Abstract
One of the urgent tasks of applied materials science is the creation of novel high-effective materials with target properties. In the area of energy systems, there is a problem in the conversion of chemical energy to electricity without mechanical work. Hydrogen energy provides a way using electrochemical devices such as protonic ceramic fuel cells. Novel advanced proton-conducting materials with the top characteristics of target properties are strictly needed. Layered perovskites are a novel and promising class of protonic conductors. In this work, the layered perovskite BaLa0.9Pr0.1InO4 was obtained and investigated as a protonic conductor for the first time. The possibility for water intercalation and proton transport is proved. It was shown that isovalent doping Pr3+ → La3+ leads to an increase in the crystal lattice size, proton concentration and proton mobility. The proton conductivity value for doped BaLa0.9Pr0.1InO4 composition is 18 times greater than for undoped BaLaInO4 composition. Layered perovskites based on BaLaInO4 are promising materials for application in proton-conducting electrochemical devices.
1. Introduction
Applied materials science plays an important role in the development of various areas of human life. Critical areas such as medicine, energy and mechanical engineering cannot develop without the creation of new materials with targeted properties. Ceramic materials are required for very different needs such as medical applications (endoprosthetics) [1,2,3,4,5,6] and components for various electrochemical devices [7,8,9,10,11,12], as examples. The high priority of sustainable development necessitates the development of advanced energy technologies, one of them being hydrogen energy [13,14,15,16]. The switchover to renewable energy is, actually, not only for increasing energetically efficiency, but, also, due to the pursuit in decreasing climate changes and the lowering of cases of respiratory diseases [17,18,19,20,21,22,23]. Hydrogen energy is considered as an actual, sustainable and promising approach for energy generation [24,25,26,27,28,29,30,31,32,33,34,35]. This industry includes aspects such as the production, transportation and use of hydrogen as an energy source. The conversion of the chemical energy of hydrogen oxidation to electrical energy can be implemented using electrochemical devices such as protonic ceramic fuel cells [36,37,38,39,40,41]. This requires new high-effective materials such as electrodes, electrolytes and interconnectors with good compatibility between each other. The traditional and most investigated proton-conducting materials are barium cerate zirconates BaCeO3-BaZrO3, which are characterized by perovskite structure [42,43]. However, they are characterized by a relatively low concentration of protons and low chemical resistance to carbon dioxide. Consequently, novel advanced proton-conducting materials with top characteristics of target properties are strictly needed.
Layered perovskite structure is related to classical perovskite structure. The main difference is the separation of the perovskite framework by the layers with different structures. Layered perovskites with the general formula AA’nBnO3n+1 belong to members of layered perovskite family such as compositions with the Ruddlesden–Popper structure. Perovskite slabs A’BO3 are divided by the rock salt layers AO in this structural type, and the existence of compositions with a different “n” is possible. Layered structures provide a concentration of protons an order of magnitude higher than that of classic perovskites. The realization of proton transport was proved for monolayer perovskites such as BaNdInO4 [44,45,46,47,48], BaNdScO4 [49], SrLaInO4 [50,51,52,53,54], BaLaInO4 [55,56,57,58,59,60] and compositions based on them in the last few years [61]. Such compositions can be potentially used as electrolytic materials in the proton-conducting fuel cells. Various types of doping, including cationic [62] and oxyanionic [63], were investigated. However, the substitutions were implemented by the ions with a stable oxidation state. Meanwhile, the introduction of ions capable of changing their valence can provide control over the contributions of the electronic and ionic components of conductivity. In the future, this can ensure the creation of electrode and electrolyte materials with the same crystal structure and similar chemical composition, which should provide excellent compatibility. In this work, a Pr-doped ceramic material based on BaLaInO4 was obtained and investigated for the first time. The possibility of protonic transport was revealed.
2. Experimental Procedure
The phase BaLa0.9Pr0.1InO4 was synthesized via the nitrate–citrate route according to [52]. The starting reagents Ba(NO3)2, In(NO3)3∙6H2O, Pr(NO3)3∙6H2O and La(NO3)3∙9H2O were used. The X-ray diffraction analysis (XRD) was implemented at the Cu Kα diffractometer Bruker Advance D8. The full profile Le Bail regiments were implemented via the FullProf Suite software. The method of scanning electron microscopy (SEM) of powder and ceramic samples was realized using microscope VEGA3 TESCAN coupled with an energy-dispersive X-ray spectroscopy system (EDS).
The thermogravimetry (TG) measurements were implemented by the Netzsch Analyser STA 409 PC. The samples were initially hydrated using the method of cooling from 1000 to 150 °C (0.5 °C/min) at wet Ar flow. During TG-measurements, the samples were heated from 40 to 1000 °C with the speed 10 °C/min at dry Ar flow.
The resistance of ceramic samples was collected via the impedance spectrometer Elins Z-1000P. The ceramic pellets with a 10 mm diameter and 2 mm thickness were pressed for the investigations. Pt-electrodes were applied on the surfaces of the samples. The temperature range 200–1000 °C was covered, and the speed of cooling was 1°/min. The dry atmosphere was obtained by the circulating of air or Ar through phosphorus pentoxide (pH2O = 3.5 × 10−5 atm). The wet atmosphere was obtained by the passing of air or Ar through a saturated solution of potassium bromide (pH2O = 2 × 10−2 atm).
3. Results and Discussions
The phase characterization of composition BaLa0.9Pr0.1InO4 was made using XRD analysis. Figure 1a represents the Le Bail refinement of the X-ray obtained data. The composition is single phase and it has orthorhombic symmetry (Pbca space group). The image of the crystal structure of the monolayer perovskite is presented in the inset of Figure 1a. The introduction of Pr3+ ions into the La3+ sublattice (isovalent doping) leads to the expansion of the crystal lattice (Table 1). An increase in the size of the unit cell is observed during doping despite the close ionic radii of trivalent metals Pr3+ and La3+ ( = 1.216 Å, = 1.179 Å [64]). The presence of ions with different electronegativity ( = 1.10, = 1.13 [65]) could be the cause of the changes in the local structure and in the interatomic distances due to the additional repulsion effects. A similar effect was observed for another doped composition based on BaLaInO4 [59,60], and the presence of ions with different electronegativity in the same sublattice can be considered as the reason of the changes in the crystal lattice size.
Figure 1.
The results of the XRD—(a) (Rp = 2.11, Rwp = 2.25, χ2 = 1.32) and SEM-investigations (b,c) for the composition BaLa0.9Pr0.1InO4.
Table 1.
The geometric characteristics of the crystal lattice for the compositions BaLa0.9Pr0.1InO4 and BaLaInO4.
The morphology of the obtained sample was checked using scanning electron microscopy. Composition BaLa0.9Pr0.1InO4 consists of grains (~3–5 μm) agglomerated in the particles with the size ~10 μm (Figure 1b,c). The elemental composition was proved via EDS analysis. The average element ratios for BaLa0.9Pr0.1InO4 composition are presented in Table 2. The good agreement between theoretical and experimental values was confirmed.
Table 2.
The results of the energy-dispersive analysis for the composition BaLa0.9Pr0.1InO4 (theoretical values in atomic % are provided in the brackets).
The amount of water uptake was measured via thermogravimetry (TG) coupled with the differential scanning calorimetry (DSC) method. The results are presented in Figure 2. As we can see, the initially hydrated composition loses mass due to water release that was confirmed by MS-results. No other volatile components were detected. The main mass loss happens at ~ 200–400 °C, which is confirmed by the signal on the DSC-curve (green line in Figure 2). The dissociative water intercalation into the crystal structure of layered perovskites is possible due to the placement of hydroxyl groups in the rock salt space of the layered framework [62]:
Figure 2.
The TG, DSC and MS results for the composition BaLa0.9Pr0.1InO4.
Consequently, the increasing of the crystal lattice size should lead to the increasing of the water uptake [62]. As we can see, the water uptake for the Pr-doped composition is about 1 mol water per formula unit (Figure 2), which is bigger than 0.62 mol registered for undoped BaLaInO4 composition [62]. In other words, a good correlation between the changes of the geometric characteristics of the unit cell and water uptake is observed.
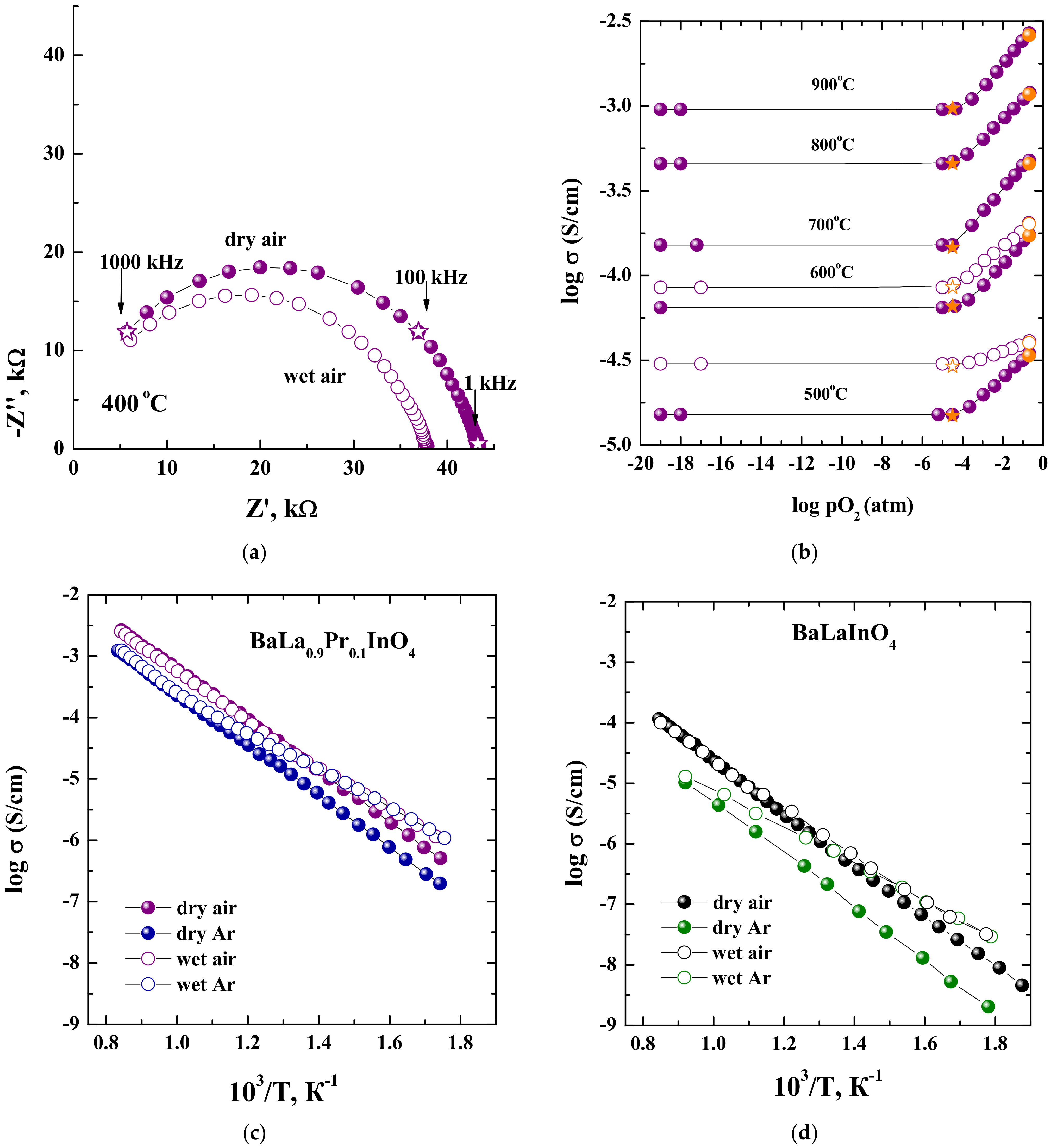
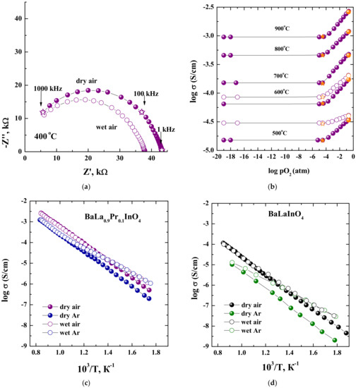
The electrotransport properties of the Pr-doped composition were investigated via the impedance spectroscopy method. Nyquist plots under dry and wet air at 400 °C are presented in Figure 3a as an example of collected data. The calculation of conductivity values was made using the resistance value obtained by extrapolating the high-frequency semicircle to the abscissa axis (capacitance ~10−12 F/cm). The effect of variation in oxygen partial pressure to the conductivity values is presented in Figure 3b. As we can see, the electrical conductivity is mixed hole ionic at dry oxidizing conditions. The share of oxygen ionic transport does not change at the temperature variation, and it is around 25%, which is comparable with the value (20%) for undoped BaLaInO4 composition [56]. We can suggest that the dopant concentration of 0.1 mol is not enough to have a meaningful impact on the conductivity nature. At the same time, the nature of dopant is also a possible reason for the absence of significant changes in the nature of conductivity. However, a significant increase in the conductivity values (~1.5 orders of magnitude) during doping is observed (Figure 3c,d). The most probable reason for the increase in the mobility of oxygen ions is due to the increase in the size of the crystal lattice and space for ionic transport. It should be noted that the conductivity values from the electrolytic area (oxygen ionic conductivity, pO2 < 10−5) do correlate well with the conductivity values obtained at the Ar atmosphere. This allows us to consider the values obtained in argon as ionic conductivity values.
Figure 3.
The Nyquist plots for the composition BaLa0.9Pr0.1InO4 obtained under dry and wet air at 400 °C (a), the dependencies σ – pO2 for the composition BaLa0.9Pr0.1InO4 (violet symbols) at dry (closed symbols) and wet (open symbols) atmospheres (b), the dependencies σ –1000/T for the compositions BaLa0.9Pr0.1InO4 (c) and BaLaInO4 [56] (d).
The humidity of the atmosphere affects the conductivity values below 600 °C. The proton concentration increases with temperature decreases. This is because of the increase of the conductivity under wet conditions in comparison with dry conditions (Figure 3b,c). The proton conductivity was calculated as the difference between conductivity values obtained under wet Ar and dry Ar:
and its temperature dependencies are shown in Figure 4a. As we can see, the protonic conductivity for the Pr-doped composition is higher than the undoped sample by ~1.5 orders of magnitude. This increase is due to the increase in both the proton concentration and proton mobility (Figure 4b). The proton conductivity value for doped BaLa0.9Pr0.1InO4 composition is 5.0 × 10−6 S/cm (T = 400 °C) in comparison with 2.7 ×∙10−7 S/cm for BaLaInO4 composition that is 18 times greater. It can be suggested that the change in the dopant concentration and dopant nature can lead to significant changes in the nature of electrical conductivity.
Figure 4.
The dependencies of conductivity (a) and mobility (b) of protons vs. temperature for the compositions BaLa0.9Pr0.1InO4 and BaLaInO4 [56].
4. Conclusions
The layered perovskite BaLa0.9Pr0.1InO4 was obtained and investigated as a protonic conductor for the first time. The possibility of proton transport is shown. It was proved that isovalent doping Pr3+ → La3+ leads to an increase in the crystal lattice size, proton concentration and proton mobility. The proton conductivity value for the doped BaLa0.9Pr0.1InO4 composition is 5.0 ×∙10−6 S/cm (T = 400 °C), in comparison with the 2.7∙× 10−7 S/cm for BaLaInO4 composition that is 18 times greater. Further research for a dopant capable of a significant change in its electrical conductivity nature is relevant. Layered perovskites based on BaLaInO4 are promising materials for application in proton conducting electrochemical devices.
Author Contributions
Conceptualization, I.A. and N.T.; methodology, I.A. and N.T.; investigation, A.B.; data curation, N.T. and A.B.; writing—original draft preparation, N.T.; writing—review and editing, N.T. and I.A. All authors have read and agreed to the published version of the manuscript.
Funding
This research was supported by the Russian Science Foundation (grant no 22-79-10003).
Institutional Review Board Statement
Not applicable.
Informed Consent Statement
Not applicable.
Data Availability Statement
Not applicable.
Conflicts of Interest
The authors declare no conflict of interest.
References
- Punj, P.; Singh, J.; Singh, K. Ceramic biomaterials: Properties, state of the art and future prospectives. Ceram. Int. 2021, 47, 28059–28074. [Google Scholar] [CrossRef]
- Koons, G.L.; Diba, M.; Mikos, A.G. Materials design for bone-tissue engineering. Nat. Rev. Mater. 2020, 5, 584–603. [Google Scholar] [CrossRef]
- Jodati, H.; Yilmaz, B.; Evis, Z. Calcium zirconium silicate (baghdadite) ceramic as a biomaterial. Ceram. Int. 2022, 46, 21902–21909. [Google Scholar] [CrossRef]
- Weng, W.; Wu, W.; Hou, M.; Liu, T.; Wang, T.; Yang, H. Review of zirconia-based biomimetic scaffolds for bone tissue engineering. J. Mater. Sci. 2022, 56, 8309–8333. [Google Scholar] [CrossRef]
- Bunpetch, V.; Zhang, X.; Li, T.; Lin, J.; Maswikiti, E.P.; Wu, Y.; Cai, D.; Li, J.; Zhang, S.; Wu, C.; et al. Silicate-based bioceramic scaffolds for dual-lineage regeneration of osteochondral defect. Biomaterials 2019, 192, 323–333. [Google Scholar] [CrossRef]
- Tarasova, N.; Galisheva, A.; Belova, K.; Mushnikova, A.; Volokitina, E. Ceramic materials based on lanthanum zirconate for the bone augmentation purposes: Materials science approach. Chim. Techno Acta 2022, 9, 20229209. [Google Scholar] [CrossRef]
- Zvonareva, I.; Fu, X.-Z.; Medvedev, D.; Shao, Z. Electrochemistry and energy conversion features of protonic ceramic cells with mixed ionic-electronic electrolytes. Energy Environ. Sci. 2022, 15, 439–465. [Google Scholar] [CrossRef]
- Shim, J.H. Ceramics breakthrough. Nat. Energy 2018, 3, 168–169. [Google Scholar] [CrossRef]
- Bello, I.T.; Zhai, S.; He, Q.; Cheng, C.; Dai, Y.; Chen, B.; Zhang, Y.; Ni, M. Materials development and prospective for protonic ceramic fuel cells. Int. J. Energy Res. 2021, 46, 2212–2240. [Google Scholar] [CrossRef]
- Zhang, W.; Hu, Y.H. Progress in proton-conducting oxides as electrolytes for low-temperature solid oxide fuel cells: From materials to devices. Energy Sci. Eng. 2021, 9, 984–1011. [Google Scholar] [CrossRef]
- Meng, Y.; Gao, J.; Zhao, Z.; Amoroso, J.; Tong, J.; Brinkman, K.S. Review: Recent progress in low-temperature proton-conducting ceramics. J. Mater. Sci. 2019, 54, 9291–9312. [Google Scholar] [CrossRef]
- Medvedev, D. Trends in research and development of protonic ceramic electrolysis cells. Int. J. Hydrogen Energy 2019, 44, 26711–26740. [Google Scholar] [CrossRef]
- Malerba, D. Poverty-energy-emissions pathways: Recent trends and future sustainable development goals. Int. J. Sustain. Energy Dev. 2019, 49, 109–124. [Google Scholar] [CrossRef]
- Buonomano, A.; Barone, G.; Forzano, C. Advanced energy technologies, methods, and policies to support the sustainable development of energy, water and environment systems. Energy Rep. 2022, 8, 4844–4853. [Google Scholar] [CrossRef]
- Chu, S.; Majumdar, A. Opportunities and challenges for a sustainable energy future. Nature 2012, 48, 294–303. [Google Scholar] [CrossRef] [PubMed]
- Østergaard, P.A.; Duic, N.; Noorollahi, Y.; Mikulcic, H.; Kalogirou, S. Sustainable development using renewable energy technology. Renew. Energy 2020, 146, 2430–2437. [Google Scholar] [CrossRef]
- Olabi, A.G.; Abdelkareem, M.A. Renewable energy and climate change. Renew. Sustain. Energy Rev. 2022, 158, 112111. [Google Scholar] [CrossRef]
- Corvalan, C.; Prats, E.V.; Sena, A.; Campbell-Lendrum, D.; Karliner, J.; Risso, A.; Wilburn, S.; Slotterback, S.; Rathi, M.; Stringer, R.; et al. Towards climate resilient and environmentally sustainable health care facilities. Int. J. Environ. Res. Public Health 2020, 17, 8849. [Google Scholar] [CrossRef]
- Watts, N.; Amann, M.; Arnell, N.; Ayeb-Karlsson, S.; Beagley, J.; Belesova, K.; Boykoff, M.; Byass, P.; Cai, W.; Campbell-Lendrum, D.; et al. The 2020 report of the Lancet countdown on health and climate change: Responding to converging crises. Lancet 2021, 397, 129–170. [Google Scholar] [CrossRef]
- Kats, G.H. Slowing global warming and sustaining development: The promise of energy efficiency. Energy Policy 1990, 18, 25–33. [Google Scholar] [CrossRef]
- Afroze, S.; Reza, M.S.; Cheok, Q.; Taweekun, J.; Azad, A.K. Solid oxide fuel cell (SOFC); A new approach of energy generation during the pandemic COVID-19. Int. J. Integr. Eng. 2020, 12, 245–256. [Google Scholar] [CrossRef]
- Stambouli, A.B.; Traversa, E. Solid oxide fuel cells (SOFCs): A review of an environmentally clean and efficient source of energy. Renew. Sustain. Energy Rev. 2002, 6, 433–455. [Google Scholar] [CrossRef]
- Afroze, S.; Reza, M.S.; Cheok, Q.; Islam, S.N.; Abdalla, A.M.; Taweekun, J.; Azad, A.K.; Khalilpoor, N.; Issakhov, A. Advanced applications of fuel cells during the COVID-19 Pandemic. Int. J. Chem. Eng. 2021, 2021, 5539048. [Google Scholar] [CrossRef]
- Dincer, I. Renewable energy and sustainable development: A crucial review. Renew. Sustain. Energy Rev. 2000, 4, 157–175. [Google Scholar] [CrossRef]
- Panwar, N.L.; Kaushik, S.C.; Kothari, S. Role of renewable energy sources in environmental protection: A review. Renew. Sustain. Energy Rev. 2011, 15, 1513–1524. [Google Scholar] [CrossRef]
- Dincer, I.; Rosen, M.A. Sustainability aspects of hydrogen and fuel cell systems. Int. J. Sustain. Energy Dev. 2011, 15, 137–146. [Google Scholar] [CrossRef]
- Branco, H.; Castro, R.; Lopes, A.S. Battery energy storage systems as a way to integrate renewable energy in small isolated power systems. Int. J. Sustain. Energy Dev. 2018, 43, 90–99. [Google Scholar] [CrossRef]
- International Energy Agency. The Future of Hydrogen: Seizing Today’s Opportunities; OECD: Paris, France, 2019. [Google Scholar] [CrossRef]
- Abe, J.O.; Popoola, A.P.I.; Ajenifuja, E.; Popoola, O.M. Hydrogen energy, economy and storage: Review and recommendation. Int. J. Hydrogen Energy 2019, 44, 15072–15086. [Google Scholar] [CrossRef]
- Dawood, F.; Anda, M.; Shafiullah, G.M. Hydrogen production for energy: An overview. Int. J. Hydrogen Energy 2019, 45, 3847–3869. [Google Scholar] [CrossRef]
- Easily, R.R.; Chi, Y.; Ibrahiem, D.M.; Chen, Y. Hydrogen strategy in decarbonization era: Egypt as a case study. Int. J. Hydrogen Energy 2022, 47, 18629–18647. [Google Scholar] [CrossRef]
- Arsad, A.Z.; Hannan, M.A.; Al-Shetwi, A.Q.; Mansur, M.; Muttaqi, K.M.; Dong, Z.Y.; Blaabjerg, F. Hydrogen energy storage integrated hybrid renewable energy systems: A review analysis for future research directions. Int. J. Hydrogen Energy 2022, 47, 17285–17312. [Google Scholar] [CrossRef]
- Scovell, M.D. Explaining hydrogen energy technology acceptance: A critical review. Int. J. Hydrogen Energy 2022, 47, 10441–10459. [Google Scholar] [CrossRef]
- Abdalla, A.M.; Hossain, S.; Nisfindy, O.B.; Azad, A.T.; Dawood, M.; Azad, A.K. Hydrogen production, storage, transportation and key challenges with applications: A review. Energy Convers. Manag. 2018, 165, 602–627. [Google Scholar] [CrossRef]
- Hossain, S.; Abdalla, A.M.; Jamain, S.N.B.; Zaini, J.H.; Azad, A.K. A review on proton conducting electrolytes for clean energy and intermediate temperature-solid oxide fuel cells. Renew. Sustain. Energy Rev. 2017, 79, 750–764. [Google Scholar] [CrossRef]
- Kasyanova, A.; Zvonareva, I.; Bi, L.; Medvedev, D.; Shao, Z. Electrolyte materials for protonic ceramic electrochemical cells: Main limitations and potential solutions. Mater. Rep. Energy 2022, 2, 100158. [Google Scholar] [CrossRef]
- Kim, J.; Sengodan, S.; Kim, S.; Kwon, O.; Bu, Y.; Kim, G. Proton conducting oxides: A review of materials and applications for renewable energy conversion and storage. Renew. Sustain. Energy Rev. 2019, 109, 606–618. [Google Scholar] [CrossRef]
- Chiara, A.; Giannici, F.; Pipitone, C.; Longo, A.; Aliotta, C.; Gambino, M.; Martorana, A. Solid-solid interfaces in protonic ceramic devices: A critical review. ACS Appl. Mater. Interfaces 2020, 12, 55537–55553. [Google Scholar] [CrossRef] [PubMed]
- Cao, J.; Ji, Y.; Shao, Z. New insights into the proton-conducting solid oxide fuel cells. J. Chin. Ceram. Soc. 2021, 49, 83–92. [Google Scholar] [CrossRef]
- Bello, I.T.; Zhai, S.; Zhao, S.; Li, Z.; Yu, N.; Ni, M. Scientometric review of proton-conducting solid oxide fuel cells. Int. J. Hydrogen Energy 2021, 46, 37406–37428. [Google Scholar] [CrossRef]
- Colomban, P. Proton conductors and their applications: A tentative historical overview of the early researches. Solid State Ion. 2019, 334, 125–144. [Google Scholar] [CrossRef]
- Syafkeena, M.A.N.; Zainor, M.L.; Hassan, O.H.; Baharuddin, N.A.; Othman, M.H.D.; Tseng, C.-J.; Osman, N. Review on the preparation of electrolyte thin films based on cerate-zirconate oxides for electrochemical analysis of anode-supported proton ceramic fuel cells. J. Alloys Compd. 2022, 918, 165434. [Google Scholar] [CrossRef]
- Rasaki, S.A.; Liu, C.; Lao, C. A review of current performance of rare earth metal-doped barium zirconate perovskite: The promising electrode and electrolyte material for the protonic ceramic fuel cells. Prog. Solid State Chem. 2021, 63, 100325. [Google Scholar] [CrossRef]
- Fujii, K.; Shiraiwa, M.; Esaki, Y.; Yashima, M.; Kim, S.J.; Lee, S. Improved oxide-ion conductivity of NdBaInO4 by Sr doping. J. Mater. Chem. A 2015, 3, 11985–11990. [Google Scholar] [CrossRef]
- Ishihara, T.; Yan, Y.; Sakai, T.; Ida, S. Oxide ion conductivity in doped NdBaInO4. Solid State Ion. 2016, 288, 262–265. [Google Scholar] [CrossRef]
- Yang, X.; Liu, S.; Lu, F.; Xu, J.; Kuang, X. Acceptor doping and oxygen vacancy migration in layered perovskite NdBaInO4- based mixed conductors. J. Phys. Chem. C 2016, 12, 6416–6426. [Google Scholar] [CrossRef]
- Fujii, K.; Yashima, M. Discovery and development of BaNdInO4–A brief review. J. Ceram. Soc. 2018, 126, 852–859. [Google Scholar] [CrossRef]
- Zhou, Y.; Shiraiwa, M.; Nagao, M.; Fujii, K.; Tanaka, I.; Yashima, M.; Baque, L.; Basbus, J.F.; Mogni, L.V.; Skinner, S.J. Protonic conduction in the BaNdInO4 structure achieved by acceptor doping. Chem. Mater. 2021, 33, 2139–2146. [Google Scholar] [CrossRef]
- Shiraiwa, M.; Kido, T.; Fujii, K.; Yashima, M. High-temperature proton conductors based on the (110) layered perovskite BaNdScO4. J. Mat. Chem. A 2021, 9, 8607–8619. [Google Scholar] [CrossRef]
- Kato, S.; Ogasawara, M.; Sugai, M.; Nakata, S. Synthesis and oxide ion conductivity of new layered perovskite La1-xSr1+xInO4-d. Solid State Ion. 2002, 149, 53–57. [Google Scholar] [CrossRef]
- Troncoso, L.; Alonso, J.A.; Aguadero, A. Low activation energies for interstitial oxygen conduction in the layered perovskites La1+xSr1-xInO4+d. J. Mater. Chem. A 2015, 3, 17797–17803. [Google Scholar] [CrossRef]
- Troncoso, L.; Alonso, J.A.; Fernández-Díaz, M.T.; Aguadero, A. Introduction of interstitial oxygen atoms in the layered perovskite LaSrIn1−xB xO4+δ system (B = Zr, Ti). Solid State Ion. 2015, 282, 82–87. [Google Scholar] [CrossRef]
- Troncoso, L.; Mariño, C.; Arce, M.D.; Alonso, J.A. Dual oxygen defects in layered La1.2Sr0.8-xBaxInO4+d (x = 0.2, 0.3) oxide-ion conductors: A neutron diffraction study. Materials 2019, 12, 1624. [Google Scholar] [CrossRef] [PubMed]
- Troncoso, L.; Arce, M.D.; Fernández-Díaz, M.T.; Mogni, L.V.; Alonso, J.A. Water insertion and combined interstitial-vacancy oxygen conduction in the layered perovskites La1.2Sr0.8-xBaxInO4+d. New J. Chem. 2019, 43, 6087–6094. [Google Scholar] [CrossRef]
- Tarasova, N.; Animitsa, I.; Galisheva, A. Effect of acceptor and donor doping on the state of protons in block-layered structures based on BaLaInO4. Solid State Commun. 2021, 323, 114093. [Google Scholar] [CrossRef]
- Tarasova, N.; Galisheva, A.; Animitsa, I. Improvement of oxygen-ionic and protonic conductivity of BaLaInO4 through Ti doping. Ionics 2020, 26, 5075–5088. [Google Scholar] [CrossRef]
- Tarasova, N.; Galisheva, A.; Animitsa, I.; Korona, D.; Davletbaev, K. Novel proton-conducting layered perovskite based on BaLaInO4 with two different cations in B-sublattice: Synthesis, hydration, ionic (O2+, H+) conductivity. Int. J. Hydrogen Energy 2022, 47, 18972–18982. [Google Scholar] [CrossRef]
- Tarasova, N.; Galisheva, A.; Animitsa, I.; Anokhina, I.; Gilev, A.; Cheremisina, P. Novel mid-temperature Y3+ → In3+ doped proton conductors based on the layered perovskite BaLaInO4. Ceram. Int. 2022, 48, 15677–15685. [Google Scholar] [CrossRef]
- Tarasova, N.; Bedarkova, A.; Animitsa, I. Proton transport in the gadolinium-doped layered perovskite BaLaInO4. Materials 2022, 15, 7351. [Google Scholar] [CrossRef]
- Tarasova, N.; Bedarkova, A. Advanced proton-conducting ceramics based on layered perovskite BaLaInO4 for energy conversion technologies and devices. Materials 2022, 15, 6841. [Google Scholar] [CrossRef]
- Tarasova, N.; Animitsa, I.; Galisheva, A.; Medvedev, D. Layered and hexagonal perovskites as novel classes of proton-conducting solid electrolytes: A focus review. Electrochem. Mater. Technol. 2022, 1, 20221004. [Google Scholar] [CrossRef]
- Tarasova, N.; Animitsa, I. Materials AIILnInO4 with Ruddlesden-Popper structure for electrochemical applications: Relationship between ion (oxygen-ion, proton) conductivity, water uptake and structural changes. Materials 2022, 15, 114. [Google Scholar] [CrossRef] [PubMed]
- Tarasova, N.; Galisheva, A. Phosphorus-doped protonic conductors based on BaLanInnO3n+1 (n = 1, 2): Applying oxyanion doping strategy to the layered perovskite structures. Chim. Techno Acta 2022, 9, 20229405. [Google Scholar] [CrossRef]
- Shannon, R.D. Revised effective ionic radii and systematic studies of interatomic distances in halides and chalcogenides. Acta Cryst. 1976, A32, 751–767. [Google Scholar] [CrossRef]
- Allred, A.L. Electronegativity values from thermochemical data. J. Inorg. Nucl. Chem. 1961, 17, 215–221. [Google Scholar] [CrossRef]
Disclaimer/Publisher’s Note: The statements, opinions and data contained in all publications are solely those of the individual author(s) and contributor(s) and not of MDPI and/or the editor(s). MDPI and/or the editor(s) disclaim responsibility for any injury to people or property resulting from any ideas, methods, instructions or products referred to in the content. |
© 2023 by the authors. Licensee MDPI, Basel, Switzerland. This article is an open access article distributed under the terms and conditions of the Creative Commons Attribution (CC BY) license (https://creativecommons.org/licenses/by/4.0/).



