Stages of Development and Solvents Determine the Anticancer Potential of Mountain Arnica (Arnica montana L.) Inflorescence Extracts
Abstract
:1. Introduction
2. Materials and Methods
2.1. Study Site
2.2. Chemical Analyses
2.2.1. Sesquiterpene Lactones
2.2.2. Flavonoids
2.2.3. Essential Oil
2.3. Extraction Procedure
2.4. Cells, Culture Conditions, and Drug Treatment
2.5. Detection of Apoptosis, Autophagy, and Necrosis
2.6. Statistical Analysis
3. Results
3.1. Chemical Characteristics of Arnicae flos
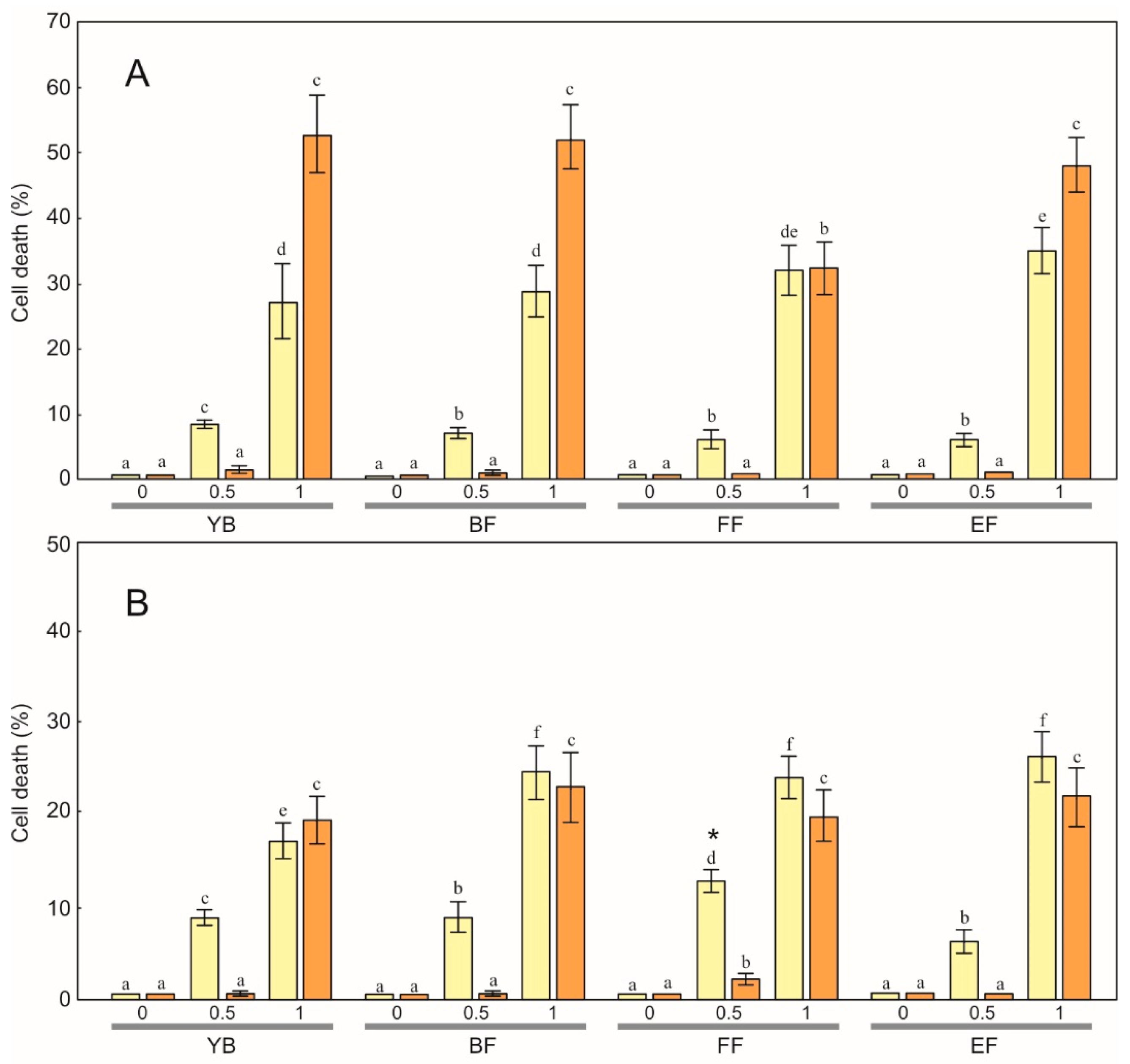
3.2. Anticancer Activity
4. Discussion
4.1. Chemical Characteristics of Raw Material
4.2. Anticancer Activity
5. Conclusions
Author Contributions
Funding
Institutional Review Board Statement
Informed Consent Statement
Data Availability Statement
Conflicts of Interest
References
- Gull, N.; Arshad, F.; Naikoo, G.A.; Hassan, I.U.; Pedram, M.Z.; Ahmad, A.; Aljabali, A.A.A.; Mishra, V.; Satija, S.; Charbe, N.; et al. Recent advances in anticancer activity of novel plant extracts and compounds from Curcuma longa in hepatocellular carcinoma. J. Gastrointest. Cancer 2023, 54, 368–390. [Google Scholar] [CrossRef] [PubMed]
- Kalyniukova, A.; Holuša, J.; Musiolek, D.; Sedlakova-Kadukova, J.; Płotka-Wasylka, J.; Andruch, V. Application of deep eutectic solvents for separation and determination of bioactive compounds in medicinal plants. Ind. Crops Prod. 2021, 172, 114047. [Google Scholar] [CrossRef]
- Sugier, D.; Sugier, P.; Jakubowicz-Gil, J.; Gawlik-Dziki, U.; Zając, A.; Król, B.; Chmiel, S.; Kończak, M.; Pięt, M.; Paduch, R. Nitrogen fertilization and solvents as factors modifying the antioxidant and anticancer potential of Arnica montana L. flower head extracts. Plants 2023, 12, 142. [Google Scholar] [CrossRef] [PubMed]
- Žitek, T.; Postružnik, V.; Knez, Ž.; Golle, A.; Dariš, B.; Marevci, M.K. Arnica montana L. supercritical extraction optimization for antibiotic and anticancer activity. Front. Bioeng. Biotechnol. 2022, 10, 897185. [Google Scholar] [CrossRef]
- Lesellier, E.; Lefebvre, T.; Destandau, E. Recent developments for the analysis and the extraction of bioactive compounds from Rosmarinus officinalis and medicinal plants of the Lamiaceae family. TrAC Trends Anal. Chem. 2021, 135, 116158. [Google Scholar] [CrossRef]
- Sugier, P.; Sęczyk, Ł.; Sugier, D.; Krawczyk, R.; Wójcik, M.; Czarnecka, J.; Okoń, S.; Plak, A. Chemical characteristics and antioxidant activity of Arctostaphylos uva-ursi L. Spreng. at the southern border of the geographical range of the species in Europe. Molecules 2021, 26, 7692. [Google Scholar] [CrossRef]
- Aiello, N.; Scartezzini, F.; Vender, C. Cultivation trial of Arnica montana wild accessions results of the second year. Acta Hortic. 2012, 955, 253–257. [Google Scholar] [CrossRef]
- Leoni, V.; Borgonovo, G.; Giupponi, L.; Bassoli, A.; Pedrali, D.; Zuccolo, M.; Rodari, A.; Giorgi, A. Comparing wild and cultivated Arnica montana L. from the Italian Alps to explore the possibility of sustainable production using local seeds. Sustainability 2021, 13, 3382. [Google Scholar] [CrossRef]
- Pljevljakušić, D.; Janković, T.; Jelačić, S.; Novaković, M.; Menković, N.; Beatović, D.; Dajić-Stevanović, Z. Morphological and chemical characterization of Arnica montana L. under different cultivation models. Ind. Crops Prod. 2014, 52, 233–244. [Google Scholar] [CrossRef]
- Kimel, K.; Krauze-Baranowska, M.; Godlewska, S.; Pobłocka-Olech, L. HPLC-DAD-ESI/MS comparison of the chemical composition of flowers from two Arnica species grown in Poland. Herba Pol. 2020, 66, 1–10. [Google Scholar] [CrossRef]
- Kriplani, P.; Guarve, K.; Baghael, U.S. Arnica montana L.—A plant of healing: Review. J. Pharm. Pharmacol. 2017, 69, 925–945. [Google Scholar] [CrossRef]
- Parafiniuk, A.; Kromer, K.; Fleszar, M.G.; Kreitschitz, A.; Wiśniewski, J.; Gamian, A. Localization of sesquiterpene lactones biosynthesis in flowers of Arnica taxa. Molecules 2023, 28, 4379. [Google Scholar] [CrossRef] [PubMed]
- Maurice, T.; Colling, G.; Muller, S.; Matthies, D. Habitat characteristics, stage structure and reproduction of colline and montane populations of the threatened species Arnica montana. Plant Ecol. 2012, 213, 831–842. [Google Scholar] [CrossRef]
- Hultén, E.; Fries, M. Atlas of North European Vascular Plants: North of the Tropic of Cancer; Koeltz Scientific Books: Königstein, Germany, 1986; Volume 1. [Google Scholar]
- Kahmen, S.; Poschlod, P. Population size, plant performance, and genetic variation in the rare plant Arnica montana L. in the Rhön, Germany. Basic Appl. Ecol. 2000, 1, 43–51. [Google Scholar] [CrossRef]
- Sugier, P.; Sugier, D.; Sozinov, O.; Kołos, A.; Wołkowycki, D.; Plak, A.; Budnyk, O. Characteristics of plant communities, population features, and edaphic conditions of Arnica montana L. populations in pine forests of mid-eastern Europe. Acta Soc. Bot. Pol. 2019, 88, 3640. [Google Scholar] [CrossRef]
- Mijani, G.A.A.; Sharifabad, H.H.; Panahi, B. Determination of optimum N and P fertilization levels for dry flower yield and essential oil percentage in autumn-grown German chamomile (Matricaria chamomilla) in Jiroft, Iran. Plant Ecophysiol. 2011, 3, 47–52. [Google Scholar]
- Skubij, N.; Dzida, K. Essential oil composition of summer savory (Satureja hortensis L.) cv. Saturn depending on nitrogen nutrition and plant development phases in raw material cultivated for industrial use. Ind. Crops Prod. 2019, 135, 260–270. [Google Scholar] [CrossRef]
- Castelo, A.V.M.; Del Menezzi, C.H.S.; Resck, I.S. Seasonal variation in the yield and the chemical composition of essential oils from two Brazilian natives arbustive species. J. Appl. Sci. 2012, 12, 753–760. [Google Scholar] [CrossRef]
- Hussain, A.I.; Anwar, F.; Hussain Sherazi, S.T.; Przybylski, R. Chemical composition, antioxidant and antimicrobial activities of basil (Ocimum basilicum L.) essential oils depends on seasonal variations. Food Chem. 2008, 108, 986–995. [Google Scholar] [CrossRef]
- Ghamarnia, H.; Bashipour, M.; Ghobadi, M.E. Evaluation at different level of irrigation on the seed yield and water use efficiency of coriander medicinal plant in a semi-arid climate. Water Irrig. Manag. 2012, 2, 15–24. [Google Scholar]
- Zutic, I.; Borosic, J.; Benko, B.; Novak, B.; Dragovic-Uzelac, V. Arnica chamissonis growing in Croatia as affected by climate and pricking. Cereal Res. Commun. 2008, 36, 287–290. [Google Scholar]
- Sugier, D.; Sugier, P.; Jakubowicz-Gil, J.; Winiarczyk, K.; Kowalski, R. Essential oil from Arnica montana L. achenes: Chemical characteristics and anticancer activity. Molecules 2019, 24, 4158. [Google Scholar] [CrossRef] [PubMed]
- Sugier, P.; Jakubowicz-Gil, J.; Sugier, D.; Kowalski, R.; Gawlik-Dziki, U.; Kołodziej, B.; Dziki, D. Chemical characteristics and anticancer activity of essential oil from Arnica montana L. rhizomes and roots. Molecules 2020, 25, 1284. [Google Scholar] [CrossRef] [PubMed]
- Gaspar, A.; Cracinescu, O.; Trif, M.; Moisei, M.; Moldovan, L. Antioxidant and anti-inflammatory properties of active compounds from Arnica montana L. Rom. Biotechnol. Lett. 2014, 19, 9353–9365. [Google Scholar]
- Jäger, C.; Hrenn, A.; Zwingmann, J.; Sute, A.; Merfort, I. Phytomedicines prepared from Arnica flowers inhibit the transcription factors AP-1 and NF-kappaB and modulate the activity of MMP1 and MMP13 in human and bovine chondrocytes. Planta Med. 2009, 75, 1319–1325. [Google Scholar] [CrossRef]
- Macêdo, S.B.; Ferreira, L.R.; Perazzo, F.F.; Tavares Carvalho, J.C. Anti-inflammatory activity of Arnica montana 6cH: Preclinical study in animals. Homeopathy 2004, 93, 84–87. [Google Scholar] [CrossRef]
- Nieto-Trujillo, A.; Cruz-uSosa, F.; Luria-Pérez, R.; Gutiérrez-Rebolledo, G.A.; Román-Guerrero, A.; Burrola-Aguilar, C.; Zepeda-Gómez, C.; Estrada-Zúñiga, M.E. Arnica montana cell culture establishment, and assessment of its cytotoxic, antibacterial, α-amylase inhibitor, and antioxidant in vitro bioactivities. Plants 2021, 10, 2300. [Google Scholar] [CrossRef]
- Balabanova, V.; Vitkova, A.; Zheleva-Dimitrova, D. Comparative study of germination and seed antioxidant activity of Arnica montana L. and Arnica chamissonis less. (Asteraceae). Proc. Bulg. Acad. Sci. 2013, 66, 1261–1268. [Google Scholar]
- Clauser, M.; Aiello, N.; Scartezzini, F.; Innocenti, G.; Dall’Acqua, S. Differences in the chemical composition of Arnica montana flowers from wild populations of north Italy. Nat. Prod. Commun. 2014, 9, 1934578X1400900102. [Google Scholar] [CrossRef]
- Duthen, S.; Gadéa, A.; Trempat, P.; Boujedaini, N.; Fabre, N. Comparison of the phytochemical variation of non-volatile metabolites within mother tinctures of Arnica montana prepared from fresh and dried whole plant using UHPLC-HRMS fingerprinting and chemometric analysis. Molecules 2022, 27, 2737. [Google Scholar] [CrossRef]
- Sugier, P.; Sęczyk, Ł.; Sugier, D. Variation in population and solvents as factors determining the chemical composition and antioxidant potential of Arctostaphylos uva-ursi (L.) Spreng. leaf extracts. Molecules 2022, 27, 2247. [Google Scholar] [CrossRef] [PubMed]
- Polish Pharmacopoeia VIII; The Republic of Poland, The Minister of Health: Warsaw, Poland, 2008.
- Jakubowicz-Gil, J.; Bądziul, D.; Langner, E.; Wertel, I.; Zając, A.; Rzeski, W. Temozolomide and sorafenib as programmed cell death inducers of human glioma cells. Pharmacol. Rep. 2017, 69, 779–787. [Google Scholar] [CrossRef] [PubMed]
- Kovach, W. MVSP—A Multivariate Statistical Package for Windows. Ver. 3.1; Kovach Computing Services: Anglesey, UK, 1999. [Google Scholar]
- Dall’Acqua, S.; Innocenti, G.; Ferretti, V.; Aiello, N.; Scartezzini, F.; Vender, C. Qualiquantitavive analysis of Arnica montana wild accessions compared in field, results of the second year. Acta Hort. 2012, 955, 325–327. [Google Scholar] [CrossRef]
- Seemann, A.; Wallner, T.; Poschold, P.; Heilmann, J. Variation of sesquiterpene lactone content in different Arnica montana populations: Influence of ecological parameters. Planta Med. 2010, 76, 837–842. [Google Scholar] [CrossRef] [PubMed]
- Douglas, J.A.; Smallfield, B.M.; Burgess, E.J.; Perry, N.B.; Anderson, R.E.; Douglas, M.H.; Glennie, V.A. Sesquiterpene lactones in Arnica montana, a rapid analytical method and the effects of flower maturity and simulated mechanical harvesting on quality and yield. Planta Med. 2004, 70, 166–170. [Google Scholar] [PubMed]
- Padilla-Gonzalez, G.F.; dos Santos, F.A.; Da Costa, F.B. Sesquiterpene Lactones: More Than Protective Plant Compounds with High Toxicity. Crit. Rev. Plant Sci. 2016, 35, 18–37. [Google Scholar] [CrossRef]
- Ristić, M.; Krivokuća-Dokić, D.; Radanović, D.; Nastovska, T. Essential oil of Arnica montana and Arnica chamissonis. Hem. Ind. 2007, 61, 272–277. [Google Scholar] [CrossRef]
- Judžentienė, A.; Būdienė, J. Analysis of the chemical composition of flower essential oils from Arnica montana of Lithuanian origin. Chemija 2009, 20, 190–194. [Google Scholar]
- Pljevljakušić, D.; Rančić, D.; Ristić, M.; Vujisić, L.; Radanović, D.; Dajić-Stevanović, Z. Rhizome and root yield of the cultivated Arnica montana L.: Chemical composition and histochemical localization of essential oil. Ind. Crops Prod. 2012, 39, 177–189. [Google Scholar] [CrossRef]
- Flórez-Fernández, N.; Ferreira-Anta, T.; Torres, M.D.; Domínguez, H. Valorization of Arnica montana wastes after extraction of the ethanol tincture: Application in polymer-based matrices. Polymers 2021, 13, 3121. [Google Scholar] [CrossRef]
- Zheleva-Dimitrova, D.; Balabanova, V.; Gevrenova, R.; Doichinova, I.; Vitkova, A. Chemometrics-based approach in analysis of Arnicae flos. Pharmacogn. Mag. 2015, 11, 538–544. [Google Scholar]
- Usui, K.; Ikeda, T.; Horibe, Y.; Nakao, M.; Hoshino, T.; Mizushima, T. Identification of HSP70-inducing activity in Arnica montana extract and purification and characterization of HSP70-inducers. J. Dermatol. Sci. 2015, 78, 67–75. [Google Scholar] [CrossRef] [PubMed]
- Agostini-Costa, T.S.; Teodoro, A.F.P.; Alves, R.B.N.; Braga, L.R.; Ribeiro, I.F.; Silva, J.P.; Quintana, L.G.; Burle, M.L. Total phenolics, flavonoids, tannins and antioxidant activity of lima beans conserved in a Brazilian Genebank. Cienc. Rural 2015, 45, 335–341. [Google Scholar] [CrossRef]
- Orak, H.H.; Karamac, M.; Orak, A.; Amarowicz, R. Antioxidant potential and phenolic compounds of some widely consumed Turkish white bean (Phaseolus vulgaris L.) varieties. Pol. J. Food Nutr. Sci. 2016, 66, 253–260. [Google Scholar] [CrossRef]
- Rauf, A.; Imran, M.; Khan, I.A.; Ur-Rehman, M.; Gilani, S.A.; Mehmood, Z.; Mubarak, M.S. Anticancer potential of quercetin: A comprehensive review. Phytother. Res. 2018, 32, 2109–2130. [Google Scholar] [CrossRef]
- Reyes-Farias, M.; Carrasco-Pozo, C. The anti-cancer effect of quercetin: Molecular implications in cancer metabolism. Int. J. Mol. Sci. 2019, 20, 3177. [Google Scholar] [CrossRef]
- Basu, N.; Narad, P.; Guptasarma, M.L.; Tandon, C.; Das, B.C.; Tandon, S. Computational and in vitro approaches to elucidate the anti-cancer effects of Arnica montana in hormone-dependent breast cancer. Homeopath. J. Fac. Homeopath. 2022, 111, 288–300. [Google Scholar] [CrossRef]
- Ganzera, M.; Egger, C.; Zidorn, C.; Stuppner, H. Quantitative analysis of flavonoids and phenolic acids in Arnica montana L. by micellar electrokinetic capillary chromatography. Anal. Chim. Acta 2008, 614, 196–200. [Google Scholar] [CrossRef]







| Stages of Development | SLs | Fs | EOs |
|---|---|---|---|
| Yellow buds | 1.036 a ± 0.023 | 0.496 b ± 0.008 | 0.256 b ± 0.003 |
| Beginning of flowering | 1.225 b ± 0.021 | 0.615 c ± 0.005 | 0.288 c ± 0.002 |
| Full flowering | 1.353 c ± 0.019 | 0.689 d ± 0.013 | 0.293 d ± 0.001 |
| End of flowering | 1.362 c ± 0.023 | 0.422 a ± 0.006 | 0.194 a ± 0.001 |
| Cell Line | HeLa | HT29 | SW620 | |||
|---|---|---|---|---|---|---|
| Apoptosis | Necrosis | Apoptosis | Necrosis | Apoptosis | Necrosis | |
| DS | F = 1.74 | F = 4.07 | F = 78.60 | F = 182.01 | F = 6.52 | F = 66.80 |
| p = 0.171 | p < 0.05 | p < 0.001 | p < 0.001 | p < 0.001 | p < 0.001 | |
| S | F = 4.83 | F = 106.91 | F = 38.97 | F = 18.98 | F = 107.43 | F = 1130.70 |
| p < 0.05 | p < 0.001 | p < 0.001 | p < 0.001 | p < 0.001 | p < 0.001 | |
| C | F = 404.93 | F = 763.89 | F = 403.73 | F = 816.05 | F = 25.86 | F = 1315.42 |
| p < 0.001 | p < 0.001 | p < 0.001 | p < 0.001 | p < 0.001 | p < 0.001 | |
| DS × S | F = 0.84 | F = 4.38 | F = 2.50 | F = 7.95 | F = 7.93 | F = 89.80 |
| p = 0.479 | p < 0.01 | p = 0.071 | p < 0.001 | p < 0.001 | p < 0.001 | |
| DS × C | F = 3.31 | F = 5.09 | F = 25.47 | F = 189.35 | F = 7.30 | F = 85.84 |
| p < 0.01 | p < 0.001 | p < 0.001 | p < 0.001 | p < 0.001 | p < 0.001 | |
| S × C | F = 14.65 | F = 110.20 | F = 22.57 | F = 20.84 | F = 27.34 | F = 299.36 |
| p < 0.001 | p < 0.001 | p < 0.001 | p < 0.001 | p < 0.001 | p < 0.001 | |
| DS × S × C | F = 0.70 | F = 3.13 | F = 1.04 | F = 7.36 | F = 8.34 | F = 71.19 |
| p = 0.654 | p < 0.05 | p = 0.413 | p < 0.001 | p < 0.001 | p < 0.001 | |
Disclaimer/Publisher’s Note: The statements, opinions and data contained in all publications are solely those of the individual author(s) and contributor(s) and not of MDPI and/or the editor(s). MDPI and/or the editor(s) disclaim responsibility for any injury to people or property resulting from any ideas, methods, instructions or products referred to in the content. |
© 2023 by the authors. Licensee MDPI, Basel, Switzerland. This article is an open access article distributed under the terms and conditions of the Creative Commons Attribution (CC BY) license (https://creativecommons.org/licenses/by/4.0/).
Share and Cite
Sugier, P.; Jakubowicz-Gil, J.; Sugier, D.; Sęczyk, Ł.; Zając, A.; Pięt, M.; Paduch, R. Stages of Development and Solvents Determine the Anticancer Potential of Mountain Arnica (Arnica montana L.) Inflorescence Extracts. Appl. Sci. 2023, 13, 12976. https://doi.org/10.3390/app132412976
Sugier P, Jakubowicz-Gil J, Sugier D, Sęczyk Ł, Zając A, Pięt M, Paduch R. Stages of Development and Solvents Determine the Anticancer Potential of Mountain Arnica (Arnica montana L.) Inflorescence Extracts. Applied Sciences. 2023; 13(24):12976. https://doi.org/10.3390/app132412976
Chicago/Turabian StyleSugier, Piotr, Joanna Jakubowicz-Gil, Danuta Sugier, Łukasz Sęczyk, Adrian Zając, Mateusz Pięt, and Roman Paduch. 2023. "Stages of Development and Solvents Determine the Anticancer Potential of Mountain Arnica (Arnica montana L.) Inflorescence Extracts" Applied Sciences 13, no. 24: 12976. https://doi.org/10.3390/app132412976
APA StyleSugier, P., Jakubowicz-Gil, J., Sugier, D., Sęczyk, Ł., Zając, A., Pięt, M., & Paduch, R. (2023). Stages of Development and Solvents Determine the Anticancer Potential of Mountain Arnica (Arnica montana L.) Inflorescence Extracts. Applied Sciences, 13(24), 12976. https://doi.org/10.3390/app132412976

