Absorption–Translocation of Veterinary Antibiotics in Rice Plants Introduced with Irrigation Water
Abstract
:1. Introduction
2. Materials and Methods
2.1. Experimental Site
2.2. Experimental Design, Agricultural Activity, and Sample Collection
2.3. Liquid Chromatography-Mass Spectrometry (LC-MS) Analysis
2.4. Chlorophyll Content and Grain Yield
2.5. Statistical Analysis
3. Results and Discussion
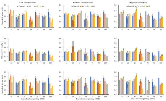
3.1. Effects of Veterinary Antibiotics in Paddy Irrigation Water on Plant Chlorophyll Content
3.2. Soil Residues of Veterinary Antibiotics Introduced into Irrigation Water
3.3. Absorption–Translocation and Bioconcentration of VAs into Rice Plants
3.4. The Effects of VAs in Paddy Irrigation Water on Rice Yield
4. Conclusions
Author Contributions
Funding
Institutional Review Board Statement
Informed Consent Statement
Data Availability Statement
Conflicts of Interest
References
- Polianciuc, S.I.; Gurzău, A.E.; Kiss, B.; Stefan, M.G.; Loghin, F. Antibiotics in the environment: Causes and consequences. Med. Pharm. Rep. 2020, 93, 231–240. [Google Scholar] [CrossRef] [PubMed]
- Kim, J.P.; Jin, D.R.; Lee, W.; Chae, M.; Park, J. Occurrence and removal of veterinary antibiotics in livestock wastewater treatment plants, South Korea. Processes 2020, 8, 720. [Google Scholar] [CrossRef]
- Tasho, R.P.; Cho, J.Y. Veterinary antibiotics in animal waste, its distribution in soil and uptake by plants: A review. Sci. Total Environ. 2016, 563, 366–376. [Google Scholar] [CrossRef] [PubMed]
- Gomes, M.P.; Gonçalves, C.A.; de Brito, J.C.M.; Souza, A.M.; da Silva Cruz, F.V.; Bicalho, E.M.; Figueredo, C.C.; Garcia, Q.S. Ciprofloxacin induces oxidative stress in duckweed (Lemna minor L.): Implications for energy metabolism and antibiotic-uptake ability. J. Hazard. Mater. 2017, 328, 140–149. [Google Scholar] [CrossRef] [PubMed]
- Migliore, L.; Cozzolino, S.; Fiori, M. Phytotoxicity to and uptake of enrofloxacin in crop plants. Chemosphere 2003, 52, 1233–1244. [Google Scholar] [CrossRef] [PubMed]
- Pan, M.; Wong, C.K.; Chu, L.M. Distribution of antibiotics in wastewater-irrigated soils and their accumulation in vegetable crops in the Pearl River Delta, southern China. J. Agric. Food Chem. 2014, 62, 11062–11069. [Google Scholar] [CrossRef] [PubMed]
- Jalloul, G.; Keniar, I.; Tehrani, A.; Boyadjian, C. Antibiotics contaminated irrigation water: An Ooerview on its impact on edible crops and visible light active titania as potential photocatalysts for irrigation water treatment. Front. Environ. Sci. 2021, 9, 642–671. [Google Scholar] [CrossRef]
- Wei, R.C.; Ge, F.; Huang, S.Y.; Chen, M.; Wang, R. Occurrence of veterinary antibiotics in animal wastewater and surfacewater around farms in Jiangsu Province, China. Chemosphere 2011, 1408–1414. [Google Scholar] [CrossRef]
- Liu, X.; Lv, Y.; Xu, K.; Xiao, X.; Xi, B.; Lu, S. Response of ginger growth to a tetracycline-contaminated environment and residues of antibiotic and antibiotic resistance genes. Chemosphere 2018, 201, 137–143. [Google Scholar] [CrossRef]
- Di Marco, G.; Gismondi, A.; Canuti, L.; Scimeca, M.; Volpe, A.; Canini, A. Tetracycline accumulates in Iberis sempervirens L. through apoplastic transport inducing oxidative stress and growth inhibition. Plant Biol. 2014, 16, 792–800. [Google Scholar] [CrossRef]
- Minden, V.; Deloy, A.; Volkert, A.M.; Leonhardt, S.D.; Pufal, G. Antibiotics impact plant traits, even at small concentrations. AoB Plants 2017, 9, plx010. [Google Scholar] [CrossRef] [PubMed]
- Iwu, C.D.; Korsten, L.; Okoh, A.I. The incidence of antibiotic resistance within and beyond the agricultural ecosystem: A concern for public health. Microbiol. Open 2020, 9, 1035–1063. [Google Scholar] [CrossRef]
- Seo, Y.H.; Choi, J.K.; Kim, S.K.; Min, H.K.; Jung, Y.S. Prioritizing environmental risks of veterinary antibiotics based on the use and the potential to reach environment. Korean J. Soil Sci. Fertil. 2007, 40, 43–50. [Google Scholar]
- Kim, H.R.; Park, S.B.; Kim, S.C. Monitoring of antibiotics in the soil and sediment near at the animal feeding operation and wastewater treatment plant. Korean J. Soil Sci. Fertil. 2017, 50, 285–292. [Google Scholar] [CrossRef]
- Chung, S.S.; Zheng, J.; Burket, S.; Brooks, B. Select antibiotics in leachate from closed and active landfills exceed thresholds for antibiotic resistance development. Environ. Intl. 2018, 115, 89–96. [Google Scholar] [CrossRef] [PubMed]
- RDA (Rural Development Administration). Fertilization Standard of Crop Plants; RDA (Rural Development Administration): Jeonju, Republic of Korea, 2017. [Google Scholar]
- Cho, J.Y.; Son, J.G.; Song, C.H.; Hwang, S.A.; Lee, Y.M.; Jeongm, S.Y.; Chung, B.Y. Integrated nutrient management for environmental-friendly rice production in salt-affected rice paddy fields of Saemangeum reclaimed land of South Korea. Paddy Water Environ. 2008, 6, 263–273. [Google Scholar] [CrossRef]
- Zayed, A.; Gowthaman, S.; Terry, N. Phytoaccumulation of trace elements by wetland plants: I. Duckweed. J. Environ. Qual. 1998, 27, 715–721. [Google Scholar] [CrossRef]
- Arnon, D.I. Copper enzymes in isolated chloroplasts. Polyphenoloxidase in Beta vulgaris. Plant Physiol. 1949, 24, 24–31. [Google Scholar] [CrossRef]
- RDA (Rural Development Administration). Standard Investigation Methods for Agriculture Experiment; RDA (Rural Development Administration): Suwon, Republic of Korea, 1995. [Google Scholar]
- Guidi, L.; Lo, P.E.; Landi, M. Chlorophyll fluorescence, photoinhibition and abiotic stress: Does it make any difference the fact to be a C3 or C4 species? Front. Plant Sci. 2019, 10, 174–190. [Google Scholar] [CrossRef]
- Liu, L.; Liu, Y.H.; Liu, C.X.; Wang, Z.; Dong, J.; Zhu, G.F.; Huang, X. Potential effect and accumulation of veterinary antibiotics in Phragmites australis under hydroponic conditions. Ecol. Eng. 2013, 53, 138–143. [Google Scholar] [CrossRef]
- Migliore, L.; Brambilla, G.; Cozzolino, S.; Gaudio, L. Effect on plants of sulphadimethoxine used in intensive farming (Panicum miliaceum, Pisum sativum and Zea mays). Agric. Ecosyst. Environ. 1995, 52, 103–110. [Google Scholar] [CrossRef]
- Braschi, I.; Blasioli, S.; Fellet, C.; Lorenzini, R.; Garelli, A.; Pori, M.; Giacomini, D. Persistence and degradation of new β-lactam antibiotics in the soil and water environment. Chemosphere 2013, 93, 152–159. [Google Scholar] [CrossRef] [PubMed]
- Halling-Sørensen, B.; Jacobsen, A.; Jensen, J.; SengeløV, G.; Vaclavik, E.; Ingerslev, F. Dissipation and effects of chlortetracycline and tylosin in two agricultural soils: A field-scale study in southern Denmark. Environ. Toxicol. Chem. 2005, 24, 802–810. [Google Scholar] [CrossRef] [PubMed]
- Ling-Ling, L.; Huang, L.D.; Chung, R.S.; Ka-Hang, F.; Zhang, Y.S. Sorption and dissipation of tetracyclines in soils and compost. Pedosphere 2010, 20, 807–816. [Google Scholar]
- Wang, Q.; Yates, S.R. Laboratory study of oxytetracycline degradation kinetics in animal manure and soil. J. Agric. Food Chem. 2008, 56, 1683–1688. [Google Scholar] [CrossRef] [PubMed]
- Pan, M.; Chu, L. Phytotoxicity of veterinary antibiotics to seed germination and root elongation of crops. Ecotoxicol. Environ. Saf. 2016, 126, 228–237. [Google Scholar] [CrossRef] [PubMed]
- Kotzerke, A.; Sharma, S.; Schauss, K.; Heuer, H.; Thiele-Bruhn, S.; Smalla, K.; Wilke, B.M.; Schloter, M. Alterations in soil microbial activity and N-transformation processes due to sulfadiazine loads in pig-manure. Environ. Pollut. 2008, 153, 315–322. [Google Scholar] [CrossRef] [PubMed]
- Keen, P.L.; Patrick, D.M. Tracking change: A look at the ecological footprint of antibiotics and antimicrobial resistance. Antibiotics 2013, 2, 191–205. [Google Scholar] [CrossRef]
- Boonsaner, M.; Hawker, D. Accumulation of oxytetracycline and norfloxacin from saline soil by soybeans. Sci. Total Environ. 2010, 408, 1731–1737. [Google Scholar] [CrossRef]
- Michelini, L.; Meggio, F.; Rocca, N.L.; Ferro, S.; Ghisi, R. Accumulation and effects of sulfadimethoxine in Salix fragilis L. plants: A preliminary study to phytoremediation purposes. Int. J. Phytoremediation 2012, 14, 388–402. [Google Scholar] [CrossRef]
- Martínez-Hernández, V.; Meffe, R.; López, S.H.; de Bustamante, I. The role of sorption and biodegradation in the removal of acetaminophen, carbamazepine, caffeine, naproxen and sulfamethoxazole during soil contact: A kinetics study. Sci. Total Environ. 2016, 559, 232–241. [Google Scholar] [CrossRef]
- Carlson, J.C.; Mabury, S.A. Dissipation kinetics and mobility of chlortetracycline, tylosin, and monensin in an agricultural soil in Northumberland County, Ontario, Canada. Environ. Toxicol. Chem. 2006, 25, 1–10. [Google Scholar] [CrossRef]
- Pan, M.; Chu, L. Transfer of antibiotics from wastewater or animal manure to soil and edible crops. Environ. Pollut. 2017, 231, 829–836. [Google Scholar] [CrossRef]
- Park, Y.J.; Son, J.G. Phytotoxicity and Accumulation of antibiotics in water lettuce (Pistia stratiotes) and parrot feather (Myriophyllum aquaticum) plants under hydroponic culture conditions. Appl. Sci. 2022, 12, 630. [Google Scholar] [CrossRef]
- Azanu, D.; Mortey, C.; Darko, G.; Weisser, J.J.; Styrishave, B.; Abaidoo, R.C. Uptake of antibiotics from irrigation water by plants. Chemosphere 2016, 157, 107–114. [Google Scholar] [CrossRef] [PubMed]
- Kumar, K.; Gupta, S.C.; Baidoo, S.K.; Chander, Y.; Rosen, C.J. Antibiotic uptake by plants from soil fertilized with animal manure. J. Environ. Qual. 2005, 34, 2082–2085. [Google Scholar] [CrossRef] [PubMed]






| Item | Chemical Properties | Particle Size Fraction (%) | |
|---|---|---|---|
| Soil organic matter (g 100 g−1) | 2.59 | Sand | 50.3 |
| pH (1:5 H2O) | 5.68 | Silt | 40.2 |
| Total-N (mg kg−1) | 921.4 | Clay | 9.5 |
| Total-P (mg kg−1) | 336.2 | ||
| CEC (cmol+ kg−1) | 8.6 | ||
| Electrical conductivity (µS cm−1) | 0.3 | ||
| Ca++ (cmol+ kg−1) | 1.6 | ||
| Mg++ (cmol+ kg−1) | 1.2 | ||
| K+ (cmol+ kg−1) | 1.5 | ||
| Concentrations | Treatments | Application Methods |
|---|---|---|
| Low concentration (background level) | A-1 | The background level of VAs was applied twice (7 and 21 DAT) in the experimental plots |
| A-2 | The background level of VAs was applied four times (7, 21, 35, and 49 DAT) in the experimental plots | |
| A-3 | The background level of VAs was applied six times (7, 21, 35, 49, 63, and 77 DAT) in the experimental plots | |
| Medium concentration (background level × ten-fold) | B-1 | The ten-fold background level of VAs was applied twice (7 and 21 DAT) in the experimental plots |
| B-2 | The ten-fold background level of VAs was applied four times (7, 21, 35, and 49 DAT) in the experimental plots | |
| B-3 | The ten-fold background level of VAs was applied six times (7, 21, 35, 49, 63, and 77 DAT) in the experimental plots | |
| High concentration (background level × fifty-fold) | C-1 | The fifty-fold background level of VAs was applied twice (7 and 21 DAT) in the experimental plots |
| C-2 | The fifty-fold background level of VAs was applied four times (7, 21, 35, and 49 DAT) in the experimental plots | |
| C-3 | The fifty-fold background level of VAs was applied six times (7, 21, 35, 49, 63, and 77 DAT) in the experimental plots |
| Treatment | AMX | CTC | OTC | ||||||
|---|---|---|---|---|---|---|---|---|---|
| Root | Stem | Brown Rice | Root | Stem | Brown Rice | Root | Stem | Brown Rice | |
| A-1 | 0 | 0 | 0 | 0.181 | 0.200 | 0 | 0.148 | 0 | 0 |
| A-2 | 0 | 0 | 0 | 0.050 | 0.057 | 0 | 0.055 | 0.055 | 0.001 |
| A-3 | 0 | 0 | 0 | 0.046 | 0.052 | 0.007 | 0.050 | 0.049 | 0.002 |
| B-1 | 0 | 0 | 0 | 0.043 | 0.049 | 0.010 | 0.046 | 0.045 | 0.002 |
| B-2 | 0 | 0 | 0 | 0.043 | 0.053 | 0.010 | 0.046 | 0.044 | 0.002 |
| B-3 | 0 | 0 | 0 | 0.048 | 0.063 | 0.012 | 0.053 | 0.052 | 0.003 |
| C-1 | 0.008 | 0.005 | 0.000 | 0.047 | 0.067 | 0.013 | 0.051 | 0.049 | 0.003 |
| C-2 | 0.024 | 0.018 | 0.005 | 0.043 | 0.063 | 0.014 | 0.046 | 0.044 | 0.003 |
| C-3 | 0.023 | 0.014 | 0.018 | 0.026 | 0.075 | 0.018 | 0.052 | 0.045 | 0.004 |
Disclaimer/Publisher’s Note: The statements, opinions and data contained in all publications are solely those of the individual author(s) and contributor(s) and not of MDPI and/or the editor(s). MDPI and/or the editor(s) disclaim responsibility for any injury to people or property resulting from any ideas, methods, instructions or products referred to in the content. |
© 2023 by the authors. Licensee MDPI, Basel, Switzerland. This article is an open access article distributed under the terms and conditions of the Creative Commons Attribution (CC BY) license (https://creativecommons.org/licenses/by/4.0/).
Share and Cite
Duong, V.H.; Seo, I.-H.; Jeon, H.S.; Cho, J.Y. Absorption–Translocation of Veterinary Antibiotics in Rice Plants Introduced with Irrigation Water. Appl. Sci. 2023, 13, 12094. https://doi.org/10.3390/app132212094
Duong VH, Seo I-H, Jeon HS, Cho JY. Absorption–Translocation of Veterinary Antibiotics in Rice Plants Introduced with Irrigation Water. Applied Sciences. 2023; 13(22):12094. https://doi.org/10.3390/app132212094
Chicago/Turabian StyleDuong, Van Hay, Il-Hwan Seo, Hee Su Jeon, and Jae Young Cho. 2023. "Absorption–Translocation of Veterinary Antibiotics in Rice Plants Introduced with Irrigation Water" Applied Sciences 13, no. 22: 12094. https://doi.org/10.3390/app132212094
APA StyleDuong, V. H., Seo, I.-H., Jeon, H. S., & Cho, J. Y. (2023). Absorption–Translocation of Veterinary Antibiotics in Rice Plants Introduced with Irrigation Water. Applied Sciences, 13(22), 12094. https://doi.org/10.3390/app132212094

