Antagonist Coactivation of Muscles of Ankle and Thigh in Post-Stroke vs. Healthy Subjects during Sit-to-Stand Task
Abstract
:1. Introduction
2. Materials and Methods
2.1. Participants
2.2. Instruments
2.3. Procedures
2.4. Statistics
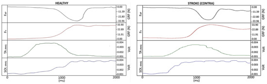
3. Results
4. Discussion
5. Conclusions
Author Contributions
Funding
Institutional Review Board Statement
Informed Consent Statement
Data Availability Statement
Conflicts of Interest
References
- Hase, K.; Sako, M.; Ushiba, J.; Chino, N. Motor strategies for initiating downward-oriented movements during standing in adults. Exp. Brain Res. 2004, 158, 18–27. [Google Scholar] [CrossRef] [PubMed]
- Dehail, P.; Bestaven, E.; Muller, F.; Mallet, A.; Robert, B.; Bourdel-Marchasson, I.; Petit, J. Kinematic and electromyographic analysis of rising from a chair during a “Sit-to-Walk” task in elderly subjects: Role of strength. Clin. Biomech. 2007, 22, 1096–1103. [Google Scholar] [CrossRef] [PubMed]
- Galli, M.; Cimolin, V.; Crivellini, M.; Campanini, I. Quantitative analysis of sit to stand movement: Experimental set-up definition and application to healthy and hemiplegic adults. Gait Posture 2008, 28, 80–85. [Google Scholar] [CrossRef] [PubMed]
- De Souza, L.A.; Curtarelli Mde, B.; Mukherjee, M.; Dionisio, V.C. The effect of the partially restricted sit-to-stand task on biomechanical variables in subjects with and without Parkinson’s disease. J. Electromyogr. Kinesiol. 2011, 21, 719–726. [Google Scholar] [CrossRef]
- Bobbert, M.F.; Kistemaker, D.A.; Vaz, M.A.; Ackermann, M. Searching for strategies to reduce the mechanical demands of the sit-to-stand task with a muscle-actuated optimal control model. Clin. Biomech. 2016, 37, 83–90. [Google Scholar] [CrossRef]
- Gjelsvik, B.E.; Syre, L. The Bobath Concept in Adult Neurology, 2nd ed.; Thieme: New York, NY, USA, 2016. [Google Scholar]
- Ganguly, J.; Kulshreshtha, D.; Almotiri, M.; Jog, M. Muscle Tone Physiology and Abnormalities. Toxins 2021, 13, 282. [Google Scholar] [CrossRef]
- Woods, S.; O’Mahoney, C.; McKiel, A.; Natale, L.; Falk, B. Child-Adult differences in antagonist muscle coactivation: A systematic review. J. Electromyogr. Kinesiol. 2023, 68, 102727. [Google Scholar] [CrossRef]
- Smith, A.M. The coactivation of antagonist muscles. Can. J. Physiol. Pharmacol. 1981, 59, 733–747. [Google Scholar] [CrossRef]
- Chow, J.W.; Yablon, S.A.; Stokic, D.S. Coactivation of ankle muscles during stance phase of gait in patients with lower limb hypertonia after acquired brain injury. Clin. Neurophysiol. 2012, 123, 1599–1605. [Google Scholar] [CrossRef]
- Latash, M.L.; Huang, X. Neural control of movement stability: Lessons from studies of neurological patients. Neuroscience 2015, 301, 39–48. [Google Scholar] [CrossRef]
- Tasseel-Ponche, S.; Yelnik, A.P.; Bonan, I.V. Motor strategies of postural control after hemispheric stroke. Neurophysiol. Clin. 2015, 45, 327–333. [Google Scholar] [CrossRef] [PubMed]
- Verheyden, G.; Ruesen, C.; Gorissen, M.; Brumby, V.; Moran, R.; Burnett, M.; Ashburn, A. Postural alignment is altered in people with chronic stroke and related to motor and functional performance. J. Neurol. Phys. 2014, 38, 239–245. [Google Scholar] [CrossRef] [PubMed]
- Kitatani, R.; Ohata, K.; Sakuma, K.; Aga, Y.; Yamakami, N.; Hashiguchi, Y.; Yamada, S. Ankle muscle coactivation during gait is decreased immediately after anterior weight shift practice in adults after stroke. Gait Posture 2016, 45, 35–40. [Google Scholar] [CrossRef] [PubMed]
- Nielsen, J.B. Human Spinal Motor Control. Annu. Rev. Neurosci. 2016, 39, 81–101. [Google Scholar] [CrossRef]
- Prentice, S.D.; Drew, T. Contributions of the reticulospinal system to the postural adjustments occurring during voluntary gait modifications. J. Neurophysiol. 2001, 85, 679–698. [Google Scholar] [CrossRef]
- Rothwell, J.C. Overview of neurophysiology of movement control. Clin. Neurol. Neurosurg. 2012, 114, 432–435. [Google Scholar] [CrossRef]
- Riebe, D. Guidelines for Exercise Testing and Prescription, 10th ed.; American College of Sports Medicine: Indianapolis, IN, USA, 2018. [Google Scholar]
- Hermens, H.J.; Freriks, B.; Disselhorst-Klug, C.; Rau, G. Development of recommendations for SEMG sensors and sensor placement procedures. J. Electromyogr. Kinesiol. 2000, 10, 361–374. [Google Scholar] [CrossRef]
- Cheng, P.T.; Chen, C.L.; Wang, C.M.; Hong, W.H. Leg muscle activation patterns of sit-to-stand movement in stroke patients. Am. J. Phys. Med. Rehabil. 2004, 83, 10–16. [Google Scholar] [CrossRef]
- Dubost, V.; Beauchet, O.; Manckoundia, P.; Herrmann, F.; Mourey, F. Decreased trunk angular displacement during sitting down: An early feature of aging. Phys. Ther. 2005, 85, 404–412. [Google Scholar] [CrossRef]
- Bishop, M.; Brunt, D.; Pathare, N.; Ko, M.; Marjama-Lyons, J. Changes in distal muscle timing may contribute to slowness during sit to stand in Parkinsons disease. Clin. Biomech. 2005, 20, 112–117. [Google Scholar] [CrossRef]
- Reisman, D.S.; Scholz, J.P.; Schoner, G. Coordination underlying the control of whole body momentum during sit-to-stand. Gait Posture 2002, 15, 45–55. [Google Scholar] [CrossRef] [PubMed]
- Carver, T.; Nadeau, S.; Leroux, A. Relation between physical exertion and postural stability in hemiparetic participants secondary to stroke. Gait Posture 2011, 33, 615–619. [Google Scholar] [CrossRef] [PubMed]
- Kellis, E.; Arabatzi, F.; Papadopoulos, C. Muscle co-activation around the knee in drop jumping using the co-contraction index. J. Electromyogr. Kinesiol. 2003, 13, 229–238. [Google Scholar] [CrossRef]
- Goulart, F.R.; Valls-Sole, J. Patterned electromyographic activity in the sit-to-stand movement. Clin. Neurophysiol. 1999, 110, 1634–1640. [Google Scholar] [CrossRef] [PubMed]
- Khemlani, M.M.; Carr, J.H.; Crosbie, W.J. Muscle synergies and joint linkages in sit-to-stand under two initial foot positions. Clin. Biomech. 1999, 14, 236–246. [Google Scholar] [CrossRef] [PubMed]
- Yamasaki, H.R.; Shimoda, S. Spatiotemporal modular organization of muscle torques for sit-to-stand movements. J. Biomech. 2016, 49, 3268–3274. [Google Scholar] [CrossRef]
- Akram, S.B.; McIlroy, W.E. Challenging horizontal movement of the body during sit-to-stand: Impact on stability in the young and elderly. J. Mot. Behav. 2011, 43, 147–153. [Google Scholar] [CrossRef]
- Yoshioka, S.; Nagano, A.; Hay, D.C.; Fukashiro, S. The minimum required muscle force for a sit-to-stand task. J. Biomech. 2012, 45, 699–705. [Google Scholar] [CrossRef]
- Silva, A.; Sousa, A.S.; Silva, C.; Tavares, J.M.; Santos, R.; Sousa, F. Ankle antagonist coactivation in the double-support phase of walking: Stroke vs. healthy subjects. Somatosens. Mot. Res. 2015, 32, 153–157. [Google Scholar] [CrossRef]
- Frey-Law, L.A.; Avin, K.G. Muscle coactivation: A generalized or localized motor control strategy? Muscle Nerve 2013, 48, 578–585. [Google Scholar] [CrossRef]
- Knarr, B.A.; Zeni, J.A., Jr.; Higginson, J.S. Comparison of electromyography and joint moment as indicators of co-contraction. J. Electromyogr. Kinesiol. 2012, 22, 607–611. [Google Scholar] [CrossRef] [PubMed]
- Sousa, A.S.; Tavares, J.M. Interlimb Coordination During Step-to-Step Transition and Gait Performance. J. Mot. Behav. 2015, 47, 563–574. [Google Scholar] [CrossRef]
- An, Q.; Ishikawa, Y.; Nakagawa, J.; Oka, H.; Yamakawa, H.; Yamashita, A.; Asama, H. Analysis of Contribution of Muscle Synergies on Sit-to-Stand Motion Using Musculoskeletal Model. In Proceedings of the IEEE Workshop on Advanced Robotics and its Social Impacts, Tokyo, Japan, 7–9 November 2013. [Google Scholar] [CrossRef]
- Sousa, A.S.P.; Silva, A.; Santos, R.; Sousa, F.; Tavares, J. Interlimb coordination during the stance phase of gait in subjects with stroke. Arch. Phys. Med. Rehabil. 2013, 94, 2515–2522. [Google Scholar] [CrossRef]
- Yang, N.; An, Q.; Yamakawa, H.; Tamura, Y.; Yamashita, A.; Takahashi, K.; Kinomoto, M.; Yamasaki, H.; Itkonen, M.; Alnajjar, F.S.; et al. Clarification of muscle synergy structure during standing-up motion of healthy young, elderly and post-stroke patients. In Proceedings of the IEEE International Conference on Rehabilitation Robotics, Singapore, 11–14 August 2015. [Google Scholar]
- Nagai, K.; Yamada, M.; Uemura, K.; Yamada, Y.; Ichihashi, N.; Tsuboyama, T. Differences in muscle coactivation during postural control between healthy older and young adults. Arch. Gerontol. Geriatr. 2011, 53, 338–343. [Google Scholar] [CrossRef]
- Boukadida, A.; Piotte, F.; Dehail, P.; Nadeau, S. Determinants of sit-to-stand tasks in individuals with hemiparesis post stroke: A review. Ann. Phys. Rehabil. Med. 2015, 58, 167–172. [Google Scholar] [CrossRef] [PubMed]
- Brouwer, B.; Ashby, P. Corticospinal projections to lower limb motoneurons in man. Exp. Brain Res. 1992, 89, 649–654. [Google Scholar] [CrossRef] [PubMed]
- Schubert, M.; Curt, A.; Jensen, L.; Dietz, V. Corticospinal input in human gait: Modulation of magnetically evoked motor responses. Exp. Brain Res. 1997, 115, 234–246. [Google Scholar] [CrossRef] [PubMed]



| Mean (SD) | p-Value 1 | ||
|---|---|---|---|
| Control Group | Post-Stroke Group | ||
| Age (years) | 74 (11.81) | 71 (11.51) | 0.325 |
| Height (cm) | 168 (11.45) | 169 (9.10) | 0.702 |
| Weight (kg) | 53 (12.41) | 53 (9.92) | 0.896 |
| Gender | Female: n = 5 Male: n = 13 | Female: n = 5 Male: n = 13 | |
| Contralesional side | -- | Left: n = 8 Right: n = 10 | -- |
| Time since stroke (months) | -- | 26.7 (12.10) | -- |
| Antagonist Coactivation (%) | p-Values # | p-Values $ | ||||||
|---|---|---|---|---|---|---|---|---|
| SitTS Sub-Phase | Healthy MED (P25–P75) | IPSI MED (P25–P75) | CONTRA MED (P25–P75) | Healthy vs. IPSI | Healthy vs. CONTRA | IPSI vs. CONTRA | Healthy vs. IPSI vs. CONTRA | |
| TA-SOL | A | 24.06 (19.33; 27.43) | 51.91 (42.54; 61.35) | 55.69 (51.11; 60.28) | <0.001 * | <0.001 * | 0.335 | <0.001 * |
| B | 34.68 (24.22; 44.50) | 60.05 (53.17; 65.34) | 53.54 (45.57; 64.33) | <0.001 * | <0.001 * | 0.788 | 0.020 * | |
| TA-GM | A | 21.47 (15.09; 24.60) | 47.81 (41.61; 51.33) | 47.84 (46.82; 55.95) | <0.001 * | <0.001 * | 0.289 | <0.001 * |
| B | 42.22 (38.77; 48.42) | 62.44 (55.92; 68.47) | 58.87 (55.87; 63.20) | <0.001 * | 0.010 * | 0.211 | <0.001 * | |
| BF-RF | A | 38.90 (31.95; 41.17) | 53.08 (49.67; 54.86) | 54.29 (50.10; 59.12) | <0.001 * | <0.001 * | 0.275 | <0.001 * |
| B | 40.95 (32.65; 50.25) | 50.72 (40.03; 57.66) | 43.82 (37.36; 65.98) | 0.111 | 0.402 | 0.477 | 0.273 | |
Disclaimer/Publisher’s Note: The statements, opinions and data contained in all publications are solely those of the individual author(s) and contributor(s) and not of MDPI and/or the editor(s). MDPI and/or the editor(s) disclaim responsibility for any injury to people or property resulting from any ideas, methods, instructions or products referred to in the content. |
© 2023 by the authors. Licensee MDPI, Basel, Switzerland. This article is an open access article distributed under the terms and conditions of the Creative Commons Attribution (CC BY) license (https://creativecommons.org/licenses/by/4.0/).
Share and Cite
Pinho, L.; Sousa, A.S.P.; Silva, C.; Cunha, C.; Santos, R.; Tavares, J.M.R.S.; Pereira, S.; Pinheiro, A.R.; Félix, J.; Pinho, F.; et al. Antagonist Coactivation of Muscles of Ankle and Thigh in Post-Stroke vs. Healthy Subjects during Sit-to-Stand Task. Appl. Sci. 2023, 13, 12565. https://doi.org/10.3390/app132312565
Pinho L, Sousa ASP, Silva C, Cunha C, Santos R, Tavares JMRS, Pereira S, Pinheiro AR, Félix J, Pinho F, et al. Antagonist Coactivation of Muscles of Ankle and Thigh in Post-Stroke vs. Healthy Subjects during Sit-to-Stand Task. Applied Sciences. 2023; 13(23):12565. https://doi.org/10.3390/app132312565
Chicago/Turabian StylePinho, Liliana, Andreia S. P. Sousa, Cláudia Silva, Christine Cunha, Rubim Santos, João Manuel R. S. Tavares, Soraia Pereira, Ana Rita Pinheiro, José Félix, Francisco Pinho, and et al. 2023. "Antagonist Coactivation of Muscles of Ankle and Thigh in Post-Stroke vs. Healthy Subjects during Sit-to-Stand Task" Applied Sciences 13, no. 23: 12565. https://doi.org/10.3390/app132312565
APA StylePinho, L., Sousa, A. S. P., Silva, C., Cunha, C., Santos, R., Tavares, J. M. R. S., Pereira, S., Pinheiro, A. R., Félix, J., Pinho, F., Sousa, F., & Silva, A. (2023). Antagonist Coactivation of Muscles of Ankle and Thigh in Post-Stroke vs. Healthy Subjects during Sit-to-Stand Task. Applied Sciences, 13(23), 12565. https://doi.org/10.3390/app132312565

