Does Silver Diamine Fluoride Affect the Adaptation of High-Viscosity Resin-Modified Glass Ionomer to Dentin? An In Vitro Study
Abstract
1. Introduction
2. Materials and Methods
2.1. Sample Preparation
2.2. Sample Visualization under Scanning Electron Microscopy (SEM)
2.3. Statistical Analysis
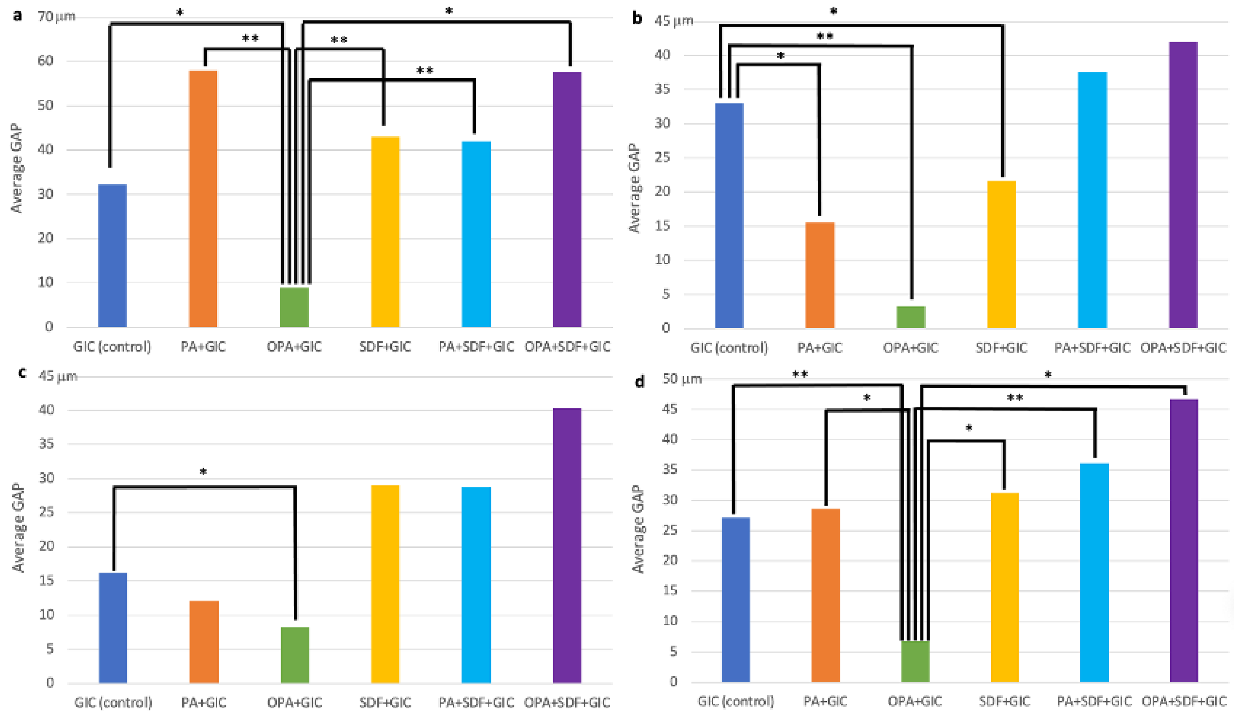
3. Results
3.1. Influence of SDF/KI in RLC Adaptation
3.2. Comparison between Groups
4. Discussion
5. Conclusions
Author Contributions
Funding
Institutional Review Board Statement
Informed Consent Statement
Data Availability Statement
Conflicts of Interest
References
- Arola, D.D.; Gao, S.; Zhang, H.; Masri, R. The Tooth: Its Structure and Properties. Dent. Clin. N. Am. 2017, 61, 651–668. [Google Scholar] [CrossRef] [PubMed]
- Perdigão, J. Dentin bonding as a function of dentin structure. Dent. Clin. N. Am. 2002, 46, 277–301. [Google Scholar] [CrossRef] [PubMed]
- Tian, K.V.; Mahmoud, M.Z.; Cozza, P.; Licoccia, S.; Fang, D.C.; Di Tommaso, D.; Chass, G.A.; Neville Greaves, G. Periodic vs. molecular cluster approaches to resolving glass structure and properties: Anorthite a case study. J. Non Cryst. Soli. 2016, 451, 138–145. [Google Scholar] [CrossRef]
- Powis, D.R.; Follerås, T.; Merson, S.A.; Wilson, A.D. Improved Adhesion of a Glass Ionomer Cement to Dentin and Enamel. J. Dent. Res. 1982, 61, 1416–1422. [Google Scholar] [CrossRef] [PubMed]
- Tay, F.R.; Smales, R.J.; Ngo, H.; Wei, S.H.; Pashley, D.H. Effect of different conditioning protocols on adhesion of a GIC to dentin. J. Adhes. Dent. 2001, 3, 153–167. [Google Scholar]
- Ebaya, M.M.; Ali, A.I.; Mahmoud, S.H. Evaluation of Marginal Adaptation and Microleakage of Three Glass Ionomer-Based Class V Restorations: In Vitro Study. Eur. J. Dent. 2019, 13, 599–606. [Google Scholar] [CrossRef]
- Eskandarizadeh, A.; Parizi, M.T.; Goroohi, H.; Badrian, H.; Asadi, A.; Khalighinejad, N. Histological assessment of pulpal responses to resin modified glass ionomer cements in human teeth. Dent. Res. J. 2015, 12, 144–149. [Google Scholar]
- Fröhlich, T.T.; Botton, G.; Rocha, R.O. Bonding of Glass-Ionomer Cement and Adhesives to Silver Diamine Fluoride-treated Dentin, An Updated Systematic Review and Meta-Analysis. J. Adhes. Dent. 2022, 24, 29–38. [Google Scholar]
- Fung, M.H.T.; Duangthip, D.; Wong, M.C.M.; Lo, E.C.M.; Chu, C.H. Randomized Clinical Trial of 12% and 38% Silver Diamine Fluoride Treatment. J. Dent. Res. 2017, 97, 171–178. [Google Scholar] [CrossRef]
- Gupta, J.; Thomas, M.S.; Radhakrishna, M.; Srikant, N.; Ginjupalli, K. Effect of silver diamine fluoride-potassium iodide and 2% chlorhexidine gluconate cavity cleansers on the bond strength and microleakage of resin-modified glass ionomer cement. J. Conserv. Dent. 2019, 22, 201–206. [Google Scholar]
- Hamama, H.H.; Burrow, M.F.; Yiu, C. Effect of dentine conditioning on adhesion of resin-modified glass ionomer adhesives. Aust. Dent. J. 2014, 59, 193–200. [Google Scholar] [CrossRef]
- Pedersen, M.T.; Tian, K.V.; Dobó-Nagy, C.; Chass, G.A.; Neville Greaves, G.; Yue, Y. Phase separation in an ionomer glass: Insight from calorimetry and phase transition. J. Non Cryst. Soli. 2015, 415, 24–29. [Google Scholar] [CrossRef]
- Tian, K.V.; Chass, G.A.; Di Tommaso, D. Simulations reveal the role of composition into the atomic-level flexibility of bioactive glass cements. Phys. Chem. Chem. Phys. 2016, 18, 837–845. [Google Scholar] [CrossRef]
- Kumari, P.D.; Khijmatgar, S.; Chowdhury, A.; Lynch, E.; Chowdhury, C.R. Factors influencing fluoride release in atraumatic restorative treatment (ART) materials: A review. J. Oral Biol. Craniofac. Res. 2019, 9, 315–320. [Google Scholar] [CrossRef]
- Bahsi, E.; Sagmak, S.; Dayi, B.; Cellik, O.; Akkus, Z. The evaluation of microleakage and fluoride release of different types of glass ionomer cements. Niger. J. Clin. Pract. 2019, 22, 961–970. [Google Scholar] [CrossRef]
- Najeeb, S.; Khurshid, Z.; Zafar, M.; Khan, A.; Zohaib, S.; Martí, J.M.N.; Sauro, S.; Matinlinna, J.P.; Rehman, I.U. Modifications in Glass Ionomer Cements: Nano-Sized Fillers and Bioactive Nanoceramics. Int. J. Mol. Sci. 2016, 17, 1134. [Google Scholar] [CrossRef]
- Horst, J.A.; Ellenikiotis, H.; Milgrom, P.L. UCSF Protocol for Caries Arrest Using Silver Diamine Fluoride: Rationale.; Indications and Consent. J. Calif. Dent. Assoc. 2016, 44, 16–28. [Google Scholar]
- Zhao, I.S.; Gao, S.S.; Hiraishi, N.; Burrow, M.F.; Duangthip, D.; Mei, M.L.; Lo, E.C.M.; Chu, C.H. Mechanisms of silver diamine fluoride on arresting caries: A literature review. Int. Dent. J. 2018, 68, 67–76. [Google Scholar] [CrossRef]
- Crystal, Y.O.; Niederman, R. Evidence-Based Dentistry Update on Silver Diamine Fluoride. Dent. Clin. N. Am. 2019, 63, 45–68. [Google Scholar] [CrossRef]
- Jiang, M.; Mei, M.L.; Wong, M.C.M.; Chu, C.H.; Lo, E.C.M. Effect of silver diamine fluoride solution application on the bond strength of dentine to adhesives and to glass ionomer cements: A systematic review. BMC Oral Health 2020, 20, 40. [Google Scholar] [CrossRef]
- Tüzüner, T.; Dimkov, A.; Nicholson, J.W. The effect of antimicrobial additives on the properties of dental glass-ionomer cements: A review. Acta Biomater. Odontol. Scand. 2019, 5, 9–21. [Google Scholar] [CrossRef] [PubMed]
- Bjørndal, L.; Simon, S.; Tomson, P.L.; Duncan, H.F. Management of deep caries and the exposed pulp. Int. Endod. J. 2019, 52, 949–973. [Google Scholar] [CrossRef] [PubMed]
- Oliva, A.; della Ragione, F.; Salerno, A.; Riccio, V.; Tartaro, G.; Cozzolino, A.; D'amato, S.; Pontoni, G.; Zappia, V. Biocompatibility studies on glass ionomer cements by primary cultures of human osteoblasts. Biomaterials 1996, 17, 1351–1356. [Google Scholar] [CrossRef] [PubMed]
- Tanumiharja, M.; Burrow, M.F.; Tyas, M.J. Microtensile bond strengths of glass ionomer (polyalkenoate) cements to dentine using four conditioners. J. Dent. 2000, 28, 361–366. [Google Scholar] [CrossRef]
- Soares, C.J.; Celiberto, L.; Dechichi, P.; Fonseca, R.B.; Martins, L.R. Marginal integrity and microleakage of direct and indirect composite inlays: SEM and stereomicroscopic evaluation. Braz. Oral Res. 2005, 7, 295–301. [Google Scholar] [CrossRef]
- Pontes, D.G.; Guedes-Neto, M.V.; Cabral, M.F.; Cohen-Carneiro, F. Microleakage evaluation of class V restorations with conventional and resin-modified glass ionomer cements. Oral Health Dent. Manag. 2014, 13, 642–646. [Google Scholar]
- Soubhagya, M.; Goud, K.M.; Deepak, B.S.; Thakur, S.; Nandini, T.N.; Arun, J. Comparative in vitro evaluation of internal adaptation of resin-modified glass ionomer.; flowable composite and bonding agent applied as a liner under composite restoration: A scanning electron microscope study. J. Int. Oral Health 2015, 7, 27–31. [Google Scholar]
- Tanumiharja, M.; Burrow, M.F.; Cimmino, A.; Tyas, M.J. The evaluation of four conditioners for glass ionomer cements using field-emission scanning electron microscopy. J. Dent. 2001, 29, 131–138. [Google Scholar] [CrossRef]
- Zhao, I.S.; Chu, S.; Yu, O.Y.; Mei, M.L.; Chu, C.H.; Lo, E.C.M. Effect of silver diamine fluoride and potassium iodide on shear bond strength of glass ionomer cements to caries-affected dentine. Int. Dent. J. 2019, 69, 341–347. [Google Scholar] [CrossRef]



| Material | Composition | Manufacturer, City, Country | Batch n° |
|---|---|---|---|
| Riva Light Cure | Liquid: Polyacrylic acid, tartaric acid, HEMA Powder: Bioactive glass (Ionglass™), contains fluoride and strontium ions | SDI, Bayswater, Australia | 873003 |
| Riva Conditioner | Polyacrylic acid 25–30% in weight | SDI, Bayswater, Australia | 334601 |
| Gel Etchant | Orthophosphoric acid 37.5% in weight | Kerr, Bioggio, Switzerland | 200317 |
| Riva Star | Silver diamine fluoride: 38% silver fluoride, 15–20% anhydrous ammonia, and water. Potassium iodide | SDI, Bayswater, Australia | 11557551 |
| GIC (Control) | Glass Ionomer Cement. Application in One Increment and Light Curing for 20 s |
|---|---|
| SDF/KI + GIC | SDF application for 1 min, KI application for 2 min, cavity rinsing, GIC application in one increment and light curing for 20 s. |
| PA + GIC | 25% Polyacrylic acid. Dentin conditioning for 10 s, cavity rinsing and mild drying, GMIC application in one increment and light curing for 20 s. |
| PA + SDF/KI + GIC | SDF application for 1 min, KI application for 2 min, cavity rinsing, dentin conditioning with 25% PA for 10 s, cavity rinsing and mild drying, GIC application in one increment and light curing for 20 s. |
| OPA + GIC | 37% Orthophosphoric acid. Dentin conditioning for 5 s, cavity rinsing and mild drying, GIC application in one increment and light curing for 20 s. |
| OPA + SDF/KI + GIC | SDF application for 1 min, KI application for 2 min, cavity rinsing, dentin conditioning with 37% OPA for 5 s, cavity rinsing and mild drying, GIC application in one increment and light curing for 20 s. |
| Median | IQR | Mean | SD | p | ||
|---|---|---|---|---|---|---|
| Coronal | GIC | 25.30 | 37.95 | 32.26 | 22.44 | 0.72 |
| SDF/KI + GIC | 34.25 | 54.17 | 43.04 | 34.23 | ||
| PA + GIC | 52.50 | 68.05 | 58.04 | 44.03 | 0.11 | |
| PA + SDF/KI + GIC | 40.10 | 26.85 | 41.99 | 32.27 | ||
| OPA + GIC | 00.00 | 24.58 | 8.95 | 14.05 | 0.04 | |
| OPA + SDF/KI + GIC | 63.50 | 103.2 | 57.59 | 54.91 | ||
| Axial | GIC | 29.10 | 14.70 | 34.17 | 17.09 | 0.04 |
| SDF/kI + GIC | 04.93 | 32.37 | 21.70 | 37.19 | ||
| PA + GIC | 00.00 | 36.70 | 15.58 | 20.05 | 0.35 | |
| PA + SDF/KI + GIC | 12.50 | 50.30 | 37.54 | 57.77 | ||
| OPA + GIC | 00.00 | 00.00 | 03.25 | 09.19 | 0.42 | |
| OPA + SDF/KI + GIC | 00.00 | 110.7 | 42.04 | 59.94 | ||
| Cervical | GIC | 19.30 | 15.71 | 16.19 | 08.56 | 0.63 |
| SDF/kI + GIC | 07.38 | 51.87 | 29.05 | 41.15 | ||
| PA + GIC | 00.00 | 34.15 | 12.14 | 18.39 | 0.84 | |
| PA + SDF/kI + GIC | 00.00 | 83.20 | 28.76 | 43.25 | ||
| OPA + GIC | 00.00 | 19.22 | 8.20 | 11.61 | 0.37 | |
| OPA + SDF/kI + GIC | 00.00 | 99.50 | 40.34 | 58.05 | ||
| Total | GIC | 21.44 | 20.42 | 27.15 | 12.70 | 0.54 |
| SDF/KI + GIC | 18.47 | 43.02 | 31.26 | 30.37 | ||
| PA + GIC | 37.40 | 31.00 | 28.59 | 17.70 | 0.66 | |
| PA + SDF/KI + GIC | 29.46 | 33.02 | 36.10 | 36.73 | ||
| OPA + GIC | 04.70 | 13.82 | 06.80 | 07.61 | 0.04 | |
| OPA + SDF/KI + GIC | 46.00 | 80.18 | 46.66 | 42.15 | ||
Disclaimer/Publisher’s Note: The statements, opinions and data contained in all publications are solely those of the individual author(s) and contributor(s) and not of MDPI and/or the editor(s). MDPI and/or the editor(s) disclaim responsibility for any injury to people or property resulting from any ideas, methods, instructions or products referred to in the content. |
© 2023 by the authors. Licensee MDPI, Basel, Switzerland. This article is an open access article distributed under the terms and conditions of the Creative Commons Attribution (CC BY) license (https://creativecommons.org/licenses/by/4.0/).
Share and Cite
Ghilotti, J.; Alzina-Cendra, A.; Sanz, J.L.; Forner, L.; Llena, C. Does Silver Diamine Fluoride Affect the Adaptation of High-Viscosity Resin-Modified Glass Ionomer to Dentin? An In Vitro Study. Appl. Sci. 2023, 13, 991. https://doi.org/10.3390/app13020991
Ghilotti J, Alzina-Cendra A, Sanz JL, Forner L, Llena C. Does Silver Diamine Fluoride Affect the Adaptation of High-Viscosity Resin-Modified Glass Ionomer to Dentin? An In Vitro Study. Applied Sciences. 2023; 13(2):991. https://doi.org/10.3390/app13020991
Chicago/Turabian StyleGhilotti, James, Arnau Alzina-Cendra, José Luis Sanz, Leopoldo Forner, and Carmen Llena. 2023. "Does Silver Diamine Fluoride Affect the Adaptation of High-Viscosity Resin-Modified Glass Ionomer to Dentin? An In Vitro Study" Applied Sciences 13, no. 2: 991. https://doi.org/10.3390/app13020991
APA StyleGhilotti, J., Alzina-Cendra, A., Sanz, J. L., Forner, L., & Llena, C. (2023). Does Silver Diamine Fluoride Affect the Adaptation of High-Viscosity Resin-Modified Glass Ionomer to Dentin? An In Vitro Study. Applied Sciences, 13(2), 991. https://doi.org/10.3390/app13020991

