Study on the Geotechnical Property Changes of Loess after Seismic Landslides—A Case Study of the Subao Loess Landslide in Ningxia, China
Abstract
1. Introduction
2. Test Materials and Methods
2.1. Study Site
2.2. Sample Preparation and Experimental Equipment
3. Results and Discussion
3.1. Physical Property Characterization
3.2. Consolidation Characterization
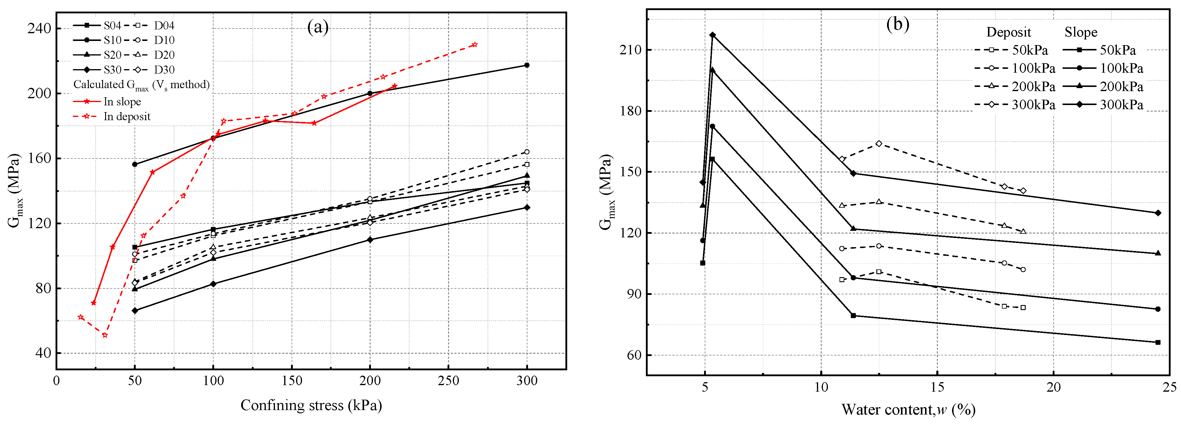
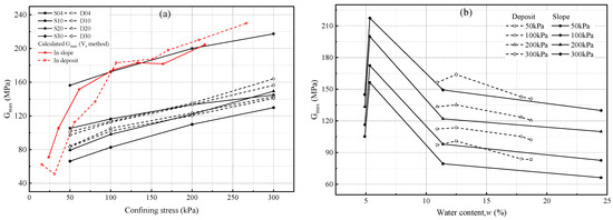
3.3. Dynamic Shear Modulus Characteristics
4. Conclusions
- The landslide process disrupts the original structure of the loess, resulting in a reduction in soil porosity and increased density. This process also leads to abrasion and the sieving of loess particles, transforming larger particles into smaller ones, thereby forming a more uniform particle size distribution. Within the landslide deposits, the movement and segregation of particles result in variations in the particle size distribution at different depths.
- Structural disruption and changes in the particle size significantly impact the consolidation characteristics of landslide deposits, leading to a substantial reduction in their compression coefficients. The study also revealed that despite nearly a century of consolidation, the soil in the middle and lower parts of the landslide deposits still exhibits under-consolidated behavior.
- Although the differences in the maximum dynamic shear modulus between the undisturbed loess and landslide deposits are relatively small, due to the variations in porosity, consolidation characteristics, and other factors, their dynamic shear modulus decay rates are faster in the landslide deposits than in the undisturbed loess. This underscores the importance of considering their physical property differences when assessing the deformation and failure characteristics of these soils under dynamic loading. Additionally, the fitting parameters (A and m) were derived from the experimental results to predict the maximum dynamic shear modulus of both the loess and landslide deposits in the region.
Author Contributions
Funding
Institutional Review Board Statement
Informed Consent Statement
Data Availability Statement
Conflicts of Interest
References
- Zhu, X.; Li, Y.; Peng, X.; Zhang, S. Soils of the loess region in China. Geoderma 1983, 29, 237–255. [Google Scholar]
- Wang, L.; Pu, X.; Chen, J. Distribution Characteristics and Disaster Risk of Earthquake Induced Landslides in the Loess Plateau. City Disaster Reduct. 2019, 126, 33–40. [Google Scholar]
- Xu, Y.; Allen, M.B.; Zhang, W.; Li, W.; He, H. Landslide characteristics in the Loess Plateau, northern China. Geomorphology 2020, 359, 107150. [Google Scholar] [CrossRef]
- Close, U.; McCormick, E. Where the mountains walked. Natl. Geogr. Mag. 1922, 41, 445–464. [Google Scholar]
- Xu, Y.; Liu-Zeng, J.; Allen, M.B.; Zhang, W.; Du, P. Landslides of the 1920 Haiyuan earthquake, northern China. Landslides 2021, 18, 935–953. [Google Scholar] [CrossRef]
- Zhuang, J.; Peng, J.; Xu, C.; Li, Z.; Densmore, A.; Milledge, D.; Iqbal, J.; Cui, Y. Distribution and characteristics of loess landslides triggered by the 1920 Haiyuan Earthquake, Northwest of China. Geomorphology 2018, 314, 1–12. [Google Scholar] [CrossRef]
- Lanzhou Institute of Seismology; SSB; Seismic Crew of Ningxia Hui Autonomous Region. AD 1920 Haiyuan Great Earthquake; Seismological Press: Beijing, China, 1980. [Google Scholar]
- Zhang, Z.; Wang, L. Geological disasters in loess areas during the 1920 Haiyuan Earthquake, China. GeoJournal 1995, 36, 269–274. [Google Scholar] [CrossRef]
- Chang, C.; Bo, J.; Qi, W.; Qiao, F.; Peng, D. Distribution of large-and medium-scale loess landslides induced by the Haiyuan Earthquake in 1920 based on field investigation and interpretation of satellite images. Open Geosci. 2022, 14, 995–1019. [Google Scholar] [CrossRef]
- Shanmugam, G.; Wang, Y. The landslide problem. J. Palaeogeogr. 2015, 4, 109–166. [Google Scholar] [CrossRef]
- Cheng, C.H.; Hsiao, S.C.; Huang, Y.S.; Hung, C.Y.; Pai, C.W.; Chen, C.P.; Menyailo, O.V. Landslide-induced changes of soil physicochemical properties in Xitou, Central Taiwan. Geoderma 2016, 265, 187–195. [Google Scholar] [CrossRef]
- Puri, V.K. Liquefaction Behavior and Dynamic Properties of Loessial (Silty) Soils; University of Missouri: Rolla, MO, USA, 1984. [Google Scholar]
- Ishihara, K.; Okusa, S.; Oyagi, N.; Ischuk, A. Liquefaction induced flow slide in the collapsible loess deposit in Soviet Tajik. Soils Found. 1990, 30, 73–89. [Google Scholar] [CrossRef]
- He, G.; Zhu, H. Study on loess seismic settlement. J. Geotech. Eng. 1990, 6, 99–103. [Google Scholar]
- Wang, J.; Gu, T.; Zhang, M.; Xu, Y.; Kong, J. Experimental study of loess disintegration characteristics. Earth Surf. Process. Landf. 2019, 44, 1317–1329. [Google Scholar] [CrossRef]
- Varnes, D.J. Slope movement types and processes. Spec. Rep. 1978, 176, 11–33. [Google Scholar]
- Wang, J.; Zhang, Z. Mechanism study of earthquake-induced high-speed loess landslides. J. Geotech. Eng. 1999, 6, 670–674. [Google Scholar]
- Zhang, Z.; Duan, R. Discussion on seismic subsidence of loess sites in the northwest of China during earthquakes. In Proceedings of the International Symposium on Engineering Geology 1986, Problems of Seismic Areas, Bari, Italy, 13–19 April 1986; Istituto: Florence, Italy, 1986; Volume 2, pp. 65–76. [Google Scholar]
- Seed, H.B.; Martin, G.R. The seismic coefficient in earth dam design. J. Soil Mech. Found. Div. 1966, 92, 25–58. [Google Scholar] [CrossRef]
- Zhang, D.; Takeuchi, A.; Sassa, K. The Motion Characteristics of Loess Landslides Induced by the Haiyuan Earthquake in the Ningxua Province, China. Landslides 1995, 32, 12–17_1. [Google Scholar] [CrossRef][Green Version]
- Zhang, D.; Wang, G. Study of the 1920 Haiyuan earthquake-induced landslides in loess (China). Eng. Geol. 2007, 94, 76–88. [Google Scholar] [CrossRef]
- Wang, G.; Zhang, D.; Furuya, G.; Yang, J. Pore-pressure generation and fluidization in a loess landslide triggered by the 1920 Haiyuan earthquake, China: A case study. Eng. Geol. 2014, 174, 36–45. [Google Scholar] [CrossRef]
- Wang, L. Loess Dynamics; Seismological Press: Beijing, China, 2003. [Google Scholar]
- Carey, J.M.; McSaveney, M.J.; Petley, D.N. Dynamic liquefaction of shear zones in intact loess during simulated earthquake loading. Landslides 2017, 14, 789–804. [Google Scholar] [CrossRef]
- Pei, X.; Zhang, X.; Guo, B.; Wang, G.; Zhang, F. Experimental case study of seismically induced loess liquefaction and landslide. Eng. Geol. 2017, 223, 23–30. [Google Scholar] [CrossRef]
- Zhang, L.M.; Xu, Y.; Huang, R.Q.; Chang, D.S. Particle flow and segregation in a giant landslide event triggered by the 2008 Wenchuan earthquake, Sichuan, China. Nat. Hazards Earth Syst. Sci. 2011, 11, 1153–1162. [Google Scholar] [CrossRef]
- Getahun, E.; Qi, S.W.; Guo, S.F.; Zou, Y.; Liang, N. Characteristics of grain size distribution and the shear strength analysis of Chenjiaba long runout coseismic landslide. J. Mt. Sci. 2019, 16, 2110–2125. [Google Scholar] [CrossRef]
- Li, Y.; Mo, P. A unified landslide classification system for loess slopes: A critical review. Geomorphology 2019, 340, 67–83. [Google Scholar] [CrossRef]
- Huang, X.; Cai, X.; Bo, J. Experimental study of the influence of gradation on the dynamic properties of centerline tailings sand. Soil Dyn. Earthq. Eng. 2021, 151, 106993. [Google Scholar] [CrossRef]
- Zhu, L.; Cui, S.; Pei, X.; Zhang, X.; Wang, H.; He, S.; Luo, L. Investigation of the characteristics and long-runout movement mechanisms of the Luanshibao landslide on the eastern margin of the Qinghai-Tibet Plateau. Soil Dyn. Earthq. Eng. 2022, 153, 107094. [Google Scholar] [CrossRef]
- da Silva, A.R.; de Lima, R.P. Soil physics: An R package to determine soil preconsolidation pressure. Comput. Geosci. 2015, 84, 54–60. [Google Scholar] [CrossRef]
- Casagrande, A. Research on the Atterberg limits of soils. Public Roads 1932, 13, 121–136. [Google Scholar]
- Wang, Q.; Kong, Y.; Zhang, X. Mechanical Effect of Pre-consolidation Pressure of Structural Behavior Soil. J. Southwest Jiaotong Univ. 2016, 5, 987–994. [Google Scholar]
- Hardin, B.O.; Drnevich, V.P. Shear modulus and damping in soils: Design equations and curves. J. Soil Mech. Found. Div. 1972, 98, 667–692. [Google Scholar] [CrossRef]
- Darendeli, M.B. Development of a New Family of Normalized Modulus Reduction and Material Damping Curves; The University of Texas: Austin, TX, USA, 2001. [Google Scholar]
- Song, B.; Tsinaris, A.; Anastasiadis, A.; Pitilakis, K.; Chen, W. Small-strain stiffness and damping of Lanzhou loess. Soil Dyn. Earthq. Eng. 2017, 95, 96–105. [Google Scholar] [CrossRef]
- Hardin, B.O.; Black, W.L. Vibration modulus of normally consolidated clay. J. Soil Mech. Found. Div. 1968, 94, 353–369. [Google Scholar] [CrossRef]
- Hardin, B.O. The nature of stress-strain behavior for soils. In Earthquake Engineering and Soil Dynamics—Proceedings of the ASCE Geotechnical Engineering Division Specialty Conference, Pasadena, CA, USA, 19–21 June 1978; American Society of Civil Engineers: Reston, VA, USA, 1978; Volume I, Sponsored by Geotechnical Engineering Division of ASCE in cooperation with: (No. Proceeding). [Google Scholar]











| Index Properties | Standard | Parameters Determined | Samples |
|---|---|---|---|
| Density, dry density | ASTM D7263 | all | |
| Initial void ratio | e | all | |
| Specific gravity | ASTM D854 | Gs | all |
| Grain size | ASTM D422, D1140 | D60, D50, D30, D10, Cu, Cc | all |
| Water content | ASTM D2216 | w | all |
| Index test | ASTM D4318 | PL, LL, PI | all |
| One-dimensional consolidation | ASTM D2435 | Cc, OCR | all |
| Resonant column test | ASTM 4015 | Gmax, Gd | D04, D10, D20, D30 S04, S10, S20, S30 |
| D60 (μm) | D50 (μm) | D30 (μm) | D10 (μm) | Cu | Cc | ||
|---|---|---|---|---|---|---|---|
| Samples in Slope | Mean value | 25.6 | 18.3 | 8.8 | 1.4 | 19.3242 | 2.2822 |
| Coefficient of variation | 0.1549 | 0.1680 | 0.1821 | 0.4366 | 0.2490 | 0.2833 | |
| Samples in deposit | Mean value | 19.5 | 15.5 | 7.0 | 1.0 | 20.1573 | 2.5852 |
| Coefficient of variation | 0.0811 | 0.1309 | 0.2721 | 0.2729 | 0.1766 | 0.3723 |
| Sample | Water Content (%) | OCR | k | A | m | Correlation Coefficient R2 |
|---|---|---|---|---|---|---|
| S04 | 4.91 | 5.36 | 1322 | 0.1820 | 0.994 | |
| S10 | 5.33 | 1.79 | 2869 | 0.1895 | 0.993 | |
| S20 | 11.39 | 1.28 | 2002 | 0.3563 | 0.987 | |
| S30 | 24.5 | 0.92 | 2008 | 0.3875 | 0.998 | |
| D04 | 10.9 | 3.71 | 2802 | 0.2685 | 0.987 | |
| D10 | 12.49 | 0.92 | 0.12 | 3224 | 0.2773 | 0.954 |
| D20 | 17.89 | 0.48 | 0.13 | 3570 | 0.2873 | 0.993 |
| D30 | 18.7 | 0.30 | 0.12 | 4263 | 0.2882 | 0.992 |
Disclaimer/Publisher’s Note: The statements, opinions and data contained in all publications are solely those of the individual author(s) and contributor(s) and not of MDPI and/or the editor(s). MDPI and/or the editor(s) disclaim responsibility for any injury to people or property resulting from any ideas, methods, instructions or products referred to in the content. |
© 2023 by the authors. Licensee MDPI, Basel, Switzerland. This article is an open access article distributed under the terms and conditions of the Creative Commons Attribution (CC BY) license (https://creativecommons.org/licenses/by/4.0/).
Share and Cite
Peng, D.; Bo, J.; Chang, C.; Li, X.; Duan, Y.; Qi, W. Study on the Geotechnical Property Changes of Loess after Seismic Landslides—A Case Study of the Subao Loess Landslide in Ningxia, China. Appl. Sci. 2023, 13, 11023. https://doi.org/10.3390/app131911023
Peng D, Bo J, Chang C, Li X, Duan Y, Qi W. Study on the Geotechnical Property Changes of Loess after Seismic Landslides—A Case Study of the Subao Loess Landslide in Ningxia, China. Applied Sciences. 2023; 13(19):11023. https://doi.org/10.3390/app131911023
Chicago/Turabian StylePeng, Da, Jingshan Bo, Chaoyu Chang, Xiaobo Li, Yushi Duan, and Wenhao Qi. 2023. "Study on the Geotechnical Property Changes of Loess after Seismic Landslides—A Case Study of the Subao Loess Landslide in Ningxia, China" Applied Sciences 13, no. 19: 11023. https://doi.org/10.3390/app131911023
APA StylePeng, D., Bo, J., Chang, C., Li, X., Duan, Y., & Qi, W. (2023). Study on the Geotechnical Property Changes of Loess after Seismic Landslides—A Case Study of the Subao Loess Landslide in Ningxia, China. Applied Sciences, 13(19), 11023. https://doi.org/10.3390/app131911023

