Next Article in Journal
HSDT: Table-Overflow Attack Defender with Historical Statistics Based Dynamic Timeout in Software Defined Networks
Previous Article in Journal
Correlation between Biogenic Amines and Their Precursors in Stored Chicken Meat
 
 
Font Type:
Arial Georgia Verdana
Font Size:
Aa Aa Aa
Line Spacing:
Column Width:
Background:
Article

Adaptive Robust Control of an Industrial Motor-Driven Stage with Disturbance Rejection Ability Based on Multidimensional Taylor Network

1
College of Information Science and Technology, Nanjing Forestry University, Nanjing 210037, China
2
School of Electrical Engineering and Automation, Henan Institute of Technology, Xinxiang 453003, China
*
Author to whom correspondence should be addressed.
Appl. Sci. 2023, 13(22), 12231; https://doi.org/10.3390/app132212231
Submission received: 4 October 2023 / Revised: 27 October 2023 / Accepted: 6 November 2023 / Published: 10 November 2023

Abstract

:
Linear motors are widely used in practical engineering fields, but it is difficult to achieve accurate position control because of model uncertainty, external interference, input nonlinearity and other factors. In this paper, a multidimensional Taylor network (MTN) controller with flexible learning robustness is proposed to realize tracking control and make the motor have excellent antijamming ability. The controller is composed of a robust feedback part, a parameter adaptive part and a multidimensional Taylor network control part. This strategy has good track tracking performance and anti-interference ability. In this control strategy, the input of the multidimensional Taylor network is determined only by the referable trajectories, and no model information is required. In addition, the designed multidimensional Taylor network can accurately describe the relationship between state variables and any complex disturbance, which is the basis of disturbance suppression. Finally, the stability of the controller is proved by the Lyapunov theorem. The unknown interference comparison experiment and numerical simulation experiment are carried out on the industrial linear motor platform, respectively. Experimental results show that compared with NNPID, the proposed algorithm has smaller overshoot and better performance under various error statistical dimensions.

1. Introduction

A linear motor is widely used in industrial production because it can provide linear motion without mechanical conversion [1]. However, if we want to achieve excellent control accuracy in practical applications, there are indeed many difficulties [2]. The parameters of the model are not fixed, and the parameters are different under different motion conditions [3]. This difference in parameter changes will have a greater impact on the control accuracy, such as the change of mover mass [4], and friction and ripple forces also have a direct impact on control performance [5]. In addition, exterior interferences with uncertainties and nonlinear unmodeled dynamics are also common in the linear motor systems, which have a negative impact on the control accuracy [6].
In order to deal with the above problems at the same time, the most common method is adaptive robust control [7]. Combining the adaptive control idea and robust control theory, adaptive robust control has the ability of parameter adaptive adjustment and robust characteristics to deal with uncertain disturbances. After a long period of development, its stability and logicality have been fully proved. Moreover, it has been verified in many specific practices, such as linear motor [8], pneumatic artificial muscle [9], hydraulic manipulator [10] and planar motor [11], etc. As in [12], an adaptive sliding mode robust tracking controller based on barrier function is designed to deal with the influence of payload uncertainty and external time-varying disturbance. Through the combination of adaptive technology and backstepping method based on command filter, a new adaptive tracking controller is designed to achieve asymptotic tracking, and the relevant stability is proved in [13]. In [14], by designing different control algorithms and aiming at the given reference signal, three stable adaptive tracking schemes are proposed to complete the tracking control problem for a class of uncertain multiple-input multiple-output nonlinear systems although there are time-varying parameters and time-varying disturbances in the system.
The traditional adaptive robust control is designed on account of the well-known model. In addition, the uncertain parameters in the system dynamic equation can be estimated by system identification or nonlinear regression function [15]. However, when dealing with unknown disturbances, it is only replaced by the product of time-varying parameters and weights, which limits the practicability of adaptive robust control to a certain extent. Most of the existing adaptive robust control results are carried out under the condition of step disturbance, which cannot fully reflect the ability of antidisturbance.
In order to suppress the interference in the control process, a variety of corresponding control methods have been developed. An integral part of the classical PID control algorithm is the traditional antidisturbance method [16]. The basic idea of the active antijamming control method developed on this basis is to make a general estimation of the uncertainties inside and a broad sense of interference through additional instruments of observation so that it can inherit the error-based control concept of PID control. This control method is widely used in mechatronics systems due to its convenient implementation steps and effectiveness in practical applications. As in [17], an output feedback controller is designed to realize the accurate trajectory tracking and state estimation of a class of electromechanical systems, and the chattering problem is effectively alleviated. The robust stability and performance of the digital motion control system based on disturbance observer are analyzed in [18]. There is also one other tactic which is used to mitigate interference on a wide scale: the construction of an interference observer. It compensates the control action by using the difference between the actual system output and the resulting nominal model. A noncascade structure speed tracking controller based on improved disturbance observer is proposed in [19], which is used to deal with multiple disturbances and improve tracking performance. A novel disturbance suppression framework based on a noncascaded structure is proposed in [20] to deal with typical disturbances common in industrial applications. Generally, under the condition of accurate modeling, this kind of model-based control strategy has a wide range of applications. Moreover, some data-driven neural network control strategies can also be applied to suppress interference. Through machine learning, arbitrary nonlinear mapping is approximated by input–output data [21]. This control method has been successfully applied to robots [22], permanent magnet synchronous motor motion control [23] and so on. As in [24], an adaptive fuzzy fractional-order sliding mode control strategy is designed to control the motion position of a permanent magnet linear synchronous motor system. For a two-axis motion control system, a robust fuzzy neural network sliding mode control method based on computational torque control design is proposed in [25]. These studies confirm that the neural networks’ nonlinear approximation capacity can enhance the controlling ability [26]. In conclusion, the anti-interference ability of adaptive robust control can be further improved.
Recently, there have been some achievements that combine adaptive robust control with the neural network method. The external disturbances further complicate the control process that must be addressed. The authors present the computed torque control (CTC) scheme compensated by a radial basis function neural network (RBFNN) in [27]. In [28], the authors propose a novel hybrid metaheuristic technique based on a nonsingular terminal sliding mode controller, a time-delay estimation method, an extended grey wolf optimization algorithm and an adaptive super-twisting control law. However, there are some defects: In general, the selection of the activation function of a neural network should establish an adequate comprehension of the existing model, making the controller’s design very tough. Secondly, the activating feature established on the already-known dynamic model will impair the approximation ability with respect to the unknown state nonlinearity. Thirdly, the multilayer neural network used in the existing neural network adaptive robust control can theoretically achieve the global optimization approximation, but it ignores the accuracy of detail approximation, which may be against disturbance suppression. Lastly, the neural network control methods need to be based on the huge number of neurons, and the corresponding calculation will inevitably increase geometrically.
In recent years, a multidimensional Taylor network control method has been proposed, which benefits from the fixed structure and the convenience of parameter adjustment, and has achieved many good application results. As in [29], for a class of nonlinear systems with unknown output dead zones, an adaptive multidimensional Taylor network control method is proposed. An output feedback control strategy based on MTN is proposed to control nonlinear systems with input saturation constraints in [30]. However, these control methods require a multidimensional Taylor network to take into account the requirements of stability, speed and error, and the internal parameter adjustment inevitably has a competitive relationship. In [31] and [32], the authors focus on the role of a multidimensional Taylor network for stochastic nonlinear systems, and in order to make the theory more rigorous, more stringent assumptions are usually required.
In order to design a motion controller for a linear motor with both parameter adaptation and disturbance rejection, an adaptive robust control strategy based on a multidimensional Taylor network is proposed in this paper. The adaptive robust control strategy of a multidimensional Taylor network proposed in this paper consists of a parameter adaptation part, a multidimensional Taylor network compensating item as well as a robust feedback section. The model-driven parameter adaptation section is composited according to the true dynamic modeling in accordance with parameter change; the multidimensional Taylor network equalizer, which is driven by data, is used for compensating and estimating the deviation, which is being modeled, and the complex interference, which is unmodeled, and the remaining refactoring errors in the first two parts are caused by the ordinary robust feedback. In comparison with other neural network control methods and traditional multidimensional Taylor network control algorithms, the adaptive robust control strategy of a multidimensional Taylor network is a new incorporation of model-based controlment and data-driven controlment. Because of its good nonlinear approximation capability, a multidimensional Taylor network with the regulative weight can establish nonlinear projection mappings between input and output. In essence, the weight adjustment process can be regarded as a learning mechanism, using the running data of the linear motor to build an ideal structure using the indicating route as well as the nonlinear recompensation. At same time, the multidimensional Taylor network has excellent nonlinear mapping ability. Thus, it is of great practical significance to combine the two together. A multidimensional Taylor network is used to improve the performance of adaptive robust control, and adaptive robust control is used to ensure the stability of the system.
To sum up, the main contribution of this paper is to propose an adaptive robust control strategy based on multidimensional Taylor networks, which has excellent trajectory tracking performance and anti-interference ability. In this control strategy, the input of the multidimensional Taylor networks is determined only by referable trajectories, and it does not need any model information. In addition, the multidimensional Taylor network designed can accurately refer to the relationships between state variables (position and velocity) and any complex disturbance, which is the basis of disturbance suppression.
The rest of the paper is arranged as follows: The dynamic model and problem description are offered in Section 2. The proposed multidimensional Taylor network adaptive robust control strategy is depicted in Section 3. The laboratory findings are shown in Section 4. The final section, Section 5, comes to a conclusion.
In years to come, the devised adaptive robust control strategy based on a multidimensional Taylor network will be further studied in MIMO systems. Enhanced accommodative controlling approaches are to be utilized. An adaptive robust control strategy for a multidimensional Taylor network will be proposed to enhance its model compensation function.

2. Problem Description

In this research, a permanent magnet synchronous motor (PMSM) has been taken as the research object, and its mathematical model mainly includes the following: inertia load position parameters; mass of load and coil components; internal load resistance, such as friction force; and external disturbance, such as cutting force. The resistance, such as friction, is related to the speed of the load, and the power provided by the motor is controlled by voltage. Ignoring the electrical error and unifying the external disturbance, the motor model can be expressed as
x ˙ 1 ( t ) = x 2 ( t ) m x ˙ 2 ( t ) = a x 2 ( t ) b h ( x 2 ( t ) ) + g ( u ( t ) ) + d ( t ) y ( t ) = x 1 ( t )
where x 1 ( t ) R is the system state at the load position, h ( ) is the unknown nonlinear mapping of the system, u ( t ) is the input voltage of the motor, g ( ) is the voltage and torque mapping of the motor, d ( k ) is the unknown limitary disturbing factor, d ( k ) < d m , d m is a constant and a and b are linear parameters representing the unknown static values of the viscous friction coefficient and Coulomb friction part, respectively.
The system model mainly includes two parts: one is linear quantity, and the other is unmodeled quantity and external disturbance, including electromagnetic saturation effect, dead-zone characteristics, modeling error and the like. The main task of this paper is to deal with unmodeled dynamics and unknown external disturbances based on a multidimensional Taylor network and to prove the stability of the system.

3. Multidimensional Taylor Network Adaptive Robust Controller

The multidimensional Taylor network adaptive robust controller mainly consists of two parts: one is adaptive control, and the other is a multidimensional Taylor network. The adaptive algorithm can ensure the stability of the control process by adjusting the parameters; the main purpose of a multidimensional Taylor network is to compensate for the unmodeled part so as to improve the dynamic characteristics and improve the antijamming ability.
The control chart of the system is shown in Figure 1. In order to ensure the good tracking performance of the system, three control ideas are applied. The details are as follows: in the process of robust feedback control, a suitable FBgain is framed to ensure this system’s closed loop stability; the adaptive algorithm compensates the system model by adjusting the parameters so as to improve the tracking performance; the multidimensional Taylor network and its internal parameter adjustment and update can not only effectively estimate the nonlinear disturbance but can also significantly improve the ability to suppress the disturbance by storing the previous state.

3.1. Robust Control

It can be seen from the system expression that the system is affected by uncertain parameters, namely m, a, b and d(t). In order to reduce the impact of parameter uncertainty on the system and improve the performance by using parameter adaptive method, the following assumptions are made.
Assumption 1.
The uncertain parameters of the system are bounded, that is,
m min < m < m max a min < a < a max b min < b < b max
where mmin, amin and bmin are the lower bounds of parameters and mmax, amax and bmax are the upper bounds of parameters.
If [ m ^ , a ^ , b ^ ] is the estimated value of the corresponding uncertain parameter [ m , a , b ] and [ m ˜ , a ˜ , b ˜ ] is the corresponding measurement error, that is, [ m ˜ , a ˜ , b ˜ ] = [ m m ^ , a a ^ , b b ^ ] , the following adaptive law can be used to estimate the uncertain parameters:
[ m ^ ˙ , a ^ ˙ , b ^ ˙ ] T = Γ Ω ( x 2 , h , t )
where Γ is a diagonal matrix and Ω ( x 2 , h , t ) is an adaptive function; the specific composition will be given later. After the above adaptive estimation, the estimated value is also bounded, that is
m min < m ^ < m max a min < a ^ < a max b min < b ^ < b max
Set y d ( t ) as the expected output of the system, then the system error can be obtained
e ( t ) = y ( t ) y d ( t )
Define error function r(t)
r ( t ) = e ˙ ( t ) + k 1 e ( t )
where k1 is the positive feedback gain. Further we can obtain
r ( t ) = e ˙ ( t ) + k 1 e ( t ) = y ˙ ( t ) y ˙ d ( t ) + k 1 e ( t ) = x ˙ 1 ( t ) y ˙ d ( t ) + k 1 e ( t ) = x 2 ( t ) y ˙ d ( t ) + k 1 e ( t )
For writing convenience, set x 2 ( t ) = y ˙ d ( t ) k 1 e ( t ) , then the above expression can be rewritten as
r ( t ) = x 2 ( t ) x 2 ( t )
In summary, the original Equation (1) can be rewritten as
m r ˙ ( t ) = g ( u ( t ) ) m x ˙ 2 ( t ) a x 2 ( t ) b h ( x 2 ( t ) ) + d ( t ) = g ( u ( t ) ) + [ x ˙ 2 ( t ) , x 2 ( t ) , h ( x 2 ( t ) ) ] [ m , a , b ] T + d ( t )
Let Ψ = [ x ˙ 2 ( t ) , x 2 ( t ) , h ( x 2 ( t ) ) ] ; then the above formula can be simplified to
m r ˙ ( t ) = g ( u ( t ) ) + Ψ [ m , a , b ] T + d ( t )
where x ˙ 2 ( t ) = y ¨ d ( t ) k 1 e ˙ ( t ) .
Through Equation (8), the following control law can be given [33]:
g ( u ( t ) ) = g a ( u ( t ) ) + g s ( u ( t ) ) + g MTN ( u ( t ) )
The first part g a ( u ( t ) ) in the above formula is as follows:
g a ( u ( t ) ) = Ψ [ m ^ , a ^ , b ^ ] T
The role of g a ( u ( t ) ) is as the main component to realize the adaptive tracking of the system.
The second part g s ( u ( t ) ) in Formula (11) is as follows:
g s ( u ( t ) ) = k 2 r ( t )
where k 2 > 0 is the feedback gain parameter. This part is linear proportional feedback, mainly used to ensure the stability of the system.
The third part g MTN ( u ( t ) ) in Equation (11) is the compensation output of the multidimensional Taylor network, and the specific content will be described in detail in the next section.
Substitute Equation (11) into (10) and arrange to obtain
m r ˙ ( t ) + k 2 r ( t ) = g MTN ( u ( t ) ) Ψ [ m ˜ , a ˜ , b ˜ ] T + d ( t )
According to Assumption 1, namely the boundedness of disturbance and the boundedness of Equation (4), there exists an ideal g MTN ( u ( t ) ) optimal value denoted as g ( u ( t ) ) that satisfies the following conditions
g ( u ( t ) ) Ψ [ m ˜ , a ˜ , b ˜ ] T + d ( t ) ε 1 r ( t ) ( g ( u ( t ) ) Ψ [ m ˜ , a ˜ , b ˜ ] T + d ( t ) ) ζ r ( t ) g ( u ( t ) ) 0
where ε 1 and ζ are normal numbers small enough. As shown in Equations (14) and (15), g MTN ( u ( t ) ) is used to comprehensively deal with the disturbance d ( t ) of the uncertain system and the parameter adaptive modeling error Ψ [ m ˜ , a ˜ , b ˜ ] T .
Theorem 1.
Provided that the following adaptive function is selected
Ω ( x 2 , h , t ) = Ψ T r ( t )
then the adaptive control law is as shown in Equation (11), which can make all signals of the system bounded. And if after a finite time  t 0  the disturbance error is 0, only the uncertain parameters are left, that is,  t t 0 d ( t ) = 0 . Further, the tracking error approaches zero. In addition, there are positive definite functions expressed as
V s ( t ) = 1 2 m r 2 ( t )
that are bounded.
The upper bound is  1 2 [ e 2 k 2 m max t m r 2 ( 0 ) + ζ m max k 2 ( 1 e 2 k 2 m max t ) ] , i.e.,
V s ( t ) 1 2 [ e 2 k 2 m max t m r 2 ( 0 ) + ζ m max k 2 ( 1 e 2 k 2 m max t ) ]
Proof of Theorem 1.
According to Equation (14), the ramification of V s ( t ) can be obtained as
V ˙ s ( t ) = r ( t ) m r ˙ ( t ) = r ( t ) [ k 2 r ( t ) + g MTN ( u ( t ) ) Ψ [ m ˜ , a ˜ , b ˜ ] T + d ( t ) ]
From Equation (15), we can obtain
V ˙ s ( t ) k 2 r 2 ( t ) + ζ 2 k 2 m max 1 2 m r 2 ( t ) + ζ = 2 k 2 m max V s ( t ) + ζ
Equation (18) can be derived by substituting Equations (17) and (19) into Equation (20).
When t t 0 and d ( t ) = 0 , define the new positive definite function V n e w ( t ) as follows:
V n e w ( t ) = V s ( t ) + 1 2 [ m ˜ , a ˜ , b ˜ ] Ψ - 1 ( t ) [ m ˜ , a ˜ , b ˜ ] T
According to Equations (15) and (19), the derivative of V n e w ( t ) is
V ˙ n e w ( t ) = V ˙ s ( t ) + [ m ˜ , a ˜ , b ˜ ] Ψ - 1 ( t ) [ m ˜ ˙ , a ˜ ˙ , b ˜ ˙ ] T k 2 r 2 ( t ) + [ m ˜ , a ˜ , b ˜ ] Ψ - 1 ( t ) [ m ˜ ˙ , a ˜ ˙ , b ˜ ˙ ] T [ m ˜ , a ˜ , b ˜ ] Ω ( x 2 , h , t ) k 2 r 2 ( t )
Since r ˙ ( t ) is finite, r ( t ) is uniformly continuous. According to Barbalat lemma, when t tends to , e ( t ) and r ( t ) both tend to zero.
Proof complete. □

3.2. Multidimensional Taylor Network Control

Set
z ( t ) = [ z 1 ( t ) , z 2 ( t ) , z n ( t ) ]
The basic structure of MTN is shown in Figure 2.
Then the estimation error w ˜ ( t )  and the tracking error e ( t ) of the MTN weight vector are convergent.
That is, there is a set of parameter vectors w so that the output O u t ( t ) of MTN can be expressed as
O u t ( t ) = i = 1 N ( n , l ) w i ( t ) s = 1 n z i λ s , i ( t )
where w ( t ) = [ w 1 ( t ) , w 2 ( t ) , w N ( n , l ) ( t ) ] , N ( n , l ) is the number of polynomials in the expansion, w i is the weight of the polynomial, λ s , i is the power of z s ( t ) in the i th product term and s = 1 n λ s , i l .
Set
η ( z ( t ) ) = [ 1 , z 1 ( t ) , z 2 ( t ) , , z n ( t ) , , z 1 2 ( t ) , z 1 ( t ) z 2 ( t ) , , z n l ( t ) ] T
Then we can obtain
O u t ( t ) = w ( t ) η ( z ( t ) )
In this paper, let z 1 ( t ) = y d ( t ) , z 2 ( t ) = y ˙ d ( t ) , and y d ( t ) = [ y d ( t ) , y ˙ d ( t ) ] . The MTN output is as follows:
O u t ( t ) = w ( t ) η ( y d ( t ) )
From the above analysis, it can be seen that the input of the MTN compensator proposed in this paper is the ideal signal vector y d ( t ) = [ y d ( t ) , y ˙ d ( t ) ] to be tracked, and the output of the MTN is used to estimate the error approximately of Ψ [ m ˜ , a ˜ , b ˜ ] as well as the disturbance d ( t ) . Unlike the traditional MTN control method, the MTN compensator is used to set up a nonlinear projection rather than achieving a global optimal approximation.
Since MTN has the ability of nonlinear approximation, the optimal approximation can be described by the output of MTN in (15), i.e.,
g ( u ( t ) ) = O u t ( t ) ε 2 = w ( t ) η ( y d ( t ) ) ε 2
where w ( t ) = [ w 1 ( t ) , w 2 ( t ) , , w N ( n , l ) ( t ) ] is the optimal weight vector and ε 2 are the minimal valuation errors. Based on basic characteristics of MTN, the following assumptions can be made.
Assumption 2.
The approximating error  ε 2  is a constant which is really tiny. ε 2 ’s numerical value is negligible if the MTN parameter is sufficiently precise, that is
ε 2 ε 1
Set the actual output of MTN as
O ^ u t ( t ) = w ^ ( t ) η ( y d ( t ) )
where w ^ ( t ) = [ w ^ 1 ( t ) , w ^ 2 ( t ) , , w ^ N ( n , l ) ( t ) ]  is the online adjustment weight quantity possessing both magnitude and direction.
From Formulas (28) and (30), we can obtain
g ( u ( t ) ) = O ^ u t ( t ) + w ˜ ( t ) η ( y d ( t ) ) ε 2
where w ˜ ( t ) = [ w ˜ 1 ( t ) , w ˜ 2 ( t ) , , w ˜ N ( n , l ) ( t ) ] is the estimation error weight vector. Substitute Formula (31) into Formula (15) to obtain
O ^ u t ( t ) + w ˜ ( t ) η ( y d ( t ) ) Ψ [ m ˜ , a ˜ , b ˜ ] T + d ( t ) ε 1 + ε 2 = ε
where υ d ε , ι > 0 , υ d tanh ( r ( t ) υ d ι )   is the simple robust compensation,  υ d   is the robust compensation boundary and  ι   is an arbitrary positive number.
Then the update rule of the MTN weight is as follows:
w ^ ˙ ( t ) = β η ( y d ( t ) ) r ( t )
where   β = [ β 1 , β 2 , , β N ( n , l ) ]   is the symmetric matrices concerning positive definite returns, while  β i   is the step-size adjustment.
Theorem 2.
About the linear generator arrangement shown in Equation (1), if the adaptive function of the robust adaptive control part is selected as Equation (16) and the robust compensating part and internal parameter update rate of the MTN part are respectively expressed by Equations (30) and (34), then both the estimation error  w ˜ ( t )  and the tracking error  e ( t )  of the weight vector of the MTN part are convergent.
Proof of Theorem 2.
The Lyapunov function is selected as follows:
V ( t ) = V 1 ( t ) + V 2 ( t ) = 1 2 m r 2 ( t ) + 1 2 t r ( w ˜ ( t ) β 1 w ˜ T ( t ) )
where V 1 ( t ) is the energy function, V 2 ( t ) represents the ability of the MTN compensator to estimate the true value and t r ( ) is the trace operating part. It follows from the definition that V ( t ) 0 . If all the conditions are decided first, we can obtain 0 V ( 0 ) . According to Equation (14), we can obtain
V ˙ 1 ( t ) m r ( t ) r ˙ ( t ) = r ( t ) [ k 2 r ( t ) g MTN ( u ( t ) ) Ψ [ m ˜ , a ˜ , b ˜ ] T + d ( t ) ]
According to Formula (33), and with w ˜ ( t ) = w ( t ) w ^ ( t ) , we can obtain
V ˙ 2 ( t ) = t r ( w ^ ˙ ( t ) β 1 w ˜ T ( t ) ) = w ˜ ( t ) η ( y d ( t ) ) r ( t )
Substituting Equations (35) and (36) into Equation (34), and according to inequality (32), the derived matter of the Lyapunov function can be conveyed as
V ˙ ( t ) V ˙ 1 ( t ) + V ˙ 2 ( t ) k 2 r 2 ( t ) + r ( t ) [ O ^ u t ( t ) υ d tanh ( r ( t ) υ d ι ) + w ˜ ( t ) η ( y d ( t ) ) Ψ [ m ˜ , a ˜ , b ˜ ] T + d ( t ) ] k 2 r 2 ( t ) + r ( t ) ε
As shown in Equation (37), when r ( t ) 0 and the feedback bonus k 2 is huge enough, V ˙ ( t ) 0 . Therefore, the stability of the system and the convergence of the MTN compensator can be guaranteed.
Proof complete. □
In the multidimensional Taylor network adaptive control method proposed in this paper, the error which is being modeled and indeterminate disturbance are compensated by the MTN compensator shown in Equation (14). MTN has an independent and complete structure, and the internal weight vector can be adjusted adaptively so as to quickly and accurately approximate the unmodeled factors, such as modeling errors and uncertain disturbances, so as to ensure that the system has good tracking performance and strong anti-interference ability; that is, if g MTN ( u ( t ) ) Ψ [ m ˜ , a ˜ , b ˜ ] T + d ( t ) = 0 in Equation (14), then r ( t ) obviously converges to 0.

4. Experimental Investigation

4.1. Experiment Setup

This paper takes the two-sided moving magnet coreless permanent magnet synchronous linear motor system as the research object. The experimental prototype mainly includes sensor module, control module, power amplification module, upper computer operation interface, motor motion control system and serial communication. The prototype is composed of coil group, back iron, driving permanent magnet, measuring permanent magnet slot, measuring permanent magnet, stator frame, sensor PCB board, control and power PCB, coil fixing frame and actuator.
The experiment platform can be seen in Figure 3.
The suggested controlling plan is examined on the system shown in Figure 3. The position sensor is a magnetoresistive sensor. Because of the high speed of signal acquisition and processing, the influence of measurement delay can be ignored. The parameters of the linear motor are obtained by least-square identification. The approximate nominal values of motor parameters are as follows:
m = 0.20 a = 1.15 b = 0.37
In order to verify the tracking performance of the motor, select the following high-speed sinusoidal trajectory (dm)
x d = 0.5 cos ( 4.25 π t ) + 0.05 0 t < 50 0.25 50 t < 80 0.5 80 t < 110 0.15 110 t < 140 0.8 140 t < 170 0.35     170 t < 200
Thirty seconds later, add a disturbance of 0.3 dm, that is
d ( t ) = 0         0 t < 30 0.3         t 30  
The actual position curve of the motor is shown in Figure 4.
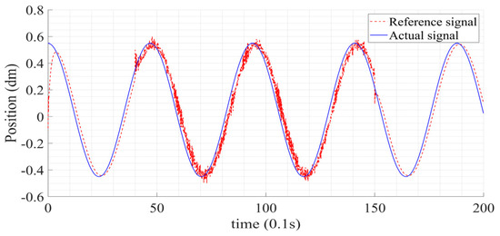
As the control group, the neural network PID (NNPID) adaptive control algorithm is selected, and the system trajectory is shown in Figure 5.
In order to examine the trajectory tracking performance of the controller, the continuous linear generator platform will be required to trace the referencing trajectory regardless of other interferences.
Thus, intrinsic attrition and automated vibration within the system can be ignored since they are tiny enough. From the above two figures, it can be seen that both algorithms can achieve error-free tracking when the system is stable, but the NNPID algorithm will have obvious jitter traces in the adjustment process. However, the proposed control algorithm based on MTN has obvious advantages in dynamic performance except for a little overshoot. The input curves of the two algorithms are shown in Figure 6 and Figure 7, respectively. It can be seen from the figure that both inputs are bounded.
Figure 8 and Figure 9 show the error curves, respectively.
In order to better illustrate the errors, three kinds of errors, RMSE (root-mean-square error), MAE (mean absolute error), MAPE (mean absolute percentage error) are counted, and the error values are shown in Table 1.
As shown in Table 1, compared with the NNPID adaptive algorithm, the statistical errors of this method have better performance under three kinds of statistical errors.
In order to simulate the real external force fluctuation in the linear motor system, one complex external interference setting is boosted to the position sensor signal in the software, namely
d 1 ( t ) = 0.58 0.3 ( sin ( 0.36 x ˙ ) + e 2 x arctan ( x x ˙ ) ) + 0.5 sin ( 4 π t )
This interference is considered to be a nonlinear function matrix for state variables plus time dependence. Additional disturbance is added at the fourth second and removed at the twelfth second. And during this period, the Gaussian white noise is added to the position sensor. The tracking curve is still as shown in Equation (42).
x d = 0.5 cos ( 4.25 π t ) + 0.05
The actual position curve of the motor is shown in Figure 10.
Under the same conditions, the output curve of NNPID is shown in Figure 11.
The error curves are shown in Figure 12 and Figure 13, and the statistical errors are shown in Table 2.
Statistical errors are shown in Table 2.
As shown in the figure above, the algorithm proposed in this paper has obvious fluctuations at the moment when the disturbance is added and has disappeared, but the overall fluctuations are less than those in the control group. It can also be seen from Table 2 that the method proposed in this paper has a better performance.

4.2. Numerical Simulation

To verify the effectiveness of the proposed algorithm, the following system is considered:
x 11 ( k + 1 ) = x 21 ( k ) x 12 ( k + 1 ) = x 22 ( k ) x 21 ( k + 1 ) = 0.38 x 11 ( k ) 1 + x 21 2 ( k ) + 2.2 u 1 ( k ) + h ( x ( k ) , u ( k ) ) x 22 ( k + 1 ) = ( 0.12 + 0.05 cos ( x 12 ( k ) ) ) x 22 ( k ) + 2 u 2 ( k ) y 1 ( k ) = x 11 ( k ) y 2 ( k ) = x 12 ( k )
The desired signal is selected as follows:
y 1 d ( k ) = 0.25 sin ( 0.52 k π 50 + π 4 ) y 2 d ( k ) = 0.21 cos ( 0.48 k π 50 π 4 )
and
h ( x ( k ) , u ( k ) ) = 0.1 x 11 ( k ) sin ( x 21 ( k ) ) cos ( x 22 ( k ) )
The initial values of states are given as
x 11 ( k ) = 1.2 x 12 ( k ) = 0.5 x 21 ( k ) = 0.2 x 22 ( k ) = 0.31
The tracking performances of y1 and y2 using MTN controller are shown in Figure 14.
Figure 14a,b show the actual and the expected tracking curves of y1 and y2, where y1d and y2d are expected signals of y1 and y2, respectively. The tracking error between y1 and y1d approaches zero, indicating that a high-quality tracking performance is achieved.
To further demonstrate the superior performance of the proposed method, we compared it with the radial basis function (RBF)-based control method. Figure 15 shows the control results obtained using the RBF-based control method.
The RBF robust controller exhibits a significant overshoot. Additionally, during periods of significant fluctuations in the reference signal, there is a noticeable output lag.
In conclusion, the robust adaptive control method based on MTN proposed in this paper can effectively control such special unknown disturbance. The results of the above cases show that the control method proposed in this paper can provide better tracking performance and antidisturbance ability than the traditional NNPID control method.

5. Discussion

In order to obtain good tracing capacity as well as the antidisturbing capability of a linear motor system, an adaptive robust controller based on MTN is proposed in this paper. The controller consists of three parts: the robust feedback part, the MTN compensation part and the linearized parameter adaptive part. The MTN can obtain the nonlinear mapping between the reference trajectory and the complex disturbance through learning and parameter adjustment so as to further improve the anti-interference ability of the controller. At the same time, the MTN generated by errors can further compensate for unmodeled dynamics and complex external disturbances. The stability of an adaptive robust controller based on MTN is analyzed directionally according to the Lyapunov theorem, and the relevant proof process is given. Taking the industrial two-sided moving magnet coreless permanent magnet synchronous linear motor system as the test object, the tracking and disturbance resistance experiments were carried out. The experimental results consistently verify that the adaptive robust controller of MTN proposed in this paper can achieve good control performance under complex external disturbances and that it has good disturbance suppression ability.

Author Contributions

Methodology, Q.S.; Software, S.W.; Validation, C.Z.; Investigation, Q.S., Y.Z. and X.W.; Writing—original draft, Q.S. All authors have read and agreed to the published version of the manuscript.

Funding

This work was supported in part by the Natural Science Foundation of the Higher Education Institutions of Jiangsu Province, China (Grant No. 22KJB510026), The Subject of Educational Informatization in Colleges and Universities in Jiangsu Province (Grant No. 2021JSETKT062), Research Topic of Modern Educational Technology in Jiangsu Province (Grant No. 2022-R-101321), Research on Quality Assurance and Evaluation of Higher Education in Jiangsu Province (Grant No. 2021JSETKT062), Entrepreneurship Training Program for College students in Jiangsu Province (Grant No. 202210298001T), State Scholarship Fund under Grant 202108410235,the Special Research and Promotion Program of Henan Province under Grant 212102210015 and the Education and Teaching Reform Research and Practice Project of Henan Institute of Technology under Grant DQXY-2021005.

Data Availability Statement

Data are contained within the article.

Conflicts of Interest

The authors declare no conflict of interest. The funders had no role in the design of the study; in the collection, analyses, or interpretation of data; in the writing of the manuscript; or in the decision to publish the results.

References

  1. Cui, F.; Sun, Z.; Xu, W.; Zhou, W.; Liu, Y. Comparative analysis of bilateral permanent magnet linear synchronous motors with different structures. CES Trans. Electr. Mach. Syst. 2020, 4, 142–150. [Google Scholar] [CrossRef]
  2. Dong, D.; Huang, W.; Bu, F.; Wang, Q. Modeling and Optimization of a Tubular Permanent Magnet Linear Motor Using Transverse-Flux Flux-Reversal Topology. IEEE Trans. Ind. Appl. 2019, 55, 1382–1391. [Google Scholar] [CrossRef]
  3. Wang, L.; Zhao, J.; Yang, X.; Zheng, Z.; Zhang, X.; Wang, L. Robust Deadbeat Predictive Current Regulation for Permanent Magnet Synchronous Linear Motor Drivers with Parallel Parameter Disturbance and Load Observer. IEEE Trans. Power Electr. 2022, 37, 7834–7845. [Google Scholar] [CrossRef]
  4. Cupertino, F.; Naso, D.; Mininno, E.; Turchiano, B. Sliding-Mode Control with Double Boundary Layer for Robust Compensation of Payload Mass and Friction in Linear Motors. IEEE Trans. Ind. Appl. 2009, 45, 1688–1696. [Google Scholar] [CrossRef]
  5. Ping, Z.; Liu, C.; Huang, Y.; Yu, M.; Lu, J. Experimental Output Regulation of Linear Motor Driven Inverted Pendulum with Friction Compensation. IEEE Trans. Syst. Man Cybern. Syst. 2021, 51, 3751–3758. [Google Scholar] [CrossRef]
  6. Zhang, K.; Wang, L.; Fang, X. High-Order Fast Nonsingular Terminal Sliding Mode Control of Permanent Magnet Linear Motor Based on Double Disturbance Observer. IEEE Trans. Ind. Appl. 2022, 58, 3696–3705. [Google Scholar] [CrossRef]
  7. Wang, A.; Liu, L.; Qiu, J.; Feng, G. Event-Triggered Robust Adaptive Fuzzy Control for a Class of Nonlinear Systems. IEEE Trans. Ind. Appl. IEEE Trans. Fuzzy Syst. 2019, 27, 1648–1658. [Google Scholar] [CrossRef]
  8. Cheema, M.A.M.; Fletcher, J.E.; Xiao, D.; Rahman, M.F. A Linear Quadratic Regulator-Based Optimal Direct Thrust Force Control of Linear Permanent-Magnet Synchronous Motor. IEEE Trans. Ind. Electron. 2016, 63, 2722–2733. [Google Scholar] [CrossRef]
  9. Liang, D.; Sun, N.; Wu, Y.; Chen, Y.; Fang, Y.; Liu, L. Energy-Based Motion Control for Pneumatic Artificial Muscle Actuated Robots with Experiments. IEEE Trans. Ind. Electron. 2022, 69, 7295–7306. [Google Scholar] [CrossRef]
  10. Zhang, F.; Zhang, J.; Cheng, M.; Xu, B. A Flow-Limited Rate Control Scheme for the Master–Slave Hydraulic Manipulator. IEEE Trans. Ind. Electron. 2022, 69, 4988–4998. [Google Scholar] [CrossRef]
  11. Huang, S.; Cao, G.; Xu, J.; Cui, Y.; Wu, C.; He, J. Predictive Position Control of Long-Stroke Planar Motors for High-Precision Positioning Applications. IEEE Trans. Ind. Electron. 2021, 68, 796–811. [Google Scholar] [CrossRef]
  12. Shao, K.; Zheng, J.; Wang, H.; Wang, X.; Lu, R.; Man, Z. Tracking Control of a Linear Motor Positioner Based on Barrier Function Adaptive Sliding Mode. IEEE Trans. Ind. Inform. 2021, 17, 7479–7488. [Google Scholar] [CrossRef]
  13. Li, Y. Command Filter Adaptive Asymptotic Tracking of Uncertain Nonlinear Systems with Time-Varying Parameters and Disturbances. IEEE Trans. Automat. Contr. 2022, 67, 2973–2980. [Google Scholar] [CrossRef]
  14. Zhang, Z.; Xie, X.; Ge, S.S. Adaptive Tracking for Uncertain MIMO Nonlinear Systems with Time-Varying Parameters and Bounded Disturbance. IEEE Trans. Syst. Man Cybern. Syst. 2021, 51, 4479–4491. [Google Scholar] [CrossRef]
  15. Chen, B.; Liu, X.; Lin, C. Observer and Adaptive Fuzzy Control Design for Nonlinear Strict-Feedback Systems with Unknown Virtual Control Coefficients. IEEE Trans. Fuzzy Syst. 2018, 26, 1732–1743. [Google Scholar] [CrossRef]
  16. Du, P.; Liu, Y.; Chen, W.; Zhang, S.; Deng, J. Fast and Precise Control for the Vibration Amplitude of an Ultrasonic Transducer Based on Fuzzy PID Control. IEEE Trans. Ultrason. Ferroelectr. Freq. Control 2021, 68, 2766–2774. [Google Scholar] [CrossRef] [PubMed]
  17. Yang, T.; Sun, N.; Fang, Y. Adaptive Fuzzy Control for Uncertain Mechatronic Systems with State Estimation and Input Nonlinearities. IEEE Trans. Ind. Inform. 2022, 18, 1770–1780. [Google Scholar] [CrossRef]
  18. Sariyildiz, E.; Hangai, S.; Uzunovic, T.; Nozaki, T.; Ohnishi, K. Stability and Robustness of the Disturbance Observer-Based Motion Control Systems in Discrete-Time Domain. IEEE/ASME Trans. Mechatron. 2021, 26, 2139–2150. [Google Scholar] [CrossRef]
  19. Cui, Y.; Qiao, J.; Zhu, Y.; Yu, X.; Guo, L. Velocity-Tracking Control Based on Refined Disturbance Observer for Gimbal Servo System with Multiple Disturbances. IEEE Trans. Ind. Electron. 2022, 69, 10311–10321. [Google Scholar] [CrossRef]
  20. Yan, Y.; Yang, J.; Sun, Z.; Zhang, C.; Li, S.; Yu, H. Robust Speed Regulation for PMSM Servo System with Multiple Sources of Disturbances via an Augmented Disturbance Observer. IEEE/ASME Trans. Mechatron. 2018, 23, 769–780. [Google Scholar] [CrossRef]
  21. Chen, Q.; Xie, S.; He, X. Neural-Network-Based Adaptive Singularity-Free Fixed-Time Attitude Tracking Control for Spacecrafts. IEEE Trans. Cybern. 2021, 51, 5032–5045. [Google Scholar] [CrossRef] [PubMed]
  22. Jiang, Y.; Wang, Y.; Miao, Z.; Na, J.; Zhao, Z.; Yang, C. Composite-Learning-Based Adaptive Neural Control for Dual-Arm Robots with Relative Motion. IEEE Trans. Neural Netw. Learn. Syst. 2022, 33, 1010–1021. [Google Scholar] [CrossRef] [PubMed]
  23. El-Sousy, F.F.M.; Abuhasel, K.A. Nonlinear Robust Optimal Control via Adaptive Dynamic Programming of Permanent-Magnet Linear Synchronous Motor Drive for Uncertain Two-Axis Motion Control System. IEEE Trans. Ind. Appl. 2020, 56, 1940–1952. [Google Scholar] [CrossRef]
  24. Chen, S.; Chiang, H.; Liu, T.; Chang, C. Precision Motion Control of Permanent Magnet Linear Synchronous Motors Using Adaptive Fuzzy Fractional-Order Sliding-Mode Control. IEEE/ASME Trans. Mechatron. 2019, 24, 741–752. [Google Scholar] [CrossRef]
  25. Lin, F.J.; Shen, P.H. Robust Fuzzy Neural Network Sliding-Mode Control for Two-Axis Motion Control System. IEEE Trans. Ind. Electron. 2006, 53, 1209–1225. [Google Scholar] [CrossRef]
  26. Fei, J.; Chen, Y.; Liu, L.; Fang, Y. Fuzzy Multiple Hidden Layer Recurrent Neural Control of Nonlinear System Using Terminal Sliding-Mode Controller. IEEE Trans. Cybern. 2022, 52, 9519–9534. [Google Scholar] [CrossRef]
  27. Narayan, J.; Abbas, M.; Patel, B.; Dwivedy, S.K. Adaptive RBF neural network-computed torque control for a pediatric gait exoskeleton system: An experimental study. intelligent service robotics. Intell. Serv. Robot. 2023, 16, 549–564. [Google Scholar] [CrossRef]
  28. Rezoug, A.; Iqbal, J.; Tadjine, M. Extended grey wolf optimization-based adaptive fast nonsingular terminal sliding mode control of a robotic manipulator. Proc. Inst. Mech. Eng. Part I J. Syst. Control Eng. 2022, 236, 1738–1754. [Google Scholar] [CrossRef]
  29. Han, Y. Adaptive tracking control of a class of nonlinear systems with unknown dead-zone output: A multi-dimensional Taylor network (MTN)-based approach. Int. J. Control 2021, 94, 3161–3170. [Google Scholar] [CrossRef]
  30. Han, Y. Adaptive output-feedback tracking control for a class of nonlinear systems with input saturation: A multi-dimensional Taylor network-based approach. Int. J. Syst. Sci. 2020, 51, 2471–2482. [Google Scholar] [CrossRef]
  31. Zhu, S.L.; Wang, M.X.; Han, Y.Q. Adaptive multi-dimensional Taylor network control for nonlinear stochastic systems with time-delay. Proc. Inst. Mech. Eng. Part I J. Syst. Control Eng. 2021, 236, 579–591. [Google Scholar] [CrossRef]
  32. Du, Y.; Zhu, S.L.; Han, Y.Q. Event-triggered adaptive multi-dimensional Taylor network tracking control for stochastic nonlinear systems. Trans. THE Inst. Meas. Control 2023. [Google Scholar] [CrossRef]
  33. Wang, Z.; Hu, C.X.; Zhu, Y.; He, S.Q.; Yang, K.M.; Zhang, M. Neural Network Learning Adaptive Robust Control of an Industrial Linear Motor-Driven Stage with Disturbance Rejection Ability. IEEE Trans. Ind. Inform. 2017, 13, 2172–2183. [Google Scholar] [CrossRef]
Figure 1. System control chart.
Figure 1. System control chart.
Applsci 13 12231 g001
Figure 2. MTN basic structure.
Figure 2. MTN basic structure.
Applsci 13 12231 g002
Figure 3. The experiment platform.
Figure 3. The experiment platform.
Applsci 13 12231 g003
Figure 4. Performance of the MTN controller.
Figure 4. Performance of the MTN controller.
Applsci 13 12231 g004
Figure 5. Performance of the NNPID controller.
Figure 5. Performance of the NNPID controller.
Applsci 13 12231 g005
Figure 6. Input signal of MTN controller.
Figure 6. Input signal of MTN controller.
Applsci 13 12231 g006
Figure 7. Input signal of NNPID controller.
Figure 7. Input signal of NNPID controller.
Applsci 13 12231 g007
Figure 8. Error curve of MTN controller.
Figure 8. Error curve of MTN controller.
Applsci 13 12231 g008
Figure 9. Error curve of MTN controller.
Figure 9. Error curve of MTN controller.
Applsci 13 12231 g009
Figure 10. Performance of the MTN controller.
Figure 10. Performance of the MTN controller.
Applsci 13 12231 g010
Figure 11. Performance of the NNPID controller.
Figure 11. Performance of the NNPID controller.
Applsci 13 12231 g011
Figure 12. Error curve of MTN controller.
Figure 12. Error curve of MTN controller.
Applsci 13 12231 g012
Figure 13. Error curve of MTN controller.
Figure 13. Error curve of MTN controller.
Applsci 13 12231 g013
Figure 14. Tracking performances of y1 and y2 with MTN. (a) Tracking performances of y1 (b) Tracking performances of y2.
Figure 14. Tracking performances of y1 and y2 with MTN. (a) Tracking performances of y1 (b) Tracking performances of y2.
Applsci 13 12231 g014
Figure 15. Tracking performance of y1 and y2 with RBF robust controller. (a) Tracking performance of y1 (b) Tracking performance of y2.
Figure 15. Tracking performance of y1 and y2 with RBF robust controller. (a) Tracking performance of y1 (b) Tracking performance of y2.
Applsci 13 12231 g015
Table 1. Error comparison.
Table 1. Error comparison.
ErrorsMTN ControllerNNPID Controller
MSE0.0720.097
MAE0.0140.036
MAPE0.1130.277
Table 2. Error comparison.
Table 2. Error comparison.
ErrorsMTN ControllerNNPID Controller
MSE0.0560.074
MAE0.0300.087
MAPE0.4521.007
Disclaimer/Publisher’s Note: The statements, opinions and data contained in all publications are solely those of the individual author(s) and contributor(s) and not of MDPI and/or the editor(s). MDPI and/or the editor(s) disclaim responsibility for any injury to people or property resulting from any ideas, methods, instructions or products referred to in the content.

Share and Cite

MDPI and ACS Style

Sun, Q.; Zhang, Y.; Wu, S.; Zhang, C.; Wang, X. Adaptive Robust Control of an Industrial Motor-Driven Stage with Disturbance Rejection Ability Based on Multidimensional Taylor Network. Appl. Sci. 2023, 13, 12231. https://doi.org/10.3390/app132212231

AMA Style

Sun Q, Zhang Y, Wu S, Zhang C, Wang X. Adaptive Robust Control of an Industrial Motor-Driven Stage with Disturbance Rejection Ability Based on Multidimensional Taylor Network. Applied Sciences. 2023; 13(22):12231. https://doi.org/10.3390/app132212231

Chicago/Turabian Style

Sun, Qiming, Ying Zhang, Shangzheng Wu, Chao Zhang, and Xianghua Wang. 2023. "Adaptive Robust Control of an Industrial Motor-Driven Stage with Disturbance Rejection Ability Based on Multidimensional Taylor Network" Applied Sciences 13, no. 22: 12231. https://doi.org/10.3390/app132212231

APA Style

Sun, Q., Zhang, Y., Wu, S., Zhang, C., & Wang, X. (2023). Adaptive Robust Control of an Industrial Motor-Driven Stage with Disturbance Rejection Ability Based on Multidimensional Taylor Network. Applied Sciences, 13(22), 12231. https://doi.org/10.3390/app132212231

Note that from the first issue of 2016, this journal uses article numbers instead of page numbers. See further details here.

Article Metrics

Back to TopTop