Improving Thermo-Energetic Consumption of Medical Center in Mexican Hot–Humid Climate Region: Case Study of San Francisco de Campeche, Mexico
Abstract
:1. Introduction
2. Case Study Location and Building Data
2.1. Description of the Case Study Location
2.2. Building Information: Outpatient Medical Center
3. Computational Methodology
3.1. Building Modeling
3.2. Building Model Calibration
3.3. Energy Efficiency Proposal Using Passive and Active Technologies
3.4. Energy, Environmental, and Economic Performance Indices
3.5. Selection of Best Alternative Based on Decision-Making Algorithm
4. Results
4.1. Improving the Energy Performance of the Outpatient Medical Center
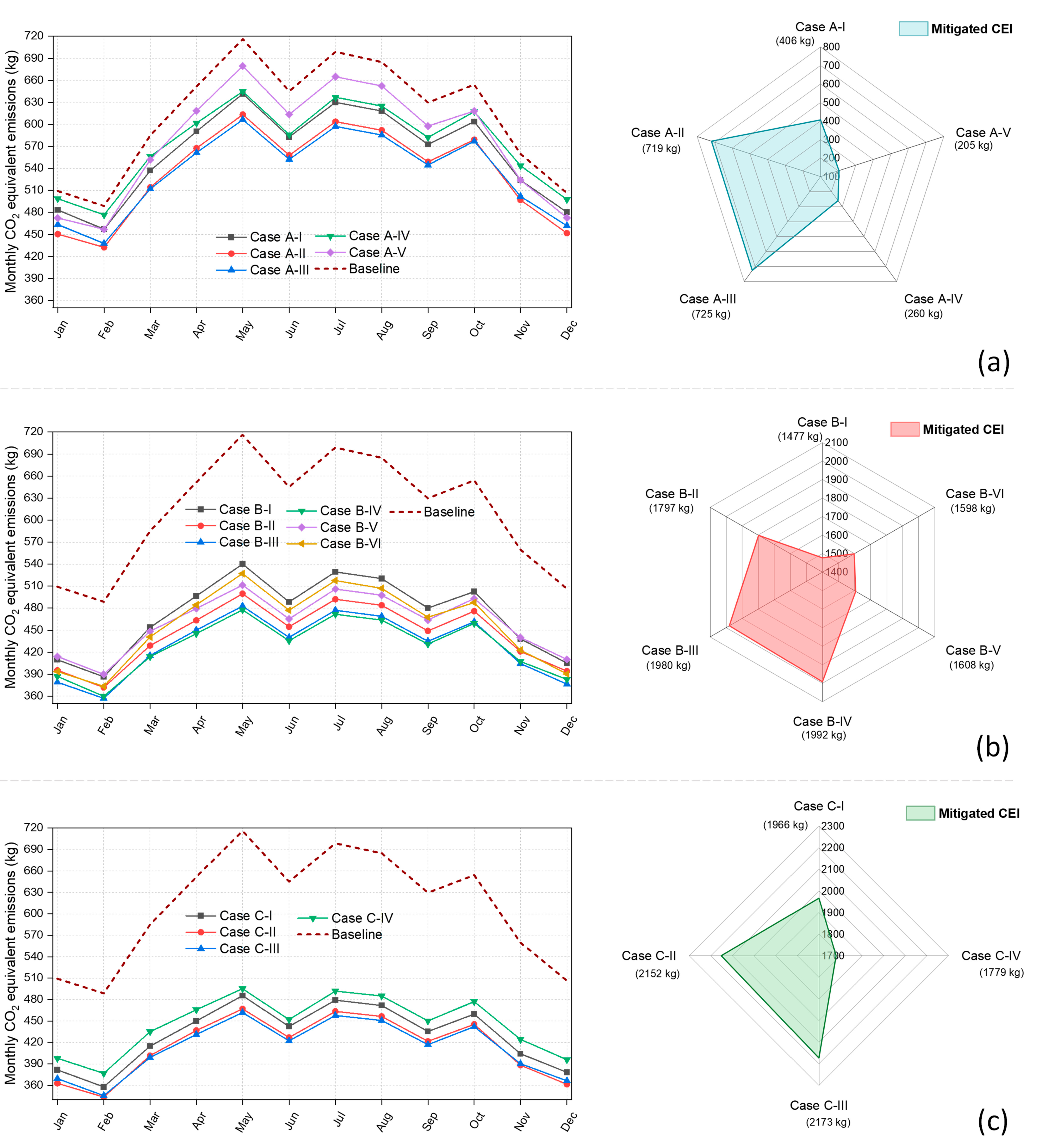
4.2. Environmental Pollution Mitigation Analysis
4.3. Building Net Saving Analysis
4.4. Implementation of TOPSIS Algorithm
5. Discussion
6. Conclusions
- ‑
- Due to the climatic conditions of high temperature and humidity, the green roof and polyurethane insulation present the lowest energy savings.
- ‑
- Green roofs present multiple advantages from the environmental perspective; however, the installation cost, maintenance, irrigation, and the region directly affect their performance.
- ‑
- Implementing inverter technologies in air conditioning significantly improves the energy consumption in buildings, specifically in medical centers where a stable temperature is necessary.
- ‑
- Although there is a national policy regarding target temperatures in medical spaces, a range is not established according to the region’s conditions, which is why it is imperative to promote a policy that results in better energy consumption practices.
Author Contributions
Funding
Institutional Review Board Statement
Informed Consent Statement
Data Availability Statement
Acknowledgments
Conflicts of Interest
References
- Li, C.; Gao, X.; Wu, J.; Wu, K. Demand prediction and regulation zoning of urban-industrial land: Evidence from Beijing-Tianjin-Hebei Urban Agglomeration, China. Environ. Monit. Assess. 2019, 191, 412. [Google Scholar] [CrossRef] [PubMed]
- Shi, Y.; Yan, Z.; Li, C.; Li, C. Energy consumption and building layouts of public hospital buildings: A survey of 30 buildings in the cold region of China. Sustain. Cities Soc. 2021, 74, 103247. [Google Scholar] [CrossRef]
- Sadeghian, O.; Moradzadeh, A.; Mohammadi-Ivatloo, B.; Abapour, M.; Anvari-Moghaddam, A.; Lim, J.S.; Marquez, F.P.G. A comprehensive review on energy saving options and saving potential in low voltage electricity distribution networks: Building and public lighting. Sustain. Cities Soc. 2021, 72, 103064. [Google Scholar] [CrossRef]
- Cho, K.; Yang, J.; Kim, T.; Jang, W. Influence of building characteristics and renovation techniques on the energy-saving performances of EU smart city projects. Energy Build. 2021, 252, 111477. [Google Scholar] [CrossRef]
- Global Alliance for Buildings and Constructuion, International Energy Agency, United Nations Environment Programme, 2019 Global Status Report for Buildings and Construction: Towards a Zero-Emissions, Efficient and Resilient Buildings and Construction Sector, Paris. 2019. Available online: https://www.iea.org/reports/global-status-report-for-buildings-and-construction-2019 (accessed on 12 October 2023).
- Milojevic-Dupont, N.; Creutzig, F. Machine learning for geographically differentiated climate change mitigation in urban areas. Sustain. Cities Soc. 2021, 64, 102526. [Google Scholar] [CrossRef]
- Rosas-Flores, J.A.; Rosas-Flores, D. Potential energy savings and mitigation of emissions by insulation for residential buildings in Mexico. Energy Build. 2019, 209, 109698. [Google Scholar] [CrossRef]
- Lee, S.-J.; Song, S.-Y. Energy efficiency, visual comfort, and thermal comfort of suspended particle device smart windows in a residential building: A full-scale experimental study. Energy Build. 2023, 298, 113514. [Google Scholar] [CrossRef]
- Zhang, Y.; Zhang, Y.; Zhang, C. Effect of physical, environmental, and social factors on prediction of building energy consumption for public buildings based on real-world big data. Energy 2022, 261, 125286. [Google Scholar] [CrossRef]
- Guo, Y.; Uhde, H.; Wen, W. Uncertainty of energy consumption and CO2 emissions in the building sector in China. Sustain. Cities Soc. 2023, 97, 104728. [Google Scholar] [CrossRef]
- Sun, Y.; Kojima, S.; Nakaohkubo, K.; Zhao, J.; Ni, S. Analysis and Evaluation of Indoor Environment, Occupant Satisfaction, and Energy Consumption in General Hospital in China. Buildings 2023, 13, 1675. [Google Scholar] [CrossRef]
- Rahman, N.M.A.; Lim, C.H.; Fazlizan, A. Optimizing the energy saving potential of public hospital through a systematic approach for green building certification in Malaysia. J. Build. Eng. 2021, 43, 103088. [Google Scholar] [CrossRef]
- Gamero-Salinas, J.; Monge-Barrio, A.; Kishnani, N.; López-Fidalgo, J.; Sánchez-Ostiz, A. Passive cooling design strategies as adaptation measures for lowering the indoor overheating risk in tropical climates. Energy Build. 2021, 252, 111417. [Google Scholar] [CrossRef]
- Lorentzen, D.M.C.; McNeil, M.A. Electricity demand of non-residential buildings in Mexico. Sustain. Cities Soc. 2020, 59, 102165. [Google Scholar] [CrossRef]
- Xu, T.; Zhang, Y.; Shi, L.; Feng, Y.; Ke, X.; Zhang, C. A comprehensive evaluation framework of energy and resources consumption of public buildings: Case study, People’s Bank of China. Appl. Energy 2023, 351, 121869. [Google Scholar] [CrossRef]
- Seo, R.-S.; Jung, G.-J.; Rhee, K.-N. Impact of green retrofits on heating energy consumption of apartment buildings based on nationwide energy database in South Korea. Energy Build. 2023, 292, 113142. [Google Scholar] [CrossRef]
- As, M.; Bilir, T. Enhancing energy efficiency and cost-effectiveness while reducing CO2 emissions in a hospital building. J. Build. Eng. 2023, 78, 107792. [Google Scholar] [CrossRef]
- García-Sanz-Calcedo, J.; Al-Kassir, A.; Yusaf, T. Economic and Environmental Impact of Energy Saving in Healthcare Buildings. Appl. Sci. 2018, 8, 440. [Google Scholar] [CrossRef]
- De Masi, R.F.; Del Regno, N.; Gigante, A.; Ruggiero, S.; Russo, A.; Tariello, F.; Vanoli, G.P. The Importance of Investing in the Energy Refurbishment of Hospitals: Results of a Case Study in a Mediterranean Climate. Sustainability 2023, 15, 11450. [Google Scholar] [CrossRef]
- Liu, A.; Ma, Y.; Miller, W.; Xia, B.; Zedan, S.; Bonney, B. Energy Analysis and Forecast of a Major Modern Hospital. Buildings 2022, 12, 1116. [Google Scholar] [CrossRef]
- Instituto Nacional de Estadistica y Geografía, Aspectos Geográficos: Campeche 2021,Publisher by INEGI, Aguascalientes. 2022. Available online: https://www.inegi.org.mx/contenidos/app/areasgeograficas/resumen/resumen_04.pdf (accessed on 12 October 2023).
- May-Tzuc, O.; Jiménez-Torres, M.A.; Cruz y Cruz, A.; Canul-Turriza, R.; Andrade-Durán, J.E.; Noh-Pat, F. Feasibility of the adaptive thermal comfort model under warm sub- humid climate conditions: Cooling energy savings in Campeche, Mexico. Rev. Hábitat Sustentable 2023, 13, 120–131. [Google Scholar] [CrossRef]
- Villar-Ramos, M.M.; Hernández-Pérez, I.; Aguilar-Castro, K.M.; Zavala-Guillén, I.; Macias-Melo, E.V.; Hernández-López, I.; Serrano-Arellano, J. A Review of Thermally Activated Building Systems (TABS) as an Alternative for Improving the Indoor Environment of Buildings. Energies 2022, 15, 6179. [Google Scholar] [CrossRef]
- Sukarno, R.; Putra, N.; Hakim, I.I.; Rachman, F.F.; Mahlia, T.M.I. Utilizing heat pipe heat exchanger to reduce the energy consumption of airborne infection isolation hospital room HVAC system. J. Build. Eng. 2021, 35, 102116. [Google Scholar] [CrossRef]
- DesignBuilder Software LTd., DesignBuilder. 2022. Available online: https://designbuilder.co.uk/ (accessed on 15 February 2023).
- Schurk, D. Conditioning for the environment of critical care hospital operating rooms. ASHRAE J. 2019, 61, 16. Available online: https://www.ashrae.org/technical-resources/ashrae-journal (accessed on 12 October 2023).
- Remund, J.; Müller, S.; Schmutz, M.; Barsotti, D.; Graf, P.; Cattin, R. Meteonorm 8.1 Manual (Software). 2022, Volume 63. Available online: https://meteonorm.com/assets/downloads/mn81_software.pdf (accessed on 12 October 2023).
- Corrado, V.; Fabrizio, E. Steady-State and Dynamic Codes, Critical Review, Advantages and Disadvantages, Accuracy, and Reliability. In Handbook of Energy Efficiency in Buildings; Asdrubali, F., Desideri, U., Eds.; Elsevier: Amsterdam, The Netherlands, 2019; pp. 263–294. [Google Scholar] [CrossRef]
- Torres, M.J.; Bienvenido-Huertas, D.; Tzuc, O.M.; Bassam, A.; Castellanos, L.J.R.; Flota-Bañuelos, M. Assessment of climate change’s impact on energy demand in Mexican buildings: Projection in single-family houses based on Representative Concentration Pathways. Energy Sustain. Dev. 2023, 72, 185–201. [Google Scholar] [CrossRef]
- Hu, M.; Zhang, K.; Nguyen, Q.; Tasdizen, T. The effects of passive design on indoor thermal comfort and energy savings for residential buildings in hot climates: A systematic review. Urban Clim. 2023, 49, 101466. [Google Scholar] [CrossRef]
- CONUEE, Catálogo de Tecnologías. Tecnologías Energeticamente Eficientes Para la Envolvente Térmica de las Edificaciones, Mexico City, Mexico. 2017. Available online: https://www.conuee.gob.mx/transparencia/nuevaestrategia/index.html (accessed on 12 October 2023).
- Hernández-Pérez, I. Influence of Traditional and Solar Reflective Coatings on the Heat Transfer of Building Roofs in Mexico. Appl. Sci. 2021, 11, 3263. [Google Scholar] [CrossRef]
- Mihalakakou, G.; Souliotis, M.; Papadaki, M.; Menounou, P.; Dimopoulos, P.; Kolokotsa, D.; Paravantis, J.A.; Tsangrassoulis, A.; Panaras, G.; Giannakopoulos, E.; et al. Green roofs as a nature-based solution for improving urban sustainability: Progress and perspectives. Renew. Sustain. Energy Rev. 2023, 180, 113306. [Google Scholar] [CrossRef]
- Mousavi, S.; Gheibi, M.; Wacławek, S.; Behzadian, K. A novel smart framework for optimal design of green roofs in buildings conforming with energy conservation and thermal comfort. Energy Build. 2023, 291, 113111. [Google Scholar] [CrossRef]
- Hernández-Pérez, I.; Xamán, J.; Macías-Melo, E.; Aguilar-Castro, K.; Zavala-Guillén, I.; Hernández-López, I.; Simá, E. Experimental thermal evaluation of building roofs with conventional and reflective coatings. Energy Build. 2018, 158, 569–579. [Google Scholar] [CrossRef]
- De la Cruz-Uribe, A.; Jesús-Castañeda, M.; Bolívar-Fuentes, R.C.; Laines-Canepa, J.R.; Hernández-Barajas, J.R. Análisis beneficio-costo de techos verdes extensivos en condiciones del trópico húmedo en Villahermosa, México. Ecosistemas Y Recur. Agropecu. 2023, 10, 3586. [Google Scholar] [CrossRef]
- Saraeian, Z.; Farrell, C.; Williams, N.S. Green roofs sown with an annual plant mix attain high cover and functional diversity regardless of irrigation frequency. Urban For. Urban Green. 2022, 73, 127594. [Google Scholar] [CrossRef]
- Poveda-Orjuela, P.P.; García-Díaz, J.C.; Pulido-Rojano, A.; Cañón-Zabala, G. ISO 50001: 2018 and Its Application in a Comprehensive Management System with an Energy-Performance Focus. Energies 2019, 12, 4700. [Google Scholar] [CrossRef]
- Torres, S.G.M.; Tzuc, O.M.; Aguilar-Castro, K.M.; Téllez, M.C.; Sierra, J.O.; Cruz, A.d.R.C.-Y.; Barrera-Lao, F.J. Analysis of Energy and Environmental Indicators for Sustainable Operation of Mexican Hotels in Tropical Climate Aided by Artificial Intelligence. Buildings 2022, 12, 1155. [Google Scholar] [CrossRef]
- Comision Federal de Electricidad, Clasificacion Tarifaria. 2023. Available online: https://app.cfe.mx/aplicaciones/ccfe/tarifas/tarifascrenegocio/tarifas/pequenademandabt.aspx (accessed on 19 September 2023).
- Secretaría de Medio Ambiente y Recursos Naturales, Factores de Emisión del Sistema Eléctrico Nacional 2021, Ciudad de México. 2022. Available online: https://www.gob.mx/cms/uploads/attachment/file/706809/aviso_fesen_2021.pdf (accessed on 12 October 2023).
- OECD, Inflation (CPI), OECD Data. 2023. Available online: https://data.oecd.org/price/inflation-cpi.htm (accessed on 26 July 2023).
- Tzuc, O.M.; Bassam, A.; Anguebes-Franseschi, F.; Ricalde, L.J.; Flota-Bañuelos, M.; Téllez, M.C. Multivariate optimization applied for the economic competitiveness analysis of photothermal systems into industrial heat production: An approach based on artificial intelligence. J. Renew. Sustain. Energy 2020, 12, 055501. [Google Scholar] [CrossRef]
- Tariq, R.; Sohani, A.; Xamán, J.; Sayyaadi, H.; Bassam, A.; Tzuc, O.M. Multi-objective optimization for the best possible thermal, electrical and overall energy performance of a novel perforated-type regenerative evaporative humidifier. Energy Convers. Manag. 2019, 198, 111802. [Google Scholar] [CrossRef]
- Yadav, V.; Karmakar, S.; Kalbar, P.P.; Dikshit, A. PyTOPS: A Python based tool for TOPSIS. SoftwareX 2019, 9, 217–222. [Google Scholar] [CrossRef]










| Envelope | U-Value (W/(m2 K)) | Total Solar Transmission (%) | Light Transmission (%) | Materials | Width (m) | Thermal Conductivity (W/(m-K)) | Specific Heat (J/(kg-K)) | Density (kg/m3) |
|---|---|---|---|---|---|---|---|---|
| Outdoor walls | Outdoor gypsum plaster | 0.01 | 0.4 | 780 | 1860 | |||
| 1.773 | Na | Na | Cast concrete | 0.015 | 0.9 | 980 | 1860 | |
| Concrete block | 0.25 | 0.8 | 1000 | 700 | ||||
| Indoor gypsum plaster | 0.02 | 0.5 | 1000 | 1300 | ||||
| Indoor walls | Gypsum plaster | 0.01 | 0.4 | 780 | 1860 | |||
| 1.628 | Na | Na | Cast concrete | 0.015 | 0.9 | 980 | 1860 | |
| Concrete block | 0.25 | 0.8 | 1000 | 700 | ||||
| Roof | Outdoor gypsum plaster | 0.01 | 0.4 | 780 | 1860 | |||
| Ready-mixed concrete | 0.12 | 0.9 | 900 | 2100 | ||||
| 1.432 | Na | Na | Concrete block | 0.18 | 0.5 | 1000 | 1400 | |
| Indoor gypsum plaster | 0.02 | 0.5 | 1000 | 1300 | ||||
| Doors | 2.111 | Na | Na | Wood | 0.045 | 0.2 | 1760 | 357 |
| Windows | 5.894 | 79.3 | 88.1 | Clear simple glass | 0.003 | 0.96 | 800 | 2500 |
| Surface material | Solar reflectance (%) | Thermal absorbance (%) | Solar absorbance (%) | Solar absorbance (%) | ||||
| gypsum plaster | 30 | 90 | 70 | 70 | ||||
| Zone | Width (m) | Length (m) | High (m) | Electric Devices | Installed Electrical Loads (kW) | |||
| Lightning | Air Conditioning | Medical Equipment | Office Equipment | |||||
| Ophthalmological office | 3.38 | 6.69 | 4.60 | 11 plugs, 6 LED lamps 20 W, television, computer and printer, Minisplit | 0.12 | 1.22 | - | |
| Eye care | 5.13 | 4.76 | 4.73 | 6 plugs, 7 LED lamps 20 W, computer and printer, fridge, Minisplit | 0.14 | 1.28 | - | |
| Reception | 2.62 | 4.76 | 4.73 | 4 plugs, 6 LED lamps 20 W | 0.12 | - | - | - |
| Patient recovery | 4.11 | 3.00 | 3.53 | 10 plugs, 3 T8 lamps 32 W, Minisplit | 0.10 | 1.24 | - | - |
| Surgery room | 3.70 | 4.36 | 3.53 | 14 plugs, 4 T8 lamps 32 W, Minisplit 2.52 kW, 3 medical equipment | 0.13 | 2.52 | - | |
| Sterilization zone | 2.93 | 2.98 | 3.53 | 8 plugs, 2 LED lamps 9 W, fridge, 2 medical equipment | 0.02 | - | - | |
| Dressing room /bathroom | 1.73 | 5.14 | 3.53 | 2 plugs, 2 LED lamps 9 W | 0.02 | - | - | - |
| Corridor and cellar | - | - | 3.53 | 5 plugs, 10 LED lamps 9 W | 0.12 | - | - | - |
| Waiting room | 3.38 | 2.76 | 3.63 | 2 T8 lamps 32 W, Minisplit | 0.07 | 1.22 | - | - |
| Surgery office | 3.38 | 3.76 | 3.63 | 26 plugs, 2 T8 lamps 32 W, 2 medical equipment, computer, Minisplit | 0.07 | 1.22 | ||
| Outside space | 7.75 | 4.69 | - | T8 lamp 32 W | 0.03 | - | - | - |
| Energy end use | Installed electrical loads | Average monthly electricity consumption | ||||||
| (kW) | (%) | (MJ) | (%) | |||||
| Lightning | 0.89 | 7.2 | 251.6 | 5.18 | ||||
| Air conditioning | 8.69 | 70.3 | 3065.4 | 63.05 | ||||
| Office equipment | 1.913 | 15.5 | 1510.2 | 31.06 | ||||
| Medical equipment | 0.87 | 7.0 | 34.5 | 0.71 | ||||
| Loads | Period | ||||||||||
|---|---|---|---|---|---|---|---|---|---|---|---|
| Occupancy | Weekdays | ||||||||||
| Schedule | 00:00–7:59 h | 8:00–13:59 h | 14:00–16:59 h | 17:00–20:59 h | 21:00–23:59 h | ||||||
| Percentage | 0% | 100% | 0% | 100% | 0% | ||||||
| Weekend (Saturday) | |||||||||||
| Schedule | 00:00–7:59 h | 8:00–15:59 h | 16:00–23:59 h | ||||||||
| Percentage | 0% | 100% | 0% | ||||||||
| Equipment and lighting | Weekdays | ||||||||||
| Schedule | 00:00–7:59 h | 8:00–13:59 h | 14:00–16:59 h | 17:00–20:59 h | 21:00–23:59 h | ||||||
| Percentage | 0% | 100% | 0% | 100% | 0% | ||||||
| Weekend (Saturday) | |||||||||||
| Schedule | 00:00–7:59 h | 8:00–15:59 h | 16:00–23:59 h | ||||||||
| Percentage | 0% | 100% | 0% | ||||||||
| Natural Ventilation | Weekdays | ||||||||||
| Schedule | 00:00–7:59 h | 8:00–13:59 h | 14:00–16:59 h | 17:00–20:59 h | 21:00–23:59 h | ||||||
| Percentage | 100% | 10% | 10% | 10% | 100% | ||||||
| Weekend (Saturday) | |||||||||||
| Schedule | 00:00–7:59 h | 8:00–15:59 h | 16:00–17:59 h | 18:00–23:59 h | |||||||
| Percentage | 100% | 10% | 30% | 0% | |||||||
| Passive Thermal Restoration Technologies | ||||||||
| Proposed Envelope Material | U-Value (W/(m2 K)) | Width (m) | Conductivity (W/(m-K)) | Specific Heat (J/(kg-K)) | Reflectance (%) | Annual Maintenance | Unitary Price a (MXN/m2) | Ref. |
| White reflective coating | 1.278 | 0.025 | 0.40 | 780 | 90 | - | 160 | [35] |
| Expanded polystyrene | 1.760 | 0.050 | 0.04 | 1400 | - | - | 469 | [31] |
| Green roof | 1.161 | 0.200 | 0.30 | 1000 | 25 b | 1200 MXN | 550 | [36] |
| Active thermal restoration technologies | ||||||||
| Building zone | TOR c | A/C Power (kW) | Average consumption (MJ/month) | TOR c | A/C Power (kW) | Average consumption (MJ/month) | Electrical device cost (MXN) | Maintenance cost (MXN/year) |
| Current conditions | Technological replacement | |||||||
| Ophthalmological office | 1.0 | 1.22 | 839 | 1.5 | 1.7 | 774 | 7500.00 | 1400.00 |
| Eye care | 1.0 | 1.28 | 882 | 1.5 | 1.71 | 779 | 7500.00 | 1400.00 |
| Patient recovery | 1.0 | 1.24 | 246 | 1.0 | 1.18 | 155 | 6000.00 | 1400.00 |
| Surgery room | 2.0 | 2.52 | 501 | 2.0 | 2.4 | 315 | 9900.00 | 1400.00 |
| Surgery office | 1.0 | 1.22 | 242 | 1.5 | 1.72 | 226 | 7500.00 | 1400.00 |
| Waiting room | 1.0 | 1.22 | 242 | 1.0 | 1.16 | 152 | 6000.00 | 1400.00 |
| Lot | Scenarios | Passive Systems | Active System | |
|---|---|---|---|---|
| Roof | Walls | |||
| A | A-I | polyurethane insulation | None | Conventional air conditioner |
| A-II | reflective coating | None | Conventional air conditioner | |
| A-III | polyurethane insulation/reflective coating | None | Conventional air conditioner | |
| A-IV | green roof | None | Conventional air conditioner | |
| A-V | None | Reflective coating | Conventional air conditioner | |
| B | B-I | None | None | Inverter air conditioner |
| B-II | polyurethane insulation | None | Inverter air conditioner | |
| B-III | reflective coating | None | Inverter air conditioner | |
| B-IV | polyurethane insulation/reflective coating | None | Inverter air conditioner | |
| B-V | green roof | None | Inverter air conditioner | |
| B-VI | None | Reflective coating | Inverter air conditioner | |
| C | C-I | polyurethane insulation | Reflective coating | Inverter air conditioner |
| C-II | reflective coating | Reflective coating | Inverter air conditioner | |
| C-III | polyurethane insulation/reflective coating | Reflective coating | Inverter air conditioner | |
| C-IV | green roof | Reflective coating | Inverter air conditioner | |
| Parameter | Value | Unit | Reference |
|---|---|---|---|
| Electricity price | 1.07 | MXN /MJ | [40] |
| Emission factor | 0.012 | kg CO2/MJ | [41] |
| Electricity inflation rate | 4.0 | % | [42] |
| Annual discount rate | 1.0–20.0 | % | [43] |
| Maintenance annual increase rate | 6.0 | % | [42] |
| Life cycle | 15 | years | [31] |
| Priority Percentage | Best Active/Passive Technological Strategy | ||
|---|---|---|---|
| KPI | CEI | NS | |
| 10 | 10 | 80 | Reflective coating on roof with inverter air conditioner (Case B-III) |
| 20 | 10 | 70 | Reflective coating on roof with inverter air conditioner (Case B-III) |
| 30 | 10 | 60 | Reflective coating on roof with inverter air conditioner (Case B-III) |
| 40 | 10 | 50 | Reflective coating on roof and walls with inverter air conditioner (Case C-II) |
| 80 | 10 | 10 | Reflective coating on roof and walls with inverter air conditioner (Case C-II) |
| 70 | 10 | 20 | Reflective coating on roof and walls with inverter air conditioner (Case C-II) |
| 60 | 10 | 30 | Reflective coating on roof and walls with inverter air conditioner (Case C-II) |
| 50 | 10 | 40 | Reflective coating on roof and walls with inverter air conditioner (Case C-II) |
| 10 | 80 | 10 | Reflective coating on roof and walls with inverter air conditioner (Case C-II) |
| 10 | 70 | 20 | Reflective coating on roof and walls with inverter air conditioner (Case C-II) |
| 10 | 60 | 30 | Reflective coating on roof and walls with inverter air conditioner (Case C-II) |
| 10 | 50 | 40 | Reflective coating on roof and walls with inverter air conditioner (Case C-II) |
Disclaimer/Publisher’s Note: The statements, opinions and data contained in all publications are solely those of the individual author(s) and contributor(s) and not of MDPI and/or the editor(s). MDPI and/or the editor(s) disclaim responsibility for any injury to people or property resulting from any ideas, methods, instructions or products referred to in the content. |
© 2023 by the authors. Licensee MDPI, Basel, Switzerland. This article is an open access article distributed under the terms and conditions of the Creative Commons Attribution (CC BY) license (https://creativecommons.org/licenses/by/4.0/).
Share and Cite
May Tzuc, O.; Peña López, G.; Huchin Miss, M.; Andrade Durán, J.E.; Chan González, J.J.; Lezama Zárraga, F.; Jiménez Torres, M. Improving Thermo-Energetic Consumption of Medical Center in Mexican Hot–Humid Climate Region: Case Study of San Francisco de Campeche, Mexico. Appl. Sci. 2023, 13, 12444. https://doi.org/10.3390/app132212444
May Tzuc O, Peña López G, Huchin Miss M, Andrade Durán JE, Chan González JJ, Lezama Zárraga F, Jiménez Torres M. Improving Thermo-Energetic Consumption of Medical Center in Mexican Hot–Humid Climate Region: Case Study of San Francisco de Campeche, Mexico. Applied Sciences. 2023; 13(22):12444. https://doi.org/10.3390/app132212444
Chicago/Turabian StyleMay Tzuc, Oscar, Gerardo Peña López, Mauricio Huchin Miss, Juan Edgar Andrade Durán, Jorge J. Chan González, Francisco Lezama Zárraga, and Mario Jiménez Torres. 2023. "Improving Thermo-Energetic Consumption of Medical Center in Mexican Hot–Humid Climate Region: Case Study of San Francisco de Campeche, Mexico" Applied Sciences 13, no. 22: 12444. https://doi.org/10.3390/app132212444
APA StyleMay Tzuc, O., Peña López, G., Huchin Miss, M., Andrade Durán, J. E., Chan González, J. J., Lezama Zárraga, F., & Jiménez Torres, M. (2023). Improving Thermo-Energetic Consumption of Medical Center in Mexican Hot–Humid Climate Region: Case Study of San Francisco de Campeche, Mexico. Applied Sciences, 13(22), 12444. https://doi.org/10.3390/app132212444

