–3%), muscovite (0.5–1.5%), chlorite (0.5–1%), and phlogopite (up to 0.5%) (Figure 4, Table 1). The calcite crystals revealing the homoblastic texture of calcite grains exhibit twin lamellae having a straight boundary shape developed in GMA1 due to the mechanical deformation that occurred during regional metamorphism (Figure 4f). This lamellae structure does not affect the strength of the marble because the grains of calcite are mostly sutured and interlocked with curved boundaries (Figure 4b). In sample GMD2, the boundaries of calcite grains were mostly sutured and rarely curled (Figure 4b,c). The shape of the calcite crystal boundaries reflects the type of metamorphic events that occurred during the marble formation. Straight boundaries are typically the result of a long metamorphic time (Figure 4a,d), whereas sutured boundaries in strongly interlocked crystals are the result of unstable conditions reached after relatively short metamorphic events (Figure 4c). On the other hand, more or less curved crystal margins are associated with intermediate metamorphic conditions. The medium-grained calcite is surrounded by fine-grained minerals such as dolomite, ore minerals, and mica (Figure 4c,e). The minor dolomite crystals grew on the calcite crystals at a fine-grained level. The maximum grain size of the calcite or dolomite individuals is also an important diagnostic parameter strictly related to the degree of metamorphism, i.e., to the maximum temperature reached by a marble formation during its evolution [46]. The presence of muscovite, chlorite, and phlogopite suggests that the Gahirat Marble was subjected to greenschist metamorphism.
Figure 4.
(a) Presence of ore minerals (Fe-oxides) with large number of calcite grains GMC1, (b) the calcite grain showing twin lamellae GMG1 showing minor fractures in calcite crystal. (c) Presence of mica (muscovite, phlogopite, and chlorite) among the calcite grains GMGG1, (d) the calcite grain showing invisible twin lamellae GMGz1, (e) presence of opaque minerals (Fe-oxides) as a minor mineral with large number of calcite grains showing homoplastic texture GMD1, (f) the boundary of calcite grains strongly sutured and an individual calcite grain slightly recrystallized with quartz grain GMA1.
4.2. Whole Rock Chemical Analysis
The whole rock chemical composition determined through XRF analysis (Table 2) is essential in terms of its complete characterization including economic significance [45]. The geochemical composition of the marbles, particularly their CaO/MgO ratio, may be used to classify these rocks into two major categories, irrespective of their degree of metamorphism or metasomatism [47]. As a result, Gahirat Marble is classified as calico-carbonate as a calcitic marble. As observed from the ternary discrimination plot of Figure 5, the Gahirat Marble is considered Fe-poor, with calicocarbonates displaying higher CaO and higher loss on ignition (LOI) contents compared to the magnesium carbonates (Table 2).
Table 2.
The whole rock geochemical analysis of the Gahirat Marble in weight % through XRF.
Figure 5.
Ternary CaO–20*SiO2–LOI diagram depicting the relationship between the SiO2 content and the CaO/LOI ratio (Left). Ternary discrimination diagram of carbonated samples in the fields of calciocarbonate, ferrocarbonate and magnesiocarbonate (Right) (after Woolley and Church [48]).
Figure 5 shows that the calcitic Gahirat Marble samples have a very low concentration of SiO2, independent of their CaO/LOI ratios, which are relatively constant. Storey and Vos [49] used the CaO-MgOSiO2 ternary diagram for the classification of marble and grouped it into 12 divisions (Figure 6). Accordingly, all the studied samples are plotted in the field of pure calcite marble. These results demonstrate that all samples of Gahirat Marble are pure calcite marble. Table 2 presents the weight percentages of the major element oxides as attained from the XRF analysis of the Gahirat Marble. The XRF study showed that all the representative marble samples exhibited high amounts of CaO and LOI due to calcite decomposition above 800 °C.
Figure 6.
CaO-MgO-SiO2 ternary diagram classification system for marbles and plots of studied samples. 1: pure calcite, 2: pure dolomitic calcite, 3: pure calcitic dolomite, 4: pure dolomite, 5: siliceous calcite, 6: siliceous dolomitic calcite, 7: siliceous calcitic dolomite, 8: siliceous dolomite, 9: calc–silicate calcite, 10: calc–silicate dolomitic calcite, 11: calc–silicate calcitic dolomite, 12: calc–silicate dolomite, 13: calcite marble, 14: dolomitic calcite marble, 15: calcitic dolomite marble, 16: dolomite marble non-marble and MgO > pure marble.
The “major” oxides, SiO2, Al2O3, Fe2O3, MgO, and K2O, exhibit very low values in the studied marble samples. The results of CaO are 96.59%, 96.59%, 95.88%, 94.06%, 96.57%, 95.03%, 95.79%, 93.17%, 95.30%, 94.97%, and 94.74 wt %, respectively. In the marble samples, SiO2 ranges from 1.03% to 2.70%, while Fe2O3 ranges from 0.8% to 1.78%. The presence of major oxides such as TiO2, Al2O3, MnO, MgO, FeO, Na2O, K2O, and P2O5 was in very low quantities.
4.3. Geotechnical Analysis
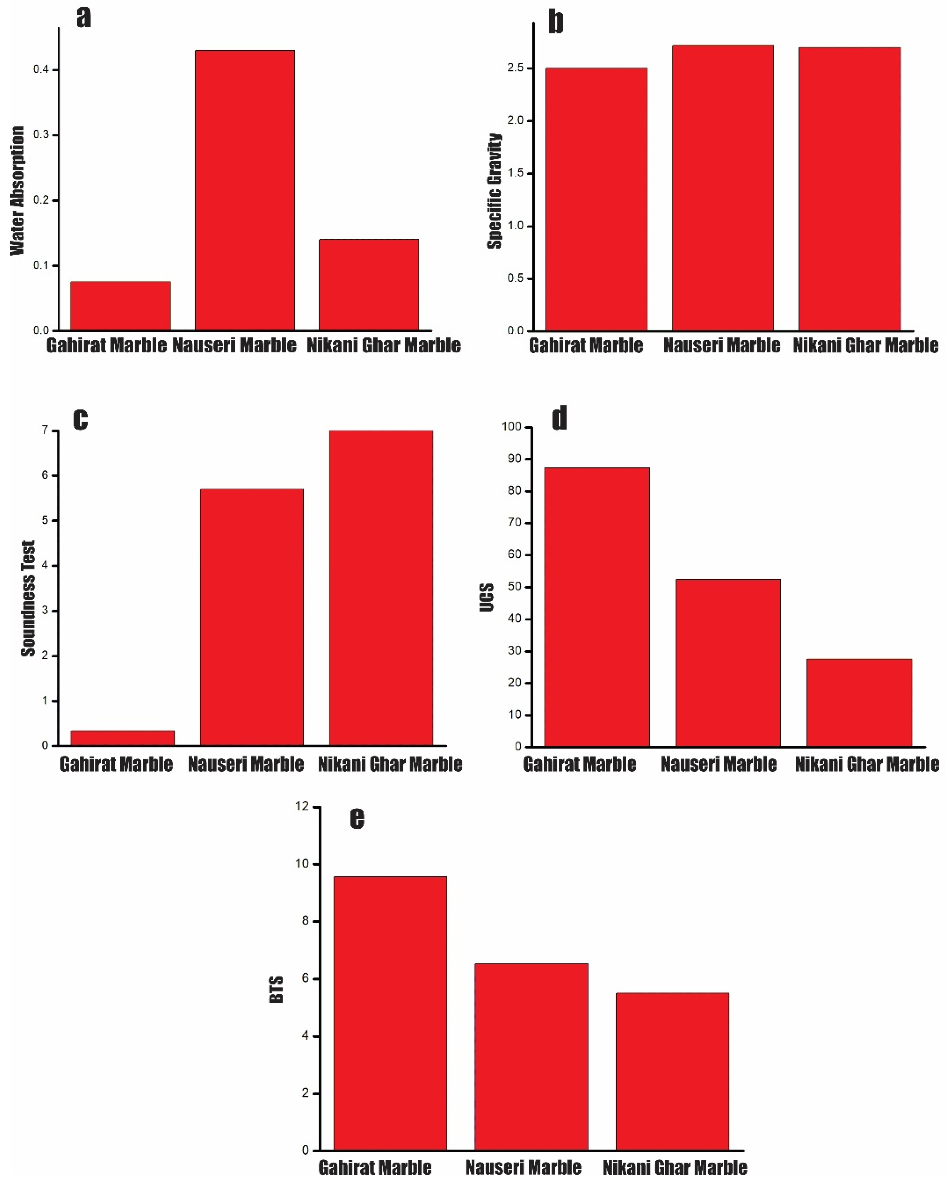
The water absorption values of each location, ranging between 0.03% and 0.2%, are presented in Table 3. The maximum water absorption was 0.2% in the GMA1 Ayun area, whereas the minimum water absorption value was 0.03% for rock samples GMKB1, GMKB2, GMK2, GMGT2, GMGG2, and GMD2 in the Khairabad, Kesu, Gahirat, Gahirat Gol, and Domun localities, respectively. The values of water absorption for Gahirat Marble were lower than the values for Nauseri Marble Muzaffarabad, Nikani Ghar Marble, and the Nowshera Formation (Figure 7; Table 3) [1,26].
Table 3.
Laboratory tests results from the study area.
Figure 7.
Comparison between the results of geotechnical tests of current study with Nauseri Marble [1] and Nikani Ghar Marble [26].(a) comparison of different values of water absorption, (b) comparison of different values of specific gravity, (c) comparison of different value of soundness test, (d) comparison of different values of UCS, (e) comparison of different values of BTS.
The specific gravity of rock samples from Chitral’s various areas ranges between 2.46 and 2.71 gcm−3. The highest specific gravity value was 2.71 for GMKB1 in the Khairabad area, while the lowest specific gravity value was 2.46 for rock samples GMC1 and GMA1 from Chinar and Ayun, respectively.
5. Discussion
Gahirat Marble is a white marble that is located in the Chitral region of the Karakoram Block, and it covers an area of about 160 km2 (Figure 1). The Gahirat Marble is a pure calcitic marble and is a potential decorative and building stone as revealed by integrated petrography, geochemical, and geotechnical analysis.
Gahirat Marble is the result of two types of metamorphism, i.e., progressive regional metamorphism and contact metamorphism. Its progressive regional metamorphism occurred prior to contact metamorphism. The regional metamorphism was subjected to greenschist to amphibolite facies. Typically, it has a differential granulose structure that is a coarse-to-medium crystalline rock. The petrographic study showed that eastern Gahirat Marble is mainly composed of pure calcite mineral and the accessory minerals occurring in the marble are biotite, muscovite, and garnet (Table 2), and the alignment of flaky minerals with garnet (e.g., biotite and muscovite) represents regional metamorphism of amphibolite facies. The texture of the eastern Gahirat Marble is medium-to coarse-grained crystalline. The calcite crystals reveal the heteroblastic texture exhibited by twin lamellae having straight boundaries that developed due to the mechanical deformation during regional metamorphism (Figure 3 and Figure 4). The randomly oriented flaky minerals with the maximum grain size of the calcite crystals are also found in the marble revealing the effect of thermal/contact metamorphism during the intrusion of granodiorite. These lamellae structures in the mineral grains do not affect the strength of the marble because the grains of calcite are mostly sutured with curved boundaries. The western part of the Gahirat Marble contains the preferred orientation of chlorite, muscovite, and phlogopite, representing regional metamorphism of greenschist facies. The mineral dolomite is also present at the fine-grained level, where it partially replaces the original calcite. Opaque minerals are present in all varieties of the marble. Mineralogically, it is very similar to Göktepe Marble located in Muğla, Turkey [50]. However, texturally, the Gahirat Marble is similar to the Obajana Marble, North Central Nigeria [51].
Geochemically, the Gahirat Marble is classified as calico-carbonate when the data are plotted in the ternary discrimination diagram of Woolley and Church [1,26], and it was poor in Si, Mg, Fe, and Mn (Figure 5). The CaO-MgO-SiO2 ternary diagram used for the classification of marble indicates that the studied samples are plotted in the field of pure calcite marble (Figure 6). The chemical analysis of Gahirat Marble revealed the presence of high concentrations of CaO, but low concentrations of other elements such as SiO2, TiO2, Al2O3, MgO, Na2O, K2O, and P2O5. However, in most cases, the mineral impurities exhibited in chemical analyses, such as oxides of silica, aluminum, titanium, sodium, potassium, and manganese, were too low to affect the density of the rock.
Geotechnical investigations of the Gahirat Marble depicted that it is a suitable stone for use as a dimension/building stone. The soundness test values ranged from 0.14% to 0.65%, as presented in the Table 3. The maximum soundness value was observed in sample GMC1 from the Chinar vicinity (0.65%), whereas the minimum value was found in sample GMKB1 from Gahirat Gol (0.14%). The average values of UCS range from 72 MPa to 100 MPa. The maximum value of UCS was measured in sample GMGG2 (100 mpa) from the Khairabad area, while the minimum value of UCS was observed in sample GMA1 (72 mpa) from the Ayun area. The values of UCS for Gahirat Marble were higher than the values of Nauseri Marble of the Muzaffarabad area [1] and Nikani Ghar Marble of the Buner area [26], Northwest Himalayas, Pakistan (Figure 7c). The measurements of the BTS tests range from 7.79 MPa to 12.80 MPa. The maximum value of the BTS was determined in sample GMGT2 (13.47 MPa) from Gahirat Gol, and the minimum value was determined in sample GMA1 (7.79 MPa) from the Ayun area. The values of BTS for Gahirat Marble were higher than the values of Nauseri and Nikani Ghar Marbles (Figure 7e) [27]. The UCS results showed that the Gahirat Marble can be classified as strong to very strong using ISRM’s (1978) strength classification. Due to the interlocking texture of the marble and less fracturing in the mineral grains, it shows less water absorption and high values of specific gravity. The specific gravity values show its ability to bear the impact of the degree of polishing and grinding. Using the Marble Institution of America [52] and ASTM C503 [53] marble soundness classification, the studied marble has been classified as “Group A marbles”. Finally, this integrated approach revealed that the Gahirat Marble is a more suitable building and dimension stone when compared to Nauseri and Nikani Ghar Marbles of the Northwest Himalayas, Pakistan.
6. Conclusions
The studies here aimed to evaluate the geotechnical properties (specific gravity, water absorption, and soundness), strength tests (UCS and BTS), petrographic analysis, and geochemical properties of the Gahirat Marble rock samples in each Chitral area vicinity. The tests were performed based on the ASTM specification. The highest strength values of the mechanical properties were uniaxial compressive strength in GMKB1 (100 MPa) and Brazilian tensile strength in GMKB1 (13.47 MPa) from the Gahirat Gol area. Specific gravity (2.71 gcm−3) was calculated as the greatest value of the physical attributes in several places. The minimum values of water absorption (0.03%) were from various vicinities GMKB1 and GMD1, and the minimum value of soundness GMKB1 was for Khairabad (0.14%). The petrographic study reveals that the Gahirat Marble is composed of more than 90% calcite and exhibits an interlocking texture with the accessory minerals dolomite, mica, quartz, garnet, and opaque minerals. Two varieties of texture, homeoblastic and heteroblastic, are observed under the microscope. The petrographic analysis of all the Gahirat Marble samples showed the presence of a smaller number of microcracks and a well-developed mineral grain boundary, which approved the high strength. The data generated by XRF analysis confirm the high concentrations of CaO in all studied samples. The UCS results indicate that the Gahirat Marble has high resistance to crushing and bending effects. The specific gravity values show its ability to bear the impact of the degree of polishing and grinding. The low rate of water absorption makes it appropriate for floor tiles and outdoor cladding due to its resistance to weathering. The geotechnical properties, e.g., UCS, BTS, and specific gravity, of Gahirat Marble are higher than the Nikani Ghar Marble and Nauseri Marble, which indicates that the Gahirat Marble is more durable and suitable to be used as a dimension stone. The obtained analytical results may provide a solid foundation for further exploitation and utilization of Gahirat Marble, both domestically and internationally.
Author Contributions
Conceptualization, S.A.A.B. and M.B.; methodology, S.A.A.B., M.B., M.S.M. and A.G.; software, S.A.A.B., M.B., M.S.M. and H.T.J.; validation, M.B., M.S.M., H.T.J. and G.K.; formal analysis, S.A.A.B., M.B. and M.S.M.; investigation, S.A.A.B., M.B. and M.S.M.; resources, M.B. and M.S.M.; data curation, S.A.A.B., M.B. and M.S.M.; writing—original draft preparation, S.A.A.B. and M.B., writing—review and editing, M.S.M., H.T.J., G.K. and C.V.; visualization, M.S.M., H.T.J. and G.K.; supervision, M.B.; project administration, M.B.; funding acquisition, G.K. All authors have read and agreed to the published version of the manuscript.
Funding
This research received no external funding.
Institutional Review Board Statement
Not applicable.
Informed Consent Statement
Not applicable.
Data Availability Statement
Not applicable.
Acknowledgments
This research is part of the Ph.D. thesis work of the first author. The first author is very grateful to the Institute of Geology, University of Azad Jammu and Kashmir for providing him with the opportunity and all the facilities to complete his research work.
Conflicts of Interest
The authors declare no conflict of interest.
References
- Mustafa, S.; Khan, M.A.; Khan, M.R.; Hameed, F.; Mughal, M.S.; Asghar, A.; Niaz, A. Geotechnical study of marble, schist, and granite as dimension stone: A case study from parts of Lesser Himalaya, Neelum Valley Area, Azad Kashmir, Pakistan. Bull. Eng. Geol. Environ. 2015, 74, 1475–1487. [Google Scholar] [CrossRef]
- Antonelli, F.; Lazzarini, L.; Cancelliere, S.; Dessandier, D. Volubilis (Meknes, Morocco): Archaeometric study of the white and coloured marbles imported in the Roman age. J. Cult. Herit. 2009, 10, 116–123. [Google Scholar] [CrossRef]
- Sousa, L.; Oliveira, A.; Alves, I. Influence of fracture system on the exploitation of building stones: The case of the Mondim de Basto granite (north Portugal). Environ. Earth Sci. 2016, 75, 39. [Google Scholar] [CrossRef]
- Hemeda, S.; Osman, T. Impacts of fire on historic stone masonry structures: Physicochemical analysis and application to the al-musafirkhana palace (Cairo). Mediterr. Archaeol. Archaeom 2021, 21, 191–209. [Google Scholar]
- Siegesmund, S.; Ruedrich, J.; Koch, A. Marble bowing: Comparative studies of three different public building facades. Environ. Geol. 2008, 56, 473–494. [Google Scholar] [CrossRef]
- Eren, Ö.; Bahali, M. Some engineering properties of natural building cut stones of Cyprus. Constr. Build. Mater. 2005, 19, 213–222. [Google Scholar] [CrossRef]
- Selonen, O.; Ehlers, C.; Luodes, H.; Härmä, P. Exploration methods for granitic natural stones—Geological and topographical aspects from case studies in Finland. Bull. Geol. Soc. Finl. 2014, 86, 5–22. [Google Scholar] [CrossRef]
- Yavuz, A.; Turk, N.; Koca, M. Material properties of the Menderes massif marbles from SW Turkey. Eng. Geol. 2005, 82, 91–106. [Google Scholar] [CrossRef]
- Elci, H.; Turk, N. Rock mass block quality designation for marble production. Int. J. Rock Mech. Min. Sci. 2014, 69, 26–30. [Google Scholar] [CrossRef]
- Siegesmund, S.; Sousa, L.; Knell, C. Thermal expansion of granitoids. Environ. Earth Sci. 2018, 77, 41. [Google Scholar] [CrossRef]
- Li, Y.-P.; Chen, L.-Z.; Wang, Y.-H. Experimental research on pre-cracked marble under compression. Int. J. Solids Struct. 2005, 42, 2505–2516. [Google Scholar] [CrossRef]
- Benavente, D.; del Cura, M.G.; Fort, R.; Ordóñez, S. Durability estimation of porous building stones from pore structure and strength. Eng. Geol. 2004, 74, 113–127. [Google Scholar] [CrossRef]
- Xeidakis, G.; Samaras, I. A contribution to the study of some Greek marbles. Bull. Int. Assoc. Eng. Geol. 1996, 53, 121–129. [Google Scholar] [CrossRef]
- Álvarez Pérez, A.; Domènech de la Torre, A.; Lapuente Mercadal, P.; Pitarch i Martí, À.; Royo Plumed, H. Marbles and Stones of Hispania: Exhibition Catalogue/Marbres I Pedres D’Hispania: Catàleg de L’Exposició/Mármoles Y Piedras de Hispania: Catálogo de la Exposición; Institut Català d’Arqueologia Clàssica: Tarragona, Spain, 2009. [Google Scholar]
- Lazzarini, L. Archaeometric aspects of white and coloured marbles used in antiquity: The state of the art. Period. Mineral. 2004, 73, 113–125. [Google Scholar]
- Singh, R.; Bhutani, M.; Syal, T. Strength evaluation of concrete using marble powder and waste crushed tile aggregates. Int. J. Sci. Emerg. Technol. Latest Trends 2015, 20, 18–28. [Google Scholar]
- Origlia, F.; Spangenberg, J.E.; Turbanti Memmi, I.; Papi, E. A Provenance study of marbles from the Roman town of Thamusida (Mauretania Tingitana, northern Morocco). Geochim. Cosmochim. Acta Suppl. 2009, 73, A974. [Google Scholar]
- Sousa, L.M.; Gonçalves, B.M. Differences in the quality of polishing between sound and weathered granites. Environ. Earth Sci. 2013, 69, 1347–1359. [Google Scholar] [CrossRef]
- Tuǧrul, A. The effect of weathering on pore geometry and compressive strength of selected rock types from Turkey. Eng. Geol. 2004, 75, 215–227. [Google Scholar] [CrossRef]
- Sousa, L.M.; del Río, L.M.S.; Calleja, L.; de Argandona, V.G.R.; Rey, A.R. Influence of microfractures and porosity on the physico-mechanical properties and weathering of ornamental granites. Eng. Geol. 2005, 77, 153–168. [Google Scholar] [CrossRef]
- Tugrul, A.; Ündul, Ö. Engineering geological characteristics of Istanbul greywackes, Turkey. In Proceedings of the 10th IAEG Congress, Nottingham, UK, 6–10 September 2006. [Google Scholar]
- Fort, R.; de Buergo, M.A.; Perez-Monserrat, E.; Varas, M.J. Characterisation of monzogranitic batholiths as a supply source for heritage construction in the northwest of Madrid. Eng. Geol. 2010, 115, 149–157. [Google Scholar] [CrossRef]
- Zhang, X.-P.; Ji, P.-Q.; Peng, J.; Wu, S.-C.; Zhang, Q. A grain-based model considering pre-existing cracks for modelling mechanical properties of crystalline rock. Comput. Geotech. 2020, 127, 103776. [Google Scholar] [CrossRef]
- Omar, H.M.; Ismail, N.R. The Suitability of Limestone from Pilaspi Formation (Middle-Late Eocene) for Building Stone in Koya Area, NE Iraq. Aro-Sci. J. Koya Univ. 2015, 3, 18–23. [Google Scholar]
- Obasi, R. Geochemistry and Appraisal of the Economic Potential of Calc-Gneiss and Marble from Igarra, Edo State, Southwest, Nigeria. ARPN J. Sci. Technol. 2012, 2, 1018–1021. [Google Scholar]
- Fahad, M.; Iqbal, Y.; Riaz, M.; Ubic, R.; Abrar, M. Geo-mechanical properties of marble deposits from the Nikani Ghar and Nowshera formations of the Lesser Himalaya, Northern Pakistan—A review. Himal. Geol. 2016, 37, 17–27. [Google Scholar]
- Bukhari, S.A.A.; Basharat, M.; Akgün, H.; Sarfraz, Y.; Riaz, M.T. An evaluation of the geotechnical characteristics of Gahirat Marble using empirical methods: A case study from the Chitral area, Khyber Pakhtunkhwa, North Pakistan. J. Himal. Earth Sci. 2021, 54, 28–39. [Google Scholar]
- Quick, G. Selective Guide to the Selection of Dimension Stone, Construction and Engineering; CSIRO Building: Highett, Australia, 2002; Volume 3190, pp. 1–3. [Google Scholar]
- Ray, A.; Singh, G.; Banerjee, G. Influence of petrographic constituents on the softening characteristics of Coal Measures rocks. Int. J. Rock Mech. Min. Sci. 2006, 43, 494–502. [Google Scholar] [CrossRef]
- Nasseri, M.; Mohanty, B. Fracture toughness anisotropy in granitic rocks. Int. J. Rock Mech. Min. Sci. 2008, 45, 167–193. [Google Scholar] [CrossRef]
- Silva, Z.; Simão, J. The role of salt fog on alteration of dimension stone. Constr. Build. Mater. 2009, 23, 3321–3327. [Google Scholar] [CrossRef]
- Nespereira, J.; Blanco, J.A.; Yenes, M.; Pereira, D. Irregular silica cementation in sandstones and its implication on the usability as building stone. Eng. Geol. 2010, 115, 167–174. [Google Scholar] [CrossRef]
- Sarwar, K.; Rahman, M.U. Economic Impact of Mineral Resources: A Case Study of District Chitral, Pakistan. J. Resour. Dev. Manag. 2016, 17, 54–60. [Google Scholar]
- Spencer, D.A.; Tonarini, S.; Pognante, U. Geochemical and Sr-Nd isotopic characterisation of Higher Himalayan eclogites (and associated metabasites). Eur. J. Mineral. 1995, 7, 89–102. [Google Scholar] [CrossRef]
- Malkani, M.S.; Alyani, M.I.; Khosa, M.H.; Somro, N.; Arif, S.; Tariq, S.; Saeed, F.; Khan, G.; Faiz, J. Mineral Resources of Pakistan-an update. Lasbela Univ. J. Sci. Technol. 2016, 5, 90–114. [Google Scholar]
- Tahirkheli, R.K. Geology of Kohistan and adjoining Eurasian and Indo-Pakistan continents, Pakistan. Geol. Bull. Univ. Peshawar 1979, 11, 1–30. [Google Scholar]
- Gaetani, M. The Karakorum block in central Asia, from Ordovician to Cretaceous. Sediment. Geol. 1997, 109, 339–359. [Google Scholar] [CrossRef]
- Pudsey, C.J.; Schsoeder, R.; Skelton, P.W. Cretaceous (Aptiad Albian) age for island arc volcanic, Kohistan, North Pakistan. In Geology of Western Himalayas; Pergamon Press: Oxford, UK, 1985; Volume 3, pp. 150–168. [Google Scholar]
- Searle, M.P.; Khan, M.A.; Fraser, J.E.; Gough, S.J.; Jan, M.Q. The tectonic evolution of the Kohistan-Karakoram collision belt along the Karakoram Highway transect, north Pakistan. Tectonics 1999, 18, 929–949. [Google Scholar] [CrossRef]
- Calkins, J.A.; Jamiluddin, S.; Bhuyan, K.; Hussain, A. Geology and Mineral Resources of the Chitral-Partsan Area, Hindu Kush Range, Northern Pakistan; U.S. Government Printing Office: Washington, DC, USA, 1981; pp. 1258–2331. [Google Scholar]
- Treloar, P.J.; Petterson, M.G.; Jan, M.Q.; Sullivan, M. A re-evaluation of the stratigraphy and evolution of the Kohistan arc sequence, Pakistan Himalaya: Implications for magmatic and tectonic arc-building processes. J. Geol. Soc. 1996, 153, 681–693. [Google Scholar] [CrossRef]
- Zahid, M.; Arif, M.; Moon, C.J. Petrogenetic implications of the mineral-chemical characteristics of scheelite and associated phases from Miniki Gol (Chitral), NW Pakistan. Geosci. J. 2013, 17, 403–416. [Google Scholar] [CrossRef]
- Desio, A. Cretaceous beds between Karakorum and Hindu Kush ranges (central Asia). Riv. Ital. Paleontol. Stratigr. 1959, 65, 221–229. [Google Scholar]
- FitzPatrick, E.A. The micromorphology of soils. In Micromorphology of Soils; Springer: Berlin/Heidelberg, Germany, 1984; pp. 331–357. [Google Scholar]
- Gupta, V.; Sharma, R. Relationship between textural, petrophysical and mechanical properties of quartzites: A case study from northwestern Himalaya. Eng. Geol. 2012, 135, 1–9. [Google Scholar] [CrossRef]
- Luque, A.; Ruiz-Agudo, E.; Cultrone, G.; Sebastián, E.; Siegesmund, S. Direct observation of microcrack development in marble caused by thermal weathering. Environ. Earth Sci. 2011, 62, 1375–1386. [Google Scholar] [CrossRef]
- Arnoldi, C.; Azzaro, E.; Barbieri, M.; Tucci, P. Petrographic and geochemical features of the “Cipollino Verde” marble from the Apuan Alps (northern Tuscany, Italy) and archaeometric implications. Period. Miner. 1999, 68, 145–162. [Google Scholar]
- Woolley, A.; Church, A. Extrusive carbonatites: A brief review. Lithos 2005, 85, 1–14. [Google Scholar] [CrossRef]
- Storey, C.; Vos, M. Industrial Minerals of the Pembroke-Renfrew Area; Ministry of Energy, Northern Development and Mines: Sudbury, ON, Canada, 1981; Volume 21. [Google Scholar]
- Brilli, M.; Lapuente Mercadal, M.P.; Giustini, F.; Royo Plumed, H. Petrography and mineralogy of the white marble and black stone of Göktepe (Muğla, Turkey) used in antiquity: New data for provenance determination. J. Archaeol. Sci. Rep. 2018, 19, 625–642. [Google Scholar] [CrossRef]
- Onimisi, J.A.; Ariffin, K.S.; Hussin, H.B.; Baharun, N.B. Petrographic and Geochemical Characteristics of Metacarbonate in Northcentral Nigeria; Potential Applications in Industries. J. Geogr. Environ. Earth Sci. Int. 2015, 3, 1–10. [Google Scholar] [CrossRef]
- America, M.I.O. (Ed.) Marble and Onyx Dimension Stone Design Manual Version VIII; Natural Stone Institute: Oberlin, OH, USA, 2016. [Google Scholar]
- ASTM C503/C503M-15; Standard Specification for Marble Dimension Stone. American Society for Testing and Materials International: West Conshohocken, PA, USA, 2015.
Disclaimer/Publisher’s Note: The statements, opinions and data contained in all publications are solely those of the individual author(s) and contributor(s) and not of MDPI and/or the editor(s). MDPI and/or the editor(s) disclaim responsibility for any injury to people or property resulting from any ideas, methods, instructions or products referred to in the content. |
© 2023 by the authors. Licensee MDPI, Basel, Switzerland. This article is an open access article distributed under the terms and conditions of the Creative Commons Attribution (CC BY) license (https://creativecommons.org/licenses/by/4.0/).






