Abstract
With the widespread application of multi-axis machining in the industrial manufacturing, aerospace, and military equipment sectors, the demand for machining ultra-precision components has been steadily increasing. Contour errors directly impact the quality of machined parts. In conventional multi-axis motion control systems based on cross-coupling, it is conventionally assumed that all individual axes are of equal significance during machine processing. However, in practical machining scenarios, diverse machining trajectories and accuracy requirements give rise to distinct control necessities for each axis. This complication leads to challenges in ensuring a consistent single-plane contour, thereby constraining the elevation of the overall contour accuracy. To address this issue, this study proposes a multi-axis contour error suppression method based on composite hierarchical control. The approach advocated in this paper initially ensures the precision of single-axis position control through the development of an advanced S-shaped function-based sliding-mode disturbance observer. Building on this foundation, the three-dimensional spatial contour is segregated into upper and lower layers. Subsequently, dedicated fuzzy PID cross-coupling controllers are devised for each layer. The experimental outcomes substantiate that in comparison to conventional cross-coupling control methods, the method introduced in this study, rooted in composite hierarchical control, not only guarantees the accuracy of single-plane contours but also further enhances the overall contour precision.
1. Introduction
When it comes to contour error suppression in multi-axis high-precision servo control systems, our considerations extend beyond merely optimizing the system’s performance. We are contemplating its broader role in industrial automation, advanced manufacturing, and digital production. In the industrial landscape, the development and application of equipment such as CNC machining tools, multi-DOF robotic arms, and precision optical instruments [1,2,3,4,5] have consistently driven technological progress in manufacturing. The efficiency, precision, and reliability of these devices are pivotal for the industry’s advancement, and the effective suppression of contour errors directly impacts product quality, production efficiency, and the overall manufacturing process optimization. By effectively reducing contour errors, we can enhance product accuracy and quality and decrease waste, thereby saving costs and enhancing competitiveness. This holds significant implications across various industries, including aerospace, automotive manufacturing, and medical devices, among others. Moreover, with the evolution of Industry 4.0 and smart manufacturing, multi-axis high-precision servo control systems play an increasingly crucial role in factory automation and digitalized production. Optimizing contour error suppression algorithms is not just about enhancing product quality; it is a pivotal driver of smart manufacturing.
In multi-axis servo motion systems, the accuracy of single-axis positioning and the synergy between axes are closely related to the overall contour accuracy. Before suppressing the general spatial contour error, it is necessary to ensure the positioning accuracy of each axis and then consider the dynamic characteristics and parameter matching issues between axes [6,7]. In recent years, scholars have conducted extensive research on the accuracy of single-axis positioning, such as feedforward control [8,9], active disturbance rejection control [10], adaptive control [11], etc. In the literature, although the positioning accuracy of each axis has been improved by designing a single-axis controller, we know that the contour error accuracy in multi-axis servo control systems is not only affected by the single-axis control accuracy but also by the dynamic matching characteristics between each axis, which affect each other and thus affect the overall contour accuracy [12]. More than simply improving the accuracy of single-axis positioning is required to enhance the contour accuracy further. Therefore, Koren proposed the cross-coupled control (CCC) method in 1991 [13]. In CCC, contour error estimation is based on the spatial geometric relationship between single-axis tracking error and contour, and then allocation compensation is carried out through the cross-coupled controller. The CCC method is considered the most effective control method to reduce contour error and is often used in combination with other control methods, such as adaptive control [14], sliding-mode control [15], predictive control [16], iterative learning control [17], repetitive learning control [18], etc.
Among them, sliding-mode control [19,20] has become a research hotspot amongst the current control methods because of its insensitivity to system model parameter perturbation and its strong robustness, and it is suitable for use in complex and strongly nonlinear multi-axis control systems. Examples of sliding-mode control applications in motors can be found in references [21,22,23] and others. However, sliding-mode control is not flawless. Due to the presence of the sign switch function, traditional sliding-mode control generates high-frequency chatter when the controlled state approaches the stable point of the system in practical use. Therefore, scholars of sliding-mode control have proposed many improved methods to suppress chatter, such as the reaching law [24], the high-order sliding-mode method [25], and the non-singular terminal sliding mode [26]. To eliminate the influence of external disturbance and ensure the stability and robustness of the system, this sliding-mode control paper must set the switch gain to be relatively large, and the increase in the switch gain will lead to severe flutter, so the design of the switch gain must change with the change in the external disturbance to obtain a minimum gain that can suppress disturbance. However, in practical applications, it is challenging to determine the upper and lower bounds of external uncertainty disturbances, and even if the type of disturbance can be fully understood, the switch gain cannot be adjusted in real time. Therefore, while improving the sliding-mode approach law, a disturbance observer is introduced to estimate and compensate for uncertain external disturbances, thereby improving the accuracy of single-axis positioning while suppressing flutter phenomena. Based on enhancing the sliding-mode disturbance observation controller, the position error information of each axis is introduced into the cross-coupling controller, and mutual correction is carried out through contour error compensation to reduce the contour error caused by the independent information of each axis.
In the above literature, although the single-axis positioning accuracy has been improved, the inter-axis collaborative motion error has yet to be considered. Koren [13] first proposed the CCC control method in a paper in 1980, and its effectiveness was experimentally demonstrated in a dual-axis control system. The essence of CCC comprises two parts: contour error estimation and contour error suppression. Therefore, it has received extensive research from scholars in contour error suppression algorithms. For example, P.R. Ouyang et al. [27] proposed a PID cross-coupling control method based on the position domain, which utilizes the advantage that the reference axis in position domain control does not affect the overall contour error of the system, not only improving the system contour accuracy but also strengthening the robustness of the controller. Zhao H [28] et al. proposed a control strategy that combines feedforward, feedback, and CCC controllers, and they used a second-order estimation method for contour error estimation. Finally, the ability of this method to reduce contour error was verified on a three-axis experimental platform, which was superior to traditional CCC. Wu J [29] et al. proposed a type of iterative learning CCC algorithm for biaxial systems and selected a contour error model based on an algebraic equation. The experimental results show that the more the algorithm cycles, the better the contour error suppression effect.
In recent years, there have been several outstanding papers on contour error suppression. A study by Yeh [30] et al. delves into the precise motion of feed drive axes, employing an in-depth analysis of helical contour movements. They propose an iterative-learning-based contour error suppression method based on helical cycles, significantly enhancing the accuracy of thread manufacturing. However, a notable drawback lies in the increased computational load due to the inclusion of iterative learning methods. On the other hand, Chen S Y [31] et al. present a method combining two-degree-of-freedom PID and compensators, minimizing tracking errors for each axis and simultaneously reducing dual-axis contour errors. Nevertheless, this paper overlooks the complexity of control design issues and fails to address contour error problems within a specific single plane in spatial contours.
In today’s research on contour error control, most papers focus on controller designs aimed at enhancing overall contour precision. There is a common assumption that individual axes in machine tool processing are of equal significance. However, in actual machining processes, the coupling relationships between axes vary, and the contour precision differs across different planes when facing diverse accuracy requirements. Therefore, this paper proposes a multi-axis contour error suppression method based on composite layered control. While ensuring the accuracy of single-axis positioning, the 3D spatial machining contour is divided into upper and lower layers. After layering, different controller designs can be used for different contour layers. For the creation of a fuzzy PID controller for the XY lower contour, compared to traditional PID control methods, a fuzzy PID controller can adjust the three control parameters of the PID in real-time to cope with complex and strongly nonlinear multi-axis linkage servo control systems. Designing a simple and direct proportional controller for the upper contour further improves the overall contour accuracy. Because the hierarchical control method has certain analogies in multi-axis systems, the design method of composite hierarchical controllers can be further extended to six-axis or even seven-axis servo motion control systems. The composite layered controller design method dramatically improves the flexibility of controller design. For the planning and accuracy requirements of different trajectories in actual machining processes, different controller combinations can be designed to meet performance indicators. Moreover, the design of XY lower-level dual-axis controllers has been studied by a large number of scholars, and the contour error compensation methods for dual-axis control systems have become mature, which is more conducive to the controller design of multi-axis and multi-layer systems.
In summary, the contour layered control method is of great significance for improving the machining accuracy of multi-axis CNC machining machines. In response to such problems, this paper designs a sliding-mode disturbance observation controller based on an improved S-type function, which improves the accuracy of single-axis positioning while suppressing the generation of tremors. Based on this, a composite layered cross-coupling controller design is proposed, which designs different controllers for different layers. The overall contour accuracy is further improved by improving the accuracy of a single plane contour. Finally, the effectiveness of the proposed method is verified through experiments.
2. Design of a Single-Axis Controller Based on Sliding-Mode Disturbance Observer
This section analyzes and studies the stability and tracking error of single-axis servo control and proposes a single-axis controller based on an improved S-type function sliding-mode disturbance observer. It can effectively improve the dynamic response performance, steady-state performance, robustness, and chatter phenomenon generated during the control process of the servo control system, thereby reducing the motion error of each servo axis and improving motion stability.
2.1. Traditional Sliding-Mode Control (SMC)
2.1.1. Introduction to Traditional SMC
SMC is a nonlinear control method with a variable structure, which refers to the controller’s output changing according to the system’s current state, causing the state vector to move along the designed state trajectory. In Figure 1, the AB part is in the approaching stage, where the state outside the sliding surface will continuously approach the sliding surface and reach the sliding surface within a limited time. The BC part is in the sliding stage, where the system state moves along the designed sliding surface to the equilibrium point O. Therefore, the design of sliding-mode controller includes the selection of sliding surface and the design of the reaching law. The design of these two parts is independent of the parameters of the controlled system and external disturbances; therefore, SMC has strong robustness.
Figure 1.
State trajectory of SMC system.
2.1.2. Analysis of Traditional SMC Reaching Law Problems
Here, a three-axis motion platform driven by a permanent magnet synchronous linear motor (PMLSM) is used as the control object, and the motor position, , and motor speed, , are selected as the system state variables. The system model of the three-axis motion platform driven by a PMLSM can be expressed using the following differential equations:
where , , , and are the motor thrust coefficient and electromagnetic thrust coefficient of the PMLSM, respectively, and is the external disturbance. The differential sliding surface is selected as shown in Equation (2), which can ensure the asymptotic stability of the sliding mode [32], and its asymptotic convergence rate is related to the value of .
where , and and are the reference position and actual position of the motor, respectively.
The reaching law is selected as the classical exponential-reaching law (ERL), proposed and designed by academician Gao Bing [33], which can be expressed as:
where is the constant-velocity-reaching term, is the exponential-reaching term, and is the sliding-mode surface function. The traditional exponential approach law cannot reach the sliding-mode surface within a limited time. Therefore, the constant velocity arrival term, , is added to ensure that when approaches 0, the arrival velocity is instead of 0. However, there is still a problem that the speed approaching the sliding-mode surface is related to the parameter in the exponential approach law, making it difficult to achieve a balance between increasing the approach velocity and reducing sliding flutter [24,25,26]. Next, a detailed analysis will be conducted.
Take Equation (2) into Equation (3), we obtain:
According to Equations (1), (2), and (4):
Then, according to Equation (5), the control input can be easily expressed as:
Equation (6) shows that the control input contains discontinuous terms, , which is the key to causing the flutter, and the flutter level directly reaches the value of .
In Equation (3), when , we can obtain:
The time required to reach the sliding surface can be obtained by integrating Equation (7):
From Equation (8), it can be seen that the time to approach the sliding-mode surface is related to . As the value of increases, the flutter during the approach will increase. If the value of decreases, it will increase the time required for the system state to stabilize, which is not conducive to system control. Therefore, it is not easy to balance the approaching speed and the size of the flutter. The following section will propose an improved S-type function sliding-mode approaching law.
2.2. Design and Analysis of Sliding-Mode Approach Law Based on Improved S-Type Function (ISSMC)
2.2.1. The Proposal of ISSMC
To better adapt the sliding-mode surface and system state variations, the proposed reaching law in this paper combines the advantages of the robustness of the power-reaching law and the rapid convergence of the exponential-reaching law, building upon the foundation of the traditional exponential-reaching law. Moreover, it is specifically designed based on the characteristics of the system used in this paper, as depicted below:
where is a sliding surface function, , , , and are the parameters to be designed, and is a system state variable.
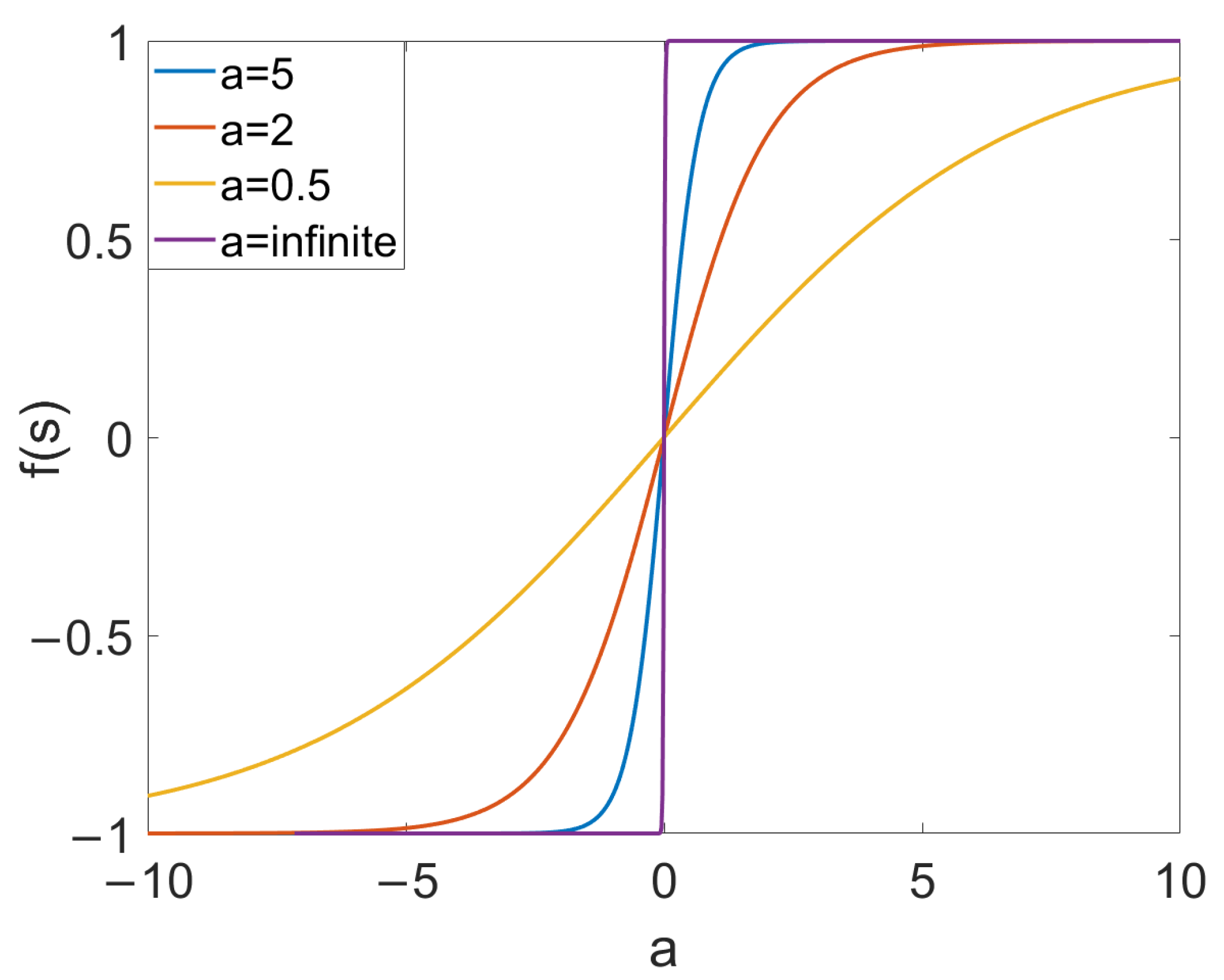
As is well known, the sign function is a discontinuous switching function that undergoes instantaneous switching near the zero point, resulting in high-frequency oscillations of the system state as it approaches the stable point along the sliding-mode surface. To suppress the controller’s flutter, replacing the sign function with the function is proposed. The value of in the function determines the change speed of the value of the smooth function near the origin, as shown in Figure 2. When tends to infinity, the smooth function approximates the sign-switching function. When the value of is very small, the thickness of the boundary layer is too large, resulting in a slow convergence rate. Therefore, is chosen on the balance of these two aspects. The introduction of this function effectively reduces the flutter of the system.
Figure 2.
Function curve under different values.
Analysis: When the system state is far away from the sliding-mode surface, that is, when , , the system state reaches the sliding-mode surface under the action of the variable speed term and the variable index term . As decreases and reaches 1, converges to and converges to . This means that when the state outside the stable point is close to the sliding-mode surface, the coefficient of the whole reaching law gradually decreases, thus reducing the flutter. When , , the speed of the variable exponential term in the reaching law is ; compared with in reference [20], it is obvious that can be obtained, and the convergence law proposed in this paper is faster. In summary, from the initial state of the system state to reaching the sliding-mode surface and finally reaching the stable point, the approach law proposed in this paper consistently achieves a faster speed than the traditional approach law and suppresses the generation of high-frequency flutter.
2.2.2. Performance Analysis of ISSMC
According to Equation (2), the selected sliding surface is used to obtain the position tracking error and error derivative as follows:
The simultaneous Equations (1), (2), and (10) can obtain:
Connecting Equation (10) with the new sliding-mode reaching law proposed in Equation (9), the improved sliding-mode reaching law is shown below:
To verify the stability of the system, the Lyapunov function is established as follows [22]:
The derivative of is obtained by combining Equation (9) as follows:
where , , , , and is an odd function. Therefore, there is for any synovial surface. Based on the Lyapunov stability theory, the motion system proposed in this paper can converge to a stable state in a limited time.
When , Equation (9) can be expressed as:
When , integrating to for Equation (15) can lead to the following:
Because , , , and , Equation (16) can be written as:
When , Equation (9) can be expressed as:
When , integrating to for Equation (18) can result in the following:
Because , Equation (19) can be written as:
In summary, using the improved S-type-function-based sliding-mode control (ISSMC) can enable the system state outside the stable point to reach the stable point in a finite time, and the required time to reach it will be less than . The specific calculation is shown in Equation (21).
2.3. Design of Disturbance Observer
In the design and analysis of ISSMC shown in Section 2.2, the influence of external disturbance was not considered; only the control performance of the sliding-mode control under the approach law and the ability to reduce chatter were considered. However, it is apparent from Equation (1) that there is a disturbance, , built into the model, and there is inevitable external disturbance in practical engineering applications. Therefore, it is necessary to design a disturbance observer to observe the external disturbance of the sliding-mode controller and the feed-forward compensation. The disturbance observer can be categorized into various types: an inverse nominal model-based disturbance observer, an extended-state observer-based disturbance observer, a nonlinear observer-based disturbance observer, and a state observer-based disturbance observer. However, in practical machining, external disturbances manifest in various forms such as external noise interference, signal interference, and environmental changes, exhibiting nonlinear characteristics. Consequently, this paper, based on actual numerical-control machining systems, designed a disturbance observer using a nonlinear observer, as illustrated in Equation (22):
where is the estimation of uncertain disturbance and is observed by the disturbance observer designed in this section, is defined as the estimation error of the disturbance, is the estimated value of , and is the estimated error of the estimated value. The disturbance observer can be further expressed as:
where and are coefficient constants.
Next, the stability analysis is performed, and the Lyapunov function is defined as [34]:
The sampling frequency of the controller is usually much greater than the change time of the external disturbance, so the external disturbance can be considered as a constant value during the sampling period, which is . Furthermore, by incorporating the disturbance observer Equation (23) into Equation (24), it can be concluded that:
Based on the Lyapunov stability theory, the system is proven to be stable.
The disturbance observer Equation (23) can be further represented as Equation (26), and its structural diagram is shown in Figure 3:
Figure 3.
Structure diagram of disturbance observer.
Based on the disturbance observer equation provided in Equation (26), we conducted a study on its observability performance. Considering the disturbance observer block diagram depicted in Figure 3, with the initial values for the two system states set as [−1, 5], as shown in Figure 4, the system states can converge within a finite time. Figure 5 illustrates the estimation error of the disturbance observer under different parameter conditions. It is evident from Figure 5 that the estimation error of the disturbance observer varies with different parameters. However, ultimately, the disturbance observer catches up with the target curve. Depending on specific performance requirements and the controlled system, different parameters for the disturbance observer should be set.
Figure 4.
System state convergence.
Figure 5.
Disturbance error under different conditions.
3. Design of Composite Layered Cross-Coupling Controller
Usually, the sources of machining errors in multi-axis linkage CNC systems mainly manifest in single-axis tracking errors and multi-axis linkage contour errors. The design method of the single-axis controller was provided in the second section. Although the performance of single-axis tracking has a certain impact on the final machining accuracy, the contour error has a more significant impact. Therefore, this section proposes a composite layered cross-coupling controller design, which divides the spatial contour into upper and lower layers. Firstly, cross-coupling control is applied to each layer, and finally, the two planes are combined to form a spatial contour model for control. Although the cross-coupling control algorithm of traditional multi-axis systems ensures the overall contour error of the system, it cannot guarantee the contour accuracy of a single plane, neglecting the collaborative problem generated by multi-plane coupling and limiting the flexibility of cross-coupling controller design. Cross-coupling controllers are established for the upper and lower layers to ensure the overall contour accuracy and single-plane contour accuracy of the multi-axis motion system based on the construction of a layered contour error model. The structure diagram of the composite layered cross-coupling control algorithm is shown in Figure 6.
Figure 6.
Control system structure block diagram.
In the above, , , and are the input desired trajectories, respectively, , , and are the output desired trajectories, respectively, is the tracking error, and is the cross-coupling coefficient. From Figure 6, it can be seen that the composite layered control system first ensures the contour accuracy of the XY layer. Based on its coupling results, a virtual axis is established, and the Z-axis is used to achieve spatial contour accuracy control. This system ensures the contour accuracy of a single plane and improves the overall contour accuracy.
3.1. Double-Layer Profile Error Model
The geometric relationship between the actual and reference positions point calculates the contour error. In multi-axis motion control systems, some scholars internationally use three-dimensional nonlinear estimation methods [35] and vector methods [36] to estimate the contour error of multi-axis motion control systems. The nonlinear trajectory of multi-axis motion is shown in Figure 7, where is the reference position, is the actual position, and is the tracking error.
Figure 7.
Three-dimensional space contour error.
Assuming that is a 3D contour tracking error vector, the relationship between the vectors can be used to obtain:
where the vector and the vector are the unit normal vector and the tangent vector at the reference position .
As can be seen from Figure 7, when the value of of the tangent direction sub-vector is small, the contour error of the system can be approximately equal to the normal direction sub-vector , which can be expressed as:
However, the single-axis tracking controller design presented in Section 2 has already effectively addressed the question of whether the contour error “e” can be regarded as a normal direction vector component. In order to further diminish the system’s contour error, a dual-layer contour error model was formulated by Dainlin Zhang et al. [37], as illustrated in Figure 8. This model subdivides the XYZ spatial contour into upper and lower layers, as depicted in Figure 9 and Figure 10. The fundamental concept behind this approach involves initially projecting the spatial contour onto the XY plane, calculating the contour error of the lower layer (i.e., the XY plane), and then establishing a virtual R-axis and combining the contour error along the RZ axis. This comprehensive procedure leads to the determination of the XYZ spatial contour error.
Figure 8.
Double-layer spatial contour error model.
Figure 9.
XY spatial contour error model.
Figure 10.
Spatial profile error model of RZ layer.
Reference [37] provides the calculation results of the lower angle of XY and the upper angle of RZ, as well as the lower contour error and the upper contour error , as shown in Equation (29):
where and represent the instants of and , respectively, and are the coordinate components and coordinate components of , and the contour error at the lower level can be estimated as the normal vector , while the contour error at the top level can be estimated as the normal vector . Assuming the angle between the two layers is E, based on the geometric relationship between the points in Figure 8, the spatial contour error can be obtained as :
From Equation (31), it can be seen that when the lower contour error and the upper contour error approach zero, the spatial contour error will also approach zero. Therefore, the proposed double-layer contour error model is effective. In this study, controllers were devised separately for the upper and lower layers and were subsequently integrated to achieve the suppression of three-dimensional spatial contour errors. The comprehensive construction of the dual-layer contour error model was elaborated upon by Dainlin Zhang et al. in reference [37]; thus, this aspect will not be reiterated in this paper. Building upon the foundation of the above-referenced work, further controller design was conducted to suit the manufacturing environment applicable to this study.
3.2. Design of Fuzzy-PID-Based Cross-Coupling Controller
In multi-axis servo feed systems, due to the increased complexity, nonlinearity, and coupling effects of the controlled objects, the parameters of conventional PID controllers cannot be adjusted in a timely manner. In contrast, fuzzy PID control transforms empirical knowledge into control strategies, enabling prompt adjustments of the PID parameters with changing errors, thereby effectively managing errors in intricate systems. A fuzzy PID controller combines the advantages of conventional PID control and fuzzy control, making it suitable for addressing the issue of dynamic mismatch among axes in multi-axis coordinated machining processes. Consequently, in both upper and lower contour error models, this study employs a design featuring fuzzy-PID-based cross-coupling controllers.
Step 1: Take the error and the error change rate as the input of the fuzzy controller, take the PID controller parameters , , and as the output, and set the fuzzy subset of the input and output of the fuzzy controller as , where the elements represent negative large, negative middle, negative small, zero, positive small, positive middle, and positive large, respectively. In the membership function editor of the fuzzy logic toolbox, membership functions are established for each fuzzy language variable, as shown in Figure 11.
Figure 11.
The membership function of each fuzzy language variable.
Step 2: Summarize the technical knowledge and experience of the engineering designers and consider the system stability, response speed, overshoot, and steady-state accuracy. The specific plan is as follows:
- (a)
- When the error is large, regardless of the trend in the error variation, a larger value of should be employed to enhance the response speed. To prevent an instantaneous overshoot from becoming too large, a smaller value for should be chosen. Considering the magnitude of the overshoot, a smaller value for should also be selected.
- (b)
- When the error is moderate, to balance the system response speed and control overshoot, relatively smaller values of and should be chosen while keeping at a moderately selected value.
- (c)
- When the error is relatively small, to maintain good steady-state characteristics, larger values of and should be applied. Simultaneously, to avoid oscillations, the value of should closely correlate with the value of .
The setting of parameters , , and should follow the following rules to establish a fuzzy control rule table [38], as shown in Table 1. The corresponding output surfaces of , , and on the universe are shown in Figure 12.
Table 1.
Fuzzy control rule table of , , and .
Figure 12.
Output surface of , , and .
4. Simulation and Experimental Verification
4.1. Single-Axis Controller Simulation Verification
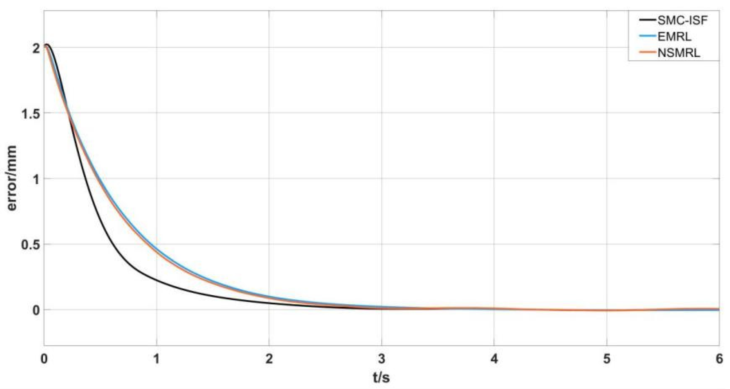
Firstly, MATLAB/Simulink was used to simulate and compare the traditional exponential sliding-mode reaching law (EMRL), the new sliding-mode reaching law (NSMRL) proposed in reference [23], and the reaching law proposed in this paper. The simulation parameters were set as follows: , , , , and . The ideal position signal of the system was set to , and the initial state of the controlled object was set to . The parameters of the three-axis PMLSM system are shown in Table 2.
Table 2.
Parameters of three-axis PMLSM system.
Figure 13, Figure 14 and Figure 15 show the performance comparison diagrams of the traditional approach law, the approach law proposed in reference [23], and the approach law proposed in this paper, respectively.
Figure 13.
Error convergence curve.
Figure 14.
Position tracking curve.
Figure 15.
Controller output curve.
The research outcomes manifest that the sliding-mode controller based on the improved S-type function (SMC-ISF) yielded a conspicuous superiority in terms of diminishing position tracking errors, accelerating the convergence velocity of position tracking errors, and damping oscillations. This superiority surpassed that of the conventional constant-speed convergence laws and non-singular modified reference line (NSMRL) methods. Consequently, the proposed SMC-ISF approach in this paper exhibited a significant advantage in achieving a faster convergence and a more stable controller output.
Building upon the design of the SMC-ISF controller, the incorporation of the disturbance observer, as devised in Section 2.3, was further integrated. This integration aims to estimate and compensate for external disturbances within the sliding-mode control framework. The intention of this step is to address the limitation of the SMC-ISF design in accommodating external disturbances. Given the relatively minor fluctuation in the Z-axis during the entirety of the experimental process, the X and Y axes, representing axes with larger ranges of motion, were selected for the algorithm verification. Single-axis tracking performance tests were conducted for both axes, considering scenarios both with and without the inclusion of the disturbance observer.
As evidenced by the simulation results depicted in Figure 16, Figure 17, Figure 18, Figure 19, Figure 20, Figure 21, Figure 22 and Figure 23, Figure 16 and Figure 20 illustrate the tracking performance of the X and Y axes in the absence of the disturbance observer. Under the circumstance of external disturbances, the SMC-ISF controller exhibited distinct fluctuations without any observable diminishing trend. Evidently, the SMC-ISF controller manifested a deficiency in mitigating external disturbances. However, upon the integration of the designed disturbance observer, the positional tracking oscillations were substantially mitigated, as shown in Figure 17 and Figure 21. Furthermore, Figure 18 and Figure 22 clearly demonstrate that the proposed external disturbance observer effectively estimated external perturbations. Conclusively, Figure 19 and Figure 23 confirmed that the introduction of the disturbance observer addressed the deficiency of the SMC-ISF controller in resisting external disturbances. The synergistic utilization of these methodologies engenders smoother unidirectional motion during practical machining operations, thereby establishing a favorable foundation for the subsequent machining experiments.
Figure 16.
Tracking curve of X-axis SMC-ISF without disturbance observation.
Figure 17.
Tracking curve of X-axis SMC-ISF with disturbance observation.
Figure 18.
Disturbance estimation curve of X-axis.
Figure 19.
Tracking error curve of X-axis with SMC-ISF and disturbance observation.
Figure 20.
Tracking curve of Y-axis SMC-ISF without disturbance observation.
Figure 21.
Tracking curve of Y-axis SMC-ISF with disturbance observation.
Figure 22.
Disturbance estimation curve of Y-axis.
Figure 23.
Tracking error curve of Y-axis with SMC-ISF and disturbance observation.
After simulating the single-axis tracking error as described above, the validation confirmed that the method proposed in this paper effectively reduced the impact of external disturbances on the accuracy of the single-axis tracking. Next, a comparison will be made between the method proposed in this paper and the approaches presented in reference [34] and reference [35] regarding their performance in terms of tracking spatial profiles. The chosen validation for this section was a spatial elliptical curve, whose detailed parameters are outlined in Table 3.
Table 3.
Input parameters of spatial elliptic curves.
The simulation time was 5 s, ensuring that the simulation curve could display multiple spatial ellipses. The parameters of the single-axis controller were the same as those in Section 4.1. The fuzzy PID parameters in the composite layered controller were adjusted by fuzzy rules, and the proportional controller parameter value was 2.3, which needed to be adjusted according to different spatial curves. From Figure 24, it can be seen that due to the system state being set to [−2, −2, −2], the three methods in the simulation needed to start converging from a distance from the reference curve. The method proposed in reference [35] performed worse than the other two methods at the beginning of the convergence. During the process of moving from a distance from the reference curve to approaching the reference curve, the method proposed in this paper had a similar effect to the method proposed in reference [34], but after multiple stages of elliptical line tracking, the method proposed in this article basically followed the target curve.
Figure 24.
Space elliptic curve tracking.
4.2. Experimental Verification of Cross-Coupling Controller Based on Composite Layering
Figure 25 depicts an open-architecture multi-axis optical polishing machine used to validate the effectiveness of the proposed methods in this paper. By combining different feed commands for different axes, the grinding head can be polished in three-dimensional space to achieve material removal in specific areas on the component. The process begins with the acquisition of machining instructions through the Processing Guidance software (PGS. V12.1). PGS is a machining guidance software that predicts the areas that need to be machined based on different initial surface shapes and generates corresponding G-codes for each axis for machining. Subsequently, these instructions are translated into G-code and transmitted to the PC of the machine. The next step involves the integration of the methods proposed in this paper into the motion control system, which is then subjected to motion control experiments for validation. The feed of each axis’s movement of the machine is driven by a SIMOTION D445-2 controller. The position feedback signal for the translation axis is directly obtained from a linear optical encoder with a resolution of 500×256 pulses per revolution. Leveraging differentiation calculations, the actual velocity of each axis is determined, which is followed by further processing through a low-pass filter to eliminate high-frequency noise.
Figure 25.
Experimental verification platform.
This experimental platform adopts a modular design method to achieve communication and control between the various functional units of the CNC system and has good scalability. The experimental platform system includes three parts, as shown in Figure 25: an 840D motion controller, an electrical drive control system, and a three-axis linkage CNC machine tool body.
According to the system structure diagram shown in Figure 6, based on building a single-axis sliding-mode disturbance observer, the designed fuzzy PID cross-coupling controller was added to the composite layered contour control system, and the effectiveness of the fuzzy-PID-based cross-coupling control was compared and analyzed against traditional PID cross-coupling control. In addition, the trial and error method was used to obtain the fixed values of the traditional PID controller parameters , , and , while the self-tuning curve of the fuzzy PID control parameters is shown in Figure 26.
Figure 26.
Self-tuning curves of Kp, Ki, and Kd in fuzzy PID control system.
Figure 27 and Figure 28 present the comparative curves for the XY plane contour error and the three-dimensional spatial contour, respectively, considering the adoption of hierarchical control. The blue line represents the reference contour, the orange line depicts the XY plane contour based on the composite hierarchical control, and the yellow line corresponds to the contour under conventional PID cross-coupling control. By comparing the real-time data from the machine tool with the data of the ideal input curve, the maximum value (max) and minimum value (min) between the two can be obtained. By calculating , the average error of the tracking curve can be derived, where is the current data point, and is the total number of data points. Further computation leads to the calculation of the integrated absolute error (IAE) according to the following equation: , where is the predicted value of the current data point, and is the actual value of the current data point. For both scenarios, the maximum, average, and root mean square values of the tracking error and contour error are detailed in Table 4 and Table 5.
Figure 27.
Contour error comparison curve on XY plane.
Figure 28.
Three-dimensional space contour contrast curve.
Table 4.
Tracking error comparison table.
Table 5.
Two-dimensional and three-dimensional Contour error comparison table.
Upon inspecting Table 4, it is evident that although the introduction of the fuzzy PID cross-coupling control did not significantly improve the tracking accuracy of a single axis, Table 5 reveals that, following the implementation of the fuzzy PID cross-coupling control, compared to the traditional PID method, there was an 84.39% enhancement in the XY plane contour accuracy; similarly, the accuracy of the three-dimensional spatial contour increased by 84.45%. This observation underscores that the design of the hierarchical controller markedly elevated the contour performance, holding significant effects for both individual planes and the overall spatial contexts. This reaffirms the proposition made in Section 3: the quality of the single-axis tracking performance, though impacting the final machining precision to a certain degree, was overshadowed by the influence of contour errors. The presented composite hierarchical contour control method effectively enhanced the precision of the XY plane contour and further ameliorated the precision of the overall three-dimensional spatial contour. Subsequent endeavors will encompass the design of the upper-level cross-coupling controller.
Figure 29 portrays the comparative outcomes between the composite layered contour control algorithm (CLCC) and the results of incorporating solely the lower-level cross-coupling controller. Contrasting with the observations from Figure 29, the CLCC algorithm demonstrated a substantial enhancement in terms of the spatial contour curvature upon the integration of the upper-level cross-coupling controller. The space between the desired contour and the actual contour evolved from having a discernible gap to near elimination. Computational assessment revealed that the ultimate contour error achieved by the CLCC algorithm measured 0.0115 mm. This constitutes a 61.9% improvement over the preceding XY lower-level control algorithm’s 0.0302 mm and a 94% augmentation compared to the traditional cross-coupling control algorithm’s −0.1935 mm. Following the comprehensive series of algorithm performance test analyses, it is evident that the designed CLCC algorithm is efficacious. It not only addresses the precision of individual planes’ contours but also significantly elevates the overall contour precision.
Figure 29.
Comparison of lower-layer control algorithm curves between CLC and XY.
Figure 30 illustrates the simulation results of the method proposed in this paper compared to those of reference [34] and reference [35] when tracking spatial curves with multiple curvatures. The tracking performance of the spatial curves with multiple curvatures effectively highlights the differences among the algorithms, as frequent changes in the curvature demand higher real-time requirements for the algorithms. As observed from Figure 30, reference [34] and reference [35] exhibited instances of non-conformance and vertical fluctuation when tracking spatial curves with multiple curvatures. However, the method proposed in this paper demonstrated the ability to accurately track the target curve. The input parameters of spatial multi-curvature lines are shown in Table 6.
Figure 30.
Spatial curves with multiple curvatures.
Table 6.
Input parameters for multi-curvature spatial contour lines.
According to Table 7, it can be observed that the proposed method in this paper significantly reduced the contour errors of spatial curves with multiple curvatures compared to references [34] and [35]. In comparison to reference [34], the maximum contour error, average contour error, and integrated absolute error (IAE) of the proposed method decreased by 32.2%, 80.2%, and 39.3%, respectively. Compared to reference [35], the proposed method reduced the average contour error, contour error, and IAE by 56.4%, 63.9%, and 68.7%, respectively. The method proposed in reference [34] faced challenges in tracking the target curve due to frequent curvature changes, leading to the algorithm’s difficulty in timely tracking the desired trajectory, resulting in an overall system performance that fell behind the target curve. While the method introduced in reference [35] exhibited a smaller mean value than that of reference [34], the fluctuating tracking performance in the presence of external disturbances was evident from the max and IAE values. This algorithm occasionally failed to keep up with the target curve during the frequent curvature changes, and it occasionally exceeded the target curve. In contrast, the proposed method in this paper demonstrated excellent system performance when tracking spatial curves with multiple curvatures.
Table 7.
Contour error comparison table.
5. Conclusions
This paper presents a novel approach for contour error suppression based on composite hierarchical control, where the spatial three-dimensional contour is divided into distinct layers, each being addressed by a tailored controller. Prior to investigating the holistic contour control methodology, we introduced an improved sliding-mode disturbance observer controller based on an enhanced S-shaped function to enhance the single-axis positioning accuracy. Through comparative simulations and analyses with traditional exponential convergence law methods and the approach proposed in reference [23], the results indicate that the single-axis controller advocated in this paper not only exhibits superior tracking precision but also demonstrates faster response times, significantly mitigating oscillations in the sliding-mode control system.
Preserving the prerequisite of single-axis positioning accuracy, the introduction of the composite hierarchical control significantly enhances the adaptability in the spatial contour controller design. Different levels of accuracy requirements are accommodated through the design of distinct controllers for each level. For the XY plane’s lower-level contour, a fuzzy PID controller is employed to address the complex and strongly nonlinear environment of the multi-axis servo control system. Comparative simulation experiments with the traditional centered combination control (CCC) method illustrated that the fuzzy-PID-based lower-level control approach not only enhances the accuracy of the XY plane’s lower-level contour by 84.39% but also further improves the overall contour accuracy by 84.45%.
In terms of the upper-level contour control, a proportional controller is adopted. Comparative analysis with the CCC method based on fuzzy PID lower-level control revealed that this design strategy further enhances the accuracy of the three-dimensional overall contour by 61.9%, achieving a 94% enhancement compared to the traditional CCC method. Ultimately, the overall contour error remains around an average of 0.0115 mm. Through rigorous simulation analysis and validation experiments, the effectiveness of the proposed method was comprehensively demonstrated.
These findings collectively indicate that the proposed composite hierarchical-control-based contour error suppression method holds significant promise for elevating contour control precision and presents a new technological avenue for the application of multi-axis servo control systems in high-precision machining domains.
Author Contributions
Conceptualization, X.L.; Methodology, C.X.; Validation, C.X.; Formal analysis, B.X.; Investigation, K.C. and B.X.; Resources, X.L.; Data curation, S.L.; Writing–original draft, K.C.; Writing–review & editing, C.W.; Supervision, S.L.; Funding acquisition, C.W. All authors have read and agreed to the published version of the manuscript.
Funding
This research was funded by Chunyang Wang grant number 80923010202.
Institutional Review Board Statement
Not applicable.
Informed Consent Statement
Not applicable.
Data Availability Statement
The datasets generated during and/or analyzed during the current study are available from the corresponding author on reasonable request. The codes used and/or analyzed during the current study are available from the corresponding author on reasonable request. The data are not publicly available due to the involvement of national defense and military projects in the project, it has not been fully disclosed yet.
Conflicts of Interest
The authors declare no conflict of interest.
References
- Hu, C.; Wang, Z.; Zhu, Y.; Zhang, M. Accurate three-dimensional contouring error estimation and compensation scheme with zero-phase filter. Int. J. Mach. Tools Manuf. 2018, 128, 33–40. [Google Scholar] [CrossRef]
- Dong, Y.; Nuchkrua, T.; Shen, T. Asymptotical stability contouring control of dual-arm robot with holonomic constraints: Modified distributed control framework. IET Control Theory Appl. 2019, 13, 2877–2885. [Google Scholar] [CrossRef]
- Chen, S.L.; Chou, C.Y. Contouring control of robot manipulators based on equivalent errors. Asian J. Control 2014, 16, 904–914. [Google Scholar] [CrossRef]
- Chen, Y.T.; Liu, M.; Cao, Z.C. Effect of Robot Motion Accuracy on Surface Form during Computer-Controlled Optical Surfacing Process. Appl. Sci. 2022, 12, 12301. [Google Scholar] [CrossRef]
- Xia, Z.; Fang, F.; Ahearne, E.; Tao, M. Advances in polishing of optical freeform surfaces: A review. J. Mater. Process. Technol. 2020, 286, 116828. [Google Scholar] [CrossRef]
- Yuan, C.; Mi, Z.; Jia, X.; Lin, F.; Shen, L. Tool orientation optimization and path planning for 5-axis machining. J. Syst. Sci. Complex. 2021, 34, 83–106. [Google Scholar] [CrossRef]
- Jia, Z.-Y.; Ma, J.-W.; Song, D.-N.; Wang, F.-J.; Liu, W. A review of contouring-error reduction method in multi-axis CNC machining. Int. J. Mach. Tools Manuf. 2018, 125, 34–54. [Google Scholar] [CrossRef]
- Wu, J.; Han, Y.; Xiong, Z.; Ding, H. Servo performance improvement through iterative tuning feedforward controller with disturbance compensator. Int. J. Mach. Tools Manuf. 2017, 117, 1–10. [Google Scholar] [CrossRef]
- Grzesiak, L.M.; Tarczewski, T. PMSM servo-drive control system with a state feedback and a load torque feedforward compensation. COMPEL-Int. J. Comput. Math. Electr. Electron. Eng. 2012, 32, 364–382. [Google Scholar] [CrossRef]
- Gao, W.; Li, S.; Wang, Y.; Wu, Z.; Ran, Z.; Zhou, M. Phase-lead Linear Active Disturbance Rejection Controller of Permanent Magnet Synchronous Linear Motor Platform. In Proceedings of the 2020 Chinese Automation Congress (CAC), Shanghai, China, 6–8 November 2020; IEEE: New York, NY, USA, 2020; pp. 392–397. [Google Scholar]
- Zhang, W.; Nan, N.; Yang, Y.; Zhong, W.; Chen, Y. Force ripple compensation in a PMLSM position servo system using periodic adaptive learning control. ISA Trans. 2019, 95, 266–277. [Google Scholar] [CrossRef]
- Wang, S.; Chen, G.; Cui, Y. Design of contour error coupling controller based on neural network friction compensation. Math. Probl. Eng. 2019, 2019, 1420380. [Google Scholar] [CrossRef]
- Koren, Y.; Lo, C.C. Variable-gain cross-coupling controller for contouring. CIRP Ann. 1991, 40, 371–374. [Google Scholar] [CrossRef]
- Farrage, A.; Uchiyama, N. Energy saving in biaxial feed drive systems using adaptive sliding mode contouring control with a nonlinear sliding surface. Mechatronics 2018, 54, 26–35. [Google Scholar] [CrossRef]
- Du, X.; Huang, J.; Zhu, L.-M.; Ding, H. Sliding mode control with third-order contour error estimation for free-form contour following. Precis. Eng. 2020, 66, 282–294. [Google Scholar] [CrossRef]
- Wu, J.; Xiong, Z.; Ding, H. Integral design of contour error model and control for biaxial system. Int. J. Mach. Tools Manuf. 2015, 89, 159–169. [Google Scholar] [CrossRef]
- Hu, C.; Yu, J.; Wang, Z.; Zhu, Y. An iterative contouring error compensation scheme for five-axis precision motion systems. Mech. Syst. Signal Process. 2022, 178, 109226. [Google Scholar] [CrossRef]
- Wang, J.; Sui, Z.; Sun, Z.; Yu, W.; Fan, W.; Li, H.; Tian, Y. The cam contour control in grinding based on repetitive control and error compensation. IFAC-Pap. Online 2015, 48, 841–846. [Google Scholar] [CrossRef]
- Tang, J.; Dang, Z.; Deng, Z.; Li, C. Adaptive fuzzy nonlinear integral sliding mode control for unmanned underwater vehicles based on ESO. Ocean Eng. 2022, 266, 113154. [Google Scholar] [CrossRef]
- Lin, J.; Zhao, Y.; Zhang, P.; Wang, J.; Su, H. Research on Compound Sliding Mode Control of a Permanent Magnet Synchronous Motor in Electromechanical Actuators. Energies 2021, 14, 7293. [Google Scholar] [CrossRef]
- Wang, D.; Wang, D.; Zhou, W.; Niu, L. Research on PMSM Sliding-mode Vector Combined Speed Controller Based on Improved Exponential Reaching Law. J. Phys. Conf. Ser. 2022, 2260, 012024. [Google Scholar] [CrossRef]
- Jiang, C.; Wang, Q.; Li, Z.; Zhang, N.; Ding, H. Nonsingular terminal sliding mode control of PMSM based on improved exponential reaching law. Electronics 2021, 10, 1776. [Google Scholar] [CrossRef]
- Wang, Y.; Feng, Y.; Zhang, X.; Liang, J. A new reaching law for antidisturbance sliding-mode control of PMSM speed regulation system. IEEE Trans. Power Electron. 2019, 35, 4117–4126. [Google Scholar] [CrossRef]
- Mu, C.; Xu, W.; Sun, C. On switching manifold design for terminal sliding mode control. J. Frankl. Inst. 2016, 353, 1553–1572. [Google Scholar] [CrossRef]
- Li, J.; Yang, Y.; Hua, C.; Guan, X. Fixed-time backstepping control design for high-order strict-feedback non-linear systems via terminal sliding mode. IET Control Theory Appl. 2017, 11, 1184–1193. [Google Scholar] [CrossRef]
- Feng, Y.; Zheng, J.; Yu, X.; Truong, N.V. Hybrid terminal sliding-mode observer design method for a permanent-magnet synchronous motor control system. IEEE Trans. Ind. Electron. 2009, 56, 3424–3431. [Google Scholar] [CrossRef]
- Ouyang, P.R.; Dam, T.; Pano, V. Cross-coupled PID control in position domain for contour tracking. Robotica 2015, 33, 1351–1374. [Google Scholar] [CrossRef]
- Zhao, H.; Zhu, L.M.; Ding, H. Cross-coupled controller design for triaxial motion systems based on second-order contour error estimation. Sci. China Technol. Sci. 2015, 58, 1209–1217. [Google Scholar] [CrossRef]
- Wu, J.; Liu, C.; Xiong, Z.; Ding, H. Precise contour following for biaxial systems via an A-type iterative learning cross-coupled control algorithm. Int. J. Mach. Tools Manuf. 2015, 93, 10–18. [Google Scholar] [CrossRef]
- Yeh, S.S.; Jiang, W.J. Development of Pitch Cycle-Based Iterative Learning Contour Control for Thread Milling Operations in CNC Machine Tools. Appl. Sci. 2023, 13, 6447. [Google Scholar] [CrossRef]
- Chen, S.Y.; Chien, Z.J.; Wang, W.Y.; Chiang, H.H. Contour tracking control of a linear motors-driven XYY stage using auto-tuning cross-coupled 2DOF PID control approach. Appl. Sci. 2020, 10, 9036. [Google Scholar] [CrossRef]
- Zhang, X.; Sun, L.; Zhao, K.; Sun, L. Nonlinear speed control for PMSM system using sliding-mode control and disturbance compensation techniques. IEEE Trans. Power Electron. 2012, 28, 1358–1365. [Google Scholar] [CrossRef]
- Gao, W.; Hung, J.C. Variable structure control of nonlinear systems: A new approach. IEEE Trans. Ind. Electron. 1993, 40, 45–55. [Google Scholar]
- Wang, S.; Chen, Y.; Zhang, G. Adaptive fuzzy PID cross coupled control for multi-axis motion system based on sliding mode disturbance observation. Sci. Prog. 2021, 104, 00368504211011847. [Google Scholar] [CrossRef] [PubMed]
- Dementyev, A.; Kao, H.L.; Paradiso, J.A. Sensortape: Modular and programmable 3d-aware dense sensor network on a tape. In Proceedings of the 28th Annual ACM Symposium on User Interface Software & Technology, Charlotte, NC, USA, 11–15 November 2015; pp. 649–658. [Google Scholar]
- Wang, J.; Zhang, M.; Zhu, Y.; Yang, K.; Li, X.; Wang, L.; Hu, J.; Hu, C. Integrated optimization of 3D structural topology and actuator configuration for vibration control in ultra-precision motion systems. Struct. Multidiscip. Optim. 2019, 60, 909–925. [Google Scholar] [CrossRef]
- Zhang, D.; Yang, J.; Chen, Y.; Chen, Y. A two-layered cross coupling control scheme for a three-dimensional motion control system. Int. J. Mach. Tools Manuf. 2015, 98, 12–20. [Google Scholar] [CrossRef]
- Mudi, R.K.; Dey, C.; Lee, T.T. An improved auto-tuning scheme for PI controllers. ISA Trans. 2008, 47, 45–52. [Google Scholar] [CrossRef]
Disclaimer/Publisher’s Note: The statements, opinions and data contained in all publications are solely those of the individual author(s) and contributor(s) and not of MDPI and/or the editor(s). MDPI and/or the editor(s) disclaim responsibility for any injury to people or property resulting from any ideas, methods, instructions or products referred to in the content. |
© 2023 by the authors. Licensee MDPI, Basel, Switzerland. This article is an open access article distributed under the terms and conditions of the Creative Commons Attribution (CC BY) license (https://creativecommons.org/licenses/by/4.0/).





























