A Study on DNN-Based Practical Model for Predicting Spot Color
Abstract
:1. Introduction
1.1. Backgrounds
1.2. Related Works
2. Materials and Methods
2.1. Data Acquisition
2.2. Data Preprocessing
2.3. Deep Learning Model
- SELU Activation Function: SELU is a variant of the ELU function. It has self-normalizing property that keeps the output of each layer at a mean of 0 and a standard deviation of 1 during training. This helps to avoid problems such as gradient vanishing or explosion, thereby improving the stability of the learning process [39]. However, these properties are maintained exclusively under certain model structures, namely fully connected layers in feed-forward neural networks. As the DNN structure used in this study adheres to this framework, SELU was chosen as the activation function. Before being fed into the model, the input features are standardized, and all hidden layer weights are initialized using the LeCun initialization technique to employ SELU.
- AdamW Optimizer & Early Stopping: The model optimization algorithm used the AdamW optimizer, an improved version of Adam that applies weight decay through L2 regularization. AdamW is known to limit model complexity, thus preventing overfitting to the training data and improving generalization capabilities [40]. In addition, we adopted an early stopping strategy, where model weights are only saved when performance declines on the validation data. This approach aims to mitigate overfitting.
- 1-Cycle Scheduling [41]: The learning rate starts at a low initial value during training, then increases rapidly to reach its peak, and finally decreases to a value lower than the initial setting. This approach prevents the model from getting stuck in local optima, allowing for rapid convergence. Once the model has converged, minor adjustments are made to ensure optimal weight exploration.
3. Results
3.1. Preprocessing Validation
3.2. Hyperparameter Optimization
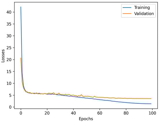
3.3. Experimental Results
4. Discussion
Author Contributions
Funding
Institutional Review Board Statement
Informed Consent Statement
Data Availability Statement
Conflicts of Interest
Appendix A. Calculation Formula
- Computation of adjusted chroma and hue .For each color, is computed aswhere and are the chromaticity coordinates in the CIE L*a*b* color space. This step determines the chroma, which is a measure of color saturation or vividness.A factor G is is computed aswhere is the average chroma. This adjustment factor G modifies the chroma values to reflect the viewing conditions.The adjusted chroma and hue are calculated aswhere . These adjusted values provide a nuanced representation of each color’s properties.
- Determination of color difference components .The difference in lightness is calculated aswhere and are the lightness values of the two colors.The difference in chroma is given byThe difference in hue is computed with special handling for angles exceeding 180 degrees, ensuring accuracy across the hue spectrum.where is a more refined value that incorporates both the hue difference and the chroma values of the colors, providing a measure that is more aligned with human perception of color differences.
- Final calculation of color difference .The average values for lightness, chroma, and hue ( and ) are computed.A rotational function T is calculated to address the non-linear perception of colors, especially in the blue region.The rotational term is calculated to account for the interaction between chroma and hue in the blue region.The comprehensive color difference is calculated as a weighted Euclidean distance using the formulawhere are scaling factors. These are applied to the lightness, chroma, and hue differences, respectively, to adjust for perceptual non-uniformities.
References
- Kim, G.H. A Study on the Expression of Package Designs to Form a Brand Image—Centered on the Colors and Shapes of Jeju Tangerine Packages. J. Brand Des. Assoc. Korea 2015, 13, 65–74. [Google Scholar]
- Schultz Santos, R. PANTONE: Identity Formation through Colours. Master’s Thesis, OCAD University, Toronto, ON, Canada, April 2014. [Google Scholar]
- Bolanča, S.; Majnarić, I.; Golubović, K. Packaging printing today. Acta Graph. Znan. Časopis Tisk. Graf. Komun. 2015, 26, 27–33. [Google Scholar]
- Dogan, A.; Birant, D. Machine learning and data mining in manufacturing. Expert Syst. Appl. 2021, 166, 114060. [Google Scholar] [CrossRef]
- Kubelka, P.; Munk, F. An article on optics of paint layers. Z. Tech. Phys. 1931, 12, 259–274. [Google Scholar]
- Saunderson, J. Calculation of the color of pigmented plastics. JOSA 1942, 32, 727–736. [Google Scholar] [CrossRef]
- Allen, E. Basic equations used in computer color matching, II. Tristimulus match, two-constant theory. JOSA 1974, 64, 991–993. [Google Scholar] [CrossRef]
- Murray, A. Monochrome reproduction in photoengraving. J. Frankl. Inst. 1936, 221, 721–744. [Google Scholar] [CrossRef]
- Neugebauer, H.; Wyble, D.; Kraushaar, A. The theoretical basis of multicolor letterpress printing. Color Res. Appl. 2005, 30, 322–323. [Google Scholar]
- Emmel, P.; Hersch, R.D. Spectral colour prediction model for a transparent fluorescent ink on paper. In Proceedings of the Color Imaging Conference: Color Science, Systems, and Applications, Scottsdale, AZ, USA, 17–20 November 1998; Society for Imaging Science and Technology: Springfield, VA, USA, 1998. [Google Scholar]
- Emmel, P.; Hersch, R.D. A unified model for color prediction of halftoned prints. J. Imaging Sci. Technol. 2000, 44, 351–359. [Google Scholar] [CrossRef]
- Yang, L.; Kruse, B. Revised Kubelka–Munk theory. I. Theory and application. JOSA A 2004, 21, 1933–1941. [Google Scholar] [CrossRef]
- Rousselle, F.; Hébert, M.; Hersch, R. Predicting the reflectance of paper dyed with ink mixtures by describing light scattering as a function of ink absorbance. J. Imaging Sci. Technol. 2010, 54, 050501. [Google Scholar] [CrossRef]
- Bai, W.G.; Hu, X.Y.; Yan, Y. Research on the spot color matching system based on ink volume. Adv. Mater. Res. 2011, 174, 64–67. [Google Scholar] [CrossRef]
- He, Z.; Zhang, R.; Fang, S.; Jiang, F. Research on the measurement method of printing ink content based on spectrum. Optik 2021, 243, 167389. [Google Scholar] [CrossRef]
- Machizaud, J.; Hébert, M. Spectral reflectance and transmittance prediction model for stacked transparency and paper both printed with halftone colors. JOSA A 2012, 29, 1537–1548. [Google Scholar] [CrossRef] [PubMed]
- Deshpande, K.; Green, P. A simplified method of predicting the colorimetry of spot color overprints. In Proceedings of the Color and Imaging Conference, San Antonio, TX, USA, 8–12 November 2010; Society for Imaging Science and Technology: Springfield, VA, USA, 2010; Volume 2010, pp. 213–216. [Google Scholar]
- Lin, C.R.; Xu, J.F.; Xu, J.L. Prediction Algorithm of Spectral Reflectance of Spot Color Ink Based on Color Parallel and Superposition Model. Adv. Mater. Res. 2012, 430, 1176–1182. [Google Scholar] [CrossRef]
- Clapper, F.; Yule, J. The effect of multiple internal reflections on the densities of half-tone prints on paper. JOSA 1953, 43, 600–603. [Google Scholar] [CrossRef]
- Joost, R.; Salomon, R. High quality offset printing: An evolutionary approach. In Proceedings of the 9th Annual Conference on Genetic and Evolutionary Computation, London, UK, 7–11 July 2007; pp. 2053–2058. [Google Scholar]
- Limchesing, T.J.C.; Baldovino, R.G.; Bugtai, N.T. A neural network approach in reducing offset printing spoilages on solid bleached boards. In Proceedings of the IEEE 2020 International Conference on Applied Science and Technology (iCAST), Padang, Indonesia, 24 October 2020; pp. 251–254. [Google Scholar]
- Sarkar, A.; Mondal, H.S.; Chatterjee, A.; Pal, A.K. Prediction of offset ink film thickness using machine learning. J. Print Media Technol. Res. 2023, 12, 117–125. [Google Scholar]
- Villalba-Diez, J.; Schmidt, D.; Gevers, R.; Ordieres-Meré, J.; Buchwitz, M.; Wellbrock, W. Deep learning for industrial computer vision quality control in the printing industry 4.0. Sensors 2019, 19, 3987. [Google Scholar] [CrossRef]
- Zhang, E.; Li, B.; Li, P.; Chen, Y. A deep learning based printing defect classification method with imbalanced samples. Symmetry 2019, 11, 1440. [Google Scholar] [CrossRef]
- Brumm, P.; Lindner, N.; Weber, T.E.; Sauer, H.M.; Dörsam, E. A deep learning approach for the classification task of gravure printed patterns. In Proceedings of the Advances in Printing and Media Technology: Proceedings of the 47th International Research Conference of Iarigai, Athens, Greece, 19–23 September 2021; pp. 2–9. [Google Scholar]
- Haik, O.; Perry, O.; Chen, E.; Klammer, P. A novel inspection system for variable data printing using deep learning. In Proceedings of the IEEE/CVF Winter Conference on Applications of Computer Vision, Snowmass, CO, USA, 1–5 March 2020; pp. 3541–3550. [Google Scholar]
- Chen, Y.F.; Kao, H.H.; Yen, C.P. An Application of Deep Learning Technology in The Recognition of Forged Documents with Color Laser Printing. J. Comput. 2023, 34, 135–147. [Google Scholar] [CrossRef]
- Brishty, F.P.; Urner, R.; Grau, G. Machine learning based data driven inkjet printed electronics: Jetting prediction for novel inks. Flex. Print. Electron. 2022, 7, 015009. [Google Scholar] [CrossRef]
- Gafurov, A.N.; Phung, T.H.; Kim, I.; Lee, T.M. AI-assisted reliability assessment for gravure offset printing system. Sci. Rep. 2022, 12, 2954. [Google Scholar] [CrossRef] [PubMed]
- Bishop, J.; Bushnell, M.; Usher, A.; Westland, S. Neural networks in the colour industry. In Applications of Artificial Intelligence in Engineering VI; Springer: Dordrecht, The Netherlands, 1991; pp. 423–434. [Google Scholar]
- Tominaga, S. A neural network approach to color reproduction in color printers. In Proceedings of the Color and Imaging Conference, Scottsdale, AZ, USA, 7–11 November 1993; Society for Imaging Science and Technology: Springfield, VA, USA, 1993; Volume 1993, pp. 173–177. [Google Scholar]
- Littlewood, D.J.; Drakopoulos, P.; Subbarayan, G. Pareto-optimal formulations for cost versus colorimetric accuracy trade-offs in printer color management. ACM Trans. Graph. (TOG) 2002, 21, 132–175. [Google Scholar] [CrossRef]
- Hajipour, A.; Shams-Nateri, A. Improve neural network-based color matching of inkjet textile printing by classification with competitive neural network. Color Res. Appl. 2019, 44, 65–72. [Google Scholar] [CrossRef]
- Zhao, L.; Chen, G. A printer reverse characterization model based on BP neural network. Comput. Model. New Technol. 2014, 18, 133–143. [Google Scholar]
- Xu, S.; Tan, H.; Jiao, X.; Lau, F.C.; Pan, Y. A generic pigment model for digital painting. Comput. Graph. Forum 2007, 26, 609–618. [Google Scholar] [CrossRef]
- Chen, M.Y.; Huang, Y.B.; Chang, S.P.; Ouhyoung, M. Prediction Model for Semitransparent Watercolor Pigment Mixtures Using Deep Learning with a Dataset of Transmittance and Reflectance. arXiv 2019, arXiv:1904.00275. [Google Scholar]
- Souper, T.; Morgado, A.C.; Marques, A.; Silva, I.; Rosado, L. Improving Color Mixture Predictions in Ceramics using Data-centric Deep Learning. In Proceedings of the 2023 8th International Conference on Machine Learning Technologies, Stockholm, Sweden, 10–12 March 2023; pp. 221–229. [Google Scholar]
- Inami, T.; Tanimoto, Y.; Minami, N.; Yamaguchi, M.; Kasai, K. Color stability of laboratory glass-fiber-reinforced plastics for esthetic orthodontic wires. Korean J. Orthod. 2015, 45, 130–135. [Google Scholar] [CrossRef]
- Klambauer, G.; Unterthiner, T.; Mayr, A.; Hochreiter, S. Self-Normalizing Neural Networks. In Proceedings of the 31st International Conference on Neural Information Processing Systems, Long Beach, CA, USA, 4–9 December 2017; pp. 971–980. [Google Scholar]
- Loshchilov, I.; Hutter, F. Decoupled weight decay regularization. arXiv 2017, arXiv:1711.05101. [Google Scholar]
- Smith, L.N. A disciplined approach to neural network hyper-parameters: Part 1–learning rate, batch size, momentum, and weight decay. arXiv 2018, arXiv:1803.09820. [Google Scholar]
- X-Rite, Inc. A Guide to Understanding Color; X-Rite, Inc.: Grand Rapids, MI, USA, 2016. [Google Scholar]
- Luo, M.R.; Cui, G.; Rigg, B. The development of the CIE 2000 colour-difference formula: CIEDE2000. Color Res. Appl. 2001, 26, 340–350. [Google Scholar] [CrossRef]
- Sharma, G.; Wu, W.; Dalal, E.N. The CIEDE2000 color-difference formula: Implementation notes, supplementary test data, and mathematical observations. Color Res. Appl. 2005, 30, 21–30. [Google Scholar] [CrossRef]
- Masum, M.; Shahriar, H.; Haddad, H.; Faruk, M.J.H.; Valero, M.; Khan, M.A.; Rahman, M.A.; Adnan, M.I.; Cuzzocrea, A.; Wu, F. Bayesian hyperparameter optimization for deep neural network-based network intrusion detection. In Proceedings of the 2021 IEEE International Conference on Big Data (Big Data), Orlando, FL, USA, 15–18 December 2021; pp. 5413–5419. [Google Scholar]
- Liu, H.X.; Wu, B.; Liu, Y.; Huang, M.; Xu, Y.F. A discussion on printing color difference tolerance by CIEDE2000 color difference formula. Appl. Mech. Mater. 2013, 262, 96–99. [Google Scholar] [CrossRef]





| Features | Unit/Range | |
|---|---|---|
| Spot Color | L* (luminance) | [0, 100] |
| a* (green-red coordinate) | [−128, 127) | |
| b* (blue-yellow coordinate) | [−128, 127) | |
| Spectral reflectance 1 | % | |
| Basic Ink | Amount used for mixing 2 | mg |
| Paper | Width | mm |
| Height | mm | |
| Weight | mg | |
| Spectral reflectance 1 | % |
| Mixed Basic Ink (Amount) | Spot Color Code | Paper Color | L*a*b* Value | Spot Color |
|---|---|---|---|---|
| 20120015 (150 mg), 20120037 (1000 mg), 20120014 (30 mg), 20120019 (520 mg) | 18991 | ![]() | (50.95, −9.77, −20.27) | ![]() |
| 18999 | ![]() | (60.41, −7.69, −16.96) | ![]() | |
| 20220025 (4000 mg), 20220013 (400 mg), 20120004 (10 mg) | 76 | ![]() | (27.57, −0.87, −3.97) | ![]() |
| 82 | ![]() | (86.84, −1.29, −0.57) | ![]() | |
| 229 | ![]() | (39.27, −2.58, −4.76) | ![]() | |
| 20120002 (496 mg), 20120015 (558 mg), 20120021 (535 mg) | 2177 | ![]() | (26.32, 16.98, 19.45) | ![]() |
| 2216 | ![]() | (28.99, 16.28, 19.73) | ![]() | |
| 2224 | ![]() | (79.11, 7.67, 13.36) | ![]() | |
| 2244 | ![]() | (26.63, 15.66, 18.26) | ![]() | |
| 2252 | ![]() | (28.74, 16.31, 19.52) | ![]() |
| NBS Unit | Critical Remarks of Color Difference | |
|---|---|---|
| 0–0.5 | Trace | Extremely slight change |
| 0.5–1.5 | Slight | Slight change |
| 1.5–3.0 | Noticeable | Perceivable |
| 3.0–6.0 | Appreciable | Marked change |
| 6.0–12.0 | Much | Extremely marked change |
| 12.0+ | Very much | Change to other color |
| Mean | Std | t | p | |
|---|---|---|---|---|
| Raw Dataset | 4.5786 | 0.1935 | 10.6155 | 0.00 |
| Preprocessed Dataset | 4.1094 | 0.1454 |
| The Number of Hidden Layers | The Number of Neurons | ||||
|---|---|---|---|---|---|
| 64 | 128 | 256 | 512 | ||
| 3 | Mean | 4.4222 | 4.1458 | 3.9353 | 3.8109 |
| Std | 0.1197 | 0.1358 | 0.1327 | 0.1198 | |
| 4 | Mean | 4.3583 | 4.0018 | 3.7937 | 3.6750 |
| Std | 0.1298 | 0.1431 | 0.1304 | 0.1273 | |
| 5 | Mean | 4.2277 | 3.9505 | 3.7483 | 3.6280 * |
| Std | 0.1119 | 0.1341 | 0.1217 | 0.1060 * | |
| 6 | Mean | 4.1965 | 3.8462 | 3.6653 | 3.6292 |
| Std | 0.1189 | 0.1427 | 0.1371 | 0.1525 | |
| Statistics | Value | Statistics | Value |
|---|---|---|---|
| Count | 715 | Mean | 3.6679 |
| 25th percentile | 1.1495 | Std | 4.5817 |
| 50th percentile | 2.1672 | Min | 0.0738 |
| 75th percentile | 4.4487 | Max | 44.1385 |
| Paper Color | Mixed Basic Ink (Amount) | Measured Value of | Actual Color vs. Predicted Color |
|---|---|---|---|
![]() | 20220008 (1500 mg), 20220016 (3000 mg) | 0.7308 | ![]() |
![]() | 20220009 (250 mg), 20220016 (180 mg), 20220015 (9 mg), 20220056 (3500 mg), 20220014 (48 mg), 20220005 (40 mg) | 0.4896 | ![]() |
![]() | 20120002 (13 mg), 20120015 (40 mg), 20120021 (83 mg), 20120037 (2000 mg) | 0.7491 | ![]() |
![]() | 20120002 (1000 mg), 20120015 (450 mg), 20120014 (2000 mg) | 1.1794 | ![]() |
![]() | 20220009 (90 mg), 20220022 (300 mg), 20120054 (1000 mg) | 1.5656 | ![]() |
![]() | 20220008 (150 mg), 20220016 (1000 mg), 20220025 (1000 mg) | 6.7326 | ![]() |
![]() | 20220014 (400 mg), 20220004 (500 mg), 20220005 (5000 mg) | 1.4632 | ![]() |
![]() | 20120002 (100 mg), 20120007 (34 mg), 20120014 (10 mg), 20120009 (1000 mg) | 0.5292 | ![]() |
![]() | 20220009 (590 mg), 20220015 (1000 mg), 20220005 (4000 mg) | 4.0906 | ![]() |
![]() | 20120007 (230 mg), 20120015 (46 mg), 20120037 (2000 mg), 20120014 (11 mg) | 8.1258 | ![]() |
Disclaimer/Publisher’s Note: The statements, opinions and data contained in all publications are solely those of the individual author(s) and contributor(s) and not of MDPI and/or the editor(s). MDPI and/or the editor(s) disclaim responsibility for any injury to people or property resulting from any ideas, methods, instructions or products referred to in the content. |
© 2023 by the authors. Licensee MDPI, Basel, Switzerland. This article is an open access article distributed under the terms and conditions of the Creative Commons Attribution (CC BY) license (https://creativecommons.org/licenses/by/4.0/).
Share and Cite
Moon, J.; Yang, G.; Tae, H. A Study on DNN-Based Practical Model for Predicting Spot Color. Appl. Sci. 2023, 13, 13100. https://doi.org/10.3390/app132413100
Moon J, Yang G, Tae H. A Study on DNN-Based Practical Model for Predicting Spot Color. Applied Sciences. 2023; 13(24):13100. https://doi.org/10.3390/app132413100
Chicago/Turabian StyleMoon, Jaekyeong, Geonhee Yang, and Hyunchul Tae. 2023. "A Study on DNN-Based Practical Model for Predicting Spot Color" Applied Sciences 13, no. 24: 13100. https://doi.org/10.3390/app132413100
APA StyleMoon, J., Yang, G., & Tae, H. (2023). A Study on DNN-Based Practical Model for Predicting Spot Color. Applied Sciences, 13(24), 13100. https://doi.org/10.3390/app132413100









































