Next Article in Journal
L-rCBF: Learning-Based Key–Value Data Structure for Dynamic Data Processing
Previous Article in Journal
Research on Propagation Characteristics of Tire Cavity Resonance Noise in the Automobile Suspension
 
 
Font Type:
Arial Georgia Verdana
Font Size:
Aa Aa Aa
Line Spacing:
Column Width:
Background:
Article

Design and Optimization of Low Impact Shift Control Strategy for Aviation Transmission Power System Based on Response Surface Methodology

1
School of Mechanical and Electrical Engineering, Central South University, Changsha 410083, China
2
State Key Laboratory of Precision Manufacturing for Extreme Service Performance, Central South University, Changsha 410083, China
*
Author to whom correspondence should be addressed.
Appl. Sci. 2023, 13(22), 12115; https://doi.org/10.3390/app132212115
Submission received: 17 October 2023 / Revised: 3 November 2023 / Accepted: 6 November 2023 / Published: 7 November 2023

Abstract

:
The utilization of a variable-speed power system significantly improves the forward flight speed and cruising range of the helicopter. Nevertheless, the shock of speed and torque during the shift process brings stability and safety problems that cannot be ignored. Thus, swift and stable shift control is a key issue in the research on aviation power systems. This study focuses on the design and optimization of low-impact shift control strategies for a variable-speed power system, which involves multiple control variables, long adjustment times, and uncontrollable risks due to the nonsteady state. A comprehensive power system model that integrates the engine, a two-speed dual-clutch transmission system, and the main rotor was proposed. By selecting the engine fuel flow, friction clutch hydraulic pressure, and rotor pitch angle as input signals, regression fitting models between the input signals’ starting time points and speed or torque shock were obtained using Response Surface Methodology (RMS). The interaction effect of multiple time series was analyzed, and four kinds of low-impact nonlinear programming multi-objective optimized models for speed or torque are proposed. The results indicate that the P values of the RMS fitting models at upshift and downshift are less than 0.0001 and 0.05, respectively, which are highly significant and can effectively predict the shift dynamic response; under the optimized upshift and downshift control strategy, the speed and torque shock are reduced by 5–10%.

1. Introduction

Currently, the forward flight speeds of conventional civilian and military helicopters are limited to approximately 300–350 km/h, which does not satisfy the design goals and mission requirements of high-speed compound helicopters [1]. With innovation and breakthroughs in power plants and configurations, the horizontal flight speed of fifth-generation helicopters has exceeded 400 km/h [2]. Sikorsky displayed an S-97 Raider helicopter demonstrator for 2021, as shown in Figure 1, demonstrating revolutionary speed, maneuverability, and agility, representing a range of technologies required for future helicopters [3,4]. The novel rotorcraft has two coaxial rotor blades and a single pusher propellor, with a maximum speed exceeding 480 km/h. Its rival, V-280 Valor, features a tilt-rotor design similar to that of V-22 Osprey and is a third-generation tilt-rotor vertical lift helicopter [5]. As shown in Figure 2, it is more efficient and faster in cruise mode. It realized a speed of 555 km/h in a flight test in November 2020 [6] owing to its unique mechanical structure with a variable rotor pull direction.
Variable-speed rotor technology was adopted by the S-97 Raider and V-280 Volar [7]. The effectiveness of this technology in addressing low-speed rotor noise, breaking forward flight speeds, increasing payload and range, and reducing fuel burn and operating costs has been demonstrated by NASA [8,9,10,11]. The variable-speed transmission mechanism increases the complexity of the power system, which is a major reason for the high incidence of V-22 Osprey accidents. Boeing’s A160T hummingbird unmanned helicopter uses a variable-speed rotor [12], which significantly improves the overall aerodynamic performance and fuel economy of the aircraft [13]. However, during the transition of flight, there is a clear safety concern. This is because matching the power output of the turboshaft engine with the aerodynamic characteristics of the main rotor becomes challenging as the rotor speed changes [14].
In existing studies, the collective pitch of the main rotor is generally used as the cross-linking parameter of the flight control system to reduce the interference of the main rotor load on the turboshaft engine [15,16]. To ensure the continuous power output of the turboshaft engine, a sequential torque control method was adopted in [17], and a power turbine speed controller with linear matrix inequality control, and torque feed-forward compensation was designed to track the turbine speed and weaken the torque fluctuation in the process of rotor speed change. In a previous study [18], neural networks were used for rotor demand torque prediction to reduce the power turbine speed overshoot by more than 20%. This mitigated the interference of large changes in the rotor demand torque on the power turbine speed with a faster response and higher robustness.
The aforementioned studies primarily consider a scenario with a constant rotor speed. In such situations, a minor range of rotor speed variations results in limited changes in engine torque demand [19]. However, when there is a broad variation in rotor speed, the torque required by the main rotor and the engine’s output torque must be aligned using variable transmission. The gearshift jerk arising from multi-speed transmission, especially when the motor and clutch reach saturation in a power system, is discussed in ref. [20]. Nevertheless, these studies are predominantly geared toward vehicle systems and are not easily adaptable to variable rotor speeds. Traditional design methods, which ignore the implications of extensive rotor speed variations, fail to align the engine torque output with the dynamic process of variable rotor speed [21]. This makes it challenging to achieve smooth control in systems where the engine, variable speed transmission, and rotor are strongly coupled. Given the torque demand variations due to changing rotor speeds, improving the smoothness of the shifting process becomes a primary focus in the realm of high-speed compound helicopters.
The structure of this article is as follows: First, a brief introduction to the development and application of variable-speed transmission systems in compound helicopters is provided. Subsequently, a universal model of the engine/variable-speed transmission/main-rotor power system is developed. Finally, using XH-59A as a prototype, the Behnken and RSM are used to obtain a regression fitting model between the optimization target and input signal. The control strategy is further optimized using a nonlinear programming model to reduce the speed–torque impact during gear shifting.

2. Integrated Dynamics Model of the Helicopter Engine/Transmission System/Rotor

2.1. Simplified Generic Variable Speed Rotor Helicopter Dynamic Model

A high-speed compound helicopter features a configuration that combines a coaxial counter-rotating rigid dual rotor with a tail propeller. This design was first realized on the Sikorsky XH-59 helicopter in the 1970s [22]. Figure 3 illustrates the layout of the power system, which primarily comprises a dual turboshaft engine, a transmission system, and a twin rotor. With the two sets of rotors rotating coaxially, one above the other, the rotor torque is balanced. Hence, the tail rotor evolves into a propulsive configuration.
As explained in [11,23], the analysis of the turboshaft engine, transmission system, and main rotor subsystem coupling is fundamental for accurately understanding the dynamic characteristics of a power system. A general power system model of a high-speed compound helicopter is developed based on the power system layout shown in Figure 3. To simplify the analysis, a two-stage reduction structure is used instead of the conventional three-stage reduction design, and a single engine is used to replace the dual engine, power Pe, output speed Ωe, and engine torque Te. enters the variable speed transmission system through the one-way clutch; the engine speed undergoes a deceleration ratio iv. Following a secondary deceleration via the parallel wheel train, with a transmission ratio ip it produces an output torque Tout that drives the rotor to rotate. This results in torsion torque TMR and lift LMR. A block diagram illustrating the principle of this power system is shown in Figure 4.

2.2. Turboshaft Engine Modeling

A turboshaft engine is a standard power source for helicopter power systems. It is designed to maintain a consistent output speed during its operation and to swiftly respond to load changes without surpassing its maximum torque limit. When there is a change in the power demand of the main rotor, the fuel injection is adjusted to ensure a consistent rotor speed across various flight conditions [24]. A general gas engine model is adopted to adjust the relationship between the torque Te and rotational speed Ωe by using the fuel flow signal Fue. The physical fuel flow signal input specifies the normalized engine torque. The demand power Pe of the engine is a function of the output speed Ωe, namely ge), At steady state, Pee, Fue) = Fue × ge). When the engine speed is in the operating range, the engine power is continuously output, assuming that at Ωe0, the maximum output power is Pemax, defined w = Ωee0, ge) = Pemax × p(w), and p(1) = 1, dp(1) = 0, as follows:
T e = P e max Ω e 0 × p ( w ) w
The function p(w) takes the form of a cubic polynomial, as follows:
p ( w ) = p 1 × w + p 2 × w 2 p 3 × w 3
p 1 + p 2 p 3 = 1
p 1 + 2 p 2 3 p 3 = 0
The relationship between engine demand torque Te and output speed Ωe is shown in Figure 5.
The boundary is defined as: 0 ≤ Ωemine0w ≤ Ωemaxe0. At the minimum rotational speed, the engine power p(wmin) ≥ 0, and the following holds.
p ( w min ) = p 1 × w min + p 2 × w min 2 p 3 × w min 3 0
Similarly, the engine power at the maximum speed must be non-negative: p(wmax) ≥ 0, and the following holds.
p ( w max ) = p 1 × w max + p 2 × w max 2 p 3 × w max 3 0

2.3. Rotor Dynamic Load Modeling

According to the simplified rotor performance calculation and analysis of Dreier [25,26], and Houghton [26], the main rotor model is established by the blade element analysis theory, and the rotor is divided into several micro-elements along the wing spread direction. The aerodynamic force acting on the rotor blade is decomposed into a two-dimensional profile aerodynamic force and rotor-induced velocity aerodynamic force. Assuming that the angular velocity of the helicopter is zero, the force of each microelement segment is calculated, and the total tension and demand torque of the main rotor blade are obtained via radial and axial integrations.
The aerodynamic diagram of the blade section is shown in Figure 6. Furthermore, the air density is denoted by ρa, blade cross-section velocity is denoted by v, blade equivalent chord length is denoted by ce, rotor pitch is denoted by θ, inflow angle is denoted by α, lift coefficient is denoted by CL, CL = aoα, and drag coefficient is denoted by CD. Then, the microelement lift dL and resistance dD at the radial distance rb can be expressed as follows:
d L = 1 2 ρ a v ^ 2 c e C L d r b
d D = 1 2 ρ a v ^ 2 c e C D d r b
The flow speed in the blade section v ^ depends on the main rotor angular velocity ωMR, air inflow velocity vc, and rotor-induced velocity vind.
v ^ 2 = ω M R r b 2 + v c + v i n d 2
tan φ = v c + v i n d ω M R r b
Given that ω M R r v c + v i n d , φ denotes a small angle as follows:
φ ( v c + v i n d ) / ω M R r b
α = θ φ θ ( v c + v i n d ) / ω M R r b
v ^ = ω M R r b
Substitute Equations (11)–(13) into Equations (7) and (8), as follows:
d L = 1 2 ρ a ω M R r b 2 c e a 0 θ v c + v i n d ω M R r b d r b
d D = 1 2 ρ a ( ω M R r b ) 2 c e C D d r b
For the rotor plane, the blade lift and drag are decomposed in the vertical and horizontal directions, respectively.
d F M R = d L cos φ d D sin φ d L
d T M R = ( d L sin φ + d D cos φ ) r b ( d L φ + d D ) r b
By integrating (17) in the span direction, the required torque generated in the rotor can be obtained as follows:
T M R 0 r d L φ + d D r b = 1 2 ρ a 0 r ω M R r b 2 c e a 0 θ v c + v i n d ω M R r b v c + v i n d ω M R r b + C D r b d r b
Here, only the effects of the variation in air inflow velocity vc and main rotor speed ωMR on the rotor demand torque are considered, and Equation (18) is simplified as follows:
T M R 0 r d L φ + d D r b = 1 2 ρ a c e r 3 3 a 0 θ ( v c + v i n d ) ω M R + r 4 4 C D ω M R 2 T A
where T A = 1 2 ρ a c e 0 r v c + v i n d 2 a 0 r b d r b .

2.4. Variable Speed Gearbox Dynamic Modeling

The variable-speed transmission system uses a double-row double planetary gear train—wet friction clutch—one-way clutch configuration [27], as shown in Figure 7. The variable speed gearbox reduction ratio iv: low gearshift, Iv = i1; High gearshift, iv = i 1 . The clutch torque τo originates from the one-way clutch, which can be physically modeled as a spring with nonlinear stiffness kc1. Furthermore, τo is determined by external factors, and clutch torque τf is determined by the state of the friction clutch.
High-speed gear: The friction clutch engages, ring R2 locks up, and ring R1 rotates in the same direction as the input shaft. The one-way clutch is in an overrunning state, and the transmission ratio is:
i 1 = 1 + z R 2 z P 1 z S 1 z P 2
where z denotes the number of gear teeth, and the subscript indicates the gear train parts. Low-speed gear: The friction clutch is disengaged, ring R2 rotates freely, and ring R1 produces a tendency to rotate in the opposite direction to the input shaft, resulting in the one-way clutch locking up, and the transmission ratio is:
i 1 = 1 + z R 1 z S 1
According to the kinematics of the compound planetary gear train, the following relationship exists between the input and output torques and the multiple clutch torques:
T i n = 1 i 2 τ o + 1 i 3 τ f
T o u t = i 1 i 2 τ o + i 1 i 3 τ f
where i2 denotes the speed ratio between the input shaft and outer ring of the one-way clutch, and i3 denotes the speed ratio between the input shaft and friction clutch driven end. The torques of the two clutches are calculated as follows:
τ o = T o u t i 2 / i 1 θ ˙ o u t = Ω e / i 1 k c 1 θ R 1 Ω e / i 1 < θ ˙ o u t < Ω e / i 1 0 θ ˙ o u t = Ω e / i 1
τ f = 0 θ ˙ o u t = Ω e / i 1 F n μ d r e n Ω e / i 1 < θ ˙ o u t < Ω e / i 1 T o u t i 3 / i 1 θ ˙ o u t = Ω e / i 1
Specifically, Fn denotes the positive pressure acting on the piston, μd denotes the coefficient of dynamic friction of the clutch, re denotes the equivalent radius of the friction plate, and n denotes the number of friction surfaces. The friction torque model of the wet hydraulic clutch and the nonlinear stiffness model of the one-way clutch are obtained from the reference [28].

3. Optimization of Low Impact Shift Control Strategy for Dual–Engine Dual–Rotor Variable Speed Power System

Given the pronounced nonlinearity between these input variables and the dynamic characteristics involved with the dual-engine, dual-rotor variable-speed transmission dynamic model—the RSM is employed. RSM transforms the multi-variable, strongly coupled dynamic model into a more manageable and analyzable mathematical model.

3.1. Simulation Parameters of the Helicopter Variable-Speed Power System

XH-59A is an experimental coaxial composite helicopter developed by Sikorsky Aircraft, which uses a Pratt & Whitney PT6T-3 turboshaft starter to drive the main rotor and two Pratt & Whitney J60-P-3A turbojet engines as auxiliary thrusters. To reduce costs, Sikorsky did not integrate the rotor and transmission systems of an auxiliary propulsion unit. The rotor was powered by a turboshaft engine. The parameters of XH-59A used in this study are listed in Table 1. The basic parameters of the parallel-wheel train and variable-speed transmission system described in Section 2 are listed in Table 2.
The transmission system between the engine and rotor is divided into two parts: A variable-speed transmission system and a reduction-gear system. The transmission ratios and speed changes in the main components of the power system are listed in Table 3. The total reduction ratios of the helicopter power system in the high and low gears were 17.12 and 24.14, respectively.
The clutch hydraulic pressure is an important control variable during gear shifting. However, opening the fuel flow affects the output power of the engine, and a change in the pitch angle of the rotor affects the lift and torque of the rotor. According to the path of the power generation transmission action, the engine fuel flow Fue, clutch hydraulic pressure Hyd, and pitch angle Pit correspond to the input signals. The simulation was set for 60 s, with a preset shift start time at 12 s and a downshift start time at 42 s. The upshift durations for Fue, Hyd, and Pit were 3 s, 2 s, and 3 s, respectively. The hydraulic pressure curve was an exponential function, and the other variables were linear functions with a downshift duration of 3 s.

3.2. Control Strategies under Multivariate Time Series

Box–Behnken is an experimental design method used to adjust quadratic functions, which can effectively estimate the first-order and second-order coefficients of fitted models and is commonly used to analyze the nonlinear effects of factors [31]. The two engine fuel flow valves Fue1 and Fue2, friction clutch-driven hydraulic Hyd, and coaxial dual–rotor pitch angles Pit1 and Pit2 are the main influencing factors without further control variable screening. To avoid redundancy in the design of the test points, the upshift control time of fuel flow Fue1 was set at 15–18 s, and the downshift control time was set at 45–48 s. The upshift control time of pitch angle Pit1 was set at 12–15 s, and the downshift control time was set at 42–45 s. The starting time points for upshifting (tha, thb, thc) and downshifting (tla, tlb, tlc) of fuel flow Fue2, hydraulic Hyd, and pitch angle Pit2 were considered design factors. The horizontal design of the shifting test points is presented in Table 4 and Table 5, and the upshifting and shifting strategies are listed in Table 6 and Table 7, respectively.

3.3. Interaction Effects Analysis of Multivariate Time Series in RSM Models

Following the upshift strategy outlined in Table 6, simulations are conducted. During the upshift, the response targets include the engine speed overshoot value ΔΩe, transmission system input torque overshoot value ΔTin, rotor speed overshoot value ΔωMR, and transmission system output torque overshoot value ΔTout. Given that the friction clutch serves as an active control component during the upshift process, the torque overshoot of the friction clutch Δτf is also established as a response target. The upshift simulation strategy and its associated response targets are listed in Table 8.
The data in Table 8 is processed using Design-Expert v.13. A regression model is established between the various response targets observed during the upshift and starting points (tha, thb, thc) of fuel flow Fue2, hydraulic Hyd, and pitch angle Pit2.
Δ Ω e = 2826.91 76.88 t h a 336.74 t h b + 28.44 t h c + 9.34 t h a t h b + 0.05 t h a t h c 15.01 t h b t h c 1.30 t h a 2 + 12.35 t h b 2 + 8.17 t h c 2
Δ T i n = 1811.35 235.59 t h a + 1063.21 t h b + 313.59 h c + 36.34 t h a t h b 22.69 t h b t h c 6.90 t h a 2 64.26 t h b 2 + 31.26 t h c 2
Δ ω M R = 53.65 + 3.89 t h a 16.48 t h b + 2.82 t h c 0.513 t h a t h b + 0.29 t h b t h c + 0.08 t h a 2 + 0.98 t h b 2 0.36 t h c 2
Δ T o u t = 6313.72 651.8 t h a + 833.43 t h b 637.87 t h c + 89.75 t h a t h b 71.95 t h b t h c 14.92 t h a 2 78.87 t h b 2 + 79.25 t h c 2
Δ τ f = 1739.84 171.09 t h a + 846.96 t h b 233.04 t h c + 26.77 t h a t h b + 0.004 t h a t h c 16.41 t h b t h c 5.16 t h a 2 50.07 t h b 2 + 22.98 t h c 2
Table 9 presents the significance analysis results of the upshift regression model. With p values below 0.0001, these results highlight the model’s statistical significance. Both the multiple correlation coefficient R2 and adjusted determination coefficient Radj2 are close to 1, illustrating a strong correspondence between the response surface model’s calculations and the existing mathematical model’s simulation results. Consequently, the upshift regression model is suitable for analyzing and forecasting the response traits of various sequential upshifting strategies in variable-speed power systems.
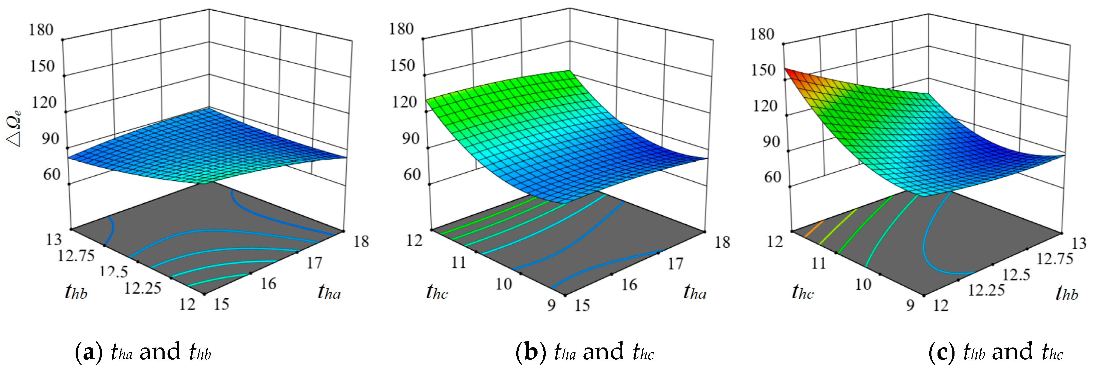
In Figure 8, when thc = 9 s, the changes in tha and thb have no significant impact on the engine output speed; when thb = 12.5 s, the earlier tha and thc can reduce the overshoot of the engine output speed; when tha = 9 s, the earlier thb and later thc can reduce the overshoot of the engine output speed.
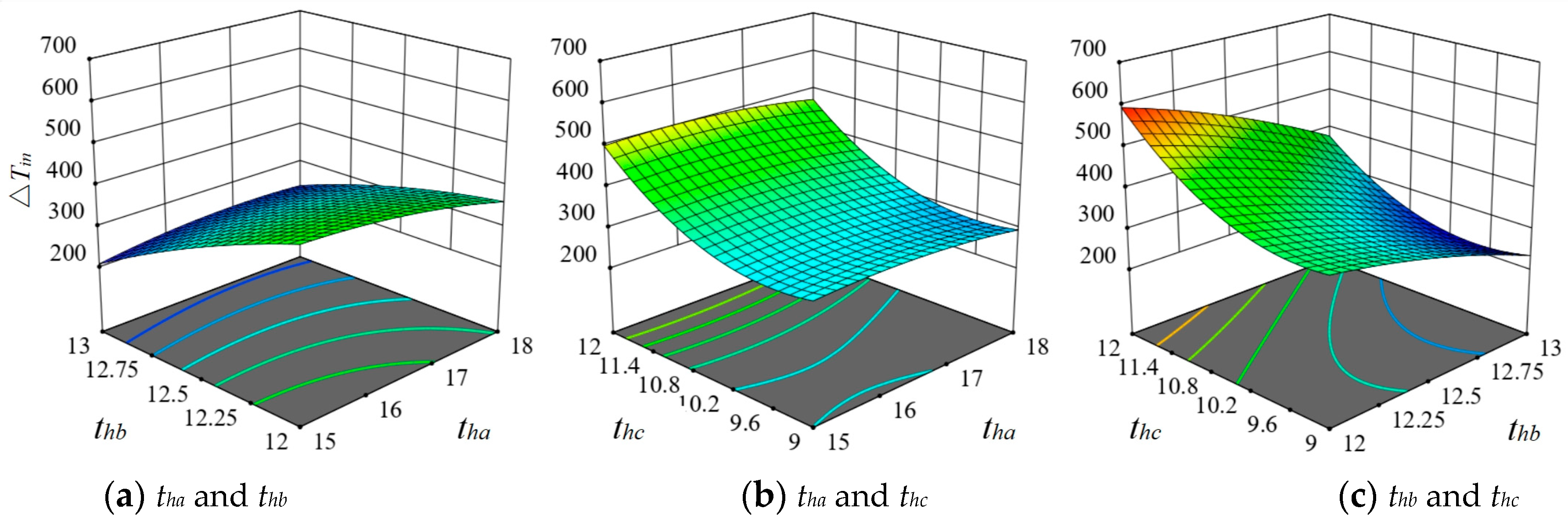
In Figure 9, when thc = 10 s, the later tha and thb can reduce the overshoot of the input torque; when thb = 12.5 s, earlier tha and later thc can reduce the overshoot of input torque; when tha = 16.5 s, earlier thb and later thc can reduce the overshoot of input torque.
In Figure 10, when thc = 10.5 s, earlier tha and thb can reduce the overshoot of rotor speed; when thb = 12.5 s, earlier tha and later thc can reduce the overshoot of rotor speed; when tha = 16.5 s, earlier thb and later thc can reduce the overshoot of rotor speed.
In Figure 11, when thc = 10.5 s, earlier thc and thb can reduce the overshoot of the output torque; when thb = 12.5 s, later tha and earlier thc can reduce overshoot of output torque; when tha = 16.5 s, later thb and earlier thc can reduce the overshoot of the output torque.
In Figure 12, when thc = 10.5 s, earlier tha and thc can reduce clutch torque overshoot; when thb = 12.5 s, later tha and earlier thc can reduce the clutch torque overshoot; when tha = 16.5 s, later thb and earlier thc can reduce the clutch torque overshoot.
Based on the downshift strategy detailed in Table 7, simulations are executed. The response targets for the downshift process include overshoot values for engine speed ΔΩe, transmission system input torque ΔTin, rotor speed ΔωMR, and transmission system output torque ΔTout. Given that the one-way clutch is engaged passively to convey torque during the downshift, the torque overshoot of the one-way clutch Δτo is also identified as a response target. Table 10 delineates the downshift simulation strategy and its associated response targets.
Regression model between the different response targets during downshift and starting points (tla, tlb, tlc) of fuel flow Fue2, hydraulic Hyd, and pitch angle Pit2.
Δ Ω e = 468.61 + 24.13 t l b 10.16 t l c
Δ T i n = 70489.29 1512.67 t l a 3095.85 t l b + 1388.96 t l c 49.26 t l b t l c + 16.27 t l a 2 + 61.77 t l b 2 + 8.37 t l c 2
Δ ω M R = 30.83 + 1.71 t l b 0.7 t l c
Δ T o u t = 3044.54 100.92 t l b + 41.14 t l c
Δ τ o = 1219.09 37.15 t l b + 15.061 t l c
The significance analysis results of the downshift regression model are shown in Table 11, with p values less than 0.05, indicating that the models are statistically significant. The multiple correlation coefficient R2 is greater than 0.52, and the correction determination coefficient Radj2 is greater than 0.46, indicating a high degree of similarity between the calculated results of the response surface model and the simulated results of the existing mathematical model. Therefore, the downshift regression model can be used to analyze and predict the response characteristics of downshift strategies in different time series.
Based on the regression model analysis results, the interaction effect between the downshifting time points and the relationship between multiple response targets was determined. When setting tla, tlb, and tlc to the 0 level, the response surface graph illustrating the relationship between variations in the other two downshifting time points and response target ΔTin is obtained, as depicted in Figure 13. It can be observed that when tlc = 40.5 s, moderate tla and earlier tlb can reduce the overshoot of input torque. When tlb = 40.5 s, moderate tla and earlier tlc can reduce the overshoot of input torque; when tla = 46.5 s, later tlb and earlier tlc can reduce the overshoot of input torque.
In Figure 13, it can be observed that at tlc = 40.5 s, moderate tla and earlier tlb can reduce input torque overshoot; when tlb = 40.5 s, moderate tla and earlier thc can reduce the overshoot of input torque; when tla = 46.5 s, later tlb and earlier tlc can reduce the overshoot of input torque.

3.4. Optimization of a Multi-Objective Low-Impact Control Strategy under Nonlinear Programming

Two upshift quality objective functions were designed for speed and torque impacts. The optimization model Ha considers engine speed stability, rotor speed variation, and friction clutch impact torque as the optimization objectives. Furthermore, the optimization model Hb considers the smoothness of the input and output torques of the variable-speed transmission system and the impact torque of the friction clutch as the optimization objectives.
Ha : min ( f shift _ Ha ) = Δ Ω e Ω e 0 + Δ ω M R ω M R H + Δ τ f τ f H , Hb : min ( f shift _ Hb ) = Δ T i n T i n H + Δ T o u t T o u t H + Δ τ f τ f H , s . t . 15 t h a 18 , 12 t h b 13 , 9 t h c 12 .
Solve the optimization model for the upshift strategy (36) to obtain the optimal upshift starting points for fuel flow Fue2, hydraulic Hyd, and pitch angle Pit2, at fshift_Ha, tha = 15.0 s, thb = 13.0 s, thc = 10.60 s; At fshift_Hb, tha = 18.0 s, thb = 13.0 s, thc = 9.80 s. Taking tha = 15.0 s, thb = 12.0 s, thc = 9.0 s as the baseline of the upshift strategy, it can be seen from Table 12 that after optimization, compared with the baseline upshift strategy, the optimized model Ha has a significant decrease in engine speed, variable transmission input, output torque, and friction clutch torque overshoot, with a decrease of 5.13%, 8.46%, 10.48%, and 9.25%, respectively. The rotor speed overshoot increased by 8.54%, and the optimization model Hb showed significant reductions in engine speed, variable transmission input, output torque, and friction clutch torque overshoot, with decreases of 4.19%, 8.19%, 9.02%, and 9.01%, respectively. The rotor speed overshoot increases by 9.18%.
According to Figure 14, compared with model Hb, model Ha reduces the overshoot of engine speed, transmission system input and output torque, and friction clutch torque by 0.94%, 0.27%, 1.46%, and 0.24% respectively. The optimization model Ha exhibits better performance in suppressing engine speed, input and output torque of the variable-speed transmission system, and torque impact of the friction clutch, and has fewer adverse effects on rotor speed. Therefore, the shift strategy based on model Ha optimization is more suitable as an upshift strategy.
Similarly, the optimization model La considers engine speed stability, rotor speed variation, and one-way clutch impact torque as the optimization objectives. Furthermore, the optimization model Lb considers the smoothness of the input and output torques of the variable-speed transmission system and the impact torque of the one-way clutch as the optimization objectives.
La : min ( f shift _ La ) = Δ Ω e Ω e 0 + Δ ω M R ω M R L + Δ τ o τ o L , Lb : min ( f shift _ Lb ) = Δ T i n T i n L + Δ T o u t T o u t L + Δ τ o τ o L , s . t . 45 t l a 48 , 39 t l b 42 , 39 t l c 42 .
The downshift strategy optimization model (37) was solved to obtain the optimal downshift starting point for fuel flow Fue2, hydraulic Hyd, and pitch angle Pit2: At fshift_La, tla = 46.0 s, tlb = 39.0 s, tlc = 42.0 s; At fshift_Lb, tla = 46.5 s, tlb = 41.2 s, tlc = 39.0 s. Furthermore, tla = 45.0 s, tlb = 42.0 s, and tlc = 42.0 s are considered the baseline of the downshift strategy. It can be seen from Table 13 that compared with the baseline downshift strategy, model La reduces engine speed, variable speed transmission output torque, and one-way clutch torque overshoot by 11.52%, 6.67%, and 4.36%, respectively, and increases variable speed transmission input torque and rotor speed overshoot by 22.8% and 13.96%, respectively. In the optimized model Lb, the overshoot of transmission input and output torque and unidirectional clutch torque are reduced by 6.51%, 7.61%, and 4.97%, respectively, and the overshoot of engine speed and rotor speed is increased by 1.79% and 16%, respectively.
As can be seen from Figure 15, compared with the La model, the overshoot of input and output torque of the variable speed transmission system and the one-way clutch under the Lb model decreased by 29.31%, 0.94%, and 0.61% respectively. The optimization model Lb offers a more harmonized approach in regulating the engine output speed and input torque of the variable-speed transmission system. It excels in mitigating the effects of the variable-speed transmission output torque and unidirectional clutch torque. Given the contrasting effects of the two optimization models on the performance of the engine, variable-speed transmission, and rotor within the power system, the optimization model Lb emerges as the more fitting choice for a downshift strategy.

4. Conclusions

(1)
The core components and working principles of the rigid coaxial twin-rotor helicopter power system were introduced, a torque model of the turboshaft engine, and a rigid rotor aerodynamic model were constructed. A composite helicopter engine/transmission system/rotor model was constructed and coupled with a variable-speed transmission system model.
(2)
Using the control time points of the upshift and downshift of fuel flow Fue, hydraulic pressure Hyd, and pitch angle Pit as input variables, 17 upshift/downshift timing strategies were designed using Box–Behnken’s center combination sampling method. Furthermore, RSM was used to obtain regression-fitting models between the overshoot values of engine speed, transmission system input torque, rotor speed, transmission system output torque, friction clutch torque, and one-way clutch torque and input variables. The interaction effects between different upshift and downshift time points were analyzed.
(3)
The upshift optimization models Ha and Hb were designed using nonlinear programming. Compared with model Hb, model Ha has better impact suppression effects in terms of engine speed, input and output torque of the variable speed transmission system, and friction clutch torque. And compared to the baseline upshift strategy, the upshift strategy (tha = 15.0 s, thb = 13.0 s, thc = 10.60 s) optimized by model Ha reduces the engine speed, variable transmission input, output torque, and friction clutch torque overshoot by 5.13%, 8.46%, 10.48%, and 9.25%, respectively.
(4)
The downshift optimization models La and Lb were designed using nonlinear programming. Compared with the optimized model La, the optimized model Lb is slightly weaker in rotor stability control, but more balanced in engine speed, variable transmission system input and output torque and one-way clutch torque impact suppression. And compared to the baseline downshift strategy, the downshift strategy (tla = 46.5 s, tlb = 41.2 s, tlc = 39.0 s) optimized by model La reduces the overshoot of input and output torque of transmission and one-way clutch torque by 6.51%, 7.61%, and 4.97%, respectively.
In this paper, the studied power system primarily focuses on the effect of the time discrepancy in controlling the engine and twin rotor on the system’s dynamic response. In real-world operational conditions, distinct control methods can be applied to various engines to assess the influence of torque output adjustments between the two engines during the shifting process. Additional research can delve into understanding how flexible blades influence the dynamic properties of gear shifting.

Author Contributions

Writing—original draft, J.W.; Writing—review & editing, H.Y.; Methodology, J.W.; Validation, Z.Z.; Data curation, X.L. All authors have read and agreed to the published version of the manuscript.

Funding

This research was funded by the National Natural Science Foundation of China, grant number 52075552.

Institutional Review Board Statement

Not applicable.

Informed Consent Statement

Not applicable.

Data Availability Statement

All data, models, and codes generated or used in the study are included in this article.

Conflicts of Interest

The authors declare no conflict of interest.

Abbreviations

PeEngine power
PemaxEngine maximum output power
ΩeEngine output speed
ΩeoEngine output speed maximum power
TeEngine torque
ivVariable speed transmission ratio
ipParallel wheel train transmission ratio
ToutTransmission system output torque
TMRRotor torsion torque
LMRRotor lift force
FueFuel flow
ρaAir density
vBlade cross-section velocity
ceBlade equivalent chord length
θ(Pit) Rotor pitch angle
αInflow angle
CLlift coefficient
CDDrag coefficient
v ^ Flow speed in the blade section
ωMRRotor angular velocity
vcAir inflow velocity
vindRotor-induced velocity
i1Low gearshift transmission ratio
i 1 High gearshift transmission ratio
zNumber of gear teeth
TinTransmission system input torque
τoOne-way clutch torque
kc1Nonlinear stiffness
τfFriction clutch torque
FnPositive pressure acting on the piston
μdCoefficient of dynamic friction
reEquivalent radius of the friction plate
nNumber of friction surfaces
NbNumber of Blade
RRotor Radius
σRotor Solidity
IMRFlap Moment of Inertia
rsSun base circle radius
rp1Wheel planet base circle radius
rp2Pinion planet base circle radius
rr1Ring r1 base circle radius
rr2Ring r2 base circle radius
HydClutch hydraulic pressure
Δ Overshot
HHigh gear
LHigh gear

References

  1. Reddinger, J.P.; Gandhi, F.; Kang, H. Using control redundancy for power and vibration reduction on a compound helicopter at high speeds. J. Am. Helicopter Soc. 2018, 63, 1–13. [Google Scholar] [CrossRef]
  2. Batrakov, A.S. Mathematical Model of the Fuselage of a Promising High-Speed Helicopter. Russ. Aeronaut. 2021, 64, 360–363. [Google Scholar] [CrossRef]
  3. Zhao, J.; Brigley, M.; Modarres, R.; Welsh, W.A. S-97 Raider Rotor Vibratory Loads Analysis using CFD-CSD. In Proceedings of the AIAA Scitech 2019 Forum, Manchester, UK, 7 January 2019; p. 0860. [Google Scholar]
  4. Zhao, J.; Lorber, P.; Brigley, M. S-97 Raider® Empennage Loads and Vibrations: Analysis, Correlation and Understanding. In Proceedings of the AIAA SCITECH 2022 Forum, San Diego, CA, USA, 3–7 January 2022; p. 0323. [Google Scholar]
  5. Army-Technology. V-280 Valor Helicopter. Available online: https://www.army-technology.com/projects/v280-valor-helicopter/ (accessed on 8 October 2023).
  6. BELL. V-280 VALOR. Available online: https://www.bellflight.com/products/bell-v-280 (accessed on 1 October 2023).
  7. Ma, J.; Lu, Y.; Xu, X.; Yue, H. Research on near field aeroacoustics suppression of tilt-rotor aircraft based on rotor phase control. Appl. Acoust. 2022, 186, 108451. [Google Scholar] [CrossRef]
  8. Krantz, T.L.; Handschuh, R.F.; Roberts, G.D. Results of NASA technical challenge to demonstrate two-speed drive for vertical lift vehicle. In Proceedings of the American Helicopter Society 74th Annual Forum, Phoenix, AZ, USA, 14–17 May 2018. [Google Scholar]
  9. Lewicki, D.G.; DeSmidt, H.; Smith, E.C.; Bauman, S.W. Two-Speed Gearbox Dynamic Simulation Predictions and Test Validation. NASA/TM-2010-216363, 1 May 2010. [Google Scholar]
  10. Kalinin, D.V. Multithreaded continuously variable transmission synthesis for next-generation helicopters. In Proceedings of the 29th Congress of International Council of the Aeronautical Science, St. Petersburg, Russia, 7–12 September 2014. [Google Scholar]
  11. Misté, G.A.; Benini, E.; Garavello, A.; Gonzalez-Alcoy, M. A methodology for determining the optimal rotational speed of a variable rpm main rotor/turboshaft engine system. J. Am. Helicopter Soc. 2015, 60, 1–11. [Google Scholar] [CrossRef]
  12. Karem, A.E. Optimum Speed Rotor. U.S. Patent No. 6,007,298, 28 December 1999. [Google Scholar]
  13. Putrich, G.; Drrwing, C. Farnborough: a160 technical description: Shifting up a gear. Flight Int. 2010, 178, 90–94. [Google Scholar]
  14. Amri, H.; Feil, R.; Hajek, M.; Weigand, M. Possibilities and difficulties for rotorcraft using variable transmission drive trains. CEAS Aeronaut. J. 2016, 7, 333–344. [Google Scholar] [CrossRef]
  15. Di Cairano, S.; Yanakiev, D.; Bemporad, A.; Kolmanovsky, I.V.; Hrovat, D. Model predictive idle speed control: Design, analysis, and experimental evaluation. IEEE Trans. Control Syst. Technol. 2012, 20, 84–97. [Google Scholar] [CrossRef]
  16. Steiner, J.H. An Investigation of Performance Benefits and Trim Requirements of a Variable Speed Helicopter Rotor. Master’s Thesis, The Pennsylvania State University, State College, PA, USA, 2008. [Google Scholar]
  17. Haibo, Z.; Changkai, Y.; Guoqiang, C. Variable rotor speed control for an integrated helicopter/engine system. Proc. Inst. Mech. Eng. Part G J. Aerosp. Eng. 2013, 228, 323–341. [Google Scholar] [CrossRef]
  18. Wang, Y.; Zheng, Q.; Xu, Z.; Zhang, H. A novel control method for turboshaft engine with variable rotor speed based on the ngdot estimator through lqg/ltr and rotor predicted torque feedforward. Chin. J. Aeronaut. 2020, 33, 1867–2187. [Google Scholar] [CrossRef]
  19. Wang, Y.; Zheng, Q.; Zhang, H.; Xu, Z. Research on Integrated Control Method of Tiltrotor with Variable Rotor Speed Based on Two-Speed Gearbox. Int. J. Turbo Jet-Engines 2018, 38, 173–183. [Google Scholar] [CrossRef]
  20. Beaudoin, M.A.; Boulet, B. Fundamental limitations to no-jerk gearshifts of multi-speed transmission architectures in electric vehicles. Mech. Mach. Theory 2021, 160, 104290. [Google Scholar] [CrossRef]
  21. Li, R.; Chen, M.; Wu, Q. Robust control for an unmanned helicopter with constrained flapping dynamics. Chin. J. Aeronaut. 2018, 31, 2136–2148. [Google Scholar] [CrossRef]
  22. Ruddell, A. Advancing Blade Concept (ABC) Technology Demonstrator; TR-81-D-5; U.S. Army Research and Technology Laboratories (AVRADCOM): Adelphi, MD, USA, 1981. [Google Scholar]
  23. Misté, G.A.; Benini, E. Performance of a Turboshaft Engine for Helicopter Applications Operating at Variable Shaft Speed. In Proceedings of the ASME Gas Turbine Conference 2012, Mumbai, India, 1 December 2012. Paper Number: GTIndia2012-9505. [Google Scholar]
  24. Miste, G. Variable Speed Rotor Helicopters: Optimization of Main Rotor-Turboshaft Engine Integration. Ph.D. Thesis, Università degli Studi di Padova, Padova, Italy, 2015. [Google Scholar]
  25. Dreier, M.E. Introduction to Helicopter and Tiltrotor Simulation; AIAA Press: Reston, VI, USA, 2007; pp. 142–145. [Google Scholar]
  26. Houghton, E.L.; Capenter, P.W.; Collicott, S.H.; Valentine, D.T. Aerodynamics for Engineering Students, 7th ed.; Arnold: Columbus, OH, USA, 2016. [Google Scholar]
  27. Wu, J.; Yan, H.; Liu, S.; Zhang, Y.; Tan, W. Bond Graph-Based Approach to Modeling Variable-Speed Gearboxes with Multi-Type Clutches. Appl. Sci. 2022, 12, 6181. [Google Scholar] [CrossRef]
  28. Wu, J.; Yan, H.; Liu, S.; Ni, D. Study on Nonlinear Dynamics Characteristics of Dual Speed Dual Clutch Transmission System Based on Bond Graph. Heliyon 2023, 9, e20862. [Google Scholar] [CrossRef] [PubMed]
  29. Felker, F.F. Performance and Loads Data from a Wind Tunnel Test of a Full-Scale Coaxial Hingeless Rotor Helicopter. NASA-TM-81329, 1 October 1981. [Google Scholar]
  30. Johnson, W. Lift-Offset Compound Design Background, X2TD, JMR, ME1AR; NASA Ames Research Center: Mountain View, CA, USA, 2011.
  31. Viana, V.R.; Ferreira, W.H.; Azero, E.G.; Dias, M.L.; Andrade, C.T. Optimization of the Electrospinning Conditions by Box-Behnken Design to Prepare Poly (vinyl alcohol)/Chitosan Crosslinked Nanofibers. J. Mater. Sci. Chem. Eng. 2020, 8, 13. [Google Scholar] [CrossRef]
Figure 1. S-97 Raider.
Figure 1. S-97 Raider.
Applsci 13 12115 g001
Figure 2. V-280 Valor.
Figure 2. V-280 Valor.
Applsci 13 12115 g002
Figure 3. Layout of a coaxial rigid rotor in a high-speed helicopter power system.
Figure 3. Layout of a coaxial rigid rotor in a high-speed helicopter power system.
Applsci 13 12115 g003
Figure 4. General model for a helicopter’s main power reduction system.
Figure 4. General model for a helicopter’s main power reduction system.
Applsci 13 12115 g004
Figure 5. Typical engine power demand curve.
Figure 5. Typical engine power demand curve.
Applsci 13 12115 g005
Figure 6. Rotor blade profile.
Figure 6. Rotor blade profile.
Applsci 13 12115 g006
Figure 7. Double row double planetary structure with multiple clutches.
Figure 7. Double row double planetary structure with multiple clutches.
Applsci 13 12115 g007
Figure 8. Response surface of engine speed overshoot during upshift.
Figure 8. Response surface of engine speed overshoot during upshift.
Applsci 13 12115 g008
Figure 9. Response surface of the input torque overshoot value of the transmission system during the upshift.
Figure 9. Response surface of the input torque overshoot value of the transmission system during the upshift.
Applsci 13 12115 g009
Figure 10. Response surface of rotor speed overshoot during upshift.
Figure 10. Response surface of rotor speed overshoot during upshift.
Applsci 13 12115 g010
Figure 11. Response surface of transmission system output torque overshoot during upshift.
Figure 11. Response surface of transmission system output torque overshoot during upshift.
Applsci 13 12115 g011
Figure 12. Response surface of friction clutch torque overshoot during upshift.
Figure 12. Response surface of friction clutch torque overshoot during upshift.
Applsci 13 12115 g012
Figure 13. Response surface of the input torque overshoot value of the transmission system during downshifting.
Figure 13. Response surface of the input torque overshoot value of the transmission system during downshifting.
Applsci 13 12115 g013
Figure 14. The upshift strategy was compared between model Ha and model Hb after optimization.
Figure 14. The upshift strategy was compared between model Ha and model Hb after optimization.
Applsci 13 12115 g014
Figure 15. The downshift strategy was compared between model La and model Lb after optimization.
Figure 15. The downshift strategy was compared between model La and model Lb after optimization.
Applsci 13 12115 g015
Table 1. Characteristics of the XH-59A [29,30].
Table 1. Characteristics of the XH-59A [29,30].
ItemValueUnit
Number of Blade Nb3 per rotor (6, total)
Number of rotors2 (coaxial)
Rotor Radius R5.49m
Rotor Solidity σ0.127
Rotor RPM ωMR
Helicopter345rpm
Compound helicopter mode240rpm
Drag coefficient cD0.08
Twist Gradient θtwist−10deg
Flap Moment of Inertia IMR450kg·m2
Gross weight4082kg
Power plants
ThrustJ60-P-3A turbojet engine
LiftPT6T-3 turboshaft engine
Table 2. Basic parameters of the variable-speed transmission system and parallel wheel train [27].
Table 2. Basic parameters of the variable-speed transmission system and parallel wheel train [27].
ItemValueUnit
Parallel wheel train ip10
Variable speed gearbox
High gear i 1 1.712
Low gear i 1 2.414
Modulus2.5mm
Sun base circle radius rs108.75mm
Planet base circle radius
Wheel rp122.5mm
Pinion rp257.35mm
Ring r1 base circle radius rr1153.75mm
Ring r2 base circle radius rr2185mm
Table 3. Transmission ratio and speed of key components in the power system.
Table 3. Transmission ratio and speed of key components in the power system.
ComponentsTransmission RatioInput Speed (rpm)
Variable speed
transmission system
1.712/2.4146000
Reduction gear train103504.8/2485.5
Rotors-350.5/249
Table 4. Three level values for upshift starting time points.
Table 4. Three level values for upshift starting time points.
LevelFactors
Fue2HydPit2
tha (s)thb (s)thc (s)
−115129
016.512.510.5
1181312
Table 5. Three level values for downshift starting time points.
Table 5. Three level values for downshift starting time points.
LevelFactors
Fue2HydPit2
tla (s)tlb (s)tlc (s)
−1453939
046.540.540.5
1484242
Table 6. The starting time point under the upshift strategy BBD design (Fue1: 15 s, Pit1: 12 s).
Table 6. The starting time point under the upshift strategy BBD design (Fue1: 15 s, Pit1: 12 s).
StrategyFue2HydPit2
tha (s)thb (s)thc (s)
116.512.510.5
21512.512
316.512.510.5
416.5139
51812.59
6181210.5
716.512.510.5
81512.59
9151210.5
1016.5129
1116.512.510.5
1216.512.510.5
13151310.5
1416.51212
151812.512
16181310.5
1716.51312
Table 7. The starting time point under downshift strategy BBD design (Fue1: 45 s, Pit1: 42 s).
Table 7. The starting time point under downshift strategy BBD design (Fue1: 45 s, Pit1: 42 s).
StrategyFue2HydPit2
tla (s)tlb (s)tlc (s)
14840.542
24540.539
34540 (39)40.5
44840.539
546.54242
646.540.540.5
7484240.5
846.540.540.5
946.53939
1046.540.540.5
1146.541 (39)42
12454240.5
1346.54239
144540.542
154840 (39)40.5
1646.540.540.5
1746.540.540.5
Note: Downshift strategies 3, 11, and 15 do not converge in the simulation; therefore, the hydraulic pressure relief time is selected, and the original design value in “()” is replaced.
Table 8. Upshift simulation strategy and response targets.
Table 8. Upshift simulation strategy and response targets.
StrategyΔΩe (rad/s)ΔTin (Nm)ΔωMR (rad/s)ΔTout (Nm)Δτf (Nm)
192.30342.888.59697.52251.10
2130.70483.266.391028.43355.33
391.75342.878.59697.52251.10
490.57226.0310.6490.08162.13
583.98312.19.55656.08227.05
692.14342.878.59697.52251.10
792.30342.878.59697.52251.10
884.35312.19.55656.08227.05
9120.17451.897.05966.76331.42
10102.77383.688.49832.21279.68
1191.37342.868.59697.52251.10
1292.14342.868.59697.52251.10
1378.13225.1710.21456.31162.68
14158.85602.295.031330.07443.08
15130.77483.266.391028.43355.37
1678.13225.1710.21456.31162.68
17101.63376.578.01772.10276.29
Table 9. Significance analysis results of the upshift regression model.
Table 9. Significance analysis results of the upshift regression model.
Response TargetF Valuep-ValueR2R2adj
ΔΩe28.610.00010.97350.9395
ΔTin69.28<0.00010.98890.9746
ΔωMR86.58<0.00010.99110.9797
ΔTout52.46<0.00010.98540.9666
Δτf71.21<0.00010.98290.9753
Table 10. Downshift strategy and response objectives.
Table 10. Downshift strategy and response objectives.
StrategyΔΩe (rad/s)ΔTin (Nm)ΔωMR (rad/s)ΔTout (Nm)Δτo (Nm)
199.41607.698.27741.44366.57
2112.33386.2811.63625.9330.95
382.69532.769.13647.18331.56
4112.53386.2811.63625.9330.95
5113.63471.0212.06460.07265.36
6145.23480.1113.13453.98261.86
7145.98480.1113.13453.98261.86
873.35431.2810.35626.38331.10
989.43508.266.72675.86331.53
1074.04431.287.35626.39331.10
1173.94482.129.56730.47363.18
12145.98480.119.75433.54240.93
13145.98469.0613.14453.94261.83
1499.61607.698.2741.44366.57
1582.78532.769.13647.18331.56
1675.1431.2710.35626.38331.10
1775.1431.2710.36626.38331.10
Table 11. Significance Analysis Results of Downshift Regression Model.
Table 11. Significance Analysis Results of Downshift Regression Model.
Response TargetF Valuep-ValueR2R2adj
ΔΩe8.050.00470.53480.4683
ΔTin20.480.00030.96340.9164
ΔωMR7.840.00520.52830.4609
ΔTout12.830.00070.64710.5967
Δτo10.720.00150.60500.4053
Table 12. Comparison of the upshift optimization model and baseline performance.
Table 12. Comparison of the upshift optimization model and baseline performance.
StrategyΔΩe (rad/s)ΔTin (Nm)ΔωMR (rad/s)ΔTout (Nm)Δτf (Nm)
Baseline104.14407.668.34885.56297.31
Model Ha71.90209.8010.56410.03151.31
Variation of
overshoot Δφ
−5.13%−8.46%+8.54%−10.48%−9.25%
Model Hb77.82215.9210.73446.53155.09
Variation of
overshoot Δφ
−4.19%−8.19%+9.18%−9.02%−9.01%
Table 13. Comparison of the downshift optimization model and baseline performance.
Table 13. Comparison of the downshift optimization model and baseline performance.
StrategyΔΩe (rad/s)ΔTin (Nm)ΔωMR (rad/s)ΔTout (Nm)Δτo (Nm)
Baseline118.05499.2811.33533.78291.31
Model La45.66951.266.21836.54402.76
Variation of
overshoot Δφ
−11.52%22.80%13.96%−6.67%−4.36%
Model Lb129.27370.3112.08490.92275.79
Variation of
overshoot Δφ
1.79%−6.51%16%−7.61%−4.97%
Disclaimer/Publisher’s Note: The statements, opinions and data contained in all publications are solely those of the individual author(s) and contributor(s) and not of MDPI and/or the editor(s). MDPI and/or the editor(s) disclaim responsibility for any injury to people or property resulting from any ideas, methods, instructions or products referred to in the content.

Share and Cite

MDPI and ACS Style

Wu, J.; Yan, H.; Zheng, Z.; Li, X. Design and Optimization of Low Impact Shift Control Strategy for Aviation Transmission Power System Based on Response Surface Methodology. Appl. Sci. 2023, 13, 12115. https://doi.org/10.3390/app132212115

AMA Style

Wu J, Yan H, Zheng Z, Li X. Design and Optimization of Low Impact Shift Control Strategy for Aviation Transmission Power System Based on Response Surface Methodology. Applied Sciences. 2023; 13(22):12115. https://doi.org/10.3390/app132212115

Chicago/Turabian Style

Wu, Jiangming, Hongzhi Yan, Zhibin Zheng, and Xiaokang Li. 2023. "Design and Optimization of Low Impact Shift Control Strategy for Aviation Transmission Power System Based on Response Surface Methodology" Applied Sciences 13, no. 22: 12115. https://doi.org/10.3390/app132212115

APA Style

Wu, J., Yan, H., Zheng, Z., & Li, X. (2023). Design and Optimization of Low Impact Shift Control Strategy for Aviation Transmission Power System Based on Response Surface Methodology. Applied Sciences, 13(22), 12115. https://doi.org/10.3390/app132212115

Note that from the first issue of 2016, this journal uses article numbers instead of page numbers. See further details here.

Article Metrics

Back to TopTop