Abstract
Phytoremediation of lead (Pb) in contaminated soils using hyper-enriched plants is an important task. It is a green and sustainable measure. Studies have revealed that three ornamental plants, Tagetes patula (T. patula), Solanum nigrum (S. nigrum), and Mirabilis jalapa (M. jalapa), have the ability to enrich for Pb; however, studies on difference between them and root morphology and the relationship between tolerance and capacity are lacking. The ability of three lead-enriching plants, T. patula, S. nigrum, and M. jalapa, to cope with Pb stress was assessed in hydroponic experiments using five Pb stress concentrations (0–1000 mg/L). Under different Pb stress conditions, the growth of the shoots and roots of three tested ornamental plants was inhibited to varying degrees. In the three tested ornamental plants, Pb mainly accumulated in the roots, and the highest levels of Pb observed in the shoots of T. patula, S. nigrum, and M. jalapa were 1074.1 mg/kg, 958.7 mg/kg, and 975.3 mg/kg, respectively. All plants reached a critical level of Pb hyperaccumulation. Redundancy analysis showed that changes in the root architecture of the three tested ornamental plants were significantly and positively correlated with tolerance as well as the enrichment and transfer ability of the heavy metal Pb. Therefore, these three ornamental plants have the potential to remediate Pb-contaminated water and soil and can increase the tolerance and enrichment characteristics of Pb by regulating the root biomass and root length of the three test ornamental plants via various agronomic measures. In addition, more research should be conducted to assess their effectiveness as phytoextractants under field conditions.
1. Introduction
Lead is a heavy metal element that has poor mobility on the surface of soil and is difficult to degrade [1]. With the rapid development of China’s industrialization, urbanization, and agricultural modernization, human activities have released a large amount of Pb into the environment. What is even scarier is that Pb can enter the human body through the food chain or skin contact and damage human health [2,3]. Therefore, the identification of optimal methods to remove the heavy metal Pb from soil and reduce its toxicity represents an urgent need within current economic and social development [4,5].
Against the background of China’s promotion of constructing an ecological civilization, phytoremediation technology has become the first choice for Pb-contaminated soil due to its economic, green, and sustainable development advantages [6,7]. Phytoremediation involves the use of plant roots, which absorb heavy metals and then transfer them to aerial parts. Plants can communicate and interact with the soil microbiome and other plants through their roots [8]. Roots show high developmental plasticity and are frequently adapted to their environment. Finally, the shoot parts are harvested and treated to remove, degrade, or fix heavy metals [9]. Therefore, plant roots are the first tissues and organs to make contact with pollutants [10], and studies have found that the root architecture of plants has an important relationship with the absorption and accumulation of heavy metals [11]. With the development of science and technology, the use of plant genetic engineering could greatly promote the process of heavy metal pollution remediation [12]. The use of ornamental plants to remediate heavy metal pollution in soil could not only reduce the content of heavy metals in environmental soil but also achieve the purpose of beautifying the environment [13]. The screening of heavy metal hyperaccumulator plant varieties has always been an important method to promote heavy metal pollution remediation [14]. However, it is very difficult to find a plant species that meets the criteria for hyperaccumulation plants.
Moreover, the shortcomings of hyperaccumulator plants, such as small biomass and slow growth, had become the key factors limiting the widespread application of phytoremediation of heavy metal-contaminated soils [15]. Therefore, the selection of ornamental plants with fast growth rates, large biomass, and potential for hyper-enrichment of heavy metals for pollution remediation had also become one of the feasible measures [16]. Previous studies have reported that T. patula, S. nigrum, and M. jalapa were ornamental plants with a high capacity to enrich Pb [3,17,18], and had been selected as the key candidates for remediation of Pb-contaminated soil.
More than 450 species of heavy metal hyperaccumulating and tolerant plants are known in tropical and temperate regions, most of which were nickel hyperaccumulators, while lead hyperaccumulation occurs in a few species [19]. Currently, there are also a large number of reports on the screening of ornamental plants with a high capacity of enriching Pb [13]. However, most of the current studies have focused on the biomass and enrichment coefficients of ornamental plants [5,14,20]. Studies on how ornamental plant root morphology responds to Pb stress and the correlation between root morphology and Pb tolerance, uptake, and enrichment in ornamental plants are lacking. The aim of this study is to determine the response of root morphology of test ornamental plants to Pb stresses and to study the relationship between the root architecture of ornamental plants and their ability to tolerate and enrich the heavy metal Pb through hydroponic experiments. The research results provide an important scientific basis for accelerating the large-scale popularization and application of flowers and the phytoremediation of heavy metal and Pb-contaminated environments.
2. Materials and Methods
2.1. Experimental Material
Ornamental plants included T. patula, S. nigrum, and M. jalapa. The hydroponic experiments were performed in the laboratory of the Jilin Institute of Chemical Technology using the same method for growing plants in a nutrient solution reported by Lu et al. (2020). Purchased ornamental plant seeds were used to raise the seedlings. The soil for seedlings was taken from the on-campus experimental site of Jilin Institute of Chemical Technology (126°37′34.18″ E and 43°54′30.0″ N).
2.2. Material Cultivation and Experimental Design
In order to eliminate the effects of other ions, 1.18 g/L Ca(NO3)2·4H2O and 0.51 g/L KNO3 were used as the nutrient solution in this experiment. The pH of the nutrient solution was adjusted to 6.8–7.0 with 1 mol/L NaOH or HCl, and the nutrient solution was kept in continuous ventilation for 24 h.
Selected full-grown, uniformly sized flower seeds were soaked at 25 °C for germination and then sown and nursed. Then, seedlings with good growth that exhibited the same size after one month were selected. The roots were rinsed with deionized water first. Then, the ornamental seedlings were rinsed in 0.1% KMnO4 solution for 10 min and then placed in a 1 L (1.18 g/L Ca(NO3)2·4H2O and 0.51 g/L KNO3) medium for 5 days. Finally, the ornamental seedlings were placed into the nutrient solution and mixed with Pb(NO3)2 for the Pb stress experiment, and the ornamental plants were incubated under Pb stress for 15 days. The Pb concentration in this experiment was set to 0 mg/L (CK, control treatment), 100 mg/L (T1 treatment), 200 mg/L (T2 treatment), 500 mg/L (T3 treatment) and 1000 mg/L (T4 treatment).
2.3. Experimental Methods
Each tested ornamental plant was cultured in a conical flask (250 mL). One ornamental plant was placed in each conical flask, and each experimental treatment was repeated thrice. The culture medium was changed every 5 days. Plant samples were harvested after 15 days. The roots of the tested ornamental plants were soaked in 20 mmol/L Na-EDTA for 15 min, rinsed with deionized water, and absorbed using absorbent paper, the root fresh weight was determined. The root length, root surface area, root volume, and mean root diameter of ornamental plants were determined using previously reported research methods [21]. Cut with scissors and photographed, all root systems were stored in 75% alcohol. Then, the root systems were scanned with an Epson (V800) scanner, and the scanned pictures were analyzed with the WinRHIZO Root Analysis System (WinRHIZO_Pro 2021, Regent Instrument Inc., Quebec, QC, Canada) to derive the total root length, root surface area, root volume, and average root diameter of the maize root systems. Finally, together with the aerial parts, the sample was dried in an oven to a constant weight at a temperature setting of 105 °C for 30 min and 75 °C until the plant weight remained constant. The samples were pulverized with a plant pulverizer and passed through a 100 mesh sieve and the plant samples were then digested with an HNO3:HClO4 (3:1, v/v) mixture [17].
2.4. Measurement Items and Methods
The Pb concentration in the plant samples was determined using a flame atomic absorption spectrophotometer (TAS-990, Beijing Purkinje General Instrument Co., Beijing, China).
To assess the tolerance and enrichment ability of the tested ornamental plants when exposed to the heavy metal Pb, we referred to the report from Lu et al. (2020), and the tolerance index (TI) was calculated by dividing the aboveground and underground biomass of the plants treated with different lead concentrations by the biomass treated with a control solution. The enrichment coefficient (EC) was obtained by dividing the Pb concentration in the aerial part or the underground part of the flower plant using the Pb concentration added to the culture medium. The transfer factor (TF) was obtained by dividing the Pb concentration into the aerial portion of the tested ornamental plants using the Pb concentration in the underground portion, the specific calculation formula is as follows [14]:
TI = Plant biomass in Pb treatments/Plant biomass in Pb-free treatments
EC = Pb concentration in shoots or roots/Pb concentration in hydroponic solutions
TF = Pb content in the shoots/Pb content in the roots
2.5. Statistical Analysis
The fresh weight, dry weight, Pb content, tolerance index, enrichment coefficient, and transfer coefficient of the tested flowers and plants were all analyzed using SAS 9.2 (SAS Institute, Inc., Cary, NC, USA). Graphs were generated using GraphPad Prism 6.02 (GraphPad Software, Inc., La Jolla, CA, USA). Differences were compared using the significant difference test (LSD) at the 0.05 levels of probability. Ordination techniques were applied using two international types of standard software, CANOCO 4.5 and CanoDraw (version 4.5) [22], and a linear model was selected for redundancy analysis (RDA).
3. Results and Discussion
3.1. Effects of Pb Stress on the Biomass of Ornamental Plants
The fresh weight and dry weight of the shoots and roots of three ornamental plants decreased to varying degrees with the increasing Pb concentration (Figure 1), and all reached a significant level of difference (p < 0.05). Compared with CK, the fresh weights of the shoots of T. patula, S. nigrum, and M. jalapa decreased by 21.3% to 63.7% (2.52 to 7.51 g), 31.1% to 77.8% (2.08 to 5.21 g), and 17.1% to 61.6% (2.49 to 8.99 g), with mean values of 40.4%, 54.0%, and 43.3%, respectively. The fresh weights of these roots decreased by 19.0% to 69.8% (0.29 to 1.06 g), 21.9% to 66.7% (0.15 to 0.47 g), and 18.5% to 50.8% (0.72 to 1.97 g), with mean values of 49.6%, 49.0%, and 35.8%, respectively. The dry weight of the shoots decreased by 25.2% to 69.3% (0.41 to 1.13 g), 26.7% to 68.9% (0.22 to 0.58 g), and 19.9% to 62.4% (0.42 to 1.33 g), with mean values of 49.8%, 50.1%, and 42.5%, respectively. The root dry weight decreased by 30.5% to 75.9% (0.18 to 0.44 g), 25.3% to 78.9% (0.08 to 0.25 g), and 27.7% to 61.9% (0.19 to 0.42 g), with mean values of 57.6%, 57.1%, and 48.1%, respectively. Growth inhibition and reduced biomass production are general responses of higher plants to heavy metal toxicity [23]. Similar results were obtained in our experiments. Different concentrations of Pb stress significantly inhibited the growth of the shoot and root parts of the tested ornamental plants. Compared with the control, the shoot and root biomasses of the tested ornamental plants were reduced by 35.8% to 57.6%, which is consistent with the results of Cui et al. (2013) in three ornamental plants (Tagetes patula, Dahlia pinnata, and Ipomoea quamoclit) [24]. The possible reason for this is that the metabolic processes of plants, including photosynthesis, are altered under heavy metal stress [25]. These phenomena are some of the physiological responses exhibited by plants to Pb treatment, as the presence of Pb in cells, even in small amounts, may have a wide range of adverse effects on physiological processes [26]. In this study, the aboveground biomass of the test ornamental plants, T. patula and S. nigrum, decreased similarly compared to the control treatment, while M. jalapa decreased less than T. patula and S. nigrum, indicating that M. jalapa is more tolerant to Pb than T. patula and S. nigrum.
Figure 1.
Responses of fresh and dry weights of the shoots and roots of ornamental plants with increasing Pb concentrations under hydroponic conditions (A–D). T. patula, Tagetes patula. S. nigrum, Solanum nigrum and M. jalapa, Mirabilis jalapa. CK, the Pb concentration in hydroponic solutions was set to 0 mg/L. T1, the Pb concentration in hydroponic solutions was set to 100 mg/L. T2, the Pb concentration in hydroponic solutions was set to 200 mg/L. T3, the Pb concentration in hydroponic solutions was set to 500 mg/L, and T4, the Pb concentration in hydroponic solutions was set to 1000 mg/L. The different lowercase letters indicate significant differences under the tested Pb concentrations for the same ornamental plants at the p < 0.05 level.
3.2. Effects of Pb Stress on the Tolerance Index of Ornamental Plants
TI was used to characterize plant tolerance to heavy metals [27]. With the increase in the Pb concentration, the TI values of the tested ornamental plants decreased significantly (p < 0.05). Compared with the CK, the TI values of the shoots of T. patula, S. nigrum, and M. jalapa decreased by 25.2% to 69.3%, 27.0% to 69.0%, and 19.9% to 62.4% with mean values of 49.8%, 50.3%, and 42.5%, respectively (Figure 2). The TI values of the roots of T. patula, S. nigrum, and M. jalapa decreased by 30.5% to 75.9%, 26.0% to 79.2%, and 27.4% to 61.7% with mean values of 57.6%, 57.6%, and 47.9%, respectively. The following tolerance order of the three ornamental plants was observed as follows: M. jalapa > T. patula > S. nigrum. The TI values in the shoots were higher than those in the roots under the conditions of this test, which is consistent with the results of Lu et al. (2020), who examined the response of six ornamental plants to Pb pollution stress.
Figure 2.
Tolerance index of the shoots and roots of tested ornamental plants under different Pb concentrations (A,B). T. patula, Tagetes patula. S. nigrum, Solanum nigrum and M. jalapa, Mirabilis jalapa. CK, the Pb concentration in hydroponic solutions was set to 0 mg/L. T1, the Pb concentration in hydroponic solutions was set to 100 mg/L. T2, the Pb concentration in hydroponic solutions was set to 200 mg/L. T3, the Pb concentration in hydroponic solutions was set to 500 mg/L, and T4, the Pb concentration in hydroponic solutions was set to 1000 mg/L. The different lowercase letters indicate significant differences under Pb concentrations for the same ornamental plants at the p < 0.05 level. Other symbols are the same as in Figure 1.
3.3. Effects of Pb Stress on the Pb Content of Ornamental Plants
Lead stress had a significant effect on the Pb content in ornamental plants (p < 0.05). With the increase in the Pb concentration, the Pb content in the aerial and underground portions of the tested ornamental plants increased significantly (Table 1). Compared with the CK, the Pb content of the shoots and roots of ornamental plants showed a clearly increasing trend, especially in the underground portion of the Pb, with a significant increase in amplitude. In the specific analysis, the Pb content of the shoots of the ornamental T. patula, S. nigrum, and M. jalapa plants increased by 8.3- to 24.9-, 14.7- to 27.8-, and 3.9- to 25.4-fold with a mean fold increase in values of 16.6, 21.8, and 13.7, respectively. The Pb content of ornamental plants in roots increased by 43.1- to 189.5-, 41.7- to 168.6-, and 31.3- to 172.9-fold with mean fold increase in values of 114.9, 99.2, and 90.9, respectively. The experimental results show that the content in the roots of ornamental plants was significantly greater than that in the shoots, and the Pb content in the shoots of the tested ornamental plants increased multi-fold compared to the control, which is consistent with the study on Tegetes minuta and Bidens pilosa [28]. The result was reasonable and similar to the results of previous studies (4–20 times higher); however, the fold increase in the root compared with the control far exceeded the shoot parts. A possible reason for this is that most heavy metal ions are stored in root cells and are bound to the cell wall in plants [29]. The Pb content reached 1074.1 mg/kg for T. patula only under the 1000 mg/L treatment.
Table 1.
Pb content, enrichment coefficients, and translocation factors of tested ornamentals under Pb stress.
3.4. Effects of Pb Stress on the Root Architecture of Ornamental Plants
Lead stress also had a significant effect on the change in root architecture of ornamental plants (p < 0.05). As the Pb concentration increased, the root length, root surface area, root volume, and root average diameter of the tested ornamental plants also exhibited different degrees of change (Figure 3). Compared with the CK, the root length of T. patula, S. nigrum, and M. jalapa decreased by 6.0% to 52.3% (62.49 to 544.55 cm), 4.7% to 66.1% (12.81 to 182.22 cm), and 31.7% to 70.3% (48.64 to 107.66 cm) (with the exception of T. patula, which increased by 8.3% under the 100 mg/L treatment) with mean values of 30.9%, 35.5%, and 52.1%, respectively. The root surface area decreased by 35.9% to 55.8% (48.51 to 75.43 cm2), 17.8% to 76.4% (10.32 to 44.39 cm2), and 20.7% to 84.2% (10.40 to 42.27 cm2) (with the exception of T. patula, which increased by 13.5% and 0.7% under the 100 mg/L and 200 mg/L treatments, respectively) with mean values of 45.8%, 42.8%, and 53.7%, respectively. The root volume decreased by 7.9% to 59.4% (0.17 to 1.25 cm3), 9.9% to 73.3% (0.15 to 1.13 cm3), and 34.9% to 70.6% (0.93 to 1.88 cm3) (with the exception of T. patula, which increased by 29.7% under the 100 mg/L treatment) with mean values of 31.7%, 36.0%, and 50.4%, respectively. The root average diameter decreased by 30.5% to 75.9% (0.002 to 0.04 mm), 25.3% to 78.9% (0.09 to 0.41 mm), and 5.1% to 28.5% (0.02 to 0.13 mm), with mean values of 5.1%, 44.0%, and 16.8%, respectively. However, the root average diameter of M. jalapa increased by 13.9% and 42.6% under the 100 mg/L and 200 mg/L treatments, respectively. The results show that the roots of the tested ornamental plants were poisoned by the heavy metal Pb to different degrees, inhibiting the growth of the root system. This finding may be because Pb stress inhibited cell division of the root tip [30], which is consistent with that noted in a study on rice [31]. There are several possible reasons for this [11], including a reduction in root length and dry weight, changes in volume and diameter, and the production or inhibition of lateral roots in the presence of lead, as well as effects on mineral balance or genotoxicity to the plant.
Figure 3.
Comparisons of root length (A), root surface area (B), root volume (C), and root average diameter (D) for tested ornamental plants under different Pb concentrations. T. patula, Tagetes patula. S. nigrum, Solanum nigrum and M. jalapa, Mirabilis jalapa. CK, the Pb concentration in hydroponic solutions was set to 0 mg/L. T1, the Pb concentration in hydroponic solutions was set to 100 mg/L. T2, the Pb concentration in hydroponic solutions was set to 200 mg/L. T3, the Pb concentration in hydroponic solutions was set to 500 mg/L, and T4, the Pb concentration in hydroponic solutions was set to 1000 mg/L. The different lowercase letters indicate significant differences under the tested Pb concentrations for the same ornamental plants at the p < 0.05 level.
3.5. Effects of Pb Stress on the Enrichment Coefficient and Transfer Factor of Ornamental Plants
The ability of plants to accumulate heavy metals is generally expressed by the EC value [32]. As the Pb concentration increased, the enrichment coefficients of the shoot and root portions of the tested ornamental plants showed a downward trend (Table 1), and the EC value of the roots of tested ornamental plants was significantly greater than that of the shoots. This finding also demonstrates that the ability of the tested ornamental plants to enrich the heavy metal Pb is greater in the roots than in the shoots. The EC values of the shoots of T. patula, S. nigrum, and M. jalapa decreased by 1.1 to 3.6, 1.0 to 5.0, and 1.0 to 1.7 with mean values of 2.3, 2.7, and 1.4, respectively. The EC values of the roots decreased by 11.7 to 26.4, 9.8 to 22.0, and 8.1 to 14.7, with mean values of 19.8, 16.4, and 11.4, respectively. The EC values of the roots T. patula, S. nigrum, and M. jalapa were 8.5, 6.0, and 8.4 times that of the shoots, respectively.
The ability of plants to transfer heavy metals from their roots to shoots is usually expressed by the TF value [32]. With the increase in Pb concentration, the transfer coefficients of the tested ornamental plants T. patula, and S. nigrum showed a downward trend (Table 1), and the transfer coefficients of the tested ornamental plants M. jalapa showed a trend that first increased and then decreased. The TF values of T. patula, S. nigrum, and M. jalapa ranged from 0.09 to 0.15, 0.10 to 0.23, and 0.10 to 0.13, respectively, under different Pb contamination stress treatments with mean values of 0.11, 0.15, and 0.12, respectively. The results show that the order of enrichment ability for Pb was S. nigrum > M. jalapa > T. patula.
3.6. Relationship between Root Morphological Indices and Tolerance, Enrichment, and Transfer Coefficients of Tested Ornamental Plants
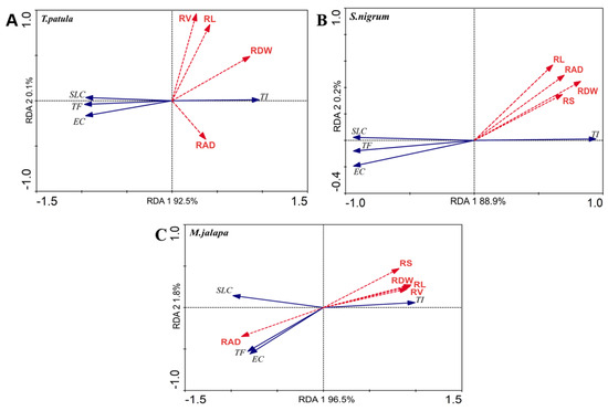
Redundancy analysis (RDA) showed that the root dry weight, root length, root surface area, root volume, and root average diameter of the three tested ornamental plants could explain 92.5%, 88.9%, and 96.5% of the variation in the shoot Pb concentration, tolerance index, enrichment coefficient, and translocation factor of ornamental plants, respectively (Figure 4). Among all the constrained variables, root dry weight had a significant influence on the tolerance index of the three tested ornamental plants (T. patula, S. nigrum, and M. jalapa) and explained 68.4%, 60.7%, and 87.1% of the variance, respectively (Table 2). Among the three tested ornamental plants, only the root diameter of M.jalapa had a significant influence on ornamental plants’ enrichment ability for Pb and explained 76.2% of the variance (Table 2). It can be concluded that the biomass and root length of the root systems of the three tested ornamental plants can be adjusted to improve the plants’ tolerance and enrichment ability of Pb under different Pb concentration stress conditions. The findings regarding the use of these ornamental plants for phytoremediation or landscaping contaminated areas should be beneficial.
Figure 4.
Redundancy analysis (RDA) on the shoot lead concentration (SLC), tolerance index (TI), enrichment coefficient (EC), and translocation factor (TF) with the root dry weight (RDW), root length (RL), root surface area (RS), root volume (RV), and root average diameter (RAD) of ornamental plants, respectively. T. patula, Tagetes patula (A), S. nigrum, Solanum nigrum (B) and M. jalapa, Mirabilis jalapa (C).
Table 2.
Results of permutation test of redundancy analysis (RDA) on predictor variables for the tolerance and enrichment capacity of ornamental plants.
4. Conclusions
In conclusion, the growth in the shoots and roots of the three tested ornamental plants was significantly inhibited under Pb stress. As the Pb concentration increased, the root length, root surface area, and root volume of the three tested ornamental plants showed a clear decreasing trend, but the average root diameter of M. jalapa showed a trend that first increased and then decreased. M. jalapa exhibited the strongest tolerance among the three tested ornamental plants. The highest values of Pb content in the shoots were 1074.1 mg/kg, 958.7 mg/kg, and 975.3 mg/kg, indicating that all plants reached the critical level of Pb hyperaccumulators [33]. In addition, the EC values of the tested ornamental plants were the highest in the shoot part of S. nigrum and the root part of T. patula. Unfortunately, the TF values were all less than one. Redundancy analysis showed that root architecture changes in the three tested ornamental plants were closely related to the tolerance, accumulation, and transfer ability of the heavy metal Pb. In the hydroponic experiment, the three tested ornamental plants minimized the toxicity of heavy metals to themselves through the plasticity of the root system and the coping strategy of reducing the growth of the root system rather than increasing the accumulation and transfer of heavy metals through a change in the root system’s configuration. Therefore, in actual heavy metal-contaminated water and soil environments, various agronomic measures can be taken to improve the tolerance and enrichment capacity by regulating the root biomass and root length of the three test ornamental plants. Whether the hydroponic experiments of the three ornamental plants Pb to different results from soil growth in real environments, these results need to be further verified by potting experiments and in situ experiments. In addition, the ornamental plants examined in this study were also annual ornamental plants. Plants must be sown, cultivated, and regularly watered each year. All of this entails significant expenses. Future studies might look into picking certain perennial ornamental plants or collaborating with local landscape management.
Author Contributions
This experiment was conceived of and designed by W.L. The data from the experiments were collected by Z.S. and M.L. and analyzed by Z.S. and J.Z. (Jinjing Zhang). The reagents, chemicals, materials, and analysis tools were contributed by W.L. This paper was written by Z.S. and modified by all authors. All authors have read and agreed to the published version of the manuscript.
Funding
This work was supported by the Department Education Science and Technology Research Project of Jilin Provincial (JJKH20210241KJ), Major Science and Technology Project of Jilin Institute of Chemical Technology (2020-012), Chemical Technology Doctoral Start-up Fund Project of Jilin Institute (2021-024), National Natural Science Foundation of China (41471196).
Informed Consent Statement
Not applicable.
Data Availability Statement
The data presented in this study are available on request from the corresponding author.
Conflicts of Interest
The authors declare no conflict of interest.
References
- Wang, X.; Wang, Y.; Mahmood, Q.; Islam, E.; Jin, X.; Li, T.; Yang, X.; Liu, D. The effect of EDDS addition on the phytoextraction efficiency from Pb contaminated soil by Sedum alfredii Hance. J. Hazard. Mater. 2009, 168, 530–535. [Google Scholar] [CrossRef] [PubMed]
- Mosa, K.A.; Saadoun, I.; Kumar, K.; Helmy, M.; Dhankher, O.P. Potential Biotechnological Strategies for the Cleanup of Heavy Metals and Metalloids. Front. Plant Sci. 2016, 7, 303. [Google Scholar] [CrossRef]
- Aghelan, N.; Sobhanardakani, S.; Cheraghi, M.; Lorestani, B.; Merrikhpour, H. Evaluation of some chelating agents on phytore mediation efficiency of Amaranthus caudatus L. and Tagetes patula L. in soils contaminated with lead. J. Environ. Ment. Health Sci. Eng. 2021, 19, 503–514. [Google Scholar] [CrossRef] [PubMed]
- Mahar, A.; Wang, P.; Ali, A.; Awasthi, M.K.; Lahori, A.H.; Wang, Q.; Li, R.H.; Zhang, Z.Q. Challenges and opportunities in the phytoremediation of heavy metals contaminated soils: A review. Ecotoxicol. Environ. Saf. 2016, 126, 111–121. [Google Scholar] [CrossRef] [PubMed]
- Shao, Z.Q.; Lu, W.L.; Nasar, J.; Zhang, J.; Yan, L. Growth responses and accumulation characteristics of three ornamentals under copper and lead contamination in a hydroponic-culture experiment. Bull. Environ. Contam. Toxicol. 2019, 103, 854–859. [Google Scholar] [CrossRef]
- Asgari, L.B.; Khadem, M.N.; Maghsoodi, M.R.; Ghorbanpour, M.; Kariman, K. Phytoextraction of heavy metals from contaminated soil, water and atmosphere using ornamental plants: Mechanisms and efficiency improvement strategies. Environ. Sci. Pollut. Res. 2019, 26, 8468–8484. [Google Scholar] [CrossRef]
- Saxena, G.; Purchase, D.; Mulla, S.I.; Saratale, G.D.; Bharagava, R.N. Phytoremediation of heavy metal-contaminated sites: Eco-environmental concerns, field studies, sustainability issues, and future prospects. Rev. Environ. Contam. Toxicol. 2019, 249, 71–131. [Google Scholar]
- Anten, N.P.R.; Chen, B.J.W. Detect thy family: Mechanisms, ecology and agricultural aspects of kin recognition in plants. Plant Cell Environ. 2021, 44, 1059–1071. [Google Scholar] [CrossRef] [PubMed]
- Zhang, Y.; Li, C.; Ji, X.; Yun, C.; Wang, M.; Luo, X. The knowledge domain and emerging trends in phytoremediation: A scientometric analysis with CiteSpace. Environ. Sci. Pollut. Res. 2020, 27, 15515–15536. [Google Scholar] [CrossRef] [PubMed]
- Lynch, J.M.; Whipps, J.M. Substrate flow in the rhizosphere. Plant Soil 1990, 129, 1–10. [Google Scholar] [CrossRef]
- Fahr, M.; Laplaze, L.; Bendaou, N.; Hocher, V.; Mzibri, M.E.; Bogusz, D.; Smouni, A. Effect of lead on root growth. Front. Plant Sci. 2013, 4, 175. [Google Scholar] [CrossRef]
- Fasani, E.; Manara, A.; Martini, F.; Furini, A.; DalCorso, G. The potential of genetic engineering of plants for the remediation of soils contaminated with heavy metals. Plant Cell Environ. 2018, 41, 1201–1232. [Google Scholar] [CrossRef] [PubMed]
- Rocha, C.S.; Rocha, D.C.; Kochi, L.Y.; Carneiro, D.N.M.; dos Reis, M.V.; Gomes, M.P. Phytoremediation by ornamental plants: A beautiful and ecological alternative. Environ. Sci. Pollut. Res. 2022, 29, 3336–3354. [Google Scholar] [CrossRef] [PubMed]
- Lu, W.L.; Li, Z.R.; Shao, Z.Q.; Zheng, C.C.; Zou, H.J.; Zhang, J.J. Lead tolerance and enrichment characteristics of several ornamentals under hydroponic culture. Bull. Environ. Contam. Toxicol. 2020, 105, 166–172. [Google Scholar] [CrossRef] [PubMed]
- Ebbs, S.D.; Kochian, L.V. Toxicity of zinc and copper to Brassica species: Implications for phytoremediation. J. Environ. Qual. 1997, 26, 776–781. [Google Scholar] [CrossRef]
- Liu, J.; Xin, X.; Zhou, Q. Phytoremediation of contaminated soils using ornamental plants. Environ. Rev. 2018, 26, 43–54. [Google Scholar] [CrossRef]
- Yan, L.; Li, C.; Zhang, J.; Moodley, O.; Liu, S.; Lan, C.; Gao, Q.; Zhang, W. Enhanced Phytoextraction of Lead from Artificially Contaminated Soil by Mirabilis jalapa with Chelating Agents. Bull. Environ. Contam. Toxicol. 2017, 99, 208–212. [Google Scholar] [CrossRef] [PubMed]
- Zhao, R.; Cao, X.; Li, X.; Li, T.; Zhang, H.; Cui, X.; Cui, Z. Ecological toxicity of Cd, Pb, Zn, Hg and regulation mechanism in Solanum nigrum L. Chemosphere 2023, 313, 137447. [Google Scholar] [CrossRef] [PubMed]
- Auguy, F.; Fahr, M.; Moulin, P.; Brugel, A.; Laplaze, L.; Mzibri, M.E.; Filali-Maltouf, A.; Doumas, P.; Smouni, A. Lead tolerance and accumulation in Hirschfeldia incana, a Mediterranean Brassicaceae from metalliferous mine spoils. PLoS ONE 2013, 8, e61932. [Google Scholar] [CrossRef] [PubMed]
- Manzoor, M.; Gul, I.; Silvestre, J.; Kallerhoff, J.; Arshad, M. Screening of indigenous ornamental species from different plant families for Pb accumu lation potential exposed to metal gradient in spiked soils. Soil Sediment Contam. Int. J. 2018, 27, 439–453. [Google Scholar] [CrossRef]
- Shao, Z.Q.; Zheng, C.C.; Apostma, J.; Lu, W.L.; Gao, Q.; Gao, Y.Z.; Zhang, J.J. Nitrogen acquisition, fixation and transfer in maize/al falfa intercrops are increased through root contact and morphological responses to interspecies competition. J. Integr. Agric. 2021, 20, 2240–2254. [Google Scholar] [CrossRef]
- Ter Braak, C.J.F.; Smilauer, P. CANOCO Reference Manual and CanoDraw for Windows User’s Guide: Software for Canonical Community Ordination (Version 4.5). 2002. Available online: www.canoco.com (accessed on 11 September 2023).
- Duh, P.D.; Yen, W.J.; Du, P.C.; Yen, G.C. Antioxidant activity of mung bean hulls. J. Am. Oil Chem. Soc. 1997, 74, 1059–1063. [Google Scholar] [CrossRef]
- Cui, S.; Zhang, T.G.; Zhao, S.L.; Li, P.; Zhou, Q.X.; Zhang, Q.R.; Han, Q. Evaluation of three ornamental plants for phytoremedia tion of Pb-contamined soil. Int. J. Phytoremediat. 2013, 15, 299–306. [Google Scholar] [CrossRef] [PubMed]
- Mao, F.; Nan, G.; Cao, M.; Gao, Y.; Guo, L.; Meng, X.; Yang, G. The metal distribution and the change of physiological and biochemical process in soybean and mung bean plants under heavy metal stress. Int. J. Phytoremediat. 2018, 20, 1113–1120. [Google Scholar] [CrossRef]
- Sharma, P.; Dubey, R.S. Lead toxicity in plants. Braz. J. Plant Physiol. 2005, 17, 35–52. [Google Scholar] [CrossRef]
- Bassegio, C.; Campagnolo, M.A.; Schwantes, D.; Gonçalves Junior, A.C.; Manfrin, J.; Schiller, A.D.P.; Bassegio, D. Growth and accumulation of Pb by roots and shoots of Brassica juncea L. Int. J. Phytoremediat. 2020, 22, 134–139. [Google Scholar] [CrossRef]
- Salazar, M.J.; Rodriguez, J.H.; Cid, C.V.; Pignata, M.L. Auxin effects on Pb phytoextraction from polluted soils by Tegetes minuta L. and Bidens pilosa L.: Extractive power of their root exudates. J. Hazard. Mater. 2016, 311, 63–69. [Google Scholar] [CrossRef]
- Rascio, N.; Vecchia, F.D.; Rocca, L.N.; Barbato, R.; Pagliano, C.; Raviolo, M.; Gonnelli, C.; Gabbrielli, R. Metal accumulation and damage in rice (cv. Vialone nano) seedlings exposed to cadmium. Environ. Exp. Bot. 2008, 62, 267–278. [Google Scholar] [CrossRef]
- Eun, S.O.; Shik, Y.H.; Lee, Y. Lead disturbs microtubule organization in the root meristem of Zea mays. Physiol. Plant. 2000, 110, 357–365. [Google Scholar] [CrossRef]
- Verma, S.; Dubey, R.S. Lead toxicity induces lipid peroxidation and alters the activities of antioxidant enzymes in growing rice plants. Plant Sci. 2003, 164, 645–655. [Google Scholar] [CrossRef]
- Mazumder, M.K.; Moulick, D.; Choudhury, S. Iron (Fe3+)-mediated redox responses and amelioration of oxidative stress in cadmium (Cd2+) stressed mung bean seedlings: A biochemical and computational analysis. J. Plant Biochem. Biotechnol. 2022, 31, 49–60. [Google Scholar] [CrossRef]
- Peng, J.S.; Guan, Y.H.; Lin, X.J.; Xu, X.J.; Xiao, L.; Wang, H.H.; Meng, S. Comparativeunderstanding of metal hyperaccumulation in plants: A mini-review. Environ. Geochem. Health 2021, 43, 1599–1607. [Google Scholar] [CrossRef]
Disclaimer/Publisher’s Note: The statements, opinions and data contained in all publications are solely those of the individual author(s) and contributor(s) and not of MDPI and/or the editor(s). MDPI and/or the editor(s) disclaim responsibility for any injury to people or property resulting from any ideas, methods, instructions or products referred to in the content. |
© 2023 by the authors. Licensee MDPI, Basel, Switzerland. This article is an open access article distributed under the terms and conditions of the Creative Commons Attribution (CC BY) license (https://creativecommons.org/licenses/by/4.0/).



