The Effect of Antibiotics on Bacteriome of Sitophilus oryzae and Rhyzopertha dominica as a Factor Determining the Success of Foraging: A Chance for Antibiotic Therapy in Grain Stores
Abstract
Featured Application
Abstract
1. Introduction
2. Materials and Methods
2.1. Mass Breeding
2.2. Experiment of Insect Exposure to an Antibiotic
2.3. Preparation of Insect Bacteriome
2.4. Microbiological Analysis
2.5. Biochemical Analysis
2.6. Isolation of DNA
2.7. Nanopore Library Preparation, Sequencing, and Base-Calling
2.8. Statistical Analysis
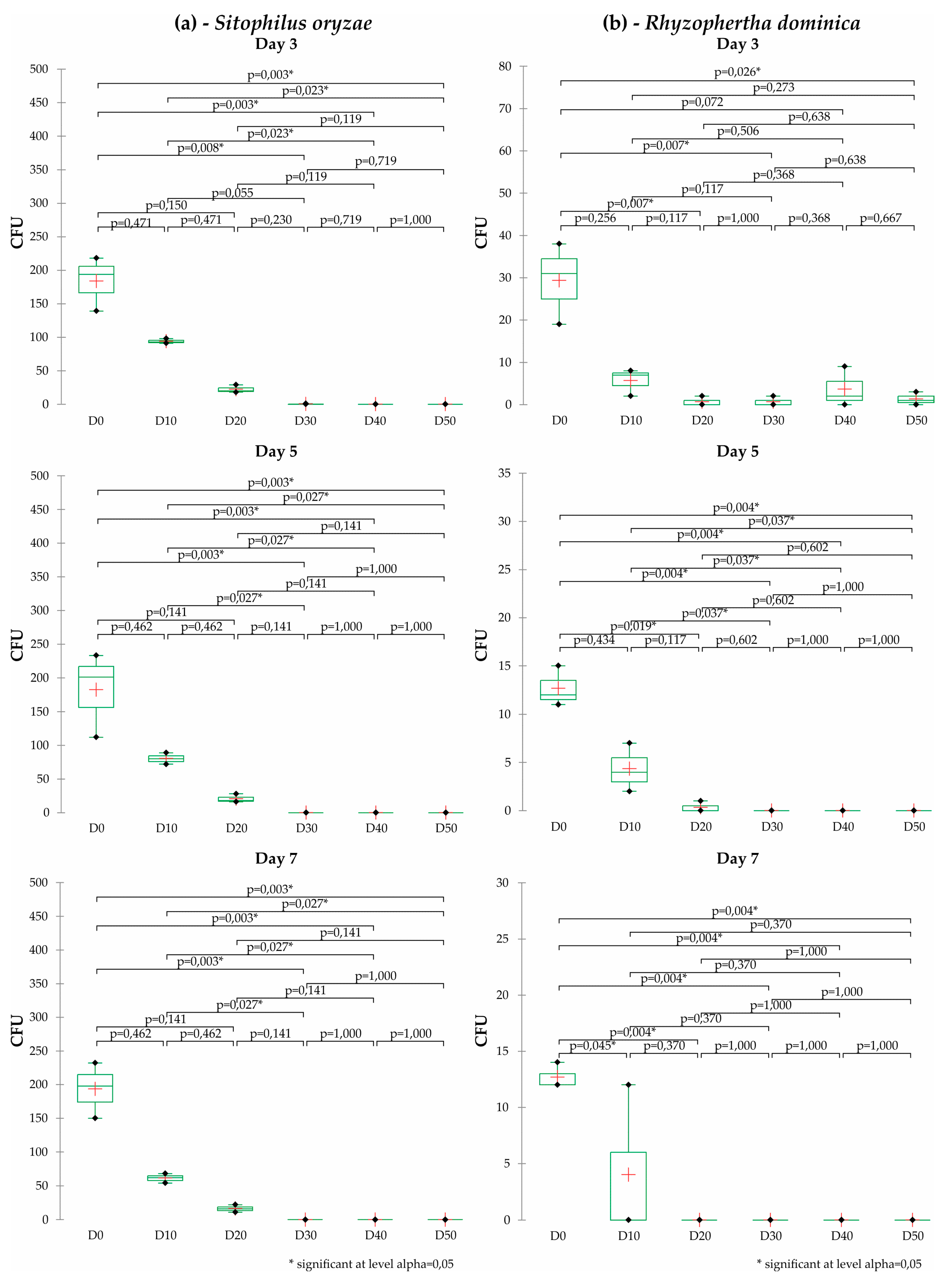
3. Results
4. Discussion
5. Conclusions
Author Contributions
Funding
Institutional Review Board Statement
Informed Consent Statement
Data Availability Statement
Acknowledgments
Conflicts of Interest
References
- Béné, C.; Oosterveer, P.; Lamotte, L.; Brouwer, I.D.; de Haan, S.; Prager, S.D.; Talsma, E.F.; Khoury, C.K. When Food Systems Meet Sustainability—Current Narratives and Implications for Actions. World Dev. 2019, 113, 116–130. [Google Scholar] [CrossRef]
- Stejskal, V.; Hubert, J.; Aulicky, R.; Kucerova, Z. Overview of Present and Past and Pest-Associated Risks in Stored Food and Feed Products: European Perspective. J. Stored Prod. Res. 2015, 64, 122–132. [Google Scholar] [CrossRef]
- Phillips, T.W.; Throne, J.E. Biorational Approaches to Managing Stored-Product Insects. Annu. Rev. Entomol. 2010, 55, 375–397. [Google Scholar] [CrossRef] [PubMed]
- Srivastava, S.; Mishra, H.N. Ecofriendly Nonchemical/Nonthermal Methods for Disinfestation and Control ofPest/Fungal Infestation during Storage of Major Important Cereal Grains: A Review. Food Front. 2021, 2, 93–105. [Google Scholar] [CrossRef]
- Mesterházy, Á.; Oláh, J.; Popp, J. Losses in the Grain Supply Chain: Causes and Solutions. Sustainability 2020, 12, 2342. [Google Scholar] [CrossRef]
- Warchalewski, J.; Gralik, J.; Nawrot, J. Possibilities of Reducing Losses of Stored Cereal Grain Caused by Insect Pests. Prog. Agric. Sci. 2000, 47, 85–86. [Google Scholar]
- Opit, G.; Collins, P.J.; Daglish, G.J. Resistance Management. In Stored Product Protection; Hagstrum, D.W., Phillips, T.W., Cuperus, G., Eds.; Kansas State University: Manhattan, KS, USA, 2012; pp. 143–155. [Google Scholar]
- Nietupski, M.; Ludwiczak, E.; Cabaj, R.; Purwin, C.; Kordan, B. Fatty Acids Present in Wheat Kernels Influence the Development of the Grain Weevil (Sitophilus granarius L.). Insects 2021, 12, 806. [Google Scholar] [CrossRef]
- Klejdysz, T.; Nawrot, J. First Record of Outdoor Occurrence of Stored-Product Coleopterans in Arable Landscape in Poland. J. Plant Prot. Res. 2010, 50, 551–553. [Google Scholar] [CrossRef]
- Przemieniecki, S.W.; Kosewska, A.; Ciesielski, S.; Kosewska, O. Changes in the Gut Microbiome and Enzymatic Profile of Tenebrio Molitor Larvae Biodegrading Cellulose, Polyethylene and Polystyrene Waste. Environ. Pollut. 2020, 256, 113265. [Google Scholar] [CrossRef]
- Przemieniecki, S.W.; Kosewska, A.; Kosewska, O.; Purwin, C.; Lipiński, K.; Ciesielski, S. Polyethylene, Polystyrene and Lignocellulose Wastes as Mealworm (Tenebrio Molitor L.) Diets and Their Impact on the Breeding Condition, Biometric Parameters, Metabolism, and Digestive Microbiome. Sci. Total Environ. 2022, 832, 154758. [Google Scholar] [CrossRef]
- Brandon, A.M.; Gao, S.H.; Tian, R.; Ning, D.; Yang, S.S.; Zhou, J.; Wu, W.M.; Criddle, C.S. Biodegrada tion of Polyethylene and Plastic Mixtures in Mealworms (Larvae of Tenebrio Molitor) and Effects on the Gut Microbiome. Environ. Sci. Technol. 2018, 52, 6526–6533. [Google Scholar] [CrossRef] [PubMed]
- Jung, C.M.; Carr, M.; Fleischman, E.; Roesch, C.J. Response of the Green June Beetle and Its Gut Microbiome to RDX and Phenanthrene. Int. J. Environ. Sci. Technol. 2021, 18, 1785–1792. [Google Scholar] [CrossRef]
- Perlmutter, J.I.; Bordenstein, S.R. Microorganisms in the Reproductive Tissues of Arthropods. Nat. Rev. Microbiol. 2020, 18, 97–111. [Google Scholar] [CrossRef] [PubMed]
- Akman, L.; Yamashita, A.; Watanabe, H.; Oshima, K.; Shiba, T.; Hattori, M.; Aksoy, S. Genome Sequence of the Endocellular Obligate Symbiont of Tsetse Flies, Wigglesworthia Glossinidia. Nat. Genet. 2002, 32, 402–407. [Google Scholar] [CrossRef]
- Behar, A.; Yuval, B.; Jurkevitch, E. Enterobacteria-Mediated Nitrogen Fixation in Natural Populations of the Fruit Fly Ceratitis Capitata. Mol. Ecol. 2005, 14, 2637–2643. [Google Scholar] [CrossRef]
- Sabree, Z.L.; Kambhampati, S.; Moran, N.A. Nitrogen Recycling and Nutritional Provisioning by Blattabacterium, the Cockroach Endosymbiont. Proc. Natl. Acad. Sci. USA 2009, 106, 19521–19526. [Google Scholar] [CrossRef]
- Nadarasah, G.; Stavrinides, J. Insects as Alternative Hosts for Phytopathogenic Bacteria. FEMS Microbiol. Rev. 2011, 35, 555–575. [Google Scholar] [CrossRef]
- Toh, H.; Weiss, B.L.; Perkin, S.A.H.; Yamashita, A.; Oshima, K.; Hattori, M.; Aksoy, S. Massive Genome Erosion and Functional Adaptations Provide Insights into the Symbiotic Lifestyle of Sodalis Glossinidius in the Tsetse Host. Genome Res. 2006, 16, 149–156. [Google Scholar] [CrossRef]
- Sudakaran, S.; Kost, C.; Kaltenpoth, M. Symbiont Acquisition and Replacement as a Source of Ecological Innovation. Trends Microbiol. 2017, 25, 375–390. [Google Scholar] [CrossRef]
- Xia, X.; Gurr, G.M.; Vasseur, L.; Zheng, D.; Zhong, H.; Qin, B.; Lin, J.; Wang, Y.; Song, F.; Li, Y.; et al. Metagenomic Sequencing of Diamondback Moth Gut Microbiome Unveils Key Holobiont Adaptations for Herbivory. Front. Microbiol. 2017, 8, 663. [Google Scholar] [CrossRef]
- Heddi, A.; Grenier, A.M.; Khatchadourian, C.; Charles, H.; Nardon, P. Four Intracellular Genomes Direct Weevil Biology: Nuclear, Mitochondrial, Principal Endosymbiont, and Wolbachia. Proc. Natl. Acad. Sci. USA 1999, 96, 6814–6819. [Google Scholar] [CrossRef] [PubMed]
- Maire, J.; Parisot, N.; Ferrarini, M.G.; Vallier, A.; Gillet, B.; Hughes, S.; Balmand, S.; Vincent-Monégat, C.; Zaidman-Rémy, A.; Heddi, A. Spatial and Morphological Reorganization of Endosymbiosis during Metamorphosis Accommodates Adult Metabolic Requirements in a Weevil. Proc. Natl. Acad. Sci. USA 2020, 117, 19347–19358. [Google Scholar] [CrossRef]
- Maire, J.; Vincent-Monégat, C.; Masson, F.; Zaidman-Rémy, A.; Heddi, A. An IMD-like Pathway Mediates Both Endosymbiont Control and Host Immunity in the Cereal Weevil Sitophilus Spp. Microbiome 2018, 6, 158. [Google Scholar] [CrossRef] [PubMed]
- Borzoui, E.; Naseri, B. Wheat Cultivars Affecting Life History and Digestive Amylolytic Activity of Sitotroga Cerealella Olivier (Lepidoptera: Gelechiidae). Bull. Entomol. Res. 2016, 106, 464–473. [Google Scholar] [CrossRef] [PubMed]
- Lü, D.; Dong, Y.; Yan, Z.; Liu, X.; Zhang, Y.; Yang, D.; He, K.; Wang, Z.; Wang, P.; Yuan, X.; et al. Dynamics of gut microflora across the life cycle of Spodoptera frugiperda and its effects on the feeding and growth of larvae. Pest Manag. Sci. 2022, 79, 173–182. [Google Scholar] [CrossRef]
- Yang, Y.; Yang, J.; Wu, W.-M.; Zhao, J.; Song, Y.; Gao, L.; Yang, R.; Jiang, L. Biodegradation and Mineralization of Polystyrene by Plastic-Eating Mealworms: Part 2. Role of Gut Microorganisms. Environ. Sci. Technol. 2015, 49, 12087–12093. [Google Scholar] [CrossRef]
- Yang, Y.; Yang, J.; Wu, W.-M.; Zhao, J.; Song, Y.; Gao, L.; Yang, R.; Jiang, L. Biodegradation and Mineralization of Polystyrene by Plastic-Eating Mealworms: Part 1. Chemical and Physical Characterization and Isotopic Tests. Environ. Sci. Technol. 2015, 49, 12080–12086. [Google Scholar] [CrossRef]
- Yang, J.; Yang, Y.; Wu, W.-M.; Zhao, J.; Jiang, L. Evidence of Polyethylene Biodegradation by Bacterial Strains from the Guts of Plastic-Eating Waxworms. Environ. Sci. Technol. 2014, 48, 13776–13784. [Google Scholar] [CrossRef]
- Engel, P.; Moran, N.A. The Gut Microbiota of Insects—Diversity in Structure and Function. FEMS Microbiol. Rev. 2013, 37, 699–735. [Google Scholar] [CrossRef]
- Oxford Nanopore Technologies. 16S Barcoding Kit 1-24 (SQK-16S024) Version:16S_9086_v1_revT_14Aug2019. 2019. Available online: https://Community.Nanoporetech.Com/Docs/Prepare/Library_prep_protocols/16S-Barcoding-1-24/v/16s_9086_v1_revt_14aug2019 (accessed on 5 July 2022).
- Przemieniecki, S.W.; Damszel, M.; Ciesielski, S.; Kubiak, K.; Mastalerz, J.; Sierota, Z.; Gorczyca, A. Bacterial microbiome in Armillaria ostoyae rhizomorphs inhabiting the root zone during progressively dying Scots pine. Appl. Soil Ecol. 2021, 164, 103929. [Google Scholar] [CrossRef]
- Scully, E.D.; Geib, S.M.; Hoover, K.; Tien, M.; Tringe, S.G.; Barry, K.W.; Glavina del Rio, T.; Chovatia, M.; Herr, J.R.; Carlson, J.E. Metagenomic Profiling Reveals Lignocellulose Degrading System in a Microbial Community Associated with a Wood-Feeding Beetle. PLoS ONE 2013, 8, e73827. [Google Scholar] [CrossRef] [PubMed]
- Huang, S.; Sheng, P.; Zhang, H. Isolation and Identification of Cellulolytic Bacteria from the Gut of Holotrichia Parallela Larvae (Coleoptera: Scarabaeidae). Int. J. Mol. Sci. 2012, 13, 2563–2577. [Google Scholar] [CrossRef]
- Clayton, A.L.; Jackson, D.G.; Weiss, R.B.; Dale, C. Adaptation by Deletogenic Replication Slippage in a Nascent Symbiont. Mol. Biol. Evol. 2016, 33, 1957–1966. [Google Scholar] [CrossRef] [PubMed]
- Tláskal, V.; Pylro, V.S.; Žifčáková, L.; Baldrian, P. Ecological Divergence Within the Enterobacterial Genus Sodalis: From Insect Symbionts to Inhabitants of Decomposing Deadwood. Front. Microbiol. 2021, 12, 699699. [Google Scholar] [CrossRef] [PubMed]
- Tang, T.; Zhang, Y.; Cai, T.; Deng, X.; Liu, C.; Li, J.; He, S.; Li, J.; Wan, H. Antibiotics increased host insecticide susceptibility via collapsed bacterial symbionts reducing detoxification metabolism in the brown planthopper, Nilaparvata lugens. J. Pest Sci. 2020, 94, 757–767. [Google Scholar] [CrossRef]
- Zhang, S.; Li, Z.; Shu, J.; Xue, H.; Guo, K.; Zhou, X. Soil-Derived Bacteria Endow Camellia Weevil with More Ability to Resist Plant Chemical Defense. Microbiome 2022, 10, 97. [Google Scholar] [CrossRef]
- Zaidman-Rémy, A.; Vigneron, A.; Weiss, B.L.; Heddi, A. What can a weevil teach a fly, and reciprocally? Interaction of host immune systems with endosymbionts in Glossina and Sitophilus. BMC Microbiol. 2018, 18, 279–292. [Google Scholar] [CrossRef]
- Wicker, C.; Nardon, P. Development Responses of Symbiotic and Aposymbiotic Weevils Sitophilus oryzae L. (Coleoptera, Curculionidae) to a Diet Supplemented with Aromatic Amino Acids. J. Insect Physiol. 1982, 28, 1021–1024. [Google Scholar] [CrossRef]
- Wicker, C. Differential Vitamin and Choline Requirements of Symbiotic and Aposymbiotic s. Oryzae (Coleoptera: Curculionidae). Comp. Biochem. Physiol. Part A Physiol. 1983, 76, 177–182. [Google Scholar] [CrossRef]
- Gasnier-Fauchet, F.; Gharib, A.; Nardon, P. Comparison of methionine metabolism in symbiotic and aposymbiotic larvae of Sitophilus oryzae L. (Coleoptera: Curculionidae)—I. Evidence for a glycine N-methyltransferase-like activity in the aposymbiotic larvae. Comp. Biochem. Physiol. Part B Comp. Biochem. 1986, 85, 245–250. [Google Scholar] [CrossRef]
- Gasnier-Fauchet, F.; Nardon, P. Comparison of sarcosine and methionine sulfoxide levels in symbiotic and aposymbiotic larvae of two sibling species, Sitophilus oryzae L. and S. zeamais mots. (Coleoptera: Curculionidae). Insect Biochem. 1987, 17, 17–20. [Google Scholar] [CrossRef]
- Okude, G.; Koga, R.; Hayashi, T.; Nishide, Y.; Meng, X.-Y.; Nikoh, N.; Miyanoshita, A.; Fukatsu, T. Novel bacteriocyte-associated pleomorphic symbiont of the grain pest beetle Rhyzopertha dominica (Coleoptera: Bostrichidae). Zoöl. Lett. 2017, 3, 13. [Google Scholar] [CrossRef] [PubMed]
- Hunter, M.S.; Zchori-Fein, E. Inherited Bacteroidetes Symbionts in Arthropods. In Insect Symbiosis; Bourtzis, K., Miller, T.A., Eds.; CRC Press: Boca Raton, FL, USA, 2006; Volume 2, pp. 39–56. [Google Scholar]
- Ashraf, H.J.; Ramos Aguila, L.C.; Akutse, K.S.; Ilyas, M.; Abbasi, A.; Li, X.; Wang, L. Comparative Microbiome Analysis of Diaphorina Citri and Its Associated Parasitoids Tamarixia Radiata and Diaphorencyrtus Aligarhensis Reveals Wolbachia as a Dominant Endosymbiont. Environ. Microbiol. 2022, 24, 1638–1652. [Google Scholar] [CrossRef] [PubMed]
- Vigneron, A.; Masson, F.; Vallier, A.; Balmand, S.; Rey, M.; Vincent-Monégat, C.; Aksoy, E.; Aubailly-Giraud, E.; Zaidman-Rémy, A.; Heddi, A. Insects Recycle Endosymbionts When the Benefit Is Over. Curr. Biol. 2014, 24, 2267–2273. [Google Scholar] [CrossRef]






| Pest | Species | Family | Proportion in Community (%) | Domination Class |
|---|---|---|---|---|
| Sitophilus oryzae | Sodalis pierantonius | Pectobacteriaceae | 81.9 | eudomination |
| Escherichia coli | Enterobacteriaceae | 1.6 | rare | |
| Sodalis praecaptivus | Pectobacteriaceae | 0.7 | rare | |
| Klebsiella pneumoniae | Enterobacteriaceae | 0.6 | rare | |
| Edwardsiella ictaluri | Hafniaceae | 0.6 | rare | |
| Salmonella enterica | Enterobacteriaceae | 0.5 | rare | |
| Proteus mirabilis | Morganellaceae | 0.2 | occasionally | |
| Enterobacter hormaechei | Enterobacteriaceae | 0.2 | occasionally | |
| Pectobacterium carotovorum | Pectobacteriaceae | 0.2 | occasionally | |
| Dickeya dianthicola | Pectobacteriaceae | 0.2 | occasionally | |
| Providencia rettgeri | Morganellaceae | 0.2 | occasionally | |
| Rhyzophertha dominica | Sulcia muelleri | incertae sedis | 30.7 | eudomination |
| Ruminococcus sp. JE7A12 | Ruminococcaceae | 7.3 | dominantion | |
| Walczuchella monophlebidarum | incertae sedis | 7.0 | dominanton | |
| Brevundimonas sp. Bb-A | Caulobacteraceae | 3.8 | subdomination | |
| Amoebophilus asiaticus | Amoebophilaceae | 3.2 | subdomination | |
| Blattabacterium punctulatus | Blattabacteriaceae | 1.9 | rare | |
| Blattabacterium cuenoti | Blattabacteriaceae | 1.4 | rare | |
| Marivirga tractuosa | Marivirgaceae | 1.1 | rare | |
| Chloracidobacterium thermophilum | incertae sedis | 0.9 | occasionally | |
| Staphylococcus pseudintermedius | Staphylococcaceae | 0.8 | occasionally | |
| Staphylococcus aureus | Staphylococcaceae | 0.5 | occasionally | |
| Weeksella virosa | Weeksellaceae | 0.5 | occasionally | |
| Clostridioides difficile | Peptostreptococcaceae | 0.4 | occasionally |
Disclaimer/Publisher’s Note: The statements, opinions and data contained in all publications are solely those of the individual author(s) and contributor(s) and not of MDPI and/or the editor(s). MDPI and/or the editor(s) disclaim responsibility for any injury to people or property resulting from any ideas, methods, instructions or products referred to in the content. |
© 2023 by the authors. Licensee MDPI, Basel, Switzerland. This article is an open access article distributed under the terms and conditions of the Creative Commons Attribution (CC BY) license (https://creativecommons.org/licenses/by/4.0/).
Share and Cite
Kosewska, O.; Przemieniecki, S.W.; Nietupski, M. The Effect of Antibiotics on Bacteriome of Sitophilus oryzae and Rhyzopertha dominica as a Factor Determining the Success of Foraging: A Chance for Antibiotic Therapy in Grain Stores. Appl. Sci. 2023, 13, 1576. https://doi.org/10.3390/app13031576
Kosewska O, Przemieniecki SW, Nietupski M. The Effect of Antibiotics on Bacteriome of Sitophilus oryzae and Rhyzopertha dominica as a Factor Determining the Success of Foraging: A Chance for Antibiotic Therapy in Grain Stores. Applied Sciences. 2023; 13(3):1576. https://doi.org/10.3390/app13031576
Chicago/Turabian StyleKosewska, Olga, Sebastian Wojciech Przemieniecki, and Mariusz Nietupski. 2023. "The Effect of Antibiotics on Bacteriome of Sitophilus oryzae and Rhyzopertha dominica as a Factor Determining the Success of Foraging: A Chance for Antibiotic Therapy in Grain Stores" Applied Sciences 13, no. 3: 1576. https://doi.org/10.3390/app13031576
APA StyleKosewska, O., Przemieniecki, S. W., & Nietupski, M. (2023). The Effect of Antibiotics on Bacteriome of Sitophilus oryzae and Rhyzopertha dominica as a Factor Determining the Success of Foraging: A Chance for Antibiotic Therapy in Grain Stores. Applied Sciences, 13(3), 1576. https://doi.org/10.3390/app13031576

