Study on the Interface Instability of a Shock Wave–Sub-Millimeter Liquid Droplet Interface and a Numerical Investigation of Its Breakup
Abstract
:1. Introduction
2. Instability of Shock Wave–Sub-Millimeter Liquid Droplet Interfaces
2.1. Experimental Parameters
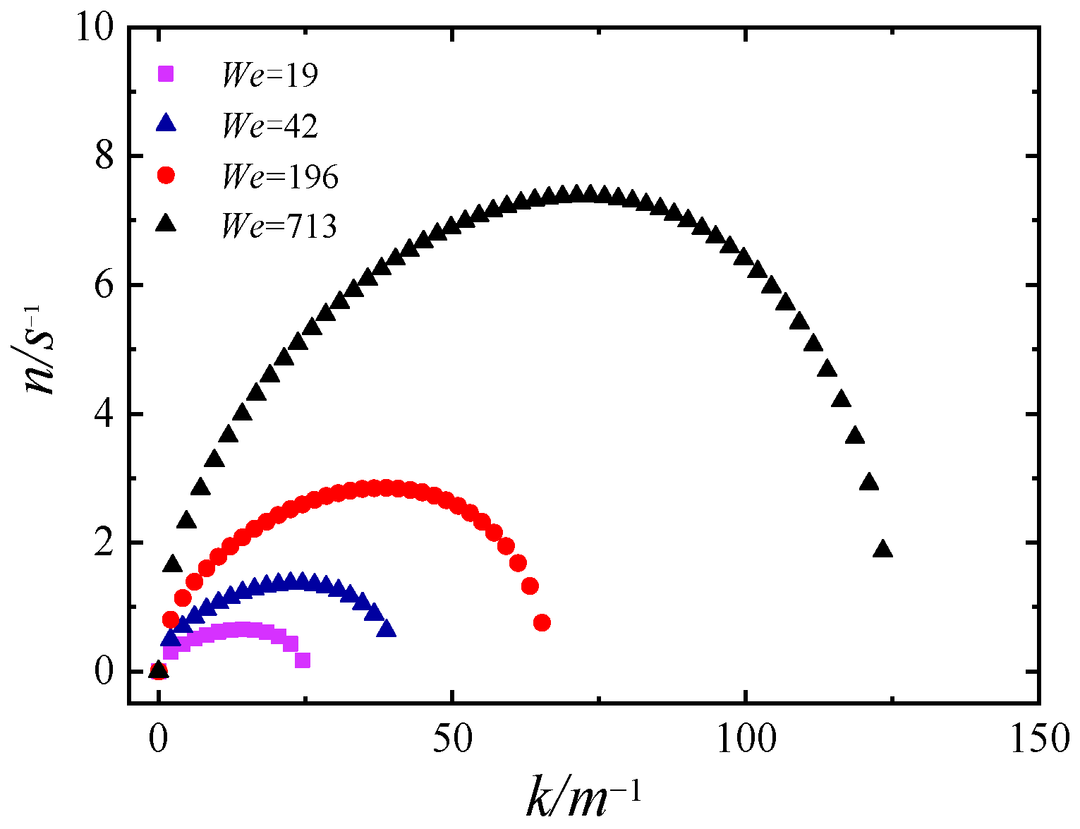
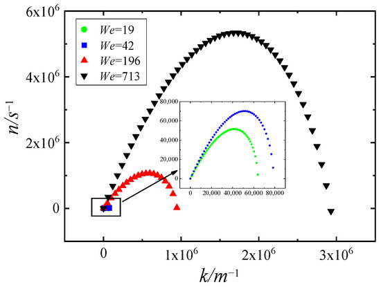
2.2. The Influence of Weber Number and Initial Diameter on the R–T Instability
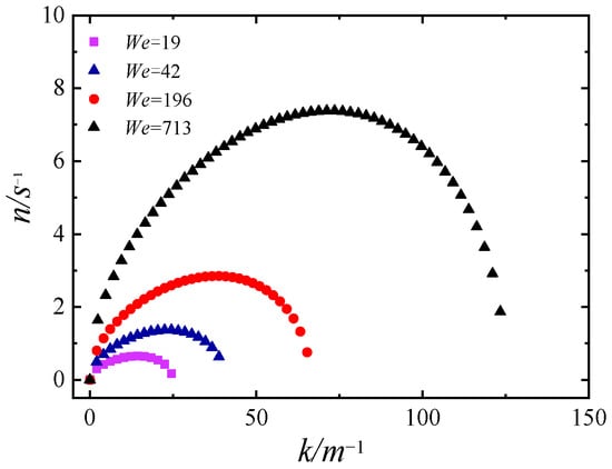
2.3. The Influence of Weber Number and Initial Diameter on K–H Instability
3. Numerical Simulation Study of Sub-Millimeter Liquid Droplets
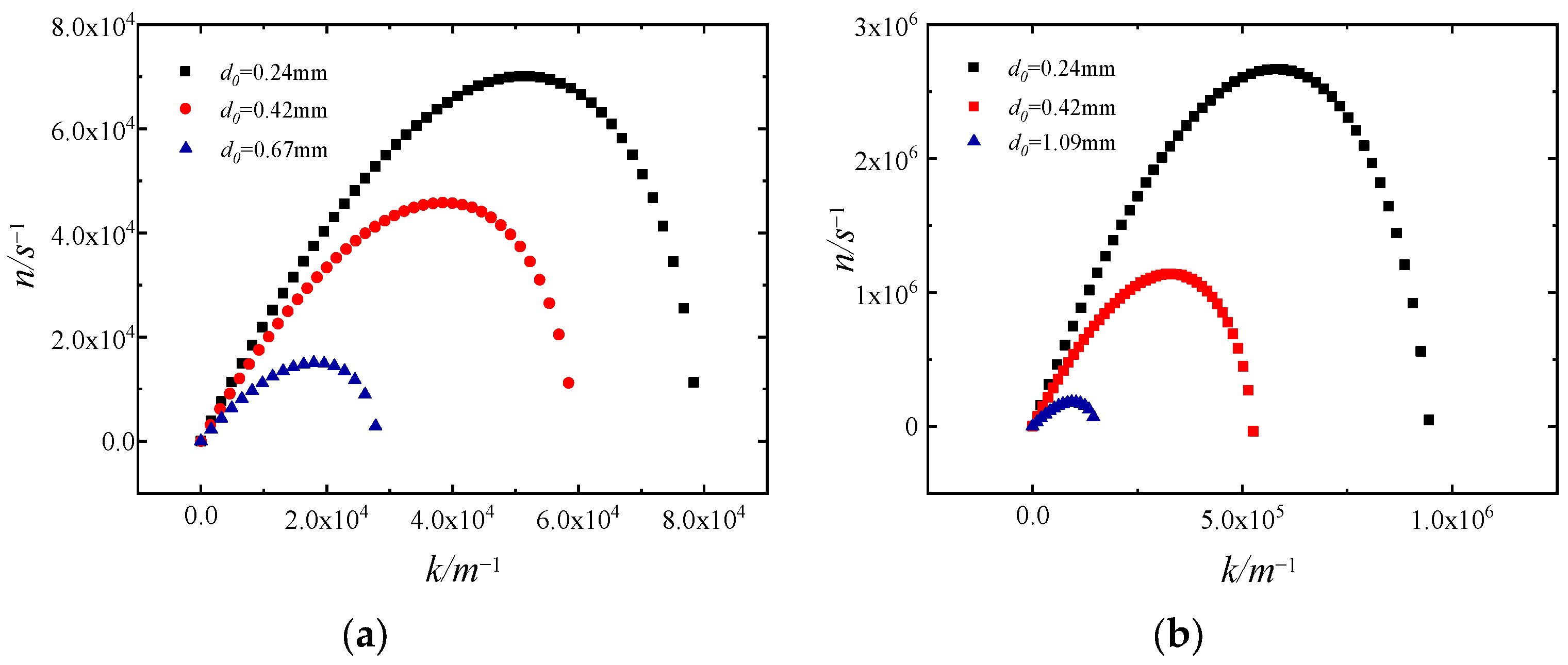
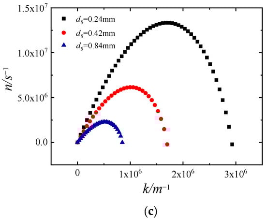
3.1. Computational Analysis
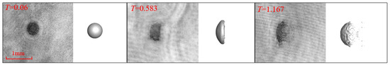
3.2. Computational Model Establishment and Verification
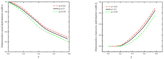
3.3. Results and Discussion
4. Conclusions
Author Contributions
Funding
Institutional Review Board Statement
Informed Consent Statement
Data Availability Statement
Conflicts of Interest
References
- Sun, Y.; Huang, H. Analysis of erosion mechanism of aircraft coating. Sci. Technol. Eng. 2007, 23, 6146–6149. [Google Scholar]
- Li, J.L.; Fan, W.; Yan, C.J.; Tu, H.Y.; Xie, K.C. Performance enhancement of a pulse detonation rocket engine. Proc. Combust. Inst. 2011, 33, 2243–2254. [Google Scholar] [CrossRef]
- Samuel, T.; Soo, K.S. Droplet motion induced by weak shock waves. J. Fluid Mech. 1980, 96, 133–157. [Google Scholar]
- Lane, W.R. Shatter of Drops in Streams of Air. Ind. Eng. Chem. 2002, 43, 1312–1317. [Google Scholar] [CrossRef]
- Hinze, J.O. Critical speeds and sizes of liquid globules. Appl. Sci. Res. 1949, 1, 273–288. [Google Scholar] [CrossRef]
- Nicholls, J.A.; Ranger, A.A. Aerodynamic shattering of liquid drops. AIAA J. 1969, 7, 285–290. [Google Scholar] [CrossRef]
- Pilch, M.; Erdman, C.A. Use of breakup time data and velocity history data to predict the maximum size of stable fragments for acceleration-induced breakup of a liquid drop. Int. J. Multiph. Flow 1987, 13, 741–757. [Google Scholar] [CrossRef]
- Hsiang, L.P.; Faeth, G.M. Near-limit drop deformation and secondary breakup. Int. J. Multiph. Flow 1992, 18, 635–652. [Google Scholar] [CrossRef]
- Hsiang, L.P.; Faeth, G. Secondary drop breakup in the deformation regime. In Proceedings of the AIAA Materials Specialist Conference—Coating Technology for Aerospace Systems, Reno, NV, USA, 6–9 January 1992. [Google Scholar]
- Hsiang, L.P.; Faeth, G.M. Drop properties after secondary breakup. Int. J. Multiph. Flow 1993, 19, 721–735. [Google Scholar] [CrossRef]
- Theofanous, T.G.; Li, G.J.; Dinh, T.N.; Chang, C.H. Aero breakup in disturbed subsonic and supersonic flow fields. J. Fluid Mech. 2007, 593, 131–170. [Google Scholar] [CrossRef]
- Theofanous, T.G. Aero-breakup of Newtonian and Viscoelastic Liquids. Annu. Rev. Fluid Mech. 2011, 43, 661–690. [Google Scholar] [CrossRef]
- Theofanous, T.G.; Mitkin, V.; Ng, C.L. The physics of aero breakup. III. Viscoelastic liquids. Phys. Fluids 2013, 25, 623–666. [Google Scholar] [CrossRef]
- Poplavski, S.V.; Minakov, A.V.; Shebeleva, A.A.; Boyko, V.M. On the interaction of water droplet with a shock wave: Experiment and numerical simulation. Int. J. Multiphase. Flow 2020, 127, 103273. [Google Scholar] [CrossRef]
- Shi, H.; Shi, S.; Liu, C.; Liu, J.; Dong, R.; Yu, Q. Deformation and fracture patterns of sub-millimeter droplets under supersonic conditions. J. Aerosp. Power 2020, 35, 6–16. [Google Scholar]
- Zhang, Y.X.; Dong, R.L.; Shi, H.H.; Liu, J.H. Experimental investigation on the deformation and break-up of hundred-micro droplet driven by shock wave. Appl. Sci. 2023, 13, 5555. [Google Scholar] [CrossRef]
- Hu, X.Y.; Adams, N.A.; Wang, Q. Droplet supersonic pneumatic broken early instability interface. Gas Phys. 2018, 3, 1–7. [Google Scholar]
- Jalaal, M.; Mehravaran, K. Transient growth of droplet instabilities in a stream. Phys. Fluids 2014, 26, 012101. [Google Scholar] [CrossRef]
- Patel, P.D.; Theofanous, T.G. Hydrodynamic fragmentation of drops. J. Fluid Mech. 1981, 103, 207–223. [Google Scholar] [CrossRef]
- Theofanous, T.G.; Mitkin, V.V.; Ng, C.L.; Chang, C.-H.; Deng, X.; Sushchikh, S. The physics of aero breakup. II. Viscous liquids. Phys. Fluids 2012, 24, 022104. [Google Scholar] [CrossRef]
- Mitansh, T.; Himakar, G.; Prashant, K. Interactions Between Shock Waves and Liquid Droplet Clusters: Interfacial Physics. J. Fluids Eng. 2022, 144, 101401. [Google Scholar]
- Kaiser, J.W.J.; Winter, J.M.; Adami, S.; Adams, N.A. Investigation of interface deformation dynamics during high-Weber number cylindrical droplet breakup. Int. J. Multiph. Flow 2020, 132, 103409. [Google Scholar] [CrossRef]
- Meng, J.C.; Colonius, T. Numerical simulations of the early stages of high-speed droplet breakup. Shock. Waves 2015, 25, 399–414. [Google Scholar] [CrossRef]
- Meng, J.C.; Colonius, T. Numerical simulation of the aero breakup of a water droplet. J. Fluid Mech. 2017, 835, 1108–1135. [Google Scholar] [CrossRef]
- Lou, J.; Hong, T.; Zhu, J. Numerical study on shearing breakup of liquid droplet in gas medium. Chin. J. Comput. Mech. 2011, 28, 210–213. [Google Scholar]
- Shi, H.; Zhang, Y.; Shi, S. Two-dimensional and three-dimensional numerical simulation of shock wave interaction with submillimeter droplets. Chin. J. Process Eng. 2022, 22, 1061–1073. [Google Scholar]
- Rossano, V.; De Stefano, G. Hybrid VOF–Lagrangian CFD Modeling of Droplet Aero breakup. Appl. Sci. 2022, 12, 8302. [Google Scholar] [CrossRef]
- Wang, J. Two-Dimensional Unsteady Flow and Shock Wave; Science Press: Beijing, China, 1994. [Google Scholar]
- Chandrasekhar, S. Hydrodynamic and Hydromagnetic Stability; Dover Publications: Mineola, NY, USA, 1981. [Google Scholar]
- Taylor, G. The instability of liquid surfaces when accelerated in a direction perpendicular to their planes. I. Proc. R. Soc. Lond. 1950, 201, 192–196. [Google Scholar]
- Albadawi, A.; Donoghue, D.B.; Robinson, A.J.; Murray, D.B.; Delauré, Y.M.C. Influence of surface tension implementation in volume of fluid and coupled volume of fluid with level set methods for bubble growth and detachment. Int. J. Multiph. Flow 2013, 53, 11–28. [Google Scholar] [CrossRef]
- Rossano, V.; Cittadini, A.; De Stefano, G. Computational Evaluation of Shock Wave Interaction with a Liquid Droplet. Appl. Sci. 2022, 12, 1349. [Google Scholar]
- Hanson, A.R.; Domich, E.G.; Adams, H.S. Shock tube investigation of the breakup of drops by air blasts. Phys. Fluids 1963, 6, 1070–1080. [Google Scholar] [CrossRef]
- Joseph, D.D.; Belanger, J.; Beavers, G.S. Breakup of a liquid drop suddenly exposed to a high-speed airstream. Int. J. Multiph. Flow 1999, 25, 1263–1303. [Google Scholar] [CrossRef]
- Sembian, S.; Liverts, M.; Tillmark, N.; Apazidis, N. Plane shock wave interaction with a cylindrical water column. Phys. Fluids 2016, 28, 056102. [Google Scholar] [CrossRef]

















| Ma | p2/ (Pa) | ug/(m/s) | ρg/(kg/m3) | T2/(K) | We |
|---|---|---|---|---|---|
| 1.09 | 123,701 | 48.83 | 1.38 | 315.52 | 19 |
| 1.13 | 138,337 | 69.34 | 1.47 | 323.12 | 42 |
| 1.27 | 174,391 | 136.58 | 1.76 | 349.44 | 196 |
| 1.49 | 247,241 | 231.75 | 2.22 | 391.82 | 713 |
| 2.12 | 514,480 | 466.5 | 3.4 | 533.64 | 4272 |
| Properties | Symbol | Value |
|---|---|---|
| Water surface tension | σ | 0.0728 N/m |
| Water density | ρl | 998 kg/m3 |
| Water viscosity | µl | 1.003 × 10−3 Pa/s |
| Air temperature | T1 | 298 K |
| Air viscosity | µg | 1.79 × 10−5 Pa/s |
| Air pressure | p1 | 101.325 kpa |
Disclaimer/Publisher’s Note: The statements, opinions and data contained in all publications are solely those of the individual author(s) and contributor(s) and not of MDPI and/or the editor(s). MDPI and/or the editor(s) disclaim responsibility for any injury to people or property resulting from any ideas, methods, instructions or products referred to in the content. |
© 2023 by the authors. Licensee MDPI, Basel, Switzerland. This article is an open access article distributed under the terms and conditions of the Creative Commons Attribution (CC BY) license (https://creativecommons.org/licenses/by/4.0/).
Share and Cite
Wei, Y.; Dong, R.; Zhang, Y.; Liang, S. Study on the Interface Instability of a Shock Wave–Sub-Millimeter Liquid Droplet Interface and a Numerical Investigation of Its Breakup. Appl. Sci. 2023, 13, 13283. https://doi.org/10.3390/app132413283
Wei Y, Dong R, Zhang Y, Liang S. Study on the Interface Instability of a Shock Wave–Sub-Millimeter Liquid Droplet Interface and a Numerical Investigation of Its Breakup. Applied Sciences. 2023; 13(24):13283. https://doi.org/10.3390/app132413283
Chicago/Turabian StyleWei, Youqiang, Ruoling Dong, Yixin Zhang, and Shuang Liang. 2023. "Study on the Interface Instability of a Shock Wave–Sub-Millimeter Liquid Droplet Interface and a Numerical Investigation of Its Breakup" Applied Sciences 13, no. 24: 13283. https://doi.org/10.3390/app132413283
APA StyleWei, Y., Dong, R., Zhang, Y., & Liang, S. (2023). Study on the Interface Instability of a Shock Wave–Sub-Millimeter Liquid Droplet Interface and a Numerical Investigation of Its Breakup. Applied Sciences, 13(24), 13283. https://doi.org/10.3390/app132413283

