Longitudinal Dynamic Response of a Large-Diameter-Bored Pile Considering the Bottom Sediment and Radial Unloading of the Surrounding Soil
Abstract
:1. Introduction
2. Model Establishment
- (1)
- The large-diameter-bored pile, as well as the bottom sediment, is an elastic Rayleigh–Love rod;
- (2)
- The top surface of the surrounding soil is free, while its bottom surface is in direct contact with the rigid bedrock;
- (3)
- The displacement of the surrounding soil in the vertical direction is considered while that in the radial direction is neglected;
- (4)
- The pile and soil, as well as the adjacent soil zones, are in continuous contact;
- (5)
- The displacement and velocity of the soil–pile system are zero when t = 0;
- (6)
- The study is conducted under the conditions of small deformations and strains, and the conclusions are valid only under axisymmetric condition.
3. Governing Equations
4. Solutions for the Equations
4.1. Solution for the Soil
4.2. Solution for the Pile
5. Parametric Analysis
5.1. Comparison with Other Solutions
5.2. Parametric Analysis and Discussion
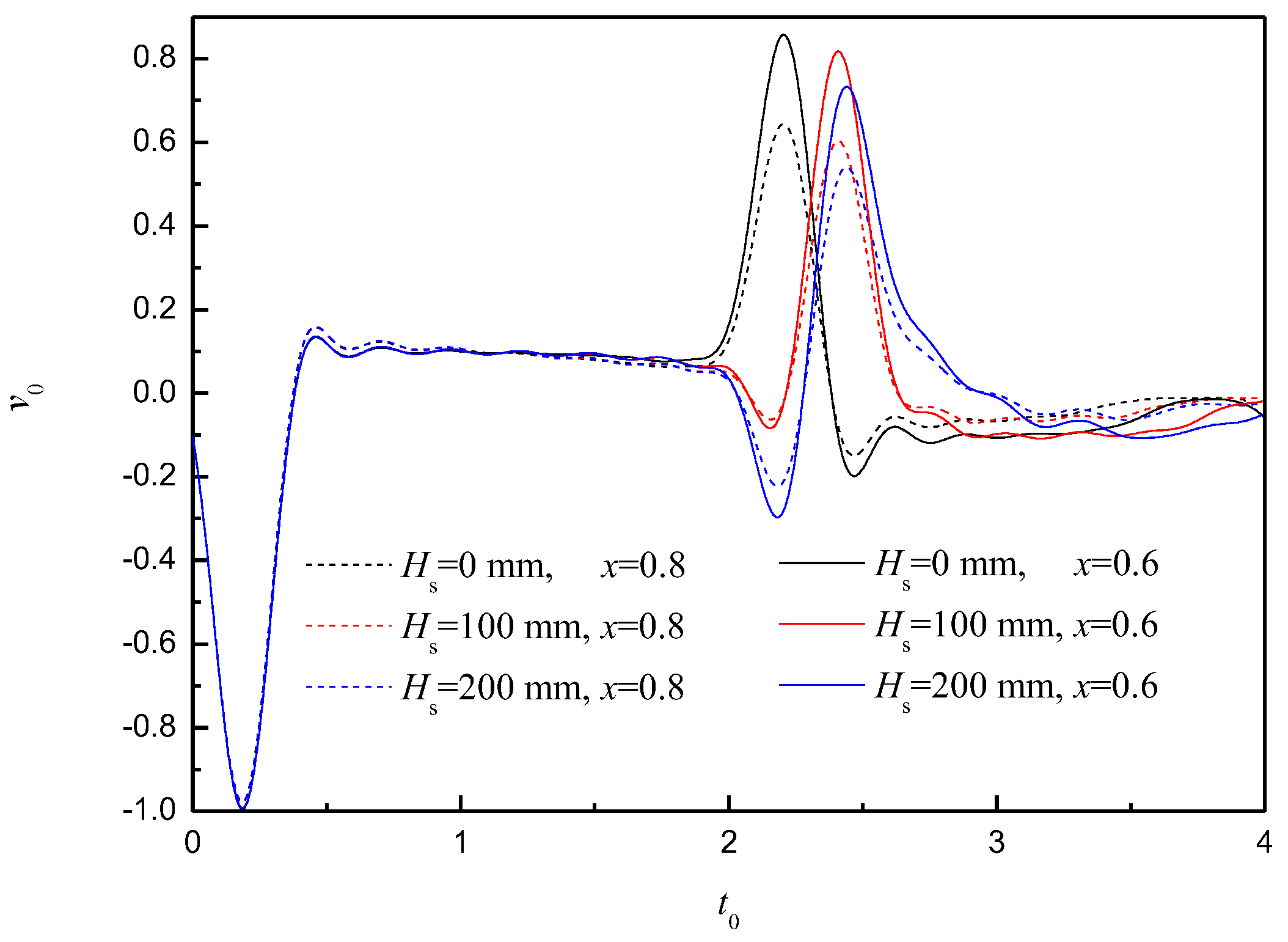
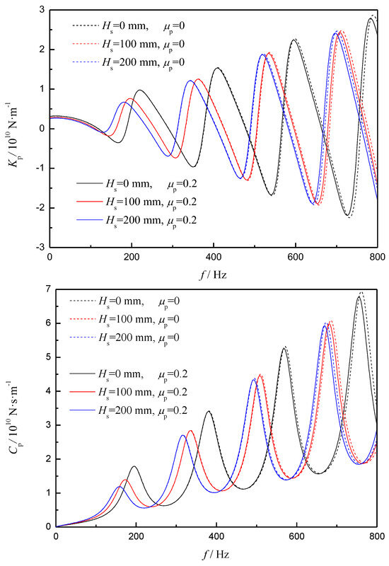
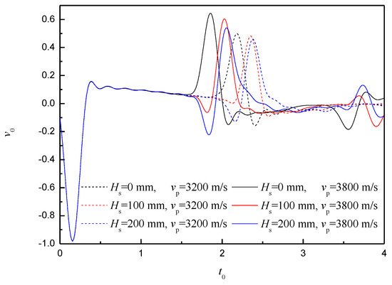
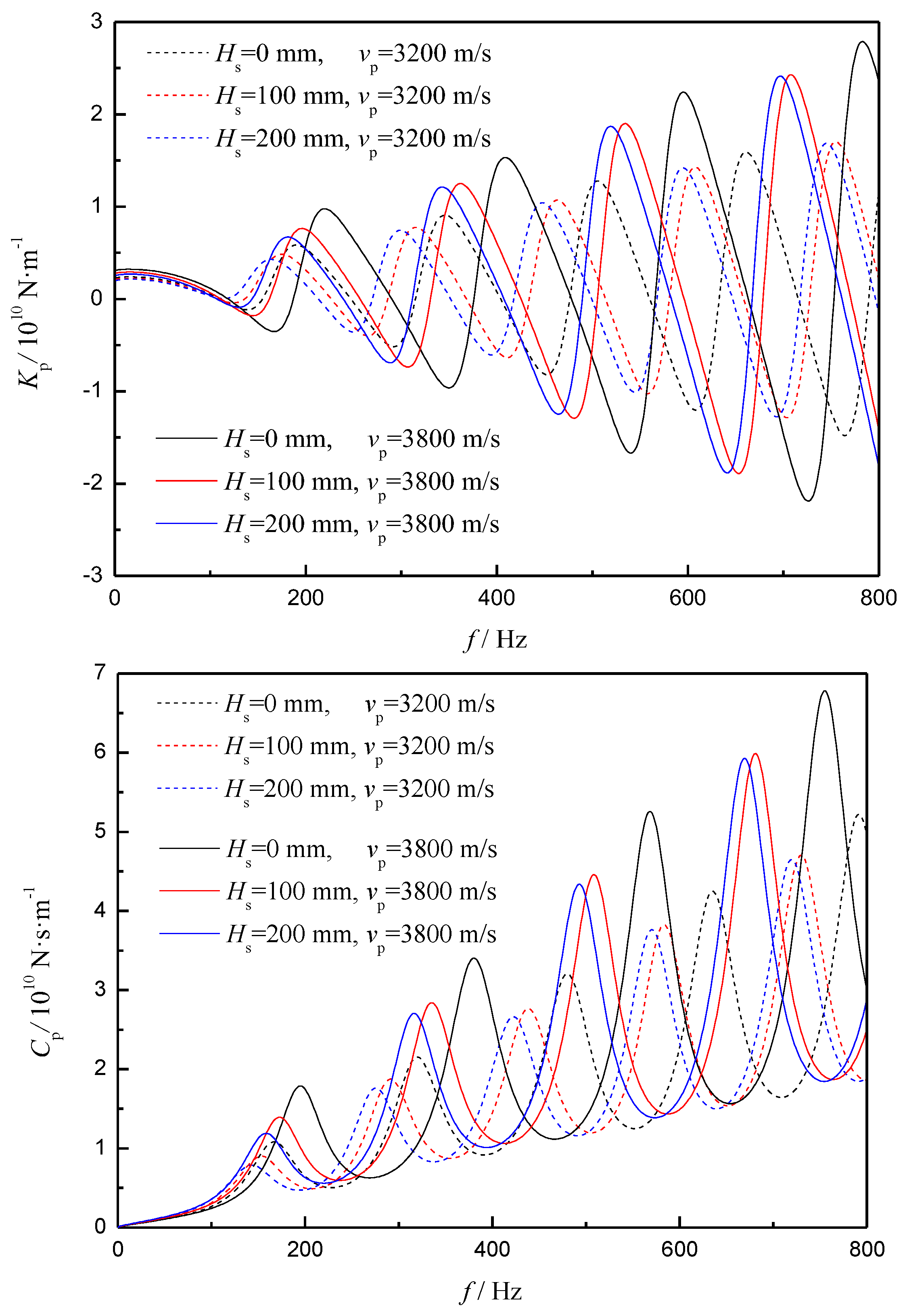
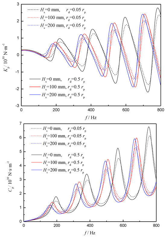
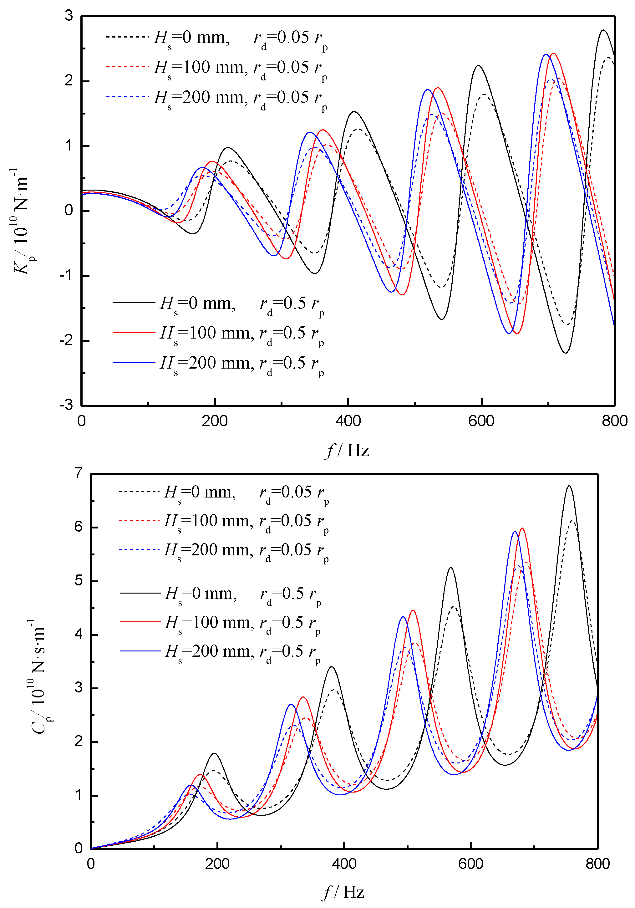
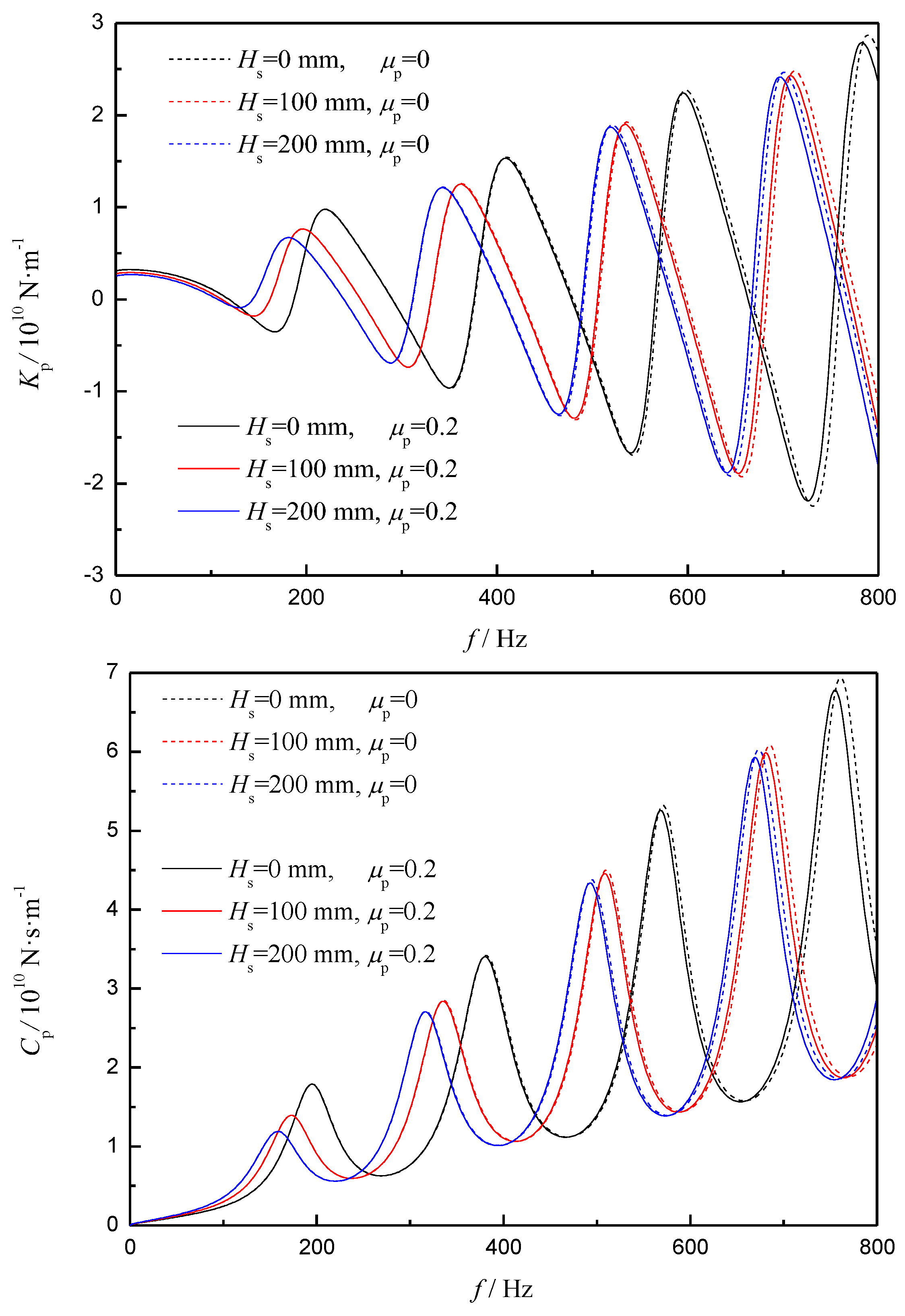
5.2.1. Coupling Effect of Sediment Thickness and Pile Parameters
5.2.2. Coupling Effect of Sediment Thickness and the Radial Unloading of the Surrounding Soil
6. Conclusions
- (1)
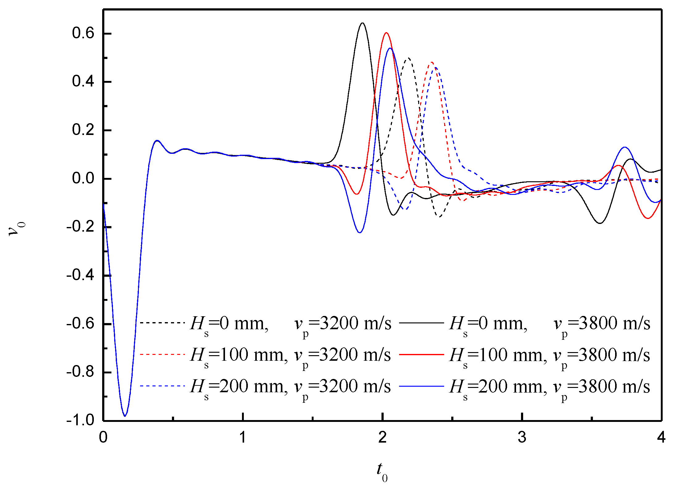
- When there exists a certain thickness of sediment at the pile tip, the oscillation amplitude and resonant frequency of the complex impedance decrease, the signal reflected by the pile tip weakens with an increase in time lag, and a synthetic reflected signal occurs before the reverse reflected signal. Under this condition, the pile length would be overestimated and the support condition at the bottom of the pile would be misjudged. These phenomena become more apparent for increases in the sediment thickness.
- (2)
- When the transverse inertia of the pile is taken into account, the oscillation amplitude and resonant frequency of the complex impedance within the high-frequency range decrease, especially at higher frequencies. Meanwhile, it takes more time to receive the signal reflected by the pile tip.
- (3)
- As the pile radius, pile longitudinal wave velocity, soil softening range, or degree increases, the oscillation amplitude and resonant frequency of the complex impedance increase, the signal reflected by the pile tip becomes more pronounced.
- (4)
- The decrease in the oscillation amplitude of the complex impedance and the weakness of the reflected signal due to the increased sediment thickness become less notable as the pile Poisson’s ratio increases. Conversely, these effects are exacerbated by the increasing pile radius, longitudinal wave velocity, soil softening range, and degree. It is also noted that the decrease in the resonant frequency of the complex impedance and the time delay of the reflected signal are not affected during this process.
- (5)
- The aforementioned conclusions can provide a theoretical basis for the judgment of low-strain test results of pile foundation in actual engineering, thus avoiding misjudgment and evaluating the length and integrity of piles more accurately.
Supplementary Materials
Author Contributions
Funding
Institutional Review Board Statement
Informed Consent Statement
Data Availability Statement
Conflicts of Interest
References
- Xing, H.; Wu, J.; Luo, Y. Field tests of large-diameter rock-socketed bored piles based on the self-balanced method and their resulting load bearing characteristics. Eur. J. Environ. Civil Eng. 2019, 23, 1535–1549. [Google Scholar] [CrossRef]
- Liu, X.; Bai, X.; Zhang, M.; Wang, Y.; Sang, S.; Yan, N. Load-bearing characteristics of large-diameter rock-socketed piles based on ultimate load tests. Adv. Mater. Sci. Eng. 2020, 2020, 6075607. [Google Scholar] [CrossRef]
- Huynh, T.Q.; Nguyen, T.T.; Nguyen, H. Base resistance of super-large and long piles in soft soil: Performance of artificial neural network model and field implications. Acta Geotech. 2022, 18, 2755–2775. [Google Scholar] [CrossRef]
- Doan, D.H.; Zenkour, A.M.; Van Thom, D. Finite element modeling of free vibration of cracked nanoplates with flexoelectric effects. Eur. Phys. J. Plus 2022, 137, 447. [Google Scholar] [CrossRef]
- Dat, P.T.; Luat, D.T. Free vibration of functionally graded sandwich plates with stiffeners based on the third-order shear deformation theory. Vietnam J. Mech. 2016, 38, 103–122. [Google Scholar] [CrossRef]
- Van Do, T.; Hong Doan, D.; Chi Tho, N.; Dinh Duc, N. Thermal buckling analysis of cracked functionally graded plates. Int. J. Struct. Stab. Dyn. 2022, 8, 2250089. [Google Scholar] [CrossRef]
- Chun, O.H.; Yoon, H.K.; Park, M.C.; Lee, J.S. Slime thickness evaluation of bored piles by electrical resistivity probe. J. Appl. Geophys. 2014, 108, 167–175. [Google Scholar] [CrossRef]
- Heo, O.; Yoon, Y.; Do, J. Effect of Slime on Engineering Characteristics of Large-Diameter Cast-in-Place Pile. KSCE J. Civil Eng. 2022, 26, 88–95. [Google Scholar] [CrossRef]
- Nogami, T.; Novak, M. Soil-pile interaction in vertical vibration. Earthq. Eng. Struct. Dyn. 1976, 4, 277–293. [Google Scholar] [CrossRef]
- Li, Q.; Shu, W.; Cao, L.; Duan, W.; Zhou, B. Vertical vibration of a single pile embedded in a frozen saturated soil layer. Soil Dyn. Earthq. Eng. 2019, 122, 185–195. [Google Scholar] [CrossRef]
- Luan, L.; Zheng, C.; Kouretzis, G.; Ding, X. Dynamic analysis of pile groups subjected to horizontal loads considering coupled pile-to-pile interaction. Comput. Geotech. 2020, 117, 103276. [Google Scholar] [CrossRef]
- Wang, N.; Le, Y.; Tong, L.; Fang, T.; Zhu, B.; Hu, W. Vertical dynamic response of an end-bearing pile considering the nonlocal effect of saturated soil. Comput. Geotech. 2020, 121, 103461. [Google Scholar] [CrossRef]
- Zhang, M.; Zhao, C.; Xu, C. Lateral dynamic response of pile group embedded in unsaturated soil. Soil Dyn. Earthq. Eng. 2021, 142, 106559. [Google Scholar] [CrossRef]
- Wu, W.; Zhang, Y. A review of pile foundations in viscoelastic medium: Dynamic analysis and wave propagation modeling. Energies 2022, 15, 9432. [Google Scholar] [CrossRef]
- Yang, Z.; Wu, W.; Liu, H.; Zhang, Y.; Liang, R. Flexible support of a pile embedded in unsaturated soil under Rayleigh waves. Earthq. Eng. Struct. Dyn. 2023, 52, 226–247. [Google Scholar] [CrossRef]
- Zhang, Y.; El Naggar, M.H.; Wu, W.; Wang, Z.; Yang, X.; Jiang, G. Dynamic torsional impedance of large-diameter pipe pile for offshore engineering: 3D analytical solution. Appl. Math. Model. 2022, 111, 664–680. [Google Scholar] [CrossRef]
- Zheng, C.; Kouretzis, G.; Ding, X.; Luan, L. Vertical vibration of end-bearing single piles in poroelastic soil considering three-dimensional soil and pile wave effects. Comput. Geotech. 2022, 146, 104740. [Google Scholar] [CrossRef]
- Cui, C.; Meng, K.; Wu, J.; Chapman, D.; Liang, Z. Dynamic response of pipe pile embedded in layered visco-elastic media with radial inhomogeneity under vertical excitation. Geomech. Eng. 2018, 16, 609–618. [Google Scholar]
- Cui, C.; Zhang, S.; David, C.; Meng, K. Dynamic impedance of a floating pile embedded in poro-visco-elastic soils subjected to vertical harmonic loads. Geomech. Eng. 2018, 15, 793–803. [Google Scholar]
- Le, Y.; Wang, N.; Hu, W.; Geng, D.; Jiang, Y. Torsional dynamic impedance of a stepped pile based on the wedged soil model. Comput. Geotech. 2020, 128, 103854. [Google Scholar] [CrossRef]
- Meng, K.; Cui, C.; Liang, Z.; Li, H.; Pei, H. A new approach for longitudinal vibration of a large-diameter floating pipe pile in visco-elastic soil considering the three-dimensional wave effects. Comput. Geotech. 2020, 128, 103840. [Google Scholar] [CrossRef]
- Dai, D.; El Naggar, M.H.; Zhang, N.; Wang, Z. Rigorous solution for kinematic response of floating piles subjected to vertical P-wave. Appl. Math. Model. 2022, 106, 114–125. [Google Scholar] [CrossRef]
- Liu, H.; Wu, W.; Yang, X.; Liu, X.; Wang, L.; El Naggar, M.H.; Wen, M. Apparent wave velocity inverse analysis method and its application in dynamic pile testing. Int. J. Numer. Anal. Methods Geomech. 2023, 47, 549–569. [Google Scholar] [CrossRef]
- Cui, C.; Zhang, S.; Yang, G.; Li, X. Vertical vibration of a floating pile in a saturated viscoelastic soil layer overlaying bedrock. J. Southeast Univ. 2016, 23, 220–232. [Google Scholar] [CrossRef]
- Yang, D.; Wang, K. Vertical vibration of pile based on fictitious soil-pile model in inhomogeneous soil. J. Zhejiang Univ. Eng. Sci. 2010, 44, 2021–2028. (In Chinese) [Google Scholar]
- Wu, W.; Wang, K.; Ma, S.; Leo, C.J. Longitudinal dynamic response of pile in layered soil based on virtual soil pile model. J. Cent. S. Univ. 2012, 19, 1999–2007. [Google Scholar] [CrossRef]
- Yu, J.; Cai, Y.; Wu, W. Effect of sediment on vertical dynamic impedance of rock-socketed pile with large diameter. J. Cent. South Univ. 2013, 20, 2856–2862. [Google Scholar] [CrossRef]
- Yang, X.; Wang, L.; Wu, W.; Liu, H.; Jiang, G.; Wang, K.; Mei, G. Vertical dynamic impedance of a viscoelastic pile in arbitrarily layered soil based on the fictitious soil pile model. Energies 2022, 15, 2087. [Google Scholar] [CrossRef]
- Guan, W.; Wu, W.; Jiang, G.; Leo, C.J.; Deng, G. Torsional dynamic response of tapered pile considering compaction effect and stress diffusion effect. J. Cent. South Univ. 2020, 27, 3839–3851. [Google Scholar] [CrossRef]
- Feng, T.; Li, Z.; Zhang, J. Influence of pile end soil on torsional vibration of pile considering the stress diffusion. Proc. Inst. Civil Eng. Geotech. Eng. 2023, 1–35. [Google Scholar] [CrossRef]
- Cui, C.; Meng, K.; Xu, C.; Liang, Z.; Li, H.; Pei, H. Analytical solution for longitudinal vibration of a floating pile in saturated porous media based on a fictitious saturated soil pile model. Comput. Geotech. 2021, 131, 103942. [Google Scholar] [CrossRef]
- Shan, Y.; Ma, W.; Xiang, K.; Wang, B.; Zhou, S.; Guo, H. Vertical dynamic response of a floating pile in unsaturated poroelastic media based on the fictitious unsaturated soil pile model. Appl. Math. Model. 2022, 109, 209–228. [Google Scholar] [CrossRef]
- Zhang, Y.; Di, T.; El Naggar, M.H.; Wu, W.; Liu, H.; Jiang, G. Modified Rayleigh-Love rod model for 3D dynamic analysis of large-diameter thin-walled pipe pile embedded in multilayered soils. Comput. Geotech. 2022, 149, 104853. [Google Scholar] [CrossRef]
- Cui, C.; Meng, K.; Xu, C.; Wang, B.; Xin, Y. Vertical vibration of a floating pile considering the incomplete bonding effect of the pile-soil interface. Comput. Geotech. 2022, 150, 104894. [Google Scholar] [CrossRef]
- Zhou, H.; Chen, Z. Analysis of effect of different construction methods of piles on the end effect on skin friction of piles. Front. Arch. Civil. Eng. Chin. 2007, 1, 458–463. [Google Scholar] [CrossRef]
- Fei, Y.; Yasufuku, N.; Zhao, C.; Xu, K. Shear behaviour of sand-concrete interface with side post-grouting considering the unloading effect. Soils Found. 2020, 60, 1440–1449. [Google Scholar] [CrossRef]
- Hu, T.; Dai, G.; Wan, Z.; Gong, W. Field study on the side resistance-softening and resistance-reinforcing effects of large-diameter combined grouting drilled shafts. Sustainability 2022, 14, 6835. [Google Scholar] [CrossRef]
- Veletsos, A.S.; Dotson, K.W. Vertical and torsional vibration of foundations in inhomogeneous media. J. Geotech. Eng. 1988, 114, 1002–1021. [Google Scholar] [CrossRef]
- El Naggar, M.H. Vertical and torsional soil reactions for radially inhomogeneous soil layer. Struct. Eng. Mech. 2000, 10, 299–312. [Google Scholar] [CrossRef]
- Li, Z.; Gao, Y.; Wang, K. Torsional vibration of an end bearing pile embedded in radially inhomogeneous saturated soil. Comput. Geotech. 2019, 108, 117–130. [Google Scholar] [CrossRef]
- Li, Z.; Gao, Y.; Wang, K. Vertical vibration of an end bearing pile interacting with the radially inhomogeneous saturated soil. Ocean Eng. 2021, 219, 108009. [Google Scholar] [CrossRef]
- Tu, Y.; Wang, K.; Liu, X.; Rizvi, S.M.F.; Qiu, X. Wave reflection characteristics at the pile tip-soil interface under low strain dynamic condition. Comput. Geotech. 2020, 130, 103916. [Google Scholar] [CrossRef]
- Guan, W.; Zhang, M.; Wang, Z.; Jiang, G.; Liu, W.; Cao, S.; Leo, C.J.; An, E.; Gao, X.; Wu, W. Inflfluence of the three-dimensional effect of pile-soil system on the vertical dynamic response of large-diameter piles in low-strain integrity testing. Energies 2022, 15, 9548. [Google Scholar] [CrossRef]
- Chow, Y.K.; Phoon, K.K.; Chow, W.F.; Wong, K.Y. Low strain integrity testing of piles: Three-dimensional effects. J. Geotech. Geoenviron. Eng. 2003, 129, 1057–1062. [Google Scholar] [CrossRef]
- Chai, H.Y.; Phoon, K.K.; Zhang, D.J. Effects of the source on wave propagation in pile integrity testing. J. Geotech. Geoenviron. Eng. 2010, 136, 1200–1208. [Google Scholar] [CrossRef]
- Chai, H.Y.; Wei, C.F.; Phoon, K.K.; Yang, Y.M. Some observations on the performance of the signal matching technique in assessment of pile integrity. J. Nondestruct. Eval. 2011, 30, 246–258. [Google Scholar] [CrossRef]
- Seidel, J.P.; Tan, S.K. Elimination of the Rayleigh wave effect on low strain integrity test results (Part 1: Experimental investigation). In Proceedings of the 7th International Conference on the Application of Stress Wave Theory to Piles, Kuala Lumpur, Malaysia, 9–11 August 2004; pp. 179–185. [Google Scholar]
- Lü, S.; Wang, K.; Wu, W.; Leo, C.J. Longitudinal vibration of a pile embedded in layered soil considering the transverse inertia effect of pile. Comput. Geotech. 2014, 62, 90–99. [Google Scholar] [CrossRef]
- Gao, L.; Wang, K.; Xiao, S.; Wu, W. Dynamic response of a pile considering the interaction of pile variable cross section with the surrounding layered soil. Int. J. Numer. Anal. Methods Geomech. 2017, 41, 1196–1214. [Google Scholar] [CrossRef]
- Xiao, S.; Wang, K.; Gao, L.; Wu, J. Dynamic characteristics of a large-diameter pile in saturated soil and its application. Int. J. Numer. Anal. Methods Geomech. 2018, 42, 1255–1269. [Google Scholar] [CrossRef]
- Zhang, S.; Cui, C.; Yang, G. Vertical dynamic impedance of pile groups partially embedded in multilayered, transversely isotropic, saturated soils. Soil Dyn. Earthq. Eng. 2019, 117, 106–115. [Google Scholar] [CrossRef]
- Liu, H.B.; Dai, G.L.; Zhou, F.X.; Li, Z.; Liang, Y. Vertical dynamic response of pipe pile embedded in unsaturated soil based on fractional-order standard linear solid model and Rayleigh-Love rod model. Int. J. Numer. Anal. Methods Geomech. 2023, 47, 325–348. [Google Scholar] [CrossRef]
- Li, Z.; Gao, Y. Effects of inner soil on the vertical dynamic response of a pipe pile embedded in inhomogeneous soil. J. Sound Vib. 2019, 439, 129–143. [Google Scholar] [CrossRef]
- Eringen, A.C.; Suhubi, E.S. Elastodynamics, Vol. II—Linear Theory; Academic Press: New York, NY, USA, 1975. [Google Scholar]
- Li, Z.; Wang, K.; Wu, W.; Leo, C.J. Vertical vibration of a large diameter pile embedded in inhomogeneous soil based on the Rayleigh-Love rod theory. J. Zhejiang Univ. Sci. A 2016, 17, 974–988. [Google Scholar] [CrossRef]
- Cai, Y.; Liu, Z.; Li, T.; Yu, J.; Wang, N. Vertical dynamic response of a pile embedded in radially inhomogeneous soil based on fictitious soil pile model. Soil Dyn. Earthq. Eng. 2020, 132, 106038. [Google Scholar] [CrossRef]














| Length (m) | Radius (m) | Density (kg/m3) | Longitudinal Wave Velocity (m/s) | Poisson’s Ratio | |
|---|---|---|---|---|---|
| Pile | 10 | 0.5 | 2500 | 3800 | 0.2 |
| Sediment | 0.01 | 0.5 | 1700 | 1200 | 0.35 |
Disclaimer/Publisher’s Note: The statements, opinions and data contained in all publications are solely those of the individual author(s) and contributor(s) and not of MDPI and/or the editor(s). MDPI and/or the editor(s) disclaim responsibility for any injury to people or property resulting from any ideas, methods, instructions or products referred to in the content. |
© 2023 by the authors. Licensee MDPI, Basel, Switzerland. This article is an open access article distributed under the terms and conditions of the Creative Commons Attribution (CC BY) license (https://creativecommons.org/licenses/by/4.0/).
Share and Cite
Zhang, C.; Zhuoma, P.; Zhang, Y.; Li, Z. Longitudinal Dynamic Response of a Large-Diameter-Bored Pile Considering the Bottom Sediment and Radial Unloading of the Surrounding Soil. Appl. Sci. 2023, 13, 13252. https://doi.org/10.3390/app132413252
Zhang C, Zhuoma P, Zhang Y, Li Z. Longitudinal Dynamic Response of a Large-Diameter-Bored Pile Considering the Bottom Sediment and Radial Unloading of the Surrounding Soil. Applied Sciences. 2023; 13(24):13252. https://doi.org/10.3390/app132413252
Chicago/Turabian StyleZhang, Cun, Pingcuo Zhuoma, Yongjuan Zhang, and Zhenya Li. 2023. "Longitudinal Dynamic Response of a Large-Diameter-Bored Pile Considering the Bottom Sediment and Radial Unloading of the Surrounding Soil" Applied Sciences 13, no. 24: 13252. https://doi.org/10.3390/app132413252
APA StyleZhang, C., Zhuoma, P., Zhang, Y., & Li, Z. (2023). Longitudinal Dynamic Response of a Large-Diameter-Bored Pile Considering the Bottom Sediment and Radial Unloading of the Surrounding Soil. Applied Sciences, 13(24), 13252. https://doi.org/10.3390/app132413252
