A Study on the Normalized Delineation of Airspace Sectors Based on Flight Conflict Dynamics
Abstract
:1. Introduction
2. Flight Conflict Network
2.1. Determine Network Edges
2.2. Determine the Edge Weight
3. Idle/Busy Time Segmentation
3.1. Selection of Assessment Indicators
- 1.
- Total Node Degree
- 2.
- Average Node Degree
- 3.
- Average Point Intensity
- 4.
- Average Weighted Aggregation Factor
- 5.
- Network Density
- 6.
- Network Efficiency
3.2. Integrated Network Indicator Classification
4. Sector-Delineation Method Based on Mean Shift Clustering Algorithm
4.1. Integrated Network Indicator Classification
4.2. Clustering Method Based on Mean Shift Algorithm
4.3. Sector-Delineation Method Based on Voronoi Diagrams
5. Validation and Analysis of Sectorization Algorithms
5.1. Busy/Idle Time Slots
5.2. Sectorization Analysis
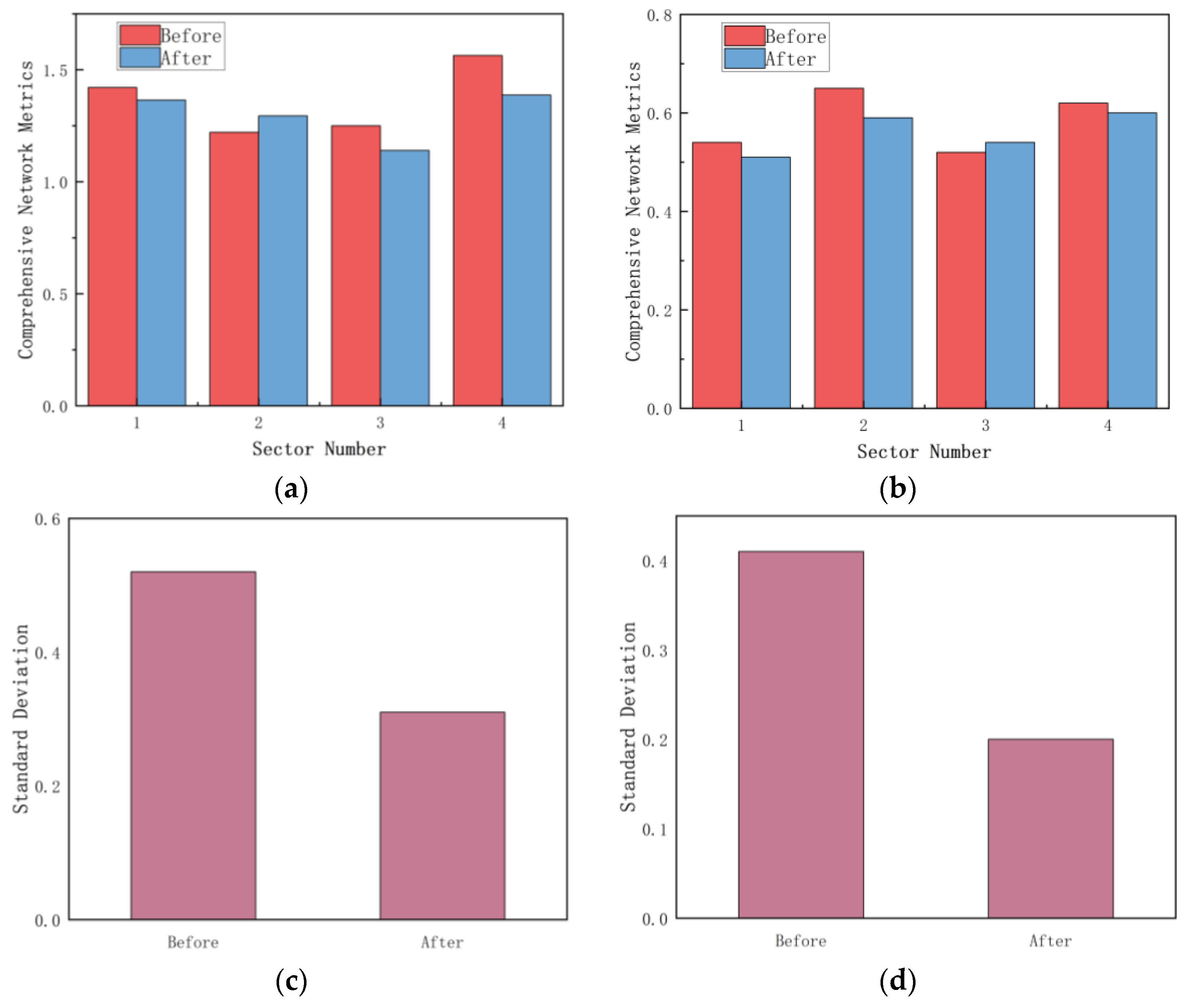
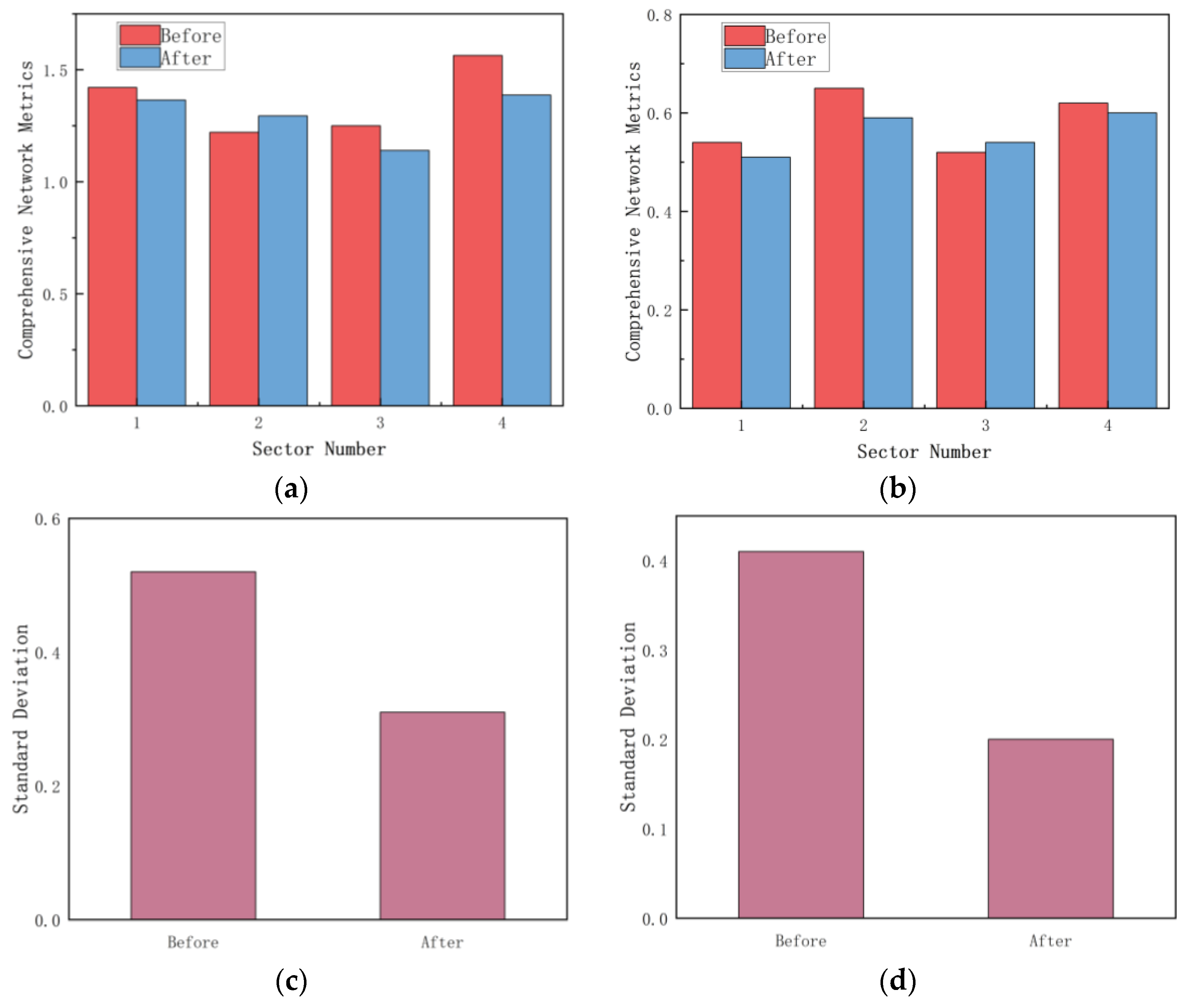
5.3. Analysis of Sectorization Results
6. Conclusions
Author Contributions
Funding
Data Availability Statement
Conflicts of Interest
References
- Zhao, Y.; Wang, M. Theoretical Connotation and Key Science and Technology of Air Traffic Engineering. J. Aeronaut. 2022, 43, 026537. [Google Scholar]
- Delahaye, D.; Alliot, J.M.; Schonenauer, M.; Farges, J.L. Genetic algorithms for partitioning air space. In Proceedings of the Tenth Conference on Artificial Intelligence for Applications, San Antonio, TX, USA, 1–4 March 1994; IEEE: New York, NY, USA, 1994; pp. 291–297. [Google Scholar]
- Yousefi, A.; Denohue, G.L. Temporal and spatial distribution of airspace complexity for air traffic controller workload-based sectorization. In Proceedings of the AIAA 4th Aviation Technology, Integration and Operations (ATIO) Forum, Chicago, IL, USA, 20–22 September 2004; pp. 822–835. [Google Scholar]
- Brinton, C.R.; Pledgie, S. Airspace partitioning using flight clustering and computational Geometry. In Proceedings of the 2008 IEEE/AIAA 27th Digital Avionics Systems Conference, St. Paul, MN, USA, 26–30 October 2008; IEEE/AIAA: New York, NY, USA, 2008. [Google Scholar]
- David, G.; Alliot, J.-M. Optimization of Air Traffic Control Sector Configurations using Tree Search Methods and Genetic Algorithms. In Proceedings of the the 21st Digital Avionics Systems Conference, Irvine, CA, USA, 27–31 October 2002; Volume l, pp. 2A5-1–2A5-8. [Google Scholar]
- Han, S.; Zhang, M.; Huang, W. Methods and computer implementation techniques of control sector optimization. J. Transp. Eng. 2003, 1, 101–104. [Google Scholar]
- Luo, J.; Lu, H. Sector combination optimization based on particle swarm optimization algorithm. Sci. Technol. Eng. 2013, 5, 4130–4133. [Google Scholar]
- Flener, P.; Pearson, J. Propagators and violation functions for geometric and workload constraints arising in airspace sectorisation. arXiv 2014, arXiv:1401.7463. [Google Scholar]
- Sergeeva, M.; Delahaye, D.; Mancel, C. 3D airspace sector design by genetic algorithm. In Proceedings of the 2015 International Conference on Models and Technologies for Intelligent Transportation Systems (MT-ITS), Budapest, Hungary, 3–5 June 2015; IEEE: New York, NY, USA, 2015; pp. 499–506. [Google Scholar]
- Hyo, J. Research on Sectorization under Airspace Complexity Factors. Master’s Thesis, Nanjing University of Aeronautics and Astronautics, Nanjing, China, 2016. [Google Scholar]
- Yan, X. Terminal Airspace Sectorization Method Based on Trajectory Data Mining. Master’s Thesis, Nanjing University of Aeronautics and Astronautics, Nanjing, China, 2020. [Google Scholar]
- Huang, X.; Li, H.N.; Rao, Z.W.; Ding, W. Fracture behavior and self-sharpening mechanisms of polycrystalline cubic boron nitride in grinding based on cohesive element method. Chin. J. Aeronaut. 2019, 32, 2727–2742. [Google Scholar] [CrossRef]
- Legland, D.; Guillon, F.; Devaux, M.F. Parametric mapping of cellular morphology in plant tissue sections by gray level granulometry. Plant Methods 2020, 16, 5872–5881. [Google Scholar] [CrossRef]
- Trandac, H.; Baptiste, P.; Duong, V. Airspace sectorization by constraint programming. In Proceedings of the 1st Conference Recherche, Hanoi, Vietnam, 10–13 February 2023. [Google Scholar]
- Li, J.; Wang, T.; Hwang, I. A spectral clustering based algorithm for dynamic airspace configuration. In Proceedings of the 9th AIAA Aviation Technology, Integration and Operations Conference, Hilton Head, SC, USA, 21–23 September 2009; pp. 21–23. [Google Scholar]
- Soh, S.W. Sectorisation of airspace based on balanced workloads. Aircr. Eng. Aerosp. Technol. 2019, 132, 213–221. [Google Scholar] [CrossRef]
- Lin, F.; Wen, X.; Wu, M.; Heng, Y. Study on sector optimization based on Voronoi diagram and improved K-means. J. Northwestern Polytech. Univ. 2023, 41, 170–179. [Google Scholar] [CrossRef]
- Liang, Y.; He, W.; Zhong, W.; Qian, F. Objective reduction particle swarm optimizer based on maximal information coefficient for many-objective problems. Neurocomputing 2018, 281, 1–11. [Google Scholar] [CrossRef]
- Li, H.W.; Liou, J.J.H. A novel multiple-criteria decision-making-based FMEA model for risk assessment. Appl. Soft Comput. J. 2018, 73, 684–696. [Google Scholar]
- Reshef, D.N.; Reshef, Y.A.; Finucane, H.K.; Grossman, S.R.; McVean, G.; Turnbaugh, P.J.; Lander, E.S.; Mitzenmacher, M.; Sabeti, P.C. Detecting novel associations in large data sets. Science 2011, 80, 1518–1524. [Google Scholar] [CrossRef] [PubMed]
- Rowe, G.; Wright, G. The Delphi technique as a forecastingtool: Issues and analysis. Int. J. Forecast. 2013, 15, 353–375. [Google Scholar] [CrossRef]
- Wang, A.; Zhang, G.; Liu, F. Research and application of EM algorithm. Comput. Technol. Dev. 2009, 19, 108–110. [Google Scholar]
- Zhou, F.; Fan, X.; Ye, Z. Research and application of drifting algorithm. Control. Decis. 2007, 8, 814–847. [Google Scholar]
- Liu, J.; Liu, S. Review of Voronoi diagram application. J. Eng. Graph. 2004, 2, 125–132. [Google Scholar]











| 494 | 6.59 | 0.328 | 0.154 | 0.078 | 0.069 |
| Serial Number | Evaluation Index | Expert Judgement | ||||||
|---|---|---|---|---|---|---|---|---|
| CNM | ||||||||
| Network 1 | 56 | 0.747 | 0.2590 | 0.0738 | 0.0107 | 0.0117 | 9.06 | Busy |
| Network 2 | 66 | 0.857 | 0.2909 | 0.0784 | 0.0113 | 0.0150 | 10.6 | Busy |
| Network 3 | 11 | 0.154 | 0.0351 | 0.0073 | 0.0062 | 0.0054 | 1.8 | Idle |
| … | … | … | … | … | … | … | ||
| Network 98 | 42 | 0.792 | 0.2950 | 0.1224 | 0.0152 | 0.0160 | 6.85 | Busy |
| Network 99 | 70 | 0.959 | 0.3243 | 0.1646 | 0.0133 | 0.0197 | 11.3 | Busy |
| Network 100 | 46 | 0.7301 | 0.2606 | 0.1429 | 0.0118 | 0.0127 | 7.6 | Busy |
| Records Number | Total Nodes | Average Node | Average Point Strength | Average Aggregation Factor | Network Density | Network Efficiency | Integrated Network Indicators |
|---|---|---|---|---|---|---|---|
| 1 | 10 | 0.3800 | 0.1025 | 0.0836 | 0.0121 | 0.0089 | 1.6842 |
| 2 | 12 | 0.4023 | 0.1347 | 0.0985 | 0.0164 | 0.0095 | 2.0123 |
| 3 | 11 | 0.3940 | 0.1294 | 0.1003 | 0.0148 | 0.0092 | 1.8520 |
| 4 | 12 | 0.4136 | 0.1408 | 0.1254 | 0.0167 | 0.0102 | 2.0206 |
| 5 | 9 | 0.3721 | 0.1066 | 0.0932 | 0.0119 | 0.0076 | 1.5269 |
| … | …… | …… | …… | …… | …… | …… | …… |
| 1007 | 8 | 0.3811 | 0.0987 | 0.0741 | 0.0106 | 0.0062 | 1.3653 |
| 1008 | 11 | 0.3932 | 0.1183 | 0.0927 | 0.0152 | 0.0086 | 1.8489 |
| 1009 | 13 | 0.4105 | 0.1489 | 0.1264 | 0.0209 | 0.0106 | 2.1800 |
| Date | 13th | 14th | 15th | 16th | 17th | 18th | 19th |
|---|---|---|---|---|---|---|---|
| Number of nodes during busy hours | 846 | 795 | 833 | 912 | 954 | 1120 | 1071 |
| Number of nodes in idle segment | 783 | 741 | 810 | 762 | 829 | 897 | 865 |
| Date | 13th | 14th | 15th | 16th | 17th | 18th | 19th |
|---|---|---|---|---|---|---|---|
| Number of clustering centers during busy periods | 5 | 5 | 4 | 6 | 6 | 4 | 5 |
| Number of clustering centers for idle time segments | 6 | 4 | 3 | 5 | 5 | 4 | 6 |
| Serial Number | Coordinate | Serial Number | Coordinate |
|---|---|---|---|
| 1 | (342.3, 257.0) | 2 | (187.9, 32.6) |
| 3 | (63.1, 98.2) | 4 | (78.2, 195.3) |
| 5 | (116.1, 35.4) | 6 | (234.5, 141.8) |
| 7 | (223.4, 142.3) | 8 | (275.4, 163.7) |
| …… | …… | …… | …… |
| 33 | (356.9, 25.5) | 34 | (162.7, 241.0) |
| 35 | (248.3, 178.1) |
Disclaimer/Publisher’s Note: The statements, opinions and data contained in all publications are solely those of the individual author(s) and contributor(s) and not of MDPI and/or the editor(s). MDPI and/or the editor(s) disclaim responsibility for any injury to people or property resulting from any ideas, methods, instructions or products referred to in the content. |
© 2023 by the authors. Licensee MDPI, Basel, Switzerland. This article is an open access article distributed under the terms and conditions of the Creative Commons Attribution (CC BY) license (https://creativecommons.org/licenses/by/4.0/).
Share and Cite
Peng, Y.; Wen, X.; Kong, J.; Meng, Y.; Wu, M. A Study on the Normalized Delineation of Airspace Sectors Based on Flight Conflict Dynamics. Appl. Sci. 2023, 13, 12070. https://doi.org/10.3390/app132112070
Peng Y, Wen X, Kong J, Meng Y, Wu M. A Study on the Normalized Delineation of Airspace Sectors Based on Flight Conflict Dynamics. Applied Sciences. 2023; 13(21):12070. https://doi.org/10.3390/app132112070
Chicago/Turabian StylePeng, Yating, Xiangxi Wen, Jiabin Kong, Yanling Meng, and Minggong Wu. 2023. "A Study on the Normalized Delineation of Airspace Sectors Based on Flight Conflict Dynamics" Applied Sciences 13, no. 21: 12070. https://doi.org/10.3390/app132112070
APA StylePeng, Y., Wen, X., Kong, J., Meng, Y., & Wu, M. (2023). A Study on the Normalized Delineation of Airspace Sectors Based on Flight Conflict Dynamics. Applied Sciences, 13(21), 12070. https://doi.org/10.3390/app132112070

