A Traffic Equilibrium Model for Multi-Modal Networks with Uncertain Demands
Abstract
:1. Introduction
2. Notations and Network Representation
2.1. Notation
- multi-modal transport network: ;
- set of physical nodes: ;
- set of physical links: ;
- set of transport modes;
- individual transport mode, ;
- set of bus lines of transport mode bus;
- individual bus line: ;
- set of travel modes;
- individual travel modes: ;
- set of routes between the origin and destination node pair w: ;
- set of routes in travel mode m between pair w: ;
- travel demands between pair w;
- the proportion of passengers for travel mode m in pair w: ;
- super network: ;
- set of nodes: ;
- set of links: ;
- passenger flow on link l;
- passenger flow of transport mode i on physical link l;
- passenger flow of route p between pair w;
- travel cost of link l;
- travel cost of route p between pair w;
- incidence relationship between link and route; if link is on route, , and otherwise it is 0;
- travel time of link l;
- travel time of transport mode i on physical link l;
- travel time on transfer link l;
- travel time on network access link l;
- travel time on network departure link l;
- crowd discomfort of link l;
- crowd discomfort of transport mode i on physical link l;
- crowd discomfort on transfer link l;
- crowd discomfort on network access link l;
- crowd discomfort on network departure link l;
- travel fare of link l;
- travel fare of transport mode i on physical link l;
- travel fare on transfer link l;
- travel fare on network access link l;
- travel fare on network departure link l;
- coefficient for travel time;
- coefficient for crowd discomfort;
- coefficient for travel fare;
- free-flow travel time for transport mode i on physical link l;
- walking time for transfer to transport mode i on transfer link l;
- waiting time for transfer to transport mode i on transfer link l;
- crowd discomfort of transport mode i per time unit;
- crowd discomfort for transfer per time unit;
- travel fare of mode i per distance unit;
- travel fare for transfer;
- length of link l;
- road capacity for transport mode 1 (non-motor vehicles) on physical link l;
- road capacity for transport modes 2 and 4 (motor vehicles) on physical link l;
- modal parameters of travel time function;
- modal parameters of crowd discomfort function;
- crowd discomfort-time conversion coefficient;
- travel fare-time conversion coefficient;
- passenger equivalents for transport mode 2 (bus);
- passenger equivalents for transport mode 4 (car);
- number of seats of bus j;
- passenger capacity of bus j;
- effective travel cost (ETC);
- travel cost budget (TCB);
- expected free-flow travel cost of routes in travel mode m for pair w;
- deviation value;
- ETC of minimum route in travel mode m for pair w;
- parameter of on travel utility perception variation.
2.2. Multi-Modal Transport Network
3. Generalized Travel Cost Function
3.1. Physical Links
3.1.1. Transport Mode 1 (Bicycle)
3.1.2. Transport Mode 2 (Bus)
3.1.3. Transport Mode 3 (Subway)
3.1.4. Transport Mode 4 (Car)
3.2. Transfer Links
3.3. Network Access and Departure Links
4. Effective Travel Cost (ETC) and Traffic Equilibrium Model
4.1. Effective Travel Cost
4.2. Variational Inequality Formulation
5. Solution Algorithm
- Initialization. Find all viable hyperpaths between OD pairs using a graph traversal algorithm; based on the free-flow route travel cost, perform an initial loading procedure according to Equations (27) and (28) to obtain link flows and then set .
- Update. Use the interval link flows to calculate the route interval travel cost and the route ETC using interval mathematics.
- Direction. Apply the loading process according to Equations (27) and (28) using to obtain an auxiliary link flow pattern .
- Move. Calculate the new link flow using an MSA scheme:
- Convergence criterion. Set an acceptable convergence level e, and calculate the equilibrium coefficient E. Ifstop; otherwise, set , and return to Step 2.
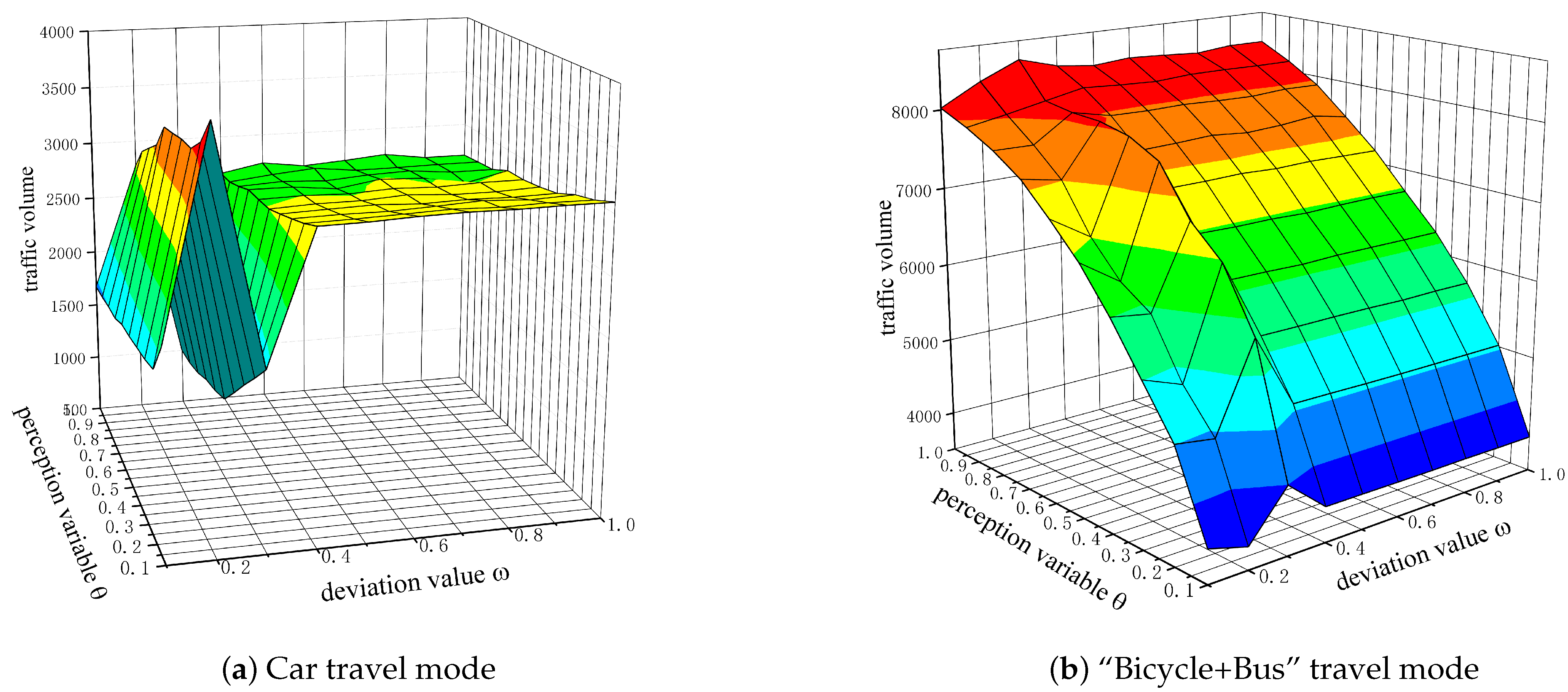
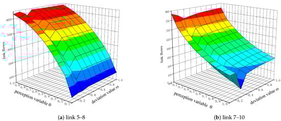
6. Numerical Example
7. Conclusions
Author Contributions
Funding
Institutional Review Board Statement
Informed Consent Statement
Data Availability Statement
Conflicts of Interest
References
- Fernandez, E.; De-Cea, J.; Florian, M.; Cabrera, E. Network equilibrium models with combined modes. Transp. Sci. 1994, 28, 182–192. [Google Scholar] [CrossRef]
- Wu, Z.X.; Lam, W. A combined modal split and stochastic assignment model for congested networks with motorized and non-motorized modes. Transp. Res. Rec. 2003, 1831, 57–64. [Google Scholar] [CrossRef]
- Lo, H.K.; Yip, C.W.; Wan, Q.K. Modeling competitive multi-modal transit services: A nested logit approach. Transp. Res. Part C 2004, 12, 251–271. [Google Scholar] [CrossRef]
- Meng, Q.; Liu, Z. Impact analysis of cordon-based congestion pricingon mode-split for a bimodal transportation network. Transp. Res. Part C 2012, 21, 134–147. [Google Scholar] [CrossRef]
- Kitthamkesorn, S.; Chen, A.; Xu, X.; Ryu, S. Modeling mode and route similarities in network equilibrium problem with go-green modes. Netw. Spat. Econ. 2016, 16, 33–60. [Google Scholar] [CrossRef]
- Wang, J.; Peeta, S.; He, X.; Zhao, J. Combined multinomial logit modal split and paired combinatorial logit traffic assignment model. Transp. A 2018, 14, 737–760. [Google Scholar] [CrossRef]
- Wang, G.; Chen, A.; Kitthamkesorn, S.; Ryu, S.; Qi, H.; Song, Z.; Song, J. A multi-modal network equilibrium model with captive mode choice and path size logit route choice. Transp. Res. Part A Policy Pract. 2020, 136, 293–317. [Google Scholar] [CrossRef]
- Lo, H.K.; Luo, X.W.; Siu, B.W. Degradable Transport Network: Travel Time Budget of Travellers with Heterogeneous Risk Aversion. Transp. Res. Part B 2006, 40, 792–806. [Google Scholar] [CrossRef]
- Shao, H.; Lam, W.H.; Meng, Q.; Tam, M.L. Demand-driven Traffic Assignment Problem Based on Travel Time Reliability. Transp. Res. Rec. 2006, 1985, 220–230. [Google Scholar] [CrossRef]
- Shao, H.; Lam, W.; Mei, L.T. A reliability-based Stochastic Traffic Assignment Model for Network with Multiple User Classes under Uncertainty in Demand. Netw. Spat. Econ. 2006, 6, 173–204. [Google Scholar] [CrossRef]
- Siu, B.W.Y.; Lo, H.K. Doubly Uncertain Transportation Network: Degradable Capacity and Stochastic Deman. Eur. J. Oper. Res. 2008, 191, 166–181. [Google Scholar] [CrossRef]
- Systematics, C.; Texas, I. Providing a Highway System with Reliable Travel Times; Transportation Institute, University of Washington, Dowling Associates NCHRP Report No. 20–58; Transportation Research Board, National Research Council: Washington, DC, USA, 2003. [Google Scholar]
- Watling, D. User Equilibrium Traffic Network Assignment with Stochastic Travel Times and Late Arrival Penalty. Eur. J. Oper. Res. 2006, 175, 1539–1556. [Google Scholar] [CrossRef]
- Chen, A.; Zhou, Z. The -reliable Mean-excess Traffic Equilibrium Model with Stochastic Travel Times. Transp. Res. Part B Methodol. 2010, 44, 493–513. [Google Scholar] [CrossRef]
- Lu, B.; Pu, Y.; Liu, H.X. Budget-excess User Equilibrium Model Under Uncertain Supply and Uncertain Demand. China J. Highw. Transp. 2012, 25, 113–120. [Google Scholar]
- Zhang, C.; Chen, X.-J.; Sumalee, A. Robust Wardrop’s User Equilibrium Assignment under Stochastic Demand and Supply: Expected Residual Minimization Approach. Transp. Res. Part B Methodol. 2011, 45, 534–552. [Google Scholar] [CrossRef]
- Xu, M.; Cheng, P.; Wang, M. A New Model for Robust Wardrop’s User Equilibrium under Uncertainties. In Proceedings of the 2011 International Conference on Electronic & Mechanical Engineering and Information Technology, Harbin, China, 12–14 August 2011; pp. 1297–1300. [Google Scholar]
- Wei, H.-Z.; Chen, C.-R.; Wu, B.-W. Vector Network Equilibrium Problems with Uncertain Demands and Capacity Constraints of Arc. Optim. Lett. 2021, 15, 1113–1131. [Google Scholar] [CrossRef]
- Sheffi, Y. Urban Transportation Network: Equilibrium Analysis with Mathematical Programming Methods; Prentice-Hall: Englewood Cliffs, NJ, USA, 1985. [Google Scholar]
- Moore, R.E. Interval Analysis; Prentice-Hall: Englewood Cliffs, NJ, USA, 1996. [Google Scholar]
- Moore, R.E. Methods and Applications of Interval Analysis; SIAM: Philadelphia, PA, USA, 1979. [Google Scholar]
- Liu, H.; He, X.; He, B. Method of Successive Weighted Averages (MSWA) and Self-Regulated Averaging Schemes for Solving Stochastic User Equilibrium Problem. Netw. Spat. Econ. 2009, 9, 485–503. [Google Scholar] [CrossRef]
- Meng, M.; Shao, C.F.; Zeng, J.J.; Zhang, J. Multi-modal traffic equilibrium model and algorithm with combined modes. J. Jilin Univ. 2014, 44, 47–53. [Google Scholar]






| 0.4 | 0.15 | 4 | 0.02 | 1.8 | 0.5 | 0.3 | 0.2 | 0.5 | 0.5 |
| f | g | ||||||||
| 0.5 | 0.05 | 0.6 | 0.5 | 0.2 | 0.1 | 0.15 | 0.15 | 0.1 | 0.2 |
| 0.8 | 2 |
| Link node | 1–2 | 1–4 | 1–5 | 2–3 | 2–5 | 3–6 | 4–5 | 4–7 | 5–6 | 5–8 |
| Length/km | 2 | 1 | 5 | 2 | 2 | 3 | 1 | 2 | 1 | 3 |
| Link node | 5–9 | 6–9 | 7–8 | 7–10 | 8–9 | 8–11 | 9–12 | 10–11 | 11–12 | |
| Length/km | 6 | 1 | 3 | 8 | 2 | 7 | 6 | 4 | 3 |
| Link Node | Free-Flow Travel Time (min) | Capacity | |||
|---|---|---|---|---|---|
| Bicycle | Bus | Auto | Bus and Auto | Bike | |
| 1–2 | 10 | 2 | 3 | 650 | 200 |
| 1–4 | 5 | 2 | 2 | 800 | 250 |
| 1–5 | – | – | – | – | – |
| 2–3 | 10 | 4 | 3 | 600 | 200 |
| 2–5 | 10 | 4 | 2 | 1000 | 400 |
| 3–6 | 15 | 6 | 4 | 900 | 300 |
| 4–5 | 5 | 2 | 2 | 750 | 200 |
| 4–7 | 10 | 4 | 3 | 750 | 300 |
| 5–6 | 5 | 2 | 2 | 700 | 200 |
| 5–8 | 15 | 6 | 3 | 1400 | 400 |
| 5–9 | – | – | – | – | – |
| 6–9 | 5 | 2 | 1 | 700 | 300 |
| 7–8 | 15 | 6 | 4 | 800 | 200 |
| 7–10 | 40 | 16 | 10 | 800 | 300 |
| 8–9 | 10 | 4 | 2 | 800 | 200 |
| 8–11 | 35 | 14 | 8 | 1200 | 400 |
| 9–12 | 30 | 12 | 7 | 850 | 350 |
| 10–11 | 20 | 8 | 5 | 750 | 250 |
| 11–12 | 15 | 6 | 4 | 650 | 250 |
| Link node | 1–5 | 5–9 |
| Travel time (min) | 4 | 6 |
| Link Node | Bus Line | Subway Line | Frequency (min) | Seat Number | Vehicle Capacity (Passengers/Vehicle) |
|---|---|---|---|---|---|
| 1–2 | 1 | – | 6 | 29 | 50 |
| 2–3 | 1 | – | 6 | 29 | 50 |
| 3–6 | 1 | – | 6 | 29 | 50 |
| 6–9 | 1 | – | 6 | 29 | 50 |
| 2–5 | 2 | – | 10 | 39 | 70 |
| 5–8 | 2 | – | 10 | 39 | 70 |
| 8–11 | 2 | – | 10 | 39 | 70 |
| 4–7 | 3 | – | 15 | 59 | 90 |
| 7–10 | 3 | – | 15 | 59 | 90 |
| 10–11 | 3 | – | 8 | 59 | 90 |
| 11–12 | 3 | – | 8 | 59 | 90 |
| 1–5 | – | 1 | 3 | – | – |
| 5–9 | – | 1 | 3 | – | – |
| Pair | Travel Mode | Mode Splits (Passengers ) | |
|---|---|---|---|
| ETC | TEM | ||
| Bicycle | [0, 0.01] | [0, 0.01] | |
| Bus | [3338.52, 3689.43] | [2121.24, 2344.51] | |
| Subway | [27.05, 30.96] | [23.65, 26.14] | |
| Auto | [1605.41, 1774.02] | [1011.42, 1179.13] | |
| Bicycle + Bus | [419.47, 463.68] | [631.12, 697.55] | |
| Bicycle + Subway | [14.69, 16.83] | [12.62, 13.95] | |
| Bicycle | [0, 0.01] | [0, 0] | |
| Bus | [821.42, 907.88] | [1156.34, 1278.06] | |
| Auto | [1751.08, 1935.38] | [1750.91, 1935.28] | |
| Bicycle + Bus | [5426.27, 5998.56] | [5316.83, 5876.52] | |
| Bicycle + Subway | [0, 0] | [0, 0] | |
| Bus + Subway | [1498.45, 1656.64] | [1276.02, 1410.31] | |
| Link | Link Flow (Passengers ) | |
|---|---|---|
| ETC | TEM | |
| 1–2 | [2049.17, 2265.59] | [2223.92, 2457.96] |
| 1–4 | [3517.86, 3888.92] | [3146.09, 3477.12] |
| 1–5 | [7353.04, 8127.42] | [0, 0.01] |
| 2–3 | [432.06, 478.92] | [563.79, 623,14] |
| 2–5 | [6536.21, 7225.84] | [6362.74, 7032.41] |
| 3–6 | [432.07, 479.92] | [563.79, 623.14] |
| 4–5 | [433.56, 479,19] | [284.59, 314.55] |
| 4–7 | [1117.16, 1235.90] | [2637.51, 2915.13] |
| 5–6 | [1038.07, 1147.86] | [1104.21, 1220.54] |
| 5–8 | [6051.15, 6687.53] | [5999.93, 6631.54] |
| 5–9 | [9.73, 10.96] | [12.56, 13.88] |
| 6–9 | [1471.41, 1626.09] | [1668.03, 1843.62] |
| 7–8 | [626.08, 692.52] | [2169.91, 2398.34] |
| 7–10 | [612.59, 677.71] | [619.10, 684.27] |
| 8–9 | [1239.67, 1369.02] | [2866.21, 3167.91] |
| 8–11 | [5403.52, 5972.08] | [5303.74, 5861.92] |
| 9–12 | [1157.31, 1279.18] | [1157.61, 1279.51] |
| 10–11 | [612.59, 677.71] | [619.10, 684.27] |
| 11–12 | [6016.12, 6649.71] | [5922.81, 6546.22] |
Disclaimer/Publisher’s Note: The statements, opinions and data contained in all publications are solely those of the individual author(s) and contributor(s) and not of MDPI and/or the editor(s). MDPI and/or the editor(s) disclaim responsibility for any injury to people or property resulting from any ideas, methods, instructions or products referred to in the content. |
© 2023 by the authors. Licensee MDPI, Basel, Switzerland. This article is an open access article distributed under the terms and conditions of the Creative Commons Attribution (CC BY) license (https://creativecommons.org/licenses/by/4.0/).
Share and Cite
Zhang, X.; Xu, Y.; Lai, K.-K.; Li, X.; Yang, S. A Traffic Equilibrium Model for Multi-Modal Networks with Uncertain Demands. Appl. Sci. 2023, 13, 12841. https://doi.org/10.3390/app132312841
Zhang X, Xu Y, Lai K-K, Li X, Yang S. A Traffic Equilibrium Model for Multi-Modal Networks with Uncertain Demands. Applied Sciences. 2023; 13(23):12841. https://doi.org/10.3390/app132312841
Chicago/Turabian StyleZhang, Xin, Yang Xu, Kin-Keung Lai, Xiaodong Li, and Shuang Yang. 2023. "A Traffic Equilibrium Model for Multi-Modal Networks with Uncertain Demands" Applied Sciences 13, no. 23: 12841. https://doi.org/10.3390/app132312841
APA StyleZhang, X., Xu, Y., Lai, K.-K., Li, X., & Yang, S. (2023). A Traffic Equilibrium Model for Multi-Modal Networks with Uncertain Demands. Applied Sciences, 13(23), 12841. https://doi.org/10.3390/app132312841

