Effect of Postharvest UVB Irradiation on the Fruit of cv. Dottato (Ficus carica L.)
Abstract
1. Introduction
2. Materials and Methods
2.1. Plant Materials and Ultraviolet Irradiation
2.2. Determination of Morpho-Anatomy and Fruit Quality Parameters
2.3. Chemical Analysis
2.3.1. Chemicals, Standards, and Reagents
2.3.2. Determination of Sugar Content
2.3.3. Determination of Chlorophyll, Total Carotenoids and Total Phenolic Content
2.3.4. Polyphenols HPLC-DAD-MS Analysis
2.3.5. Statistical Analysis
3. Results and Discussion
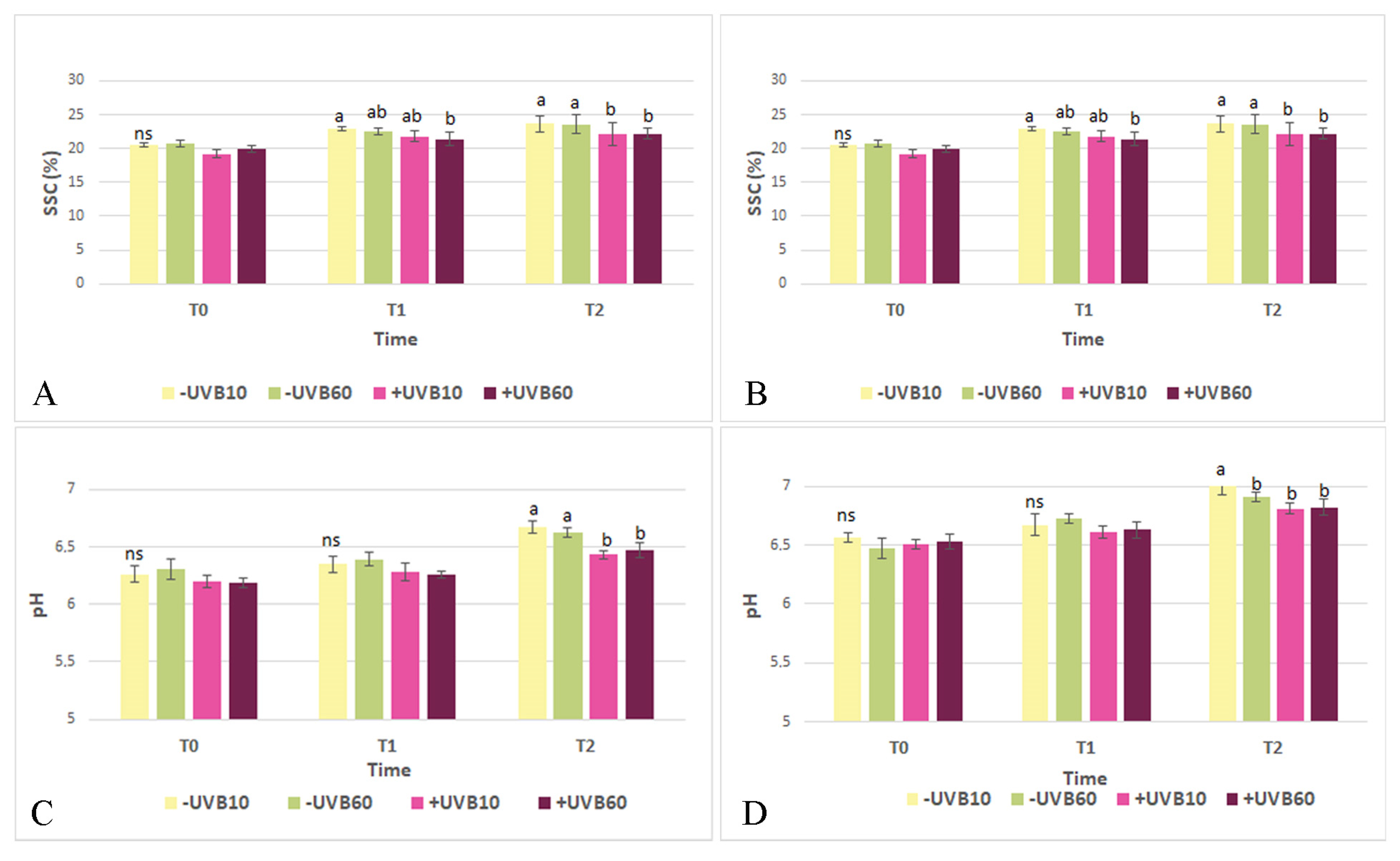
3.1. Morpho-Anatomy and Fruit Quality Parameters
3.2. Chemical Analysis
3.2.1. Sugar Content
3.2.2. Total Carotenoids and Polyphenolic Content
3.2.3. Individual Polyphenolic Content
3.2.4. Principal Component Analysis
4. Conclusions
Supplementary Materials
Author Contributions
Funding
Institutional Review Board Statement
Informed Consent Statement
Data Availability Statement
Acknowledgments
Conflicts of Interest
References
- Caldwell, M.M.; Flint, S.D. Stratospheric Ozone Reduction, Solar UV-B Radiation and Terrestrial Ecosystems. Clim. Chang. 1994, 28, 375–394. [Google Scholar] [CrossRef]
- Manning, W.J.; Tiedemann, A.V. Climate Change: Potential Effects of Increased Atmospheric Carbon Dioxide (CO2), Ozone (O3), and Ultraviolet-B (UV-B) Radiation on Plant Diseases. Environ. Pollut. 1995, 88, 219–245. [Google Scholar] [CrossRef]
- Jordan, B.R. The Effects of Ultraviolet-B Radiation on Plants: A Molecular Perspective. Adv. Bot. Res. 1996, 22, 97–162. [Google Scholar]
- Caldwell, M.M.; Björn, L.O.; Bornman, J.F.; Flint, S.D.; Kulandaivelu, G.; Teramura, A.H.; Tevini, M. Effects of Increased Solar Ultraviolet Radiation on Terrestrial Ecosystems. J. Photochem. Photobiol. B 1998, 46, 40–52. [Google Scholar] [CrossRef]
- Ueda, T.; Nakamura, C. Ultraviolet-Defense Mechanisms in Higher Plants. Biotechnol. Biotechnol. Equip. 2011, 25, 2177–2182. [Google Scholar] [CrossRef]
- Ballaré, C.L.; Caldwell, M.M.; Flint, S.D.; Robinson, S.A.; Bornman, J.F. Effects of Solar Ultraviolet Radiation on Terrestrial Ecosystems. Patterns, Mechanisms, and Interactions with Climate Change. Photochem. Photobiol. Sci. 2011, 10, 226–241. [Google Scholar] [CrossRef] [PubMed]
- Jansen, M.A.K.; Gaba, V.; Greenberg, B.M. Higher Plants and UV-B Radiation: Balancing Damage, Repair and Acclimation. Trends Plant Sci. 1998, 3, 131–135. [Google Scholar] [CrossRef]
- Hideg, É.; Jansen, M.A.K.; Strid, Å. UV-B Exposure, ROS, and Stress: Inseparable Companions or Loosely Linked Associates? Trends Plant Sci. 2013, 18, 107–115. [Google Scholar] [CrossRef]
- Kolb, C.A.; Käser, M.A.; Kopecký, J.; Zotz, G.; Riederer, M.; Pfündel, E.E. Effects of Natural Intensities of Visible and Ultraviolet Radiation on Epidermal Ultraviolet Screening and Photosynthesis in Grape Leaves. Plant Physiol. 2001, 127, 863–875. [Google Scholar] [CrossRef]
- Costa, H.; Gallego, S.M.; Tomaro, M.L. Effect of UV-B Radiation on Antioxidant Defense System in Sunflower Cotyledons. Plant Sci. 2002, 162, 939–945. [Google Scholar] [CrossRef]
- Xu, C.; Sullivan, J.H.; Garrett, W.M.; Caperna, T.J.; Natarajan, S. Impact of Solar Ultraviolet-B on the Proteome in Soybean Lines Differing in Flavonoid Contents. Phytochemistry 2008, 69, 38–48. [Google Scholar] [CrossRef] [PubMed][Green Version]
- Demkura, P.V.; Ballaré, C.L. UVR8 Mediates UV-B-Induced Arabidopsis Defense Responses against Botrytis Cinerea by Controlling Sinapate Accumulation. Mol. Plant 2012, 5, 642–652. [Google Scholar] [CrossRef]
- Grifoni, D.; Agati, G.; Bussotti, F.; Michelozzi, M.; Pollastrini, M.; Zipoli, G. Different Responses of Arbutus Unedo and Vitis Vinifera Leaves to UV Filtration and Subsequent Exposure to Solar Radiation. Environ. Exp. Bot. 2016, 128, 1–10. [Google Scholar] [CrossRef]
- Escobar-Bravo, R.; Klinkhamer, P.G.L.; Leiss, K.A. Interactive Effects of UV-B Light with Abiotic Factors on Plant Growth and Chemistry, and Their Consequences for Defense against Arthropod Herbivores. Front. Plant Sci. 2017, 8, 278. [Google Scholar] [CrossRef]
- Del-Castillo-Alonso, M.Á.; Monforte, L.; Tomás-Las-Heras, R.; Núñez-Olivera, E.; Martínez-Abaigar, J. A Supplement of Ultraviolet-B Radiation under Field Conditions Increases Phenolic and Volatile Compounds of Tempranillo Grape Skins and the Resulting Wines. Eur. J. Agron. 2020, 121, 126150. [Google Scholar] [CrossRef]
- Meyer, P.; Van de Poel, B.; De Coninck, B. UV-B Light and Its Application Potential to Reduce Disease and Pest Incidence in Crops. Hortic. Res. 2021, 8, 194. [Google Scholar] [CrossRef] [PubMed]
- Sun, M.; Jordan, B.; Creasy, G.; Zhu, Y.F. UV-B Radiation Induced the Changes in the Amount of Amino Acids, Phenolics and Aroma Compounds in Vitis vinifera Cv. Pinot Noir Berry under Field Conditions. Foods 2023, 12, 2350. [Google Scholar] [CrossRef] [PubMed]
- Ubi, B.E.; Honda, C.; Bessho, H.; Kondo, S.; Wada, M.; Kobayashi, S.; Moriguchi, T. Expression Analysis of Anthocyanin Biosynthetic Genes in Apple Skin: Effect of UV-B and Temperature. Plant Sci. 2006, 170, 571–578. [Google Scholar] [CrossRef]
- Hagen, S.F.; Borge, G.I.A.; Bengtsson, G.B.; Bilger, W.; Berge, A.; Haffner, K.; Solhaug, K.A. Phenolic Contents and Other Health and Sensory Related Properties of Apple Fruit (Malus domestica Borkh., Cv. Aroma): Effect of Postharvest UV-B Irradiation. Postharvest Biol. Technol. 2007, 45, 1–10. [Google Scholar] [CrossRef]
- Assumpção, C.F.; Hermes, V.S.; Pagno, C.; Castagna, A.; Mannucci, A.; Sgherri, C.; Pinzino, C.; Ranieri, A.; Flôres, S.H.; de Oliveira Rios, A. Phenolic Enrichment in Apple Skin Following Post-Harvest Fruit UV-B Treatment. Postharvest Biol. Technol. 2018, 138, 37–45. [Google Scholar] [CrossRef]
- Scattino, C.; Castagna, A.; Neugart, S.; Chan, H.M.; Schreiner, M.; Crisosto, C.H.; Tonutti, P.; Ranieri, A. Post-Harvest UV-B Irradiation Induces Changes of Phenol Contents and Corresponding Biosynthetic Gene Expression in Peaches and Nectarines. Food Chem. 2014, 163, 51–60. [Google Scholar] [CrossRef]
- Santin, M.; Ranieri, A.; Hauser, M.T.; Miras-Moreno, B.; Rocchetti, G.; Lucini, L.; Strid, Å.; Castagna, A. The Outer Influences the Inner: Postharvest UV-B Irradiation Modulates Peach Flesh Metabolome Although Shielded by the Skin. Food Chem. 2021, 338, 127782. [Google Scholar] [CrossRef]
- Cantos, E.; Garcia-Viguera, C.; De Pascual-Teresa, S.; Tomas-Barberan, F.A. Effect of Postharvest Ultraviolet Irradiation on Resveratrol and Other Phenolics of Cv. Napoleon Table Grapes. J. Agric. Food Chem. 2000, 48, 4606–4612. [Google Scholar] [CrossRef]
- Sheng, K.; Shui, S.S.; Yan, L.; Liu, C.; Zheng, L. Effect of Postharvest UV-B or UV-C Irradiation on Phenolic Compounds and Their Transcription of Phenolic Biosynthetic Genes of Table Grapes. J. Food Sci. Technol. 2018, 55, 3292–3302. [Google Scholar] [CrossRef]
- Liu, C.; Han, X.; Cai, L.; Lu, X.; Ying, T.; Jiang, Z. Postharvest UV-B Irradiation Maintains Sensory Qualities and Enhances Antioxidant Capacity in Tomato Fruit during Storage. Postharvest Biol. Technol. 2011, 59, 232–237. [Google Scholar] [CrossRef]
- Castagna, A.; Dall’Asta, C.; Chiavaro, E.; Galaverna, G.; Ranieri, A. Effect of Post-Harvest UV-B Irradiation on Polyphenol Profile and Antioxidant Activity in Flesh and Peel of Tomato Fruits. Food Bioprocess Technol. 2014, 7, 2241–2250. [Google Scholar] [CrossRef]
- Dyshlyuk, L.; Babich, O.; Prosekov, A.; Ivanova, S.; Pavsky, V.; Chaplygina, T. The Effect of Postharvest Ultraviolet Irradiation on the Content of Antioxidant Compounds and the Activity of Antioxidant Enzymes in Tomato. Heliyon 2020, 6, e03288. [Google Scholar] [CrossRef] [PubMed]
- Interdonato, R.; Rosa, M.; Nieva, C.B.; González, J.A.; Hilal, M.; Prado, F.E. Effects of Low UV-B Doses on the Accumulation of UV-B Absorbing Compounds and Total Phenolics and Carbohydrate Metabolism in the Peel of Harvested Lemons. Environ. Exp. Bot. 2011, 70, 204–211. [Google Scholar] [CrossRef]
- Darré, M.; Valerga, L.; Ortiz Araque, L.C.; Lemoine, M.L.; Demkura, P.V.; Vicente, A.R.; Concellón, A. Role of UV-B Irradiation Dose and Intensity on Color Retention and Antioxidant Elicitation in Broccoli Florets (Brassica oleracea Var. Italica). Postharvest Biol. Technol. 2017, 128, 76–82. [Google Scholar] [CrossRef]
- Duke, J.A. Handbook of Medicinal Herbs: Herbal Reference Library; CRC-Press: Boca Raton, FL, USA, 2018. [Google Scholar]
- Werbach, W. Healing with Food; Harper Collins: New York, NY, USA, 1993. [Google Scholar]
- Mawa, S.; Husain, K.; Jantan, I. Ficus carica L. (Moraceae): Phytochemistry, Traditional Uses and Biological Activities. Evid.-Based Complement. Altern. Med. 2013, 2013, 974256. [Google Scholar] [CrossRef] [PubMed]
- Caliskan, O. Mediterranean Figs (Ficus carica L.) Functional Food Properties. In The Mediterranean Diet: An Evidence-Based Approach; Elsevier Science: Amsterdam, The Netherlands, 2015. [Google Scholar]
- Irfan, P.K.; Vanjakshi, V.; Prakash, M.N.K.; Ravi, R.; Kudachikar, V.B. Calcium Chloride Extends the Keeping Quality of Fig Fruit (Ficus carica L.) during Storage and Shelf-Life. Postharvest Biol. Technol. 2013, 82, 70–75. [Google Scholar] [CrossRef]
- Jusoh, N.A.M.; Ding, P.; Yeat, C.S. Extending Post-Harvest Quality of Fresh Fig (Ficus carica L.) Fruit through Manipulation of Pre- And Post-Harvest Practices: A Review. Sains Malays 2020, 49, 553–560. [Google Scholar] [CrossRef]
- Souza, M.; Artés, F.; Jemni, M.; Artés–Hernández, F.; Martínez–Hernández, G.B. Combined Effect of UV–C and Passive Modified Atmosphere Packaging to Preserve the Physicochemical and Bioactive Quality of Fresh Figs during Storage. Postharvest Biol. Technol. 2022, 194, 112106. [Google Scholar] [CrossRef]
- Usberti, F.C.S.; Ferraz, A.C.d.O. Uv-c Radiation on Fresh Fig Quality. Sci. Agric. 2020, 78. [Google Scholar] [CrossRef]
- Caldwell, M.M. Solar UV Irradiation and the Growth and Development of Higher Plants. Photophysiology 1971, 6, 131–177. [Google Scholar]
- Petruccelli, R.; Bonetti, A.; Ciaccheri, L.; Ieri, F.; Ganino, T.; Faraloni, C. Evaluation of the Fruit Quality and Phytochemical Compounds in Peach and Nectarine Cultivars. Plants 2023, 12, 1618. [Google Scholar] [CrossRef] [PubMed]
- Faraloni, C.; Giordano, C.; Arcidiaco, L.; Benelli, C.; Di Lonardo, S.; Anichini, M.; Stefani, F.; Petruccelli, R. Effective Microorganisms and Olive Mill Wastewater Used as Biostimulants to Improve the Performance of Tanacetum balsamita L., a Medicinal Plant. Appl. Sci. 2023, 13, 722. [Google Scholar] [CrossRef]
- Lichtenthaler, H.K. Chlorophylls and Carotenoids: Pigments of Photosynthetic Biomembranes. Methods Enzym. 1987, 148, 350–382. [Google Scholar] [CrossRef]
- Wu, W.; Jiang, B.; Liu, R.; Han, Y.; Fang, X.; Mu, H.; Farag, M.A.; Simal-Gandara, J.; Prieto, M.A.; Chen, H.; et al. Structures and Functions of Cuticular Wax in Postharvest Fruit and Its Regulation: A Comprehensive Review with Future Perspectives. Engineering 2023, 23, 118–129. [Google Scholar] [CrossRef]
- Romero, P.; Lafuente, M.T. Relative Humidity Regimes Modify Epicuticular Wax Metabolism and Fruit Properties during Navelate Orange Conservation in an ABA-Dependent Manner. Food Chem. 2022, 369, 130946. [Google Scholar] [CrossRef]
- Grant, R.H.; Heisler, G.M.; Gao, W.; Jenks, M. Ultraviolet Leaf Reflectance of Common Urban Trees and the Prediction of Reflectance from Leaf Surface Characteristics. Agric. For. Meteorol. 2003, 120, 127–139. [Google Scholar] [CrossRef]
- Montero, C.R.S.; Antes, R.B.; dos Santos, R.P.; dos Santos, L.C.; Andreazza, C.S.; Bender, R.J. Alterações Na Cutícula de Maçãs “Fuji” e “Gala” Em Função Do Tratamento Térmico e Da Armazenagem Refrigerada. Acta Sci. Agron. 2010, 32, 441–447. [Google Scholar] [CrossRef]
- Roy, S.; Conway, W.S.; Watada, A.E.; Sams, C.E.; Erbe, E.F.; Wergin, W.P. Heat Treatment Affects Epicuticular Wax Structure and Postharvest Calcium Uptake in “Golden Delicious” Apples. HortScience 1994, 29, 1056–1058. [Google Scholar] [CrossRef]
- Huber, D.J. The Role of Cell Wall Hydrolases in Fruit Softening. Hortic. Rev. 1983, 5, 169–219. [Google Scholar] [CrossRef]
- Kaewsuksaeng, S.; Urano, Y.; Aiamla-or, S.; Shigyo, M.; Yamauchi, N. Effect of UV-B Irradiation on Chlorophyll-Degrading Enzyme Activities and Postharvest Quality in Stored Lime (Citrus latifolia Tan.) Fruit. Postharvest Biol. Technol. 2011, 61, 124–130. [Google Scholar] [CrossRef]
- Srilaong, V.; Aiamla-or, S.; Soontornwat, A.; Shigyo, M.; Yamauchi, N. UV-B Irradiation Retards Chlorophyll Degradation in Lime (Citrus latifolia Tan.) Fruit. Postharvest Biol. Technol. 2011, 59, 110–112. [Google Scholar] [CrossRef]
- Abdipour, M.; Hosseinifarahi, M.; Naseri, N. Combination Method of UV-B and UV-C Prevents Post-Harvest Decay and Improves Organoleptic Quality of Peach Fruit. Sci. Hortic. 2019, 256, 108564. [Google Scholar] [CrossRef]
- Abdipour, M.; Sadat Malekhossini, P.; Hosseinifarahi, M.; Radi, M. Integration of UV Irradiation and Chitosan Coating: A Powerful Treatment for Maintaining the Postharvest Quality of Sweet Cherry Fruit. Sci. Hortic. 2020, 264, 109197. [Google Scholar] [CrossRef]
- Zhu, X.; Trouth, F.; Yang, T. Preharvest UV-B Treatment Improves Strawberry Quality and Extends Shelf Life. Horticulturae 2023, 9, 211. [Google Scholar] [CrossRef]
- Santin, M.; Castagna, A.; Miras-Moreno, B.; Rocchetti, G.; Lucini, L.; Hauser, M.T.; Ranieri, A. Beyond the Visible and Below the Peel: How UV-B Radiation Influences the Phenolic Profile in the Pulp of Peach Fruit. A Biochemical and Molecular Study. Front. Plant Sci. 2020, 11, 579063. [Google Scholar] [CrossRef]
- Pereira, C.; Martín, A.; López-Corrales, M.; Córdoba, M.D.G.; Galván, A.I.; Serradilla, M.J. Evaluation of the physicochemical and sensory characteristics of different fig cultivars for the fresh fruit market. Foods 2020, 9, 619. [Google Scholar] [CrossRef]
- Çalişkan, O.; Aytekin Polat, A. Phytochemical and Antioxidant Properties of Selected Fig (Ficus carica L.) Accessions from the Eastern Mediterranean Region of Turkey. Sci. Hortic. 2011, 128, 473–478. [Google Scholar] [CrossRef]
- Veberic, R.; Mikulic-Petkovsek, M. Phytochemical Composition of Common Fig (Ficus carica L.) Cultivars. In Nutritional Composition of Fruit Cultivars; Academic Press: Cambridge, MA, USA, 2015. [Google Scholar]
- Lama, K.; Chai, L.J.; Peer, R.; Ma, H.; Yeselson, Y.; Schaffer, A.A.; Flaishman, M.A. Extreme Sugar Accumulation in Late Fig Ripening Is Accompanied by Global Changes in Sugar Metabolism and Transporter Gene Expression. Physiol. Plant. 2022, 174, e13648. [Google Scholar] [CrossRef] [PubMed]
- Génard, M.; Lescourret, F.; Gomez, L.; Habib, R. Changes in Fruit Sugar Concentrations in Response to Assimilate Supply, Metabolism and Dilution: A Modeling Approach Applied to Peach Fruit (Prunus persica). Tree Physiol. 2003, 23, 373–385. [Google Scholar] [CrossRef] [PubMed]
- Dai, Z.; Wu, H.; Baldazzi, V.; van Leeuwen, C.; Bertin, N.; Gautier, H.; Wu, B.; Duchêne, E.; Gomès, E.; Delrot, S.; et al. Inter-Species Comparative Analysis of Components of Soluble Sugar Concentration in Fleshy Fruits. Front. Plant Sci. 2016, 7, 649. [Google Scholar] [CrossRef] [PubMed]
- Onik, J.C.; Xie, Y.; Duan, Y.; Hu, X.; Wang, Z.; Lin, Q. UV-C Treatment Promotes Quality of Early Ripening Apple Fruit by Regulating Malate Metabolizing Genes during Postharvest Storage. PLoS ONE 2019, 14, e0215472. [Google Scholar] [CrossRef] [PubMed]
- Wang, X.; Fu, X.; Chen, M.; Huan, L.; Liu, W.; Qi, Y.; Gao, Y.; Xiao, W.; Chen, X.; Li, L.; et al. Ultraviolet B Irradiation Influences the Fruit Quality and Sucrose Metabolism of Peach (Prunus persica L.). Environ. Exp. Bot. 2018, 153, 286–301. [Google Scholar] [CrossRef]
- Hu, L.; Yang, C.; Zhang, L.; Feng, J.; Xi, W. Effect of Light-Emitting Diodes and Ultraviolet Irradiation on the Soluble Sugar, Organic Acid, and Carotenoid Content of Postharvest Sweet Oranges (Citrus sinensis (L.) Osbeck). Molecules 2019, 24, 3440. [Google Scholar] [CrossRef] [PubMed]
- Song, C.; Li, A.; Chai, Y.; Li, Q.; Lin, Q.; Duan, Y. Effects of 1-Methylcyclopropene Combined with Modified Atmosphere on Quality of Fig (Ficus carica L.) during Postharvest Storage. J. Food Qual. 2020, 2019, 2134924. [Google Scholar] [CrossRef]
- Dogan, A.; Erkan, M. Responses of High Carbon Dioxide Concentration on Postharvest Quality of Fresh Fig Fruit during Storage. Horticulturae 2023, 9, 293. [Google Scholar] [CrossRef]
- Harborne, J.B. Plant Polyphenols-XV. Flavonols as Yellow Flower Pigments. Phytochemistry 1965, 4, 647–657. [Google Scholar] [CrossRef]
- Hammond, B.R., Jr.; Renz, L.M. Carotenoids. Adv. Nutr. 2013, 4, 474–476. [Google Scholar] [CrossRef] [PubMed]
- Rao, A.V.; Rao, L.G. Carotenoids and Human Health. Pharmacol. Res. 2007, 55, 207–216. [Google Scholar] [CrossRef] [PubMed]
- Visioli, F.; de la Lastra, C.A.; Andres-Lacueva, C.; Aviram, M.; Calhau, C.; Cassano, A.; D’Archivio, M.; Faria, A.; Favé, G.; Fogliano, V.; et al. Polyphenols and Human Health: A Prospectus. Crit. Rev. Food Sci. Nutr. 2011, 51, 524–546. [Google Scholar] [CrossRef] [PubMed]
- Marrelli, M.; Menichini, F.; Statti, G.A.; Bonesi, M.; Duez, P.; Menichini, F.; Conforti, F. Changes in the Phenolic and Lipophilic Composition, in the Enzyme Inhibition and Antiproliferative Activity of Ficus carica L. Cultivar Dottato Fruits during Maturation. Food Chem. Toxicol. 2012, 50, 726–733. [Google Scholar] [CrossRef]
- Teruel-Andreu, C.; Andreu-Coll, L.; López-Lluch, D.; Sendra, E.; Hernández, F.; Cano-Lamadrid, M. Ficus carica Fruits, by-Products and Based Products as Potential Sources of Bioactive Compounds: A Review. Agronomy 2021, 11, 1834. [Google Scholar] [CrossRef]
- Barolo, M.I.; Ruiz Mostacero, N.; López, S.N. Ficus carica L. (Moraceae): An Ancient Source of Food and Health. Food Chem. 2014, 164, 119–127. [Google Scholar] [CrossRef]
- Yang, Q.; Liu, Y.; Guo, Y.; Jiang, Y.; Wen, L.; Yang, B. New Insights of Fig (Ficus carica L.) as a Potential Function Food. Trends Food Sci. Technol. 2023, 140, 104146. [Google Scholar] [CrossRef]
- Castagna, A.; Chiavaro, E.; Dall’Asta, C.; Rinaldi, M.; Galaverna, G.; Ranieri, A. Effect of Postharvest UV-B Irradiation on Nutraceutical Quality and Physical Properties of Tomato Fruits. Food Chem. 2013, 137, 151–158. [Google Scholar] [CrossRef]
- Assumpção, C.F.; da Silva, M.M.; Hermes, V.S.; Ranieri, A.; Ferreira, E.A.; Jablonski, A.; Flôres, S.H.; de O. Rios, A. Different Carotenoid Enrichment in Two Climacteric Fruits after Post- Harvest UV-B Treatment. Curr. Bioact. Compd. 2018, 16, 102–108. [Google Scholar] [CrossRef]
- Moreira-Rodríguez, M.; Nair, V.; Benavides, J.; Cisneros-Zevallos, L.; Jacobo-Velázquez, D.A. UVA, UVB Light Doses and Harvesting Time Differentially Tailor Glucosinolate and Phenolic Profiles in Broccoli Sprouts. Molecules 2017, 22, 1065. [Google Scholar] [CrossRef]
- Ortega-Hernández, E.; Nair, V.; Welti-Chanes, J.; Cisneros-Zevallos, L.; Jacobo-Velázquez, D.A. Wounding and UVB Light Synergistically Induce the Biosynthesis of Phenolic Compounds and Ascorbic Acid in Red Prickly Pears (Opuntia ficus-indica Cv. Rojo Vigor). Int. J. Mol. Sci. 2019, 20, 5327. [Google Scholar] [CrossRef]
- Santin, M.; Lucini, L.; Castagna, A.; Rocchetti, G.; Hauser, M.T.; Ranieri, A. Comparative “Phenol-Omics” and Gene Expression Analyses in Peach (Prunus persica) Skin in Response to Different Postharvest UV-B Treatments. Plant Physiol. Biochem. 2019, 135, 511–519. [Google Scholar] [CrossRef] [PubMed]
- Ryu, J.A.; Duan, S.; Gil, C.S.; Jeong, H.Y.; Lee, C.; Kang, I.K.; Eom, S.H. Combined UV-B and Methyl Jasmonate Treatments Enhance Postharvest Pigmentation of “Fuji” Apples. Postharvest Biol. Technol. 2022, 190, 111938. [Google Scholar] [CrossRef]
- Li, T.; Yamane, H.; Tao, R. Preharvest Long-Term Exposure to UV-B Radiation Promotes Fruit Ripening and Modifies Stage-Specific Anthocyanin Metabolism in Highbush Blueberry. Hortic. Res. 2021, 8, 67. [Google Scholar] [CrossRef] [PubMed]
- Pluskota, W.E.; Michalczyk, D.J.; Górecki, R.J. Control of Phenylalanine Ammonia-Lyase Gene Promoters from Pea by UV Radiation. Acta Physiol. Plant. 2005, 27, 229–236. [Google Scholar] [CrossRef]
- Fattouch, S.; Caboni, P.; Coroneo, V.; Tuberoso, C.I.G.; Angioni, A.; Dessi, S.; Marzouki, N.; Cabras, P. Antimicrobial Activity of Tunisian Quince (Cydonia oblonga Miller) Pulp and Peel Polyphenols Extracts. J. Agric. Food Chem. 2007, 55, 963–969. [Google Scholar] [CrossRef]
- Saidani, F.; Giménez, R.; Aubert, C.; Chalot, G.; Betrán, J.A.; Gogorcena, Y. Phenolic, Sugar and Acid Profiles and the Antioxidant Composition in the Peel and Pulp of Peach Fruits. J. Food Compos. Anal. 2017, 62, 126–133. [Google Scholar] [CrossRef]
- Fan, P.; Huber, D.J.; Su, Z.; Hu, M.; Gao, Z.; Li, M.; Shi, X.; Zhang, Z. Effect of Postharvest Spray of Apple Polyphenols on the Quality of Fresh-Cut Red Pitaya Fruit during Shelf Life. Food Chem. 2018, 243, 19–25. [Google Scholar] [CrossRef]
- Czech, A.; Malik, A.; Sosnowska, B.; Domaradzki, P. Bioactive Substances, Heavy Metals, and Antioxidant Activity in Whole Fruit, Peel, and Pulp of Citrus Fruits. Int. J. Food Sci. 2021, 2021, 6662259. [Google Scholar] [CrossRef]








| Treatment | UVB (280–315) | UVBBE Caldwell |
|---|---|---|
| +UVB10 | 1.4 | 1.2 |
| +UVB60 | 8.4 | 7.2 |
Disclaimer/Publisher’s Note: The statements, opinions and data contained in all publications are solely those of the individual author(s) and contributor(s) and not of MDPI and/or the editor(s). MDPI and/or the editor(s) disclaim responsibility for any injury to people or property resulting from any ideas, methods, instructions or products referred to in the content. |
© 2023 by the authors. Licensee MDPI, Basel, Switzerland. This article is an open access article distributed under the terms and conditions of the Creative Commons Attribution (CC BY) license (https://creativecommons.org/licenses/by/4.0/).
Share and Cite
Giordano, C.; Benelli, C.; Faraloni, C.; Grifoni, D.; Anichini, M.; Ieri, F.; Traversi, L.; Beghè, D.; Petruccelli, R. Effect of Postharvest UVB Irradiation on the Fruit of cv. Dottato (Ficus carica L.). Appl. Sci. 2023, 13, 13003. https://doi.org/10.3390/app132413003
Giordano C, Benelli C, Faraloni C, Grifoni D, Anichini M, Ieri F, Traversi L, Beghè D, Petruccelli R. Effect of Postharvest UVB Irradiation on the Fruit of cv. Dottato (Ficus carica L.). Applied Sciences. 2023; 13(24):13003. https://doi.org/10.3390/app132413003
Chicago/Turabian StyleGiordano, Cristiana, Carla Benelli, Cecilia Faraloni, Daniele Grifoni, Monica Anichini, Francesca Ieri, Laura Traversi, Deborah Beghè, and Raffaella Petruccelli. 2023. "Effect of Postharvest UVB Irradiation on the Fruit of cv. Dottato (Ficus carica L.)" Applied Sciences 13, no. 24: 13003. https://doi.org/10.3390/app132413003
APA StyleGiordano, C., Benelli, C., Faraloni, C., Grifoni, D., Anichini, M., Ieri, F., Traversi, L., Beghè, D., & Petruccelli, R. (2023). Effect of Postharvest UVB Irradiation on the Fruit of cv. Dottato (Ficus carica L.). Applied Sciences, 13(24), 13003. https://doi.org/10.3390/app132413003

