Stress Analysis and Structural Improvement of LNG Tank Container Frames under Impact from Railway Transport Vehicles
Abstract
1. Introduction
2. Numerical Models
2.1. Geometrical Models
2.2. Mesh Model
2.3. Load and Boundary Conditions
2.4. Material Models
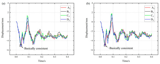
2.5. Model Verification
3. Results and Discussion
3.1. Frame Mises Stress Analysis
3.2. Frame Deformation Analysis
3.3. Effects on FRP Support Rings and Inner Vessels
3.4. Effects on Outer Vessels
4. Conclusions
- For the problem that frames of the traditional LNG railway tank container may not pass impact strength tests, three improved frames were suggested by removing or changing side rails or bottom inclined supports.
- All three improved frames can meet the strength and deformation requirements, i.e., the maximum Mises stress is less than the allowable stress and the diagonal length difference is less than the allowable value.
- The improvements of the frames have little effect on the stress and deformation of the other components of the tank container, in particular, the inner vessel and outer vessel, or in other words, the stress on the tank container is still less than the corresponding allowable stress and the change in deformations will not affect the normal use of the tank container.
- Compared to the frame of the traditional tank container, removing the side rails partially or completely reduces the weight of the frame by 17.99% and 38.34%, respectively, greatly reducing manufacturing and transportation costs.
Author Contributions
Funding
Institutional Review Board Statement
Informed Consent Statement
Data Availability Statement
Conflicts of Interest
References
- Wang, B.; Luo, R.; Chen, H.; Zheng, C.; Gao, Y.; Wang, H.; Hashmi, A.R.; Zhao, Q.; Gan, Z. Characterization and Monitoring of Vacuum Pressure of Tank Containers with Multilayer Insulation for Cryogenic Clean Fuels Storage and Transportation. Appl. Therm. Eng. 2021, 187, 116569. [Google Scholar] [CrossRef]
- Yu, P.; Yin, Y.; Yue, Q.; Wu, S. Experimental Study of Ship Motion Effect on Pressurization and Holding Time of Tank Containers during Marine Transportation. Sustainability 2022, 14, 3595. [Google Scholar] [CrossRef]
- Vrabel, J.; Skrucany, T.; Bartuska, L.; Koprna, J. Movement analysis of the semitrailer with the tank-container at hard braking -the case study. IOP Conf. Ser. Mater. Sci. Eng. 2019, 710, 012025. [Google Scholar] [CrossRef]
- Kim, T.-W.; Suh, Y.-S.; Jang, K.-B.; Chun, M.-S.; Lee, K.-D.; Cha, K.-H. A Study and Design on Tank Container for Fuel Tank of LNG Fueled Ship. J. Soc. Nav. Archit. Kr. 2012, 49, 504–511. [Google Scholar] [CrossRef]
- Peng, J.H. Test and Analysis of LNG Tank Container Waterway Transportation. In Proceedings of the Second International Conference on Transportation Engineering, Chengdu, China, 25–27 July 2009. [Google Scholar] [CrossRef]
- Fomin, O.; Gerlici, J.; Lovska, A.; Kravchenko, K.; Fomina, Y.; Lack, T. Determination of the strength of the containers fittings of a flat wagon loaded with containers during shunting. IOP Conf. Ser. Mater. Sci. Eng. 2019, 659, 012056. [Google Scholar] [CrossRef]
- Fomin, O.; Vatulia, G.; Lovska, A. Dynamic load modelling for tank containers with the frame of circle pipes and structurally improved fittings. E3S Web Conf. 2020, 166, 07001. [Google Scholar] [CrossRef]
- Fomin, O.; Gerlici, J.; Lovskaya, A.; Gorbunov, M.; Kravchenko, K.; Prokopenko, P.; Lack, T. Dynamic loading of the tank container on a flat wagon considering fittings displacement relating to the stops. MATEC Web Conf. 2018, 234, 05002. [Google Scholar] [CrossRef][Green Version]
- Sergeichev, I.V.; Ushakov, A.E.; Safonov, A.A.; Fedulov, B.N.; Fedorenko, A.N.; Brouwer, W.D.; Timofeev, M.A.; Klenin, Y.G. Structural design and strength analysis of the tank-container with composite tank for multimodal transportations of chemically aggressive fluids and petrochemical products. In Proceedings of the 20th International Conference on Composite Materials, Copenhagen, Denmark, 19–24 July 2015. [Google Scholar]
- Muttaqie, T.; Sasmito, C.; Iskendar; Kadir, A. Structural Strength Assessment of 20-ft LNG ISO Tank: An Investigation of Finite Element Analysis and ASME Design Guidance. IOP Conf. Ser. Earth Environ. Sci. 2022, 972, 012015. [Google Scholar] [CrossRef]
- Liguori, A.; Formato, A.; Pellegrino, A.; Villecco, F. Study of Tank Containers for Foodstuffs. Machines 2021, 9, 44. [Google Scholar] [CrossRef]
- Ryou, Y.-D.; Lee, J.-H.; Jo, Y.-D.; Oh, Y.-S.; Cha, K.-H. Internal Pressure Variation Analysis and Actual Holding Time Test on ISO LNG Tank Container. J. Korea Inst. Gas 2013, 17, 1–7. [Google Scholar] [CrossRef]
- de Souza, V.A.; Kirkayak, L.; Suzuki, K.; Ando, H.; Sueoka, H. Experimental and numerical analysis of container stack dynamics using a scaled model test. Ocean Eng. 2012, 39, 24–42. [Google Scholar] [CrossRef]
- Wang, Z.Q.; Qian, C.F. Strength analysis of LNG tank container for trains under inertial force. J. Phys. Conf. Ser. 2020, 1549, 032107. [Google Scholar] [CrossRef]
- Wang, Z.Q.; Qian, C.F.; Li, W. Study on Impact Process of a Large LNG Tank Container for Trains. Appl. Sci. 2023, 13, 1351. [Google Scholar] [CrossRef]
- Tiernan, S.; Fahy, M. Dynamic FEA modelling of ISO tank containers. J. Mater. Process. Technol. 2002, 124, 126–132. [Google Scholar] [CrossRef]
- Yue, W.; Chen, X. Three-Dimensional Liquid Sloshing Numerical Analysis on a New Designed Tank Container. In Proceedings of the ASME 2019 Pressure Vessels & Piping Conference, San Antonio, TX, USA, 14–19 July 2019; p. V005T09A008. [Google Scholar] [CrossRef]
- Kim, S. Study on the numerical simulation of bird strike for composite container of external auxiliary fuel tank for rotorcraft. J. Korea Acad.-Ind. Coop Soc. 2017, 18, 709–713. [Google Scholar] [CrossRef]
- Cao, J.; Han, M.; Qi, J.Y. The Study on Medium Filling Scheme of LNG Tank Container Impact Testing Based on ANSYS. Adv. Mater. Res. 2014, 912–914, 869–872. [Google Scholar] [CrossRef]
- Lee, D.-Y.; Jo, J.-S.; Nyongesa, A.J.; Lee, W.-J. Fatigue Analysis of a 40 ft LNG ISO Tank Container. Materials 2023, 16, 428. [Google Scholar] [CrossRef] [PubMed]
- Ashok, D.; Bahubalendruni, M.V.A.R.; Mhaskar, A.; Choudhary, V.; Balamurali, G.; Turaka, S. Experimental and numerical investigation on 2.5-dimensional nature-inspired infill structures under out-plane quasi-static loading. Proc IMechE Part E J. Process Mech. Eng. 2023. [Google Scholar] [CrossRef]
- Song, T.T. Research on Q450NQR1 High Strength Sheet Metal forming Springback and Application of Shallow Drawing. Master’s Thesis, Shandong University, Jinan, China, 2011. [Google Scholar]
- Pan, J.H.; Chen, Z.; Hong, Z.Y. A novel method to estimate the fracture toughness of pressure vessel ferritic steels in the ductile to brittle transition region using finite element analysis and Master Curve method. Int. J. Press. Vessel. Pip. 2019, 176, 103949. [Google Scholar] [CrossRef]
- Han, Y. Study on Technique of Cold Stretched Austenitic Stainless-Steel Pressure Vessle and Its Performance Evaluation in Typical Media Environment. Ph.D. Thesis, Hefei University of Technology, Hefei, China, 2012. [Google Scholar]
- Mi, L. Research on Numerical Simulation of Impact Test on Railway Vehicles. Master’s Thesis, Beijing Jiaotong University, Beijing, China, 2014. [Google Scholar]
- TB/T 1335-1996; Strength Design and Test Certification Specification for Railway Vehicle. China Railway Publishing House: Beijing, China, 1996.
- ISO 668:2020; Series 1: Freight Containers—Classification, Dimensions and Ratings. International Organization for Standardization: Geneva, Switzerland, 2020.














| Item | Value | Item | Value |
|---|---|---|---|
| Specified filling rate | 90% | Material of the 8 support rings | GFRP |
| Design pressure of the inner vessel | 0.6 MPa | Material of the frame | Q450NQR1 [22] |
| Design temperature of the inner vessel | −196 °C | Material of the outer vessel | 16MnDR [23] |
| Design pressure of the jacket | −0.1 MPa | Material of the inner vessel | S30408 [24] |
| Design temperature of the jacket | 50 °C | Corrosion allowance | 0 |
| Item | Density (t/mm3) | Elastic Modulus (MPa) | Poisson’s Ratio |
|---|---|---|---|
| Impact vehicle | 0.115 × 10−4 | 0.201 × 106 | 0.3 |
| Transport vehicle | 0.295 × 10−8 | 0.201 × 106 | 0.3 |
| Twist lock | 0.785 × 10−8 | 0.201 × 106 | 0.3 |
| Corner fitting | 0.785 × 10−8 | 0.201 × 106 | 0.3 |
| GFRP | 0.185 × 10−8 | 0.720 × 105 | 0.26 |
| Item | Value | Item | Value |
|---|---|---|---|
| Temperature (°C) | −161.87 | (J/kg·k) | 2056.3 |
| Pressure (MPa) | 0.1 | (1/Pa) | 2.22 × 10−9 |
| Density (kg/m3) | 460 | (1/K) | 0.00346 |
| Sound velocity (m/s) | 1341.3 | 1.648 | |
| Viscosity (MPa·s) | 0.118 × 10−9 |
Disclaimer/Publisher’s Note: The statements, opinions and data contained in all publications are solely those of the individual author(s) and contributor(s) and not of MDPI and/or the editor(s). MDPI and/or the editor(s) disclaim responsibility for any injury to people or property resulting from any ideas, methods, instructions or products referred to in the content. |
© 2023 by the authors. Licensee MDPI, Basel, Switzerland. This article is an open access article distributed under the terms and conditions of the Creative Commons Attribution (CC BY) license (https://creativecommons.org/licenses/by/4.0/).
Share and Cite
Wang, Z.; Qian, C.; Wu, Z. Stress Analysis and Structural Improvement of LNG Tank Container Frames under Impact from Railway Transport Vehicles. Appl. Sci. 2023, 13, 13335. https://doi.org/10.3390/app132413335
Wang Z, Qian C, Wu Z. Stress Analysis and Structural Improvement of LNG Tank Container Frames under Impact from Railway Transport Vehicles. Applied Sciences. 2023; 13(24):13335. https://doi.org/10.3390/app132413335
Chicago/Turabian StyleWang, Zhiqiang, Caifu Qian, and Zhiwei Wu. 2023. "Stress Analysis and Structural Improvement of LNG Tank Container Frames under Impact from Railway Transport Vehicles" Applied Sciences 13, no. 24: 13335. https://doi.org/10.3390/app132413335
APA StyleWang, Z., Qian, C., & Wu, Z. (2023). Stress Analysis and Structural Improvement of LNG Tank Container Frames under Impact from Railway Transport Vehicles. Applied Sciences, 13(24), 13335. https://doi.org/10.3390/app132413335
