Analysis of Acoustic Flow Field Characteristics of Key Components of High-Speed Train Bogies
Abstract
:1. Introduction
1.1. Background and Significance of the Study
1.2. Calculation Current Status of Research on the Effect of Flow Field on Sound Field
2. Calculation Model
2.1. Theoretical Basis of Acoustic Flow Field Calculation
2.1.1. Basic Equations of Control for Fluid Dynamics
- Continuity equation-derived from the law of conservation of mass
- 2.
- Momentum equation-derived from the law of conservation of momentum (Newton’s second law) is shown in the following equations [30]:
- 3.
- Energy equation (also known as Bernoulli’s equation)-derived from the law of conservation of energy
2.1.2. Acoustic Finite Element Method (AFEM)
2.2. Body and Bogie Model
2.2.1. Body Model
2.2.2. Bogie Model
- Simplifying the bogie model
- 2.
- Smoothing of key components
2.3. Flow Field Area
2.4. Mesh Model
2.5. Acoustic Flow Field Simulation Flow
3. Analysis of the Results
3.1. Influence of Train Speed on the Sound Field Distribution
3.1.1. Cloud Distribution of Bogie Motors
3.1.2. Cloud Distribution of Bogie Gearboxes
3.1.3. Distribution of Bogie Axle Box Clouds
3.2. Effect of Sound Source Intensity on Sound Field Distribution
3.2.1. Distribution of Bogie Motor Clouds
3.2.2. Cloud Distribution of Bogie Gearboxes
3.2.3. Distribution of Bogie Axle Box Clouds
4. Conclusions
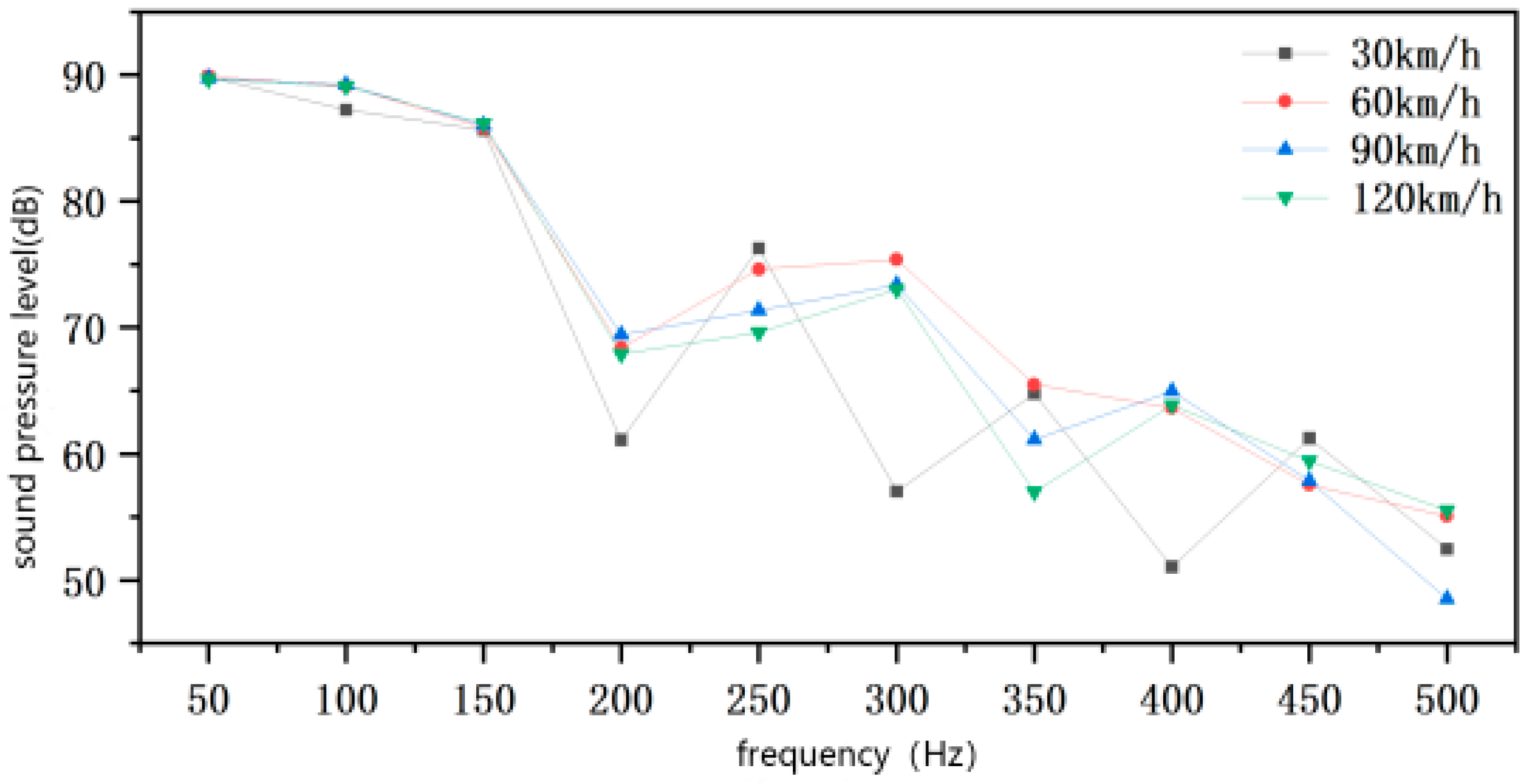
- The effect of vehicle speed on the distribution of the bogie sound field: When changing the vehicle speed, it was found that the main influence on the axle box and gearbox was in the frequency band after 200 Hz, and for the motor, after 150 Hz. Also the speed of the vehicle had the greatest effect on the motor, followed by the gearbox, and finally, the axle box. Moreover, compared to the other two factors, vehicle speed had the least effect on the bogie sound field distribution.
- When there was a change in the vibration frequency of the sound source, the minimum value of the sound pressure level decreased as the frequency increases. Additionally, the gradient of the sound pressure level changed in the motor, gearbox, and axle box was more significant than when there was a change in the speed and intensity of the sound source vibration. Therefore, under the influence of the flow field, the vibration frequency had a greater impact on the sound field distribution of the bogie.
- When the vibration intensity of the sound source was varied, the gradient of the maximum and minimum valued of sound pressure level changes in the motor, gearbox, and axle box were almost the same. Therefore, the effect of vibration intensity on the change of sound pressure level was similar at these three locations. However, the impact on the size of the sound pressure level differed.
5. Summary and Prospects
Author Contributions
Funding
Data Availability Statement
Acknowledgments
Conflicts of Interest
References
- Xu, X.; Wang, Y.; Mou, G. Fault Analysis of Key Components of Rail vehicle Bogies. Sci. Technol. Wind 2020, 120–121. [Google Scholar] [CrossRef]
- Wu, K.; Jiang, Y.; Wen, Y.; Feng, W.; Wei, D. Study on Bogie Bearing Failure Forms and Diagnosis Methods in Urban Railway. Locomot. Roll. Stock. Technol. 2023, 20–23. [Google Scholar] [CrossRef]
- Zhang, C. Research on Fault Diagnosis Technology for Key Components of HX Locomotive; China Academy of Railway Sciences: Beijing, China, 2021. [Google Scholar] [CrossRef]
- Barke, D.; Chiu, W.K. Structural Health Monitoring in the Railway Industry: A Review. Struct. Health Monit. 2005, 4, 81–93. [Google Scholar] [CrossRef]
- Sneed, W.; Smith, R. On-board real-time railroad bearing defect detection and monitoring. In Proceedings of the 1998 ASME/IEEE Joint Railroad Conference, Philadelphia, PA, USA, 16 April 1998. [Google Scholar] [CrossRef]
- Zhou, M.; Jin, J.; Shi, P.; Li, D.; Zhang, J. Intelligent Detection System of Metro Vehicle Axle Box Bearing Fault. Urban Rail Transit Res. 2023, 26, 223–227+230. [Google Scholar]
- Alsalaet, J.K.; Hajnayeb, A.; Bahedh, A.S. Bearing fault diagnosis using normalized diagnostic feature-gram and convolutional neural network. Meas. Sci. Technol. 2023, 34, 045901. [Google Scholar]
- Piltan, F.; Kim, J.-M. Bearing Fault Diagnosis Using a Hybrid Fuzzy V-Structure Fault Estimator Scheme. Sensors 2023, 23, 1021. [Google Scholar] [PubMed]
- Li, Z. Numerical Simulation of Aerodynamic Noise of High-Speed Train in the Exterior Flow Field; Shanghai University of Engineering and Technology: Shanghai, China, 2016. [Google Scholar]
- Hao, K.; Xin, X. Release of Academician Ta-You Ma’s Theoretical Foundations of Modern Acoustics. ACTS Acustica 2004, 287. [Google Scholar] [CrossRef]
- Lighthill, M.J. On sound generated aerodynamically: Part I: General theory. Proc. R. Soc. Lond. Ser. A 1952, 211, 564–587. [Google Scholar]
- Lighthill, M.J. On sound generated aerodynamically: Part II: Turbulence as a source of sound. Proc. R. Soc. Lond. Ser. A 1954, 222, 1–32. [Google Scholar]
- Curle, N. The influence of solid boundaries upon aerodynamic sound. Proc. R. Soc. London. Ser. A. Math. Phys. Sci. 1955, 231, 505–514. [Google Scholar] [CrossRef]
- Powell, A. Theory of vortex sound. J. Acoust. Soc. Am. 1964, 32, 982–990. [Google Scholar]
- Hu, B. Numerical Simulation Study on Aerodynamic Noise of Commercial Vehicles Based on External Flow Field and Internal Sound Field; Guilin University of Electronic Science and Technology: Guilin, China, 2020. [Google Scholar]
- Wang, C.; Wu, C.; Chen, L.; Qiu, C.; Xiong, J. A comprehensive review on the mechanism of flow-induced noise and related prediction methods. Chin. J. Ship Res. 2016, 11, 57–71. [Google Scholar]
- Ffowcs-Williams, J.E.; Hawkings, D.L. Sound generation by turbulence and surface in arbitrary motion. Philos. Trans. R. Soc. Lond. 1969, 264, 321–342. [Google Scholar]
- Luo, D. Study on Carbon Fiber Composite Pantograph Shroud of High-Speed Trains Based on Reducing Noise; Southwest Jiaotong University: Chengdu, China, 2014. [Google Scholar]
- Goldstein, M.V. Unified approach to aerodynamic sound generation in the presence of boundaries. J. Acoust. Soc. Am. 1974, 56, 497–509. [Google Scholar] [CrossRef]
- Yan, S.; Shu, B.; Bi, F. Study on Simulation Method for Sound Quality Evaluation of Vehicle Exhaust Noise. Noise Vib. Control 2011, 31, 62–65. [Google Scholar]
- Chen, Z.; Ji, Z.; Ma, Q. Transmission loss calculation and performance analysis of perfo-rated-tube mufflers with non-uniform flow. Tech. Acoust. 2022, 41, 705–710. [Google Scholar]
- Hou, Q. Simulation and Optimization of Vehicle Muffler Based on Computational Fluid Dynamics; Shandong Institute of Transportation: Jinan, China, 2022. [Google Scholar]
- Tang, Y.; Zhao, L.-M.; Sun, Y.-Y. Study on the Influence of Internal Flow Field of Resistance Muffler on Transmission Loss. Mach. Des. Manuf. 2022, 372, 143–147. [Google Scholar]
- Chu, Z.; Kuang, F.; Kang, R. Effects of airflow on the acoustic attenuation performance of reactive muffler. J. Vibroeng. 2016, 18, 637–648. [Google Scholar]
- Soenarko, B.; Seybert, A.F. Visualization of Wave Propagation in Muffler. J. Vis. 2000, 3, 229–235. [Google Scholar]
- Wei, L. Design and Research of Exhaust Muffler for Single-Cylinder Diesel Engine Based on the Principle of Split-Stream Rushing; Inner Mongolia Agricultural University: Hohhot, China, 2021. [Google Scholar]
- Chen, Y. Numerical Simulation on Wake Flow of Wind Turbine on Complex Terrain Based on Actuation Models; North China Electric Power University: Beijing, China, 2021. [Google Scholar]
- Gong, X. Temperature Field Analysis of Pmsm Based on Thermo-Fluid-Magnetic Couplingo; Shandong University of Science and Technology: Qingdao, China, 2020. [Google Scholar]
- Zhang, Y. Analysis and Collaborative Optimization of Aerodynamic Noise and Resistance of Rearview Mirror of a Vehicle; Chongqing University of Technology: Chongqing, China, 2020. [Google Scholar]
- Wu, W. Fluid Mechanics; Beijing University Press: Beijing, China, 2021. [Google Scholar]
- Wang, T.B. The Analysis and Optimization of Flow Field and Strength Calculation in Turbocharge on CFD and ANSYS; Dalian Jiaotong University: Dalian, China, 2018. [Google Scholar]
- Hong, L. Analysis of the derivation of Bernoulli’s equation. China Metall. Educ. 2021, 48–51+55. [Google Scholar] [CrossRef]
- Zhan, F.; Xu, J. Virtual.Lab Acoustics Acoustic Simulation Calculations from Beginner to Proficient; Northwestern Polytechnical University Press: Xi’an, China, 2013. [Google Scholar]
- Huang, Z.; Chi, M.; Feng, Y. Study on the Aerodynamic Change Law of EMU Bogies of Running-across-lines under Cross-wind Effect. J. Mech. Eng. 2019, 56, 219–226. [Google Scholar]
- Wang, Q.; Pan, H.; Wei, Z. Study on the Failure and Diagnosis of Bogie Axle box Bearing of Train Set. Mech. Electr. Inf. 2023, 61–64. [Google Scholar] [CrossRef]
- Li, Z.; Zhan, F. Virtual.Lab Acoustics Acoustic Simulation Calculations Advanced Application Examples; AV Technology: Peterborough, UK, 2010. [Google Scholar]



















Disclaimer/Publisher’s Note: The statements, opinions and data contained in all publications are solely those of the individual author(s) and contributor(s) and not of MDPI and/or the editor(s). MDPI and/or the editor(s) disclaim responsibility for any injury to people or property resulting from any ideas, methods, instructions or products referred to in the content. |
© 2023 by the authors. Licensee MDPI, Basel, Switzerland. This article is an open access article distributed under the terms and conditions of the Creative Commons Attribution (CC BY) license (https://creativecommons.org/licenses/by/4.0/).
Share and Cite
Zhao, X.; Jia, X.; Li, L.; Wang, H. Analysis of Acoustic Flow Field Characteristics of Key Components of High-Speed Train Bogies. Appl. Sci. 2023, 13, 11065. https://doi.org/10.3390/app131911065
Zhao X, Jia X, Li L, Wang H. Analysis of Acoustic Flow Field Characteristics of Key Components of High-Speed Train Bogies. Applied Sciences. 2023; 13(19):11065. https://doi.org/10.3390/app131911065
Chicago/Turabian StyleZhao, Xing, Xiaoyang Jia, Lin Li, and Hanyu Wang. 2023. "Analysis of Acoustic Flow Field Characteristics of Key Components of High-Speed Train Bogies" Applied Sciences 13, no. 19: 11065. https://doi.org/10.3390/app131911065
APA StyleZhao, X., Jia, X., Li, L., & Wang, H. (2023). Analysis of Acoustic Flow Field Characteristics of Key Components of High-Speed Train Bogies. Applied Sciences, 13(19), 11065. https://doi.org/10.3390/app131911065

