Lid Driven Triangular and Trapezoidal Cavity Flow: Vortical Structures for Steady Solutions and Hopf Bifurcations
Abstract
1. Introduction
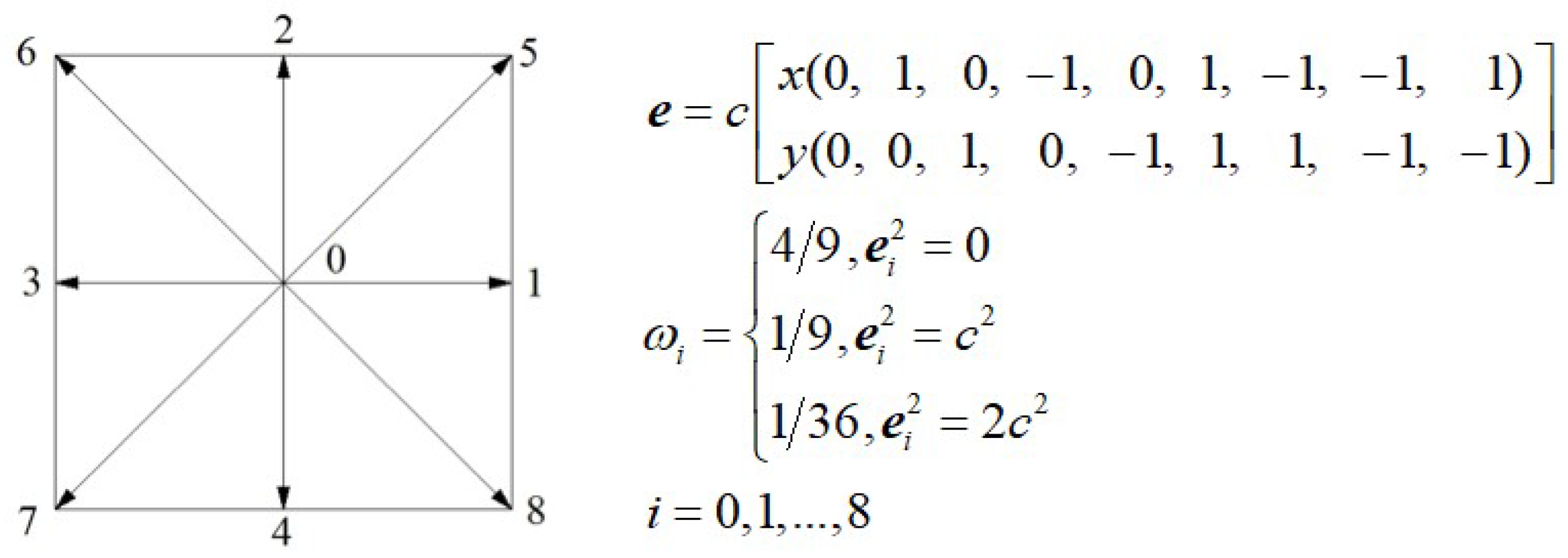
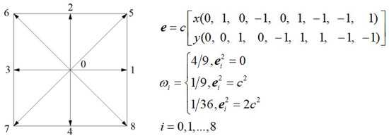
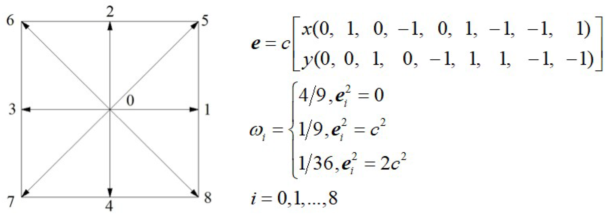
2. Numerical Approach and Boundary Treatment
3. Code Validation
Lid Driven Flow on an Equilateral Triangular Cavity
4. Computational New Results and Analysis
4.1. Right-Angled Isosceles Triangular Cavity
4.2. Right-Angled Isosceles Trapezoidal Cavity (Bowl Shape)
4.3. Right-Angled Isosceles Trapezoidal Cavity (Pyramid Shape)
5. Conclusions
Author Contributions
Funding
Institutional Review Board Statement
Informed Consent Statement
Data Availability Statement
Conflicts of Interest
Nomenclature
| Lattice sound speed | |
| C | Lattice velocity |
| Unit velocities vector along discrete directions | |
| Precollision distribution functions | |
| Postcollision distribution functions | |
| The discrete equilibrium distribution functions | |
| The discrete nonequilibrium distribution functions | |
| L | Characteristic length |
| Normal vector perpendicular to the walls | |
| Reynolds number | |
| Standard deviation of perturbation decay rate | |
| s | Spatial position vector |
| t | Iteration steps |
| Physical computational time | |
| Aspect ratio of the top line over the base line | |
| Velocity | |
| Lid-driven velocity | |
| Converged solution | |
| Horizontal component of velocity | |
| Vertical component of velocity | |
| Unitized horizontal component of velocity | |
| Unitized vertical component of velocity | |
| i | Discrete directions |
| Grid spacing | |
| Time step | |
| Perturbation decay rate | |
| Perturbation | |
| Density | |
| Stream function | |
| Vorticity | |
| Velocity vector | |
| Single relaxation time term | |
| Weight coefficient | |
| Discrete collision operator |
References
- Ghia, U.; Ghia, K.N.; Shin, C. High-Re solutions for incompressible flow using the Navier-Stokes equations and a multigrid method. J. Comput. Phys. 1982, 48, 387–411. [Google Scholar] [CrossRef]
- Schreiber, R.; Keller, H.B. Driven cavity flows by efficient numerical techniques. J. Comput. Phys. 1983, 49, 310–333. [Google Scholar] [CrossRef]
- Bruneau, C.H.; Jouron, C. An efficient scheme for solving steady incompressible Navier-Stokes equations. J. Comput. Phys. 1990, 89, 389–413. [Google Scholar] [CrossRef]
- Peng, Y.F.; Shiau, Y.H.; Hwang, R.R. Transition in a 2-D lid-driven cavity flow. Comput. Fluids 2003, 32, 337–352. [Google Scholar] [CrossRef]
- Fortin, A.; Jardak, M.; Gervais, J.; Pierre, R. Localization of Hopf bifurcations in fluid flow problems. Int. J. Numer. Methods Fluids 1997, 24, 1185–1210. [Google Scholar] [CrossRef]
- Auteri, F.; Parolini, N.; Quartapelle, L. Numerical investigation on the stability of singular driven cavity flow. J. Comput. Phys. 2002, 183, 1–25. [Google Scholar] [CrossRef]
- Bruneau, C.H.; Saad, M. The 2D lid-driven cavity problem revisited. Comput. Fluids 2006, 35, 326–348. [Google Scholar] [CrossRef]
- Sahin, M.; Owens, R.G. A novel fully implicit finite volume method applied to the lid-driven cavity problem—Part I: High Reynolds number flow calculations. Int. J. Numer. Methods Fluids 2003, 42, 57–77. [Google Scholar] [CrossRef]
- Ribbens, C.J.; Watson, L.T.; Wang, C.Y. Steady viscous flow in a triangular cavity. J. Comput. Phys. 1994, 112, 173–181. [Google Scholar] [CrossRef]
- Jyotsna, R.; Vanka, S. Multigrid calculation of steady, viscous flow in a triangular cavity. J. Comput. Phys. 1995, 122, 107–117. [Google Scholar] [CrossRef]
- Li, M.; Tang, T. Steady viscous flow in a triangular cavity by efficient numerical techniques. Comput. Math. Appl. 1996, 31, 55–65. [Google Scholar] [CrossRef]
- Gaskell, P.; Thompson, H.; Savage, M. A finite element analysis of steady viscous flow in triangular cavities. Proc. Inst. Mech. Eng. Part C J. Mech. Eng. Sci. 1999, 213, 263–276. [Google Scholar] [CrossRef]
- Erturk, E.; Gokcol, O. Fine grid numerical solutions of triangular cavity flow. Eur. Phys. J.-Appl. Phys. 2007, 38, 97–105. [Google Scholar] [CrossRef]
- Gonzalez, L.; Ahmed, M.; Kühnen, J.; Kuhlmann, H.C.; Theofilis, V. Three-dimensional flow instability in a lid-driven isosceles triangular cavity. J. Fluid Mech. 2011, 675, 369–396. [Google Scholar] [CrossRef]
- Sidik, N.A.C.; Munir, F.A. Mesoscale numerical prediction of fluid flow in a shear driven cavity. Arab. J. Sci. Eng. 2012, 37, 1723–1735. [Google Scholar] [CrossRef]
- Ahmed, M.; Kuhlmann, H.C. Flow instability in triangular lid-driven cavities with wall motion away from a rectangular corner. Fluid Dyn. Res. 2012, 44, 025501. [Google Scholar] [CrossRef]
- Jagannathan, A.; Mohan, R.; Dhanak, M. A spectral method for the triangular cavity flow. Comput. Fluids 2014, 95, 40–48. [Google Scholar] [CrossRef]
- Gaspar, F.; Rodrigo, C.; Heidenreich, E. Geometric multigrid methods on structured triangular grids for incompressible navier-stokes equations at low reynolds numbers. Int. J. Numer. Anal. Model. 2014, 11, 400–411. [Google Scholar]
- Darr, J.H.; Vanka, S. Separated flow in a driven trapezoidal cavity. Phys. Fluids A Fluid Dyn. 1991, 3, 385–392. [Google Scholar] [CrossRef]
- McQuain, W.D.; Ribbens, C.J.; Wang, C.Y.; Watson, L.T. Steady viscous flow in a trapezoidal cavity. Comput. Fluids 1994, 23, 613–626. [Google Scholar] [CrossRef]
- Zhang, T.; Shi, B.; Chai, Z. Lattice Boltzmann simulation of lid-driven flow in trapezoidal cavities. Comput. Fluids 2010, 39, 1977–1989. [Google Scholar] [CrossRef]
- Ismael, M.A.; Chamkha, A.J. Mixed convection in lid-driven trapezoidal cavities with an aiding or opposing side wall. Numer. Heat Transf. Part A Appl. 2015, 68, 312–335. [Google Scholar] [CrossRef]
- Kareem, A.K.; Mohammed, H.; Hussein, A.K.; Gao, S. Numerical investigation of mixed convection heat transfer of nanofluids in a lid-driven trapezoidal cavity. Int. Commun. Heat Mass Transf. 2016, 77, 195–205. [Google Scholar] [CrossRef]
- Rashad, A.; Sivasankaran, S.; Mansour, M.; Bhuvaneswari, M. Magneto-convection of nanofluids in a lid-driven trapezoidal cavity with internal heat generation and discrete heating. Numer. Heat Transf. Part A Appl. 2017, 71, 1223–1234. [Google Scholar] [CrossRef]
- Selimefendigil, F.; Öztop, H.F. Modeling and optimization of MHD mixed convection in a lid-driven trapezoidal cavity filled with alumina–water nanofluid: Effects of electrical conductivity models. Int. J. Mech. Sci. 2018, 136, 264–278. [Google Scholar] [CrossRef]
- Mehmood, Z. Numerical simulations and linear stability analysis of mixed thermomagnetic convection through two lid-driven entrapped trapezoidal cavities enclosing ferrofluid saturated porous medium. Int. Commun. Heat Mass Transf. 2019, 109, 104345. [Google Scholar] [CrossRef]
- Chamkha, A.J.; Selimefendigil, F.; Oztop, H.F. Pulsating flow of CNT–water nanofluid mixed convection in a vented trapezoidal cavity with an inner conductive T-shaped object and magnetic field effects. Energies 2020, 13, 848. [Google Scholar] [CrossRef]
- Toghraie, D. Numerical simulation on MHD mixed convection of Cu-water nanofluid in a trapezoidal lid-driven cavity. Int. J. Appl. Electromagn. Mech. 2020, 62, 683–710. [Google Scholar] [CrossRef]
- Mondal, P.; Mahapatra, T.R. Minimization of entropy generation due to MHD double diffusive mixed convection in a lid driven trapezoidal cavity with various aspect ratios. Nonlinear Anal. Model. Control 2020, 25, 545–563. [Google Scholar] [CrossRef]
- Ali, F.H.; Hamzah, H.K.; Hussein, A.K.; Jabbar, M.Y.; Talebizadehsardari, P. MHD mixed convection due to a rotating circular cylinder in a trapezoidal enclosure filled with a nanofluid saturated with a porous media. Int. J. Mech. Sci. 2020, 181, 105688. [Google Scholar] [CrossRef]
- Alshuraiaan, B.; Pop, I. Numerical simulation of mixed convection in a lid-driven trapezoidal cavity with flexible bottom wall and filled with a hybrid nanofluid. Eur. Phys. J. Plus 2021, 136, 580. [Google Scholar] [CrossRef]
- Ishak, M.S.; Alsabery, A.I.; Hashim, I.; Chamkha, A.J. Entropy production and mixed convection within trapezoidal cavity having nanofluids and localised solid cylinder. Sci. Rep. 2021, 11, 14700. [Google Scholar] [CrossRef] [PubMed]
- Prince, H.A.; Redwan, D.A.; Rozin, E.H.; Saha, S.; Mamun, M.A.H. Augmentation of Pure Mixed Convection Heat Transfer in a Non-Newtonian Power-Law Fluid Filled Lid-Driven Trapezoidal Cavity With Double Rotating Cylinders. J. Heat Transf. 2021, 143, 082601. [Google Scholar] [CrossRef]
- Shah, S.S.; Haq, R.U.; Al-Kouz, W. Mixed convection analysis in a split lid-driven trapezoidal cavity having elliptic shaped obstacle. Int. Commun. Heat Mass Transf. 2021, 126, 105448. [Google Scholar] [CrossRef]
- Mebarek-Oudina, F.; Laouira, H.; Hussein, A.K.; Omri, M.; Abderrahmane, A.; Kolsi, L.; Biswal, U. Mixed Convection inside a Duct with an Open Trapezoidal Cavity Equipped with Two Discrete Heat Sources and Moving Walls. Mathematics 2022, 10, 929. [Google Scholar] [CrossRef]
- Khan, Z.; Khan, W.; Qasim, M.; Alharbi, S.; Hamid, M.; Du, M. Hybrid nanofluid flow around a triangular-shaped obstacle inside a split lid-driven trapezoidal cavity. Eur. Phys. J. Spec. Top. 2022, 231, 2749–2759. [Google Scholar] [CrossRef]
- An, B.; Bergada, J.; Mellibovsky, F. The lid-driven right-angled isosceles triangular cavity flow. J. Fluid Mech. 2019, 875, 476–519. [Google Scholar] [CrossRef]
- Bo, A.; Mellibovsky, F.; Bergadà, J.; Sang, W. Towards a better understanding of wall-driven square cavity flows using the lattice Boltzmann method. Appl. Math. Model. 2020, 82, 469–486. [Google Scholar]
- An, B.; Bergadà, J.M.; Mellibovsky, F.; Sang, W. New applications of numerical simulation based on lattice Boltzmann method at high Reynolds numbers. Comput. Math. Appl. 2020, 79, 1718–1741. [Google Scholar] [CrossRef]
- An, B.; Bergadà, J.; Mellibovsky, F.; Sang, W.; Xi, C. Numerical investigation on the flow around a square cylinder with an upstream splitter plate at low Reynolds numbers. Meccanica 2020, 55, 1037–1059. [Google Scholar] [CrossRef]
- Qian, Y.H.; d’Humières, D.; Lallemand, P. Lattice BGK models for Navier-Stokes equation. Europhys. Lett. 1992, 17, 479. [Google Scholar] [CrossRef]
- Guo, Z.; Shi, B.; Wang, N. Lattice BGK model for incompressible Navier–Stokes equation. J. Comput. Phys. 2000, 165, 288–306. [Google Scholar] [CrossRef]
- Guo, Z.; Zheng, C.; Shi, B. Non-equilibrium extrapolation method for velocity and pressure boundary conditions in the lattice Boltzmann method. Chin. Phys. 2002, 11, 366. [Google Scholar]
- Moffatt, H.K. Viscous and resistive eddies near a sharp corner. J. Fluid Mech. 1964, 18, 1–18. [Google Scholar] [CrossRef]













| Equilateral triangular cavity | Data source | This paper | Ref. [13] | Ref. [11] | Ref. [15] |
| Primary vortex | X = 0.5442 | X = 0.5401 | X = 0.5499 | X = 0.5266 | |
| Y = 0.6455 | Y = 0.6527 | Y = 0.6539 | Y = 0.6501 | ||
| Isosceles triangular cavity | Data source | This paper | Ref. [14] | Ref. [18] | |
| Primary vortex | X = 0.0465 | X = 0.0448 | X = 0.045 | ||
| Y = 0.3829 | Y = 0.3816 | Y = 0.38 |
| Re | 7000 | 7100 | 7200 | 7300 | 7500 | 7600 | 7700 |
| t′ | 0.47399 | 0.49084 | 0.551296 | 0.64146 | 1.0696 | 1.179 | 1.5745 |
| −4.57412 | −3.8701 | −3.40548 | −2.96897 | −1.9354 | −1.4096 | −1.03147 | |
| 0.601306 | 0.40408 | 0.454294 | 0.403031 | 0.24998 | 0.103915 | 0.0947897 | |
| Re | 7800 | 7850 | 7900 | 7950 | 8050 | ||
| t′ | 2.30165 | 2.95315 | 4.081 | 6.473 | 2.8928 | ||
| −0.69855 | −0.5528 | −0.39235 | −0.25251 | −0.0000 | |||
| 0.095591 | 0.0801 | 0.0447 | 0.031272 | 0 |
| Re = 1000 | 17 | 9 | 5 | 3 | 2 | 5/3 | 1.5 | |
| Position | X = 0.5946 | X = 0.5949 | X = 0.5862 | X = 0.6122 | X = 0.6868 | X = 0.7385 | X = 0.7790 | |
| Y = 0.3319 | Y = 0.3054 | Y = 0.2600 | Y = 0.2020 | Y = 0.1476 | Y = 0.1176 | Y = 0.0989 | ||
| −0.0527 | −0.0528 | −0.0537 | −0.0510 | −0.0426 | −0.0360 | −0.02994 | ||
| −6.393 | −6.397 | −6.274 | −6.859 | −9.066 | −11.46 | −13.804 | ||
| Re = 7000 | Position | X = 0.7714 | X = 0.7733 | X = 0.7626 | X = 0.7512 | X = 0.7665 | X = 0.8271 | X = 0.7966 |
| Y = 0.3898 | Y = 0.3638 | Y = 0.3165 | Y = 0.2458 | Y = 0.1680 | Y = 0.1395 | Y = 0.0945 | ||
| −0.0349 | −0.03475 | −0.0361 | −0.0359 | −0.0035 | −0.02461 | −0.0290 | ||
| −13.020 | −13.070 | −12.563 | −11.233 | −12.39 | −16.096 | −13.635 |
| Re = 1000 | 1/17 | 1/9 | 1/5 | 1/3 | |
| Position | X = 0.5118 | X = 0.5301 | X = 0.5382 | X = 0.5822 | |
| Y = 0.4425 | Y = 0.2764 | Y = 0.2195 | Y = 0.1830 | ||
| −0.0078 | −0.0176 | −0.0334 | −0.0426 | ||
| −23.27 | −3.566 | −4.269 | −5.794 | ||
| Re = 7000 | Position | X = 0.4828 | X = 0.5349 | X = 0.5311 | X = 0.5927 |
| Y = 0.2188 | Y = 0.2047 | Y = 0.2031 | Y = 0.1744 | ||
| 0.0128 | −0.0126 | −0.0309 | −0.0406 | ||
| 1.443 | −1.637 | −3.304 | −5.916 |
Disclaimer/Publisher’s Note: The statements, opinions and data contained in all publications are solely those of the individual author(s) and contributor(s) and not of MDPI and/or the editor(s). MDPI and/or the editor(s) disclaim responsibility for any injury to people or property resulting from any ideas, methods, instructions or products referred to in the content. |
© 2023 by the authors. Licensee MDPI, Basel, Switzerland. This article is an open access article distributed under the terms and conditions of the Creative Commons Attribution (CC BY) license (https://creativecommons.org/licenses/by/4.0/).
Share and Cite
An, B.; Guo, S.; Bergadà, J.M. Lid Driven Triangular and Trapezoidal Cavity Flow: Vortical Structures for Steady Solutions and Hopf Bifurcations. Appl. Sci. 2023, 13, 888. https://doi.org/10.3390/app13020888
An B, Guo S, Bergadà JM. Lid Driven Triangular and Trapezoidal Cavity Flow: Vortical Structures for Steady Solutions and Hopf Bifurcations. Applied Sciences. 2023; 13(2):888. https://doi.org/10.3390/app13020888
Chicago/Turabian StyleAn, Bo, Shipeng Guo, and Josep M. Bergadà. 2023. "Lid Driven Triangular and Trapezoidal Cavity Flow: Vortical Structures for Steady Solutions and Hopf Bifurcations" Applied Sciences 13, no. 2: 888. https://doi.org/10.3390/app13020888
APA StyleAn, B., Guo, S., & Bergadà, J. M. (2023). Lid Driven Triangular and Trapezoidal Cavity Flow: Vortical Structures for Steady Solutions and Hopf Bifurcations. Applied Sciences, 13(2), 888. https://doi.org/10.3390/app13020888

