Next Article in Journal
FEM Investigation of a Multi-Neck Helmholtz Resonator
Previous Article in Journal
An Evaluation Study on the Analysis of People’s Domestic Routines Based on Spatial, Temporal and Sequential Aspects
 
 
Font Type:
Arial Georgia Verdana
Font Size:
Aa Aa Aa
Line Spacing:
Column Width:
Background:
Article

Wear Prediction Method of Differential Planetary Roller Screws Considering the Ambient Temperature Variations

State Key Laboratory of Mechanical Transmissions, Chongqing University, Chongqing 400030, China
*
Author to whom correspondence should be addressed.
Appl. Sci. 2023, 13(19), 10609; https://doi.org/10.3390/app131910609
Submission received: 28 August 2023 / Revised: 19 September 2023 / Accepted: 21 September 2023 / Published: 23 September 2023

Abstract

:
As a key component in fields such as high-precision machine tools, aerospace and weaponry, the thermal deformations in a differential planetary roller screw (DPRS) caused by the changes in ambient temperatures can lead to uneven load distribution and increased wear, which can seriously affect its transmission accuracy, efficiency, and service life. Therefore, the temperature rise of a DPRS at different ambient temperatures was studied using the block thermal network method, and the thermal deformations were calculated. A load distribution model of DPRS considering thermal deformation was developed, and a wear prediction method combined with surface roughness was proposed. The results show that the increase in ambient temperature has an obvious negative effect on the load distribution and wear depth of DPRS. Moreover, the DPRS temperature rise, load distribution and wear depth dramatically change with the variation of parameters such as load, speed and thread pitch. A DPRS durability test device that considers changes in ambient temperature was developed. Experiments with temperature rise and DPRS wear under different ambient temperatures were conducted to validate the theoretical analysis model.

1. Introduction

Planetary roller screws, which are characterized by high precision and long life, are widely used in aerospace [1] and weaponry [2]. Compared to a conventional planetary roller screw, a differential planetary roller screw (DPRS) is more compact and has a higher power-to-volume ratio, higher power-to-mass ratio, smaller lead, and larger reduction ratio.
Drastic changes in ambient temperatures cause thermal deformation of DPRS components, which can accelerate uneven load distribution and increased wear, thereby affecting the transmission accuracy, work efficiency, and service life. Therefore, establishing a wear prediction model as a function of the ambient temperature and studying the effects of temperature on DPRS wear are important from the perspective of the basic design theory for DPRS. In aerospace, weapons, equipment, and other applications in which severe ambient temperature changes can occur, it is important to conduct research to improve DPRS performance.
Extensive research has been conducted focusing on the contact analysis [3,4], kinematics [3,5,6], statics [7,8,9], dynamics [10,11,12], thermal characteristics [13,14,15,16], load distribution, and the loss of accuracy [17] of planetary roller screws. Using the block thermal network method, Qiao [13] studied the temperature rise of the planetary roller screw during operation, analyzed the influence of load, speed, and thermal resistance on the temperature rise of the temperature node, and presented measures to reduce the temperature rise and thermal deformation. Miao et al. [18] studied the influence of the temperature distribution on the thread surface clearance and contact position and showed that the load-bearing capacity of planetary roller screws is greatly affected by the temperature differences of its components. Ma et al. [14] investigated the load distribution characteristics of planetary roller screws during thermal coupling and showed that temperature differences have an important effect on the load distribution of the nut. Yang et al. [19] established a new dynamic model to analyze the dynamic characteristics of planetary roller screws and showed that the amplitude of the system becomes larger when thermal deformation is considered.
Zheng et al. [20] analyzed the bearing characteristics of differential planetary roller screws based on space meshing and Hertzian contact theory and showed that parameters such as the tooth shape angle and pitch affect the bearing capacity. Du et al. [17] proposed a load distribution model combining the friction coefficient and surface micro formation and showed that the uniformity of the load distribution increases with increasing fractal roughness. Xing et al. [21] proposed a planetary roller screw wear prediction model based on a generic sliding distance model and showed that the roller axial movement distance greatly affects the cumulative wear depth distribution of the screw. Meng et al. [22] combined roughness and wear coefficients to develop a multiscale adhesive wear model that showed that the wear depth and accuracy loss rate increased with increasing roughness.
In summary, most research on the thermal characteristics and wear patterns of planetary roller screws has focused on conventional planetary roller screws; relatively little research has been conducted on differential planetary roller screws. The bearing characteristics and the wear law of conventional planetary roller screws under normal temperature conditions have been studied in detail, with the single-factor method being the most commonly used. Few research results have been reported for the temperature rise characteristics and wear laws of planetary roller screws coupled with temperature field and contact surface roughness conditions under drastic changes in ambient temperature.
This paper proposes a prediction model for the DPRS thermal deformation based on the block thermal network method and a prediction model for the DPRS wear under ambient temperature change, in combination with the Archard wear model. The wear law of a DPRS under thermal deformation conditions was studied, and an experimental verification was conducted. The remainder of this paper is organized as follows. Section 2 describes the analysis of the temperature rise of a DPRS at different ambient temperatures and the calculation of the thermal deformation using the block thermal network method, based on the rough surface of the DPRS characterized by the MB function, the actual contact area, and multiscale contact mechanics. A wear prediction model that combines the load distribution and motion characteristics is presented. Section 3 describes the analysis of the temperature rise of the DPRS under ambient temperature changes, the amount of thermal deformation, and the influence of thermal deformation on the load distribution and depth of thread wear. Section 4 presents the validation of the temperature rise and wear models using experimental data. The main contributions and conclusions are presented in Section 5.

2. Wear Prediction Model of DPRSs Considering Ambient Temperature

2.1. Rough Surface Contact Analysis of DPRSs

A DPRS structure, shown in Figure 1, consists of a screw, rollers, a nut, a cage, and an elastic retaining ring for the hole. The rollers engage the screw and nut. The nut ring groove is concave and engages with the ring groove at each end of the rollers to form support and thus prevent tilting. In contrast to conventional planetary roller screws, DPRSs are threaded, and the roller and nut have a parallel ring groove construction with a zero-lift angle.

2.1.1. Characterization of Rough Surfaces

To study the temperature rise, thermal deformation, and wear of DPRSs, the Majumdar–Bhushan (M–B) fractal function is used to characterize the two-dimensional profile of the rough surface of the DPRS:
z ( x ) = G F 1 ( 2 r ) 2 F cos ( π x 2 r ) , ( r < x < r ) ,
where r is the contact radius, F is the two-dimensional fractal dimension (1 < F < 2), and its relationship to roughness R can be obtained from the following empirical formula:
F = 1.528 R 0.042 .
G is fractal roughness, and its approximate exponential relationship to roughness R is as follows:
G = 10 ( 5.26 / R 0.042 ) .

2.1.2. Actual Contact Area and Contact Mechanics

Under practical conditions, the contact surface of a DPRS pair, taking into account surface roughness, is due to contact between tiny convex bodies, the rest being filled with air or a lubricating medium, as shown in Figure 2. The actual contact area on the surface of a DPRS is therefore less than the macroscopic contact area, and can be decomposed into the sum of the actual areas of many fractal domains using the fractal characteristic.
When the contact pressure is homogeneous, the dimensionless real contact area on the macroscopic contact surface is as follows:
X = X r = X r f L i 2 ,
where X r is the dimensionless actual contact area, X r f is the actual contact area over the fractal domain, and L i is the upper limit of the sample length.
Research [13] has shown that, depending on the radius of curvature of a rough DPRS surface and the amount of deformation, the deformation mode can be characterized as completely elastic, elastoplastic, or plastic. The critical area of plastic deformation is as follows:
a c = H 2 Y / 2 e 2 / ( F 1 ) ,
where H is the scale factor for the profile amplitude, e is the equivalent modulus of elasticity of the two contacting bodies, and Y is the material hardness.
The area of the largest microcontact in the fractal domain is as follows:
a L = 2 F F ψ ( F 2 ) / 2 X r L i 2 ,
where ψ is the expansion factor related to F .
When a L < a c , plastic deformation occurs at the DPRS gap, and the actual contact area is as follows:
X r = p Y ,
where p is the pressure per unit area on the contact surface.
The actual contact load of the contact point can be expressed as follows:
F r = K ψ ( 1 + a μ 2 ) 1 / 2 A ,
where K is the total contact stiffness and A is the contact area.
When a L > a c , simultaneous plastic and elastic deformations at the surface of the differential planetary screw coupling yield the following relationships:
When 1 < F < 1.5, the actual contact area of the screw coupling is as follows:
X = 3 2 π 4 2 3 F g 4 F p   e 2 3 F L i G 2 F 2 3 F .
When 1.5 < F < 2, the actual contact area of the screw coupling is as follows:
X = p e 2 / F g 3 F 2 / F H e g 1 F a c 2 F 2 4 3 2 π g 1 F G L u F 1 a c 3 2 F 2 2 / F ,
in which
g 1 ( F ) = 2 F / F F / 2 F / 3 2 F g 2 ( F ) = F / 2 F 2 F / 2 g 3 ( F ) = 2 F / 2 ψ 4 4 F + F 2 g 4 ( F ) = g 1 ( F ) g 3 ( F ) ψ F 2 3 2 F / 4 2 / F 3 F / 4 2 F 3 2 F / 3 F .
The actual contact load at a single point of contact can be expressed as follows:
F r = e G ( F 1 ) 3 π 1 / 2 2 F / 2 3 a c a L n ( a ) X ( 3 F ) / 2 d a + K σ S 0 a c n ( a ) X d a ,
where n ( a ) is the modified statistical distribution function for roughness, and can be expressed as follows:
n ( a ) = ξ F 2 ψ ( 2 F ) / 2 ( a L ) F / 2 X ( F + 2 ) / 2 ,
where ξ is the correction factor.

2.2. Temperature Rise of DPRSs and Thermal Deformation Analysis

The finite element method is often used for the predictive simulation of temperature rise [23], but it is time-consuming to develop a reasonable finite element mesh to model the structural characteristics of the threaded teeth of a DPRS. Therefore, a thermal network method [24] was used in this study to predict the temperature rise of a DPRS.

2.2.1. Thermal Resistance Model

Modeling the closed thermal network of a DPRS requires the selection of suitable temperature nodes and the determination of the thermal resistance between the nodes. Ref. [13] shows that the main types of thermal resistance of DPRSs are contact, conduction, and convection thermal resistance.
The contact thermal resistance of the DPRS is discussed first.
The contact thermal resistance of the joint surface is one of the important sources of the contact thermal resistance. Combining a rough surface contact area and multiscale mechanics, the following expression for the contact thermal resistance of the bond surface, considering roughness, is obtained:
R c = 1 h c A = 1 / A L g A r A 2 k 1 k 2 k 1 + k 2 + A v A k f ,
where A is the total contact area, h c is the total heat transfer coefficient, A r is the actual contact area, A v is the void area, L g is the void thickness, and k f is the thermal conductivity within the void.
The raceway contact thermal resistance is also a non-negligible source of thermal resistance in DPRS systems. In elliptical coordinates, the combined boundary conditions x = 0 , T = T 0 x , T 0 yield the temperature distribution in the hemispheric space outside the contact surface as follows:
T ( x ) = Q 4 π k s m o x d x ( a 2 + x ) ( b 2 + x ) x ,
where a and b are the long and short semi-axes of the contact ellipse, respectively; k s m o is the thermal conductivity of the object on a smooth surface; and Q is the heat flow leaving the contact surface.
The contact thermal resistance can be expressed as follows:
R = T 0 T x Q = 1 4 π k s m o 0 d x ( a 2 + x ) ( b 2 + x ) x = Ζ ( a / b ) 4 k s m o a = 2 K 1 ( e , π / 2 ) / π 4 k s m o a ,
where e is the contact ellipse eccentricity, Z is the geometric factor determined by the contact area, and K 1 ( e , π 2 ) is the first type of complete elliptic integral.
The contact thermal resistance of the threaded teeth of a single roller to the screw and nut is shown in Figure 3 and can be expressed as follows:
R e _ s = 1 n Z ( a s / b s ) 4 k r a s + Z ( a s / b s ) 4 k s a s R e _ n = 1 n Z ( a n / b n ) 4 k r a n + Z ( a n / b n ) 4 k s a n ,
where R e _ s is the equivalent contact thermal resistance of a single threaded tooth on a single roller with a screw race, R e _ n is the equivalent contact thermal resistance of a single threaded tooth on a single roller with a nut race, and n is the number of rollers.
The conduction thermal resistance and convection thermal resistance in DPRSs is discussed next. The nut of a DPRS can be simplified to a hollow cylinder, whose axial and radial thermal resistance can be expressed as follows:
R z = δ λ S z R j = ln d w / d n 2 π λ δ ,
where R z is the axial thermal resistance, R j is the radial thermal resistance, δ is the axial length, S z is the axial cross-sectional area of the cylinder, d w and d n are the inner and outer diameters of the nut, respectively.
In a DPRS, the convective heat transfer is generalized forced convection, and the convective thermal resistance can be expressed as follows:
R d h = 1 h f S d h = 1 N n λ / D S d h ,
where S d h is the convective heat transfer area, hf is the convective heat transfer coefficient, N n is the Nussle coefficient, λ is the thermal conductivity of the fluid, and D is the geometry of the heat exchange.

2.2.2. Temperature Prediction Models

The first step is to establish the thermal network. When a DPRS operates, heat is generated by friction at the contact surfaces and is transferred to the neighboring parts. The outer surfaces of these parts, then, come into contact with the environment and transfer heat. Temperature nodes are selected at the necessary locations and connected to form a thermal network model, as shown in Figure 4. As the DPRS structure is symmetric with respect to the centerline, one quarter of the mechanism was chosen to model the thermal resistance network. A thermal network model with 39 nodes was developed to reduce the computational time by using a smaller number of temperature nodes while simultaneously completely characterizing the temperature rise of the entire structure. The numbers and locations of the nodes are shown in Table 1.
The second step is to establish the thermal balance equations of the system. In a thermal network, there is thermal resistance between the temperature nodes, and the energy of any node is conserved. As shown in Figure 5, in a temperature system comprising four temperature nodes, node A takes the heat flow from the outside and outputs the heat flow to the other nodes. According to the first law of thermodynamics, the transient thermal balance equation for temperature node A can be expressed as follows:
H i n = T A T B R A B + T A T C R A C + T A T D R A D + m A c A T A t ,
where T x is the temperature of each node; x = A , B , C and D ; and R x x is the difference in thermal resistance between two nodes.
The thermal balance equation for each node can be expressed in the form of the following matrix:
[ H ] + [ T ] [ R ] 1 = [ m ] [ C ] [ T ] t .
The thermal balance equation for the whole system can be derived as follows:
R 39 × 39 T 39 × 1 + H 39 × 1 = m 39 × 39 C 39 × 39 T 39 × 1 t ,
where R 39 × 39 is the thermal resistance matrix of the temperature node, T 39 × 1 is the vector to be solved at the temperature node, H 39 × 1 is the heat flow matrix at the temperature node, m 39 × 39 is the temperature node heat flow matrix, and C 39 × 39 is the specific heat matrix of the temperature nodes.

2.2.3. Thermal Deformation Model

From a macro perspective, the DPRS is subject to axial elongation under the influence of a temperature rise, as shown in Figure 6.
At time t, the temperature of the screw changes from T 0 to T ( x , t ) , the length extends to ∆L(x), the position coordinate of any point changes from x to x(t), and the axial thermal deformation at position x can be expressed as follows:
x ( t ) x = 0 x ρ T ( x , t ) T 0 d ζ ,
where ρ is the coefficient of thermal expansion.
Therefore, the thermal deformation of a differential planetary screw with length L can be expressed as follows:
Δ L = L ( t ) L = 0 L ρ T ( x , t ) T 0 d x ,

2.3. Wear Analysis of DPRS

In a DPRS, the main contact on the screw–roller side is sliding contact, while that on the roller–nut side is rolling contact; so, adhesive wear is mainly concentrated on the rough threaded surface on the screw–roller side. Therefore, this study focused on the screw–roller side.

2.3.1. Load Distribution Model

In the half-pitch in contact with the rollers, the forces on the DPRS are shown in Figure 7. The contact force between the roller and the screw can be decomposed into three directional components along the normal direction of the spiral surface.
From section t − 1 to section t, the screw is subjected to the following force transmitted by the roller:
F t = n i = 1 z Q i sin α cos λ n i = 1 t 1 Q i sin α cos λ ,
where Q i is the normal load, F t is the axial force of the thread in section t, λ is the thread lifting angle, and n is the number of roller roots.
The iterative formula for the DPRS load distribution is as follows:
Q t 1 2 / 3 Q t 2 / 3 = n P 2 E s π r s 2 K i = t z Q i sin 2 α cos 2 λ .

2.3.2. Relative Sliding Speed and Distance

Adhesive wear of the DPRS is mainly caused by relative sliding and therefore requires an analysis of the relative velocities at the engagement of the roller and screw, where vr and vs denote the actual contact radius of the roller and screw, respectively; θr and θs denote the engagement deflection of the roller and screw, respectively; and ωs, ωr, and ωc denote the rotation angle of the screw, rotation angle, and revolution angle of the roller, respectively.
The sliding speed of the ith threaded tooth on the screw–roller side can be expressed as follows:
| V i s l i p | = ω s ω p 2 v s 2 + ( k + 1 ) 2 ω p 2 v r 2 2 ( k + 1 ) ω s ω p ω p v s v r cos ( θ r θ s ) + ω s L s 2 π 2 .
Therefore, the sliding distance can be expressed as follows:
S i ( t ) = | V i s l i p | t .

2.3.3. Wear Prediction Model

A DPRS experiences mainly rolling friction on the nut–roller side and sliding friction on the screw–roller side. During planetary roller screw operation, therefore, adhesive friction is mainly present between the screw and the roller. In the following expression,
V ( t ) = K E K ω X S i ( t ) ,
K E is the effective wear factor, which can be expressed as follows:
K E = 2 ω b 2 ω P s / sin ( λ s ) = b sin ( λ s ) P s ,
where P s is the lead of the screw and λ s is the screw lift angle.
The wear depth of the i th threaded tooth can be derived as follows:
h i ( t ) = K E K ω X | V i s l i p | t A i = K E K ω X | V i s l i p | t π a i b i ,
where A i is the area of the i th ellipse.

2.4. Numerical Implementation

The DPRS temperature rise, thermal deformation, and wear depth, shown in Figure 8, are calculated as follows:
  • Enter the DPRS design parameters and operating parameters;
  • Calculate the thermal resistance and establish the equations for the temperature nodes;
  • Establish a thermal network model and calculate the temperature rise value of each node;
  • Solve the thermal deformation equation for the screw;
  • Given the maximum contact area of a single body, calculate the critical contact area and determine the type of contact;
  • Calculate the actual total contact area and actual contact force and determine the feasibility of the results according to [22]; if infeasible, proceed to Step (5) and re-generate the maximum contact area for a single body;
  • Combine the DPRS load distribution model, sliding distance model, and wear prediction model to predict the wear depth.

3. Results and Analysis

This section presents numerical calculations conducted to analyze the adhesive wear of a DPRS at different ambient temperatures. The results include the temperature rise at each temperature node in different environments, thermal deformation of the screw, DPRS load distribution, and DPRS wear depth. The influence of parameters such as the load, speed, pitch, and number of threads on the performance of the DPRS at different ambient temperatures is also analyzed. The relevant structural parameters of the DPRS are shown in Table 2.

3.1. Temperature Rise and Thermal Deformation Patterns of DPRS

3.1.1. Influence of Ambient Temperature

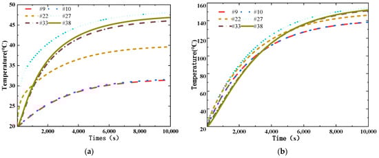
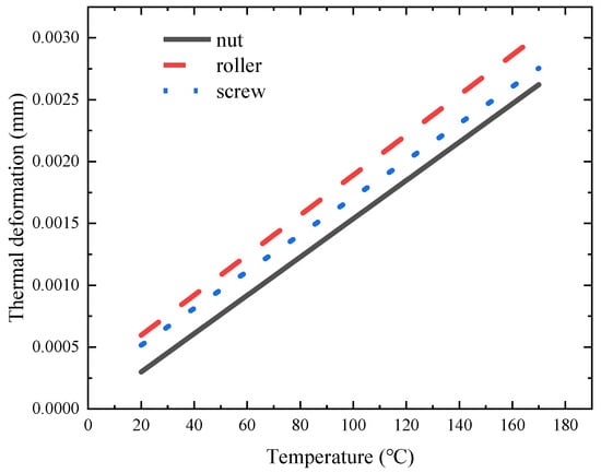
Figure 9 shows the temperature variation at each of the main temperature nodes at ambient temperatures of 20 and 130 °C for an initial temperature of 20 °C, an axial load of 30 kN, and a speed of 3000 rpm. The temperature rise trend of the temperature nodes is similar at different ambient temperatures: the temperatures of the nodes all increase over time and eventually converge to a steady state, and the steady-state temperature of each part increases as the ambient temperature increases. An analysis of the steady-state temperatures of the nodes at different ambient temperatures shows that Node #27 on the roller column has the highest temperature, and Node #22 has a much lower temperature than that of #27. This is because Node #27 is at the heat source and has a low heat transfer. Nodes #38 and #33 are temperature nodes on the screw, and the temperature of Node #38 is higher than that of Node #33 because of the proximity of #38 to the heat source and the absence of convective heat exchange with the air. Nodes #9 and #10 on the nut have the lowest temperatures because the nut has the largest contact area with the outside environment and the strongest convective heat exchange with the air. Figure 10 illustrates the axial thermal deformation of the DPRS at different temperatures. It is evident that the axial thermal deformation of the DPRS becomes greater with increasing ambient temperature. At various ambient temperatures, the DPRS roller deformation is the largest, followed by the screw deformation, and the nut deformation is the smallest because of differences in the steady-state temperatures of the components.
The results show that the temperature of each part of the DPRS at different ambient temperatures reaches a steady state after a period of operation, and that the steady-state temperature of each part is influenced by the ambient temperature. The steady-state temperature of the roller is higher than the temperature of the screw, and both parts have uneven temperature distributions. The nut temperature is the lowest. The magnitude of the thermal deformation of each part at different temperatures is consistent with the temperature differences between the parts.
In [13], Qiao et al. obtained similar screw temperature rise curves using numerical calculations and experimental methods. Under the conditions of 8 kN and 180 rpm, the screw temperature increased from room temperature of 25 °C to 45 °C within 2000 s. These results closely resemble the numerical calculations presented in this section, providing validation for the accuracy of the computations.

3.1.2. Influence of Load at Different Ambient Temperatures

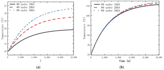
Figure 11 illustrates the temperature variation of Temperature node #9 on the nut after the DPRS is subjected to axial loads of 10, 20, and 30 kN at ambient temperatures of 20 and 120 °C when the screw speed is 3000 rpm. The temperature at Temperature node #9 on the nut increases gradually with increasing load at a given ambient temperature. This is because as the axial load becomes greater, the long and short semi-axes of the contact ellipse corresponding to the DPRS contact surface increase, the contact thermal resistance increases. Therefore, the node temperature increases with the increase in axial load. Comparison of Figure 11a,b shows that, as the ambient temperature increases, the amount of variation in the steady-state temperature of the nodes under different loads decreases. The difference in the steady state temperature between Node #9 at 30 and 20 kN load decreases by 0.9 °C as the ambient temperature increases from 20 to 120 °C.
The results show that the axial load on the DPRS is positively correlated with the steady-state temperature of the part, and that the influence of the load variation on the steady-state temperature of the part is somewhat diminished as the ambient temperature increases.

3.1.3. Influence of Speed at Different Ambient Temperatures

Figure 12 illustrates the temperature variation at Node #9 for a DPRS with a load of 30 kN at 1000, 2000, and 3000 rpm at ambient temperatures of 20 and 60 °C. The temperature at Node #9 increases significantly when the screw speed increases at a given ambient temperature. This is because, as the speed increases, the frictional torque and frictional heat generation within the DPRS increase, and the heat source generates more heat; thus, the node temperature rises significantly as the speed increases. Comparison of Figure 12a,b shows that the difference in the steady-state temperature of the DPRS at different speeds decreases as the ambient temperature rises.
The results show that the speed is one of the main factors influencing the DPRS temperature and that the influence of the speed variation on the steady-state temperature of the part decreases as the ambient temperature increases.

3.2. DPRS Load Distribution Analysis

3.2.1. Load Distribution in Ideal State

To verify the correctness of the load distribution model presented in this paper, the results of the model calculations were compared with the results obtained using the direct stiffness method in [25]. Figure 13a,b show the load distribution of the DPRS under ideal conditions for an axial load of 30 kN and surface roughness of 0.8 for the two calculation methods. It is evident that the load distribution on the screw–roller side is essentially the same for both methods, while the load distribution on the roller–nut side is slightly different. Compared with the results obtained using the method described in the literature, the maximum load of this model is 1.15% greater and the minimum load is 1.81% lower, but the overall agreement remains basically the same. The same load distribution pattern is also found in [14], which verifies the reliability of the load distribution model presented in this paper.

3.2.2. Influence of Ambient Temperature

To examine the influence of the ambient temperature on the load distribution of the DPRS threaded teeth, the load distribution curves of the DPRS at ideal state (without considering thermal deformation) and the ambient temperatures of 20, 70, and 120 °C are calculated as shown in Figure 14a,b. As the ambient temperature rises, the load on the first few sections of the roller gradually increases, and the load on the threads of the last few sections decreases. The load distributions of the DPRS threaded teeth with temperature on the screw–roller side and the roller–nut side show the same pattern of variation because of the thermal deformation of the DPRS parts caused by environmental changes, which corresponds to an increase in the clearance between the parts and thus a larger load distribution range.
The results show that ambient temperature significantly affects the DPRS load distribution uniformity. The higher the temperature, the worse the load distribution uniformity. Ref. [14] utilized finite element analysis to investigate the load distribution of the screw under different temperatures. The results exhibited the same variation trend as the findings presented in this section. Furthermore, the same variation trend was also obtained in [17], confirming and validating the accuracy of the analysis through this comparative analysis.

3.2.3. Influence of the Number of Screw Thread Sections at Different Ambient Temperatures

The number of screw thread knots in a roller directly affects the load distribution on the screw threads. Figure 15 shows the load distribution of a DPRS with 10, 13, and 18 thread sections and a 30 kN load at different ambient temperatures. It can be seen that the trend of the load distribution does not vary with the number of thread sections, but the load decreases as the number of thread sections increases because the greater the number of thread sections, the smaller the load assigned to each threading, while the load remains the same. Comparing the DPRS load distribution at different temperatures shows that as the ambient temperature increases, the difference in the load distribution due to the different number of thread sections decreases.
The results show that the number of thread sections does not affect the trend of the load distribution but has a large effect on the size of the load distribution and that the difference in the load due to different numbers of thread sections is somewhat reduced by an increase in the ambient temperature.

3.2.4. Influence of the Pitch at Different Ambient Temperatures

Figure 16 illustrates the influence of the pitch on the DPRS load distribution at different ambient temperatures. It can be seen that as the pitch increases, the load on the first few threaded teeth of the roller gradually increases, whereas that on the last few threaded teeth gradually decreases. Comparing the different temperature graphs, it can be seen that the influences of the pitch and ambient temperature on the DPRS load distribution are similar; however, as the ambient temperature increases, the difference in the load for the same threaded tooth decreases for different pitch cases.
The results illustrate that the greater the pitch, the more uneven the load distribution of the DPRS, the higher the ambient temperature, and the smaller the variation in the thread tooth load due to different pitches.

3.3. Wear Depth Analysis of the DPRS

3.3.1. Influence of Ambient Temperature

Figure 17 shows a graph of the total actual contact area versus wear depth for each contact ellipse as a function of the ambient temperature when the axial load is 30 kN, the speed is 3000 rpm, and the operating time is 38,000 h. The total actual area of the first six threaded teeth increases while that of the last six threaded teeth decreases with increasing temperature. This is because the contact area is influenced by the load distribution and shows the same pattern of variation as the load distribution at different ambient temperatures. Owing to the variation in the total contact area, the DPRS wear depth increases for the first six threaded teeth and decreases for the last six threaded teeth as the temperature increases.
The results show that excessive ambient temperatures can exacerbate the unevenness of thread wear and that lowering the working ambient temperature helps to maintain the accuracy of the part to some extent.
In [26], G.A et al. use the martensitic stainless steel as the material of experimental samples. They describe the contact between the roller and the screw as an ellipsoid on flat contact. The maximum wear depth of the screw is measured to be 5 × 10 4   m m in ten cycles, which, as well as the wear curves, is considered to correspond to the theoretical analysis in this paper, taking into account the different working hour settings.

3.3.2. Influence of Roughness at Different Ambient Temperatures

Figure 18 shows the variation pattern of the DPRS contact wear depth with surface roughness and thread number at an axial force of 30 kN, a speed of 3000 rpm, and an operating time of 38,000 h. Three surface roughness values of R = 0.3, R = 0.5, R = 0.8 are considered. The depth of wear increases with increasing contact surface roughness because when the surface roughness increases, the corresponding contact surface convex body height difference increases. This leads to an increase in the proportion of the plastic deformation of the convex body and therefore an increase in the actual contact area; consequently, the depth of wear increases with increasing roughness. Therefore, to enhance the durability of the DPRS in different environments, the thread surface roughness should be reduced as much as possible while meeting the design requirements.

3.3.3. Influence of the Pitch at Different Ambient Temperatures

Figure 19 illustrates the pattern of the DPRS wear depth with pitch when the axial force is 30 kN, the speed is 30,000 rpm, and the running time is 38,000 h. When the pitch varies, the wear depth distribution of the roller is similar, and the wear depth increases with increasing pitch because the axial movement of the roller increases with the pitch. This results in an increase in the relative sliding distance of the DPRS and an increase in the wear depth of the roller. Comparison of the different ambient temperature graphs shows that the pitch and ambient temperature have similar influences on the depth of wear in the first six sections of the DPRS and the opposite effects on the depth of wear on the threaded teeth in the later sections. Therefore, factors such as the operating temperature and pitch need to be considered when predicting DPRS wear.
In [21], Xing et al. use a sliding distance model to predict the wear depth of the roller and the screw, and when considering different P, their obtained wear depth change curves are similar to those of the change rule obtained in this paper.

4. Experimental Analysis

This section describes the experimental equipment and experimental contents designed to verify the theoretical analysis of temperature rise and wear depth of DPRSs mentioned above, mainly including temperature rise experiment and durability experiment of DPRSs.

4.1. Experimental Equipment and Methods

To verify the thermal estimation model and wear characteristics of DPRSs, a test rig was developed to test the temperature rise and durability of a DPRS in a temperature field. The test rig was controlled by a computer. The rotation of the motor, which drives the screw, causes the DPRS to start working: the roller is driven by the screw in a planetary motion, which causes the nut to move axially. The axial movement of the nut is recorded by a displacement sensor. The axial load can be changed by adjusting the spring compression, and it is recorded by a tension sensor. The temperature rise of the DPRS during operation is recorded by a temperature sensor.
The DPRS durability test rig, designed and built according to the test plan, is shown in Figure 20. It consists primarily of a servo motor, coupling, a DPRS sample to be tested, a temperature sensor, a linear displacement sensor, a tension pressure sensor, a rectangular coil spring, and a guide rail.
The experimental setup for the high- and low-temperature durability tests is shown in Figure 21. The durability test rig is installed in the high- and low-temperature box, and ambient temperature field changes in the DPRS can be achieved by varying the temperature setting of the high- and low-temperature box. The test rig can accommodate temperatures from −50 to 150 °C, and the screw speed can reach 5000 rpm, which meets the testing requirements of DPRSs.

4.2. Analysis of Temperature Rise Experiment Results

A comparison of the nut temperature rise predicted by the thermal network method and that measured in the experimental tests for different ambient temperature fields is shown in Figure 22. The increasing trends of the predicted and measured temperature profiles are similar for the four different ambient temperatures. However, the measured nut temperatures were higher than those calculated by the thermal network method. In the initial phase of operation, the experimentally measured temperature increases rapidly. The rate of increase decreases as the running time increases, but it continues to increase until it reaches a steady-state value. This is evident by the difference between the measured and predicted values, which first increases and then gradually decreases during operation. This is because during the experimental process, the heat generated by the motor, the heat of the bearings, and the heat of the coupling affect the temperature rise of the DPRS. In addition, the thermal network method only considers the axial load. However, radial forces may exist during the experimental operation and may affect the raceway contact on the screw–roller and roller–nut sides, thus increasing the temperature.
Comparison of the predicted temperature values at 1000 s of DPRS operation cycles at four ambient temperatures with the experimental measurements showed that the predicted values were 9.25% below the test values at 20 °C, 7.78% below the test values at 80 °C, 6.97% below the test values at 110 °C, and 5.95% below the test values at 130 °C. Therefore, the calculated temperature rise was consistent with the experimental results within a 10% error range. This demonstrates the reliability of the thermal network model for the analysis of the thermal characteristics of DPRSs.

4.3. Contour Wear Test

After 2.5 million cycles of the DPRS in a temperature field with an initial temperature of 30 °C, the tooth angle, major diameter, minor diameter, and pitch diameter of the screw, roller, and nut were measured using a MarSurf CD 140 profiler (Mahr, Germany). During the measurement, the screw, roller, and nut were fixed to the support plate with clamps, and the stylus traveled a certain stroke along the thread profile to obtain the average value of the major diameter, the middle diameter, the minor diameter, the tooth angle, and the pitch max–min. A comparison of the measured data with the pre-durability data is shown in Figure 23. The worn surface of the DPRSs is shown in Figure 24. The roller wear depths obtained after treatment are shown in Table 3.
Under the same conditions, the wear depth prediction model predicted an average wear depth of 0.013527 mm. Considering factors such as the radial force added to the experiment and the error in the measurement, the model calculation data are considered to be in general agreement with the experimental data, which verifies the correctness of the model.

5. Conclusions

The block thermal network method was used to study the temperature rise in a DPRS at different ambient temperatures and determine the thermal deformation of the screw. A DPRS wear prediction model that considers the roughness and ambient temperature was then established, and the DPRS wear at different ambient temperatures was predicted. The influences of the thread numbers, roughness, and pitch on the DPRS bearing characteristics and wear depth were also considered. The wear prediction method was validated through experiments. The main conclusions drawn from the study are listed below.
  • The temperature rise and thermal deformation of DPRSs under different environmental temperatures were analyzed. The temperature of each part of the DPRS reaches a steady state after a period of operation. The steady-state temperature of each part is influenced by the ambient temperature. The steady-state temperature of the roller is higher than the temperature of the screw, and both parts have uneven temperature distributions. The nut temperature is the lowest. The magnitude of the thermal deformation of each part at different temperatures and the temperature differences between the parts are consistent;
  • The load distribution and wear depth of DPRSs for different thermal deformation were analyzed. The load on DPRS threaded teeth and the depth of wear decrease as the thread number increases for the same temperature environment. The ambient temperature has a significant effect on the DPRS load distribution and wear depth of the thread teeth. Centered on the threaded tooth in the middle serial number, at higher temperatures, the load distribution is less uniform, and the wear depth distribution is more uneven. This indicates that reducing the ambient temperature is beneficial for enhancing the bearing capacity and wear resistance of the DPRS;
  • The effect of parameters such as number of threads, pitch and surface roughness on the depth of wear of DPRS at different ambient temperatures was analyzed. Increasing the number of threads and reducing the pitch can improve the bearing capacity of the DPRS and reduce its wear depth. In addition, reducing the surface roughness is also beneficial to improving the wear resistance of the DPRS. Therefore, the design of different parameters for DPRSs working at different ambient temperatures is beneficial for improving the wear resistance of the DPRS and prolonging its service life.

Author Contributions

W.G.: analysis, methodology, writing—original manuscript; C.L.: supervision, review, project administration, funding supporting; J.M.: methodology, writing—review and editing.; P.W.: collecting literatures, writing—editing; B.C.: collecting literature and discussion. All authors have read and agreed to the published version of the manuscript.

Funding

This research was funded by the National Natural Science Foundation of China, grant number 52075053.

Institutional Review Board Statement

The study does not require ethical approval.

Informed Consent Statement

Not applicable.

Data Availability Statement

The study did not report any data.

Conflicts of Interest

The authors declare no conflict of interest.

References

  1. Maré, J.-C.; Fu, J. Review on Signal-by-Wire and Power-by-Wire Actuation for More Electric Aircraft. Chin. J. Aeronaut. 2017, 30, 857–870. [Google Scholar] [CrossRef]
  2. Bennett, J.W.; Mecrow, B.C.; Jack, A.G.; Atkinson, D.J. A Prototype Electrical Actuator for Aircraft Flaps. IEEE Trans. Ind. Appl. 2010, 46, 915–921. [Google Scholar] [CrossRef]
  3. Liu, Y.; Wang, J.; Cheng, H.; Sun, Y. Kinematics Analysis of the Roller Screw Based on the Accuracy of Meshing Point Calculation. Math. Probl. Eng. 2015, 2015, 303972. [Google Scholar] [CrossRef]
  4. Jones, M.H.; Velinsky, S.A. Contact Kinematics in the Roller Screw Mechanism. J. Mech. Des. 2013, 135, 051003. [Google Scholar] [CrossRef]
  5. Hojjat, Y.; Mahdi Agheli, M. A Comprehensive Study on Capabilities and Limitations of Roller–Screw with Emphasis on Slip Tendency. Mech. Mach. Theory 2009, 44, 1887–1899. [Google Scholar] [CrossRef]
  6. Jones, M.H.; Velinsky, S.A. Kinematics of Roller Migration in the Planetary Roller Screw Mechanism. J. Mech. Des. 2012, 134, 061006. [Google Scholar] [CrossRef]
  7. Zhang, W.; Liu, G.; Ma, S.; Tong, R. Load Distribution over Threads of Planetary Roller Screw Mechanism with Pitch Deviation. Proc. Inst. Mech. Eng. Part C J. Mech. Eng. Sci. 2019, 233, 4653–4666. [Google Scholar] [CrossRef]
  8. Zhang, W.; Liu, G.; Tong, R.; Ma, S. Load Distribution of Planetary Roller Screw Mechanism and Its Improvement Approach. Proc. Inst. Mech. Eng. Part C J. Mech. Eng. Sci. 2016, 230, 3304–3318. [Google Scholar] [CrossRef]
  9. Ma, S.; Wu, L.; Liu, G.; Fu, X. Local Contact Characteristics of Threaded Surfaces in a Planetary Roller Screw Mechanism. Mech. Based Des. Struct. Mach. 2020, 48, 1–26. [Google Scholar] [CrossRef]
  10. Jones, M.H.; Velinsky, S.A.; Lasky, T.A. Dynamics of the Planetary Roller Screw Mechanism. J. Mech. Robot. 2016, 8, 014503. [Google Scholar] [CrossRef]
  11. Fu, X.; Liu, G.; Tong, R.; Ma, S.; Lim, T.C. A Nonlinear Six Degrees of Freedom Dynamic Model of Planetary Roller Screw Mechanism. Mech. Mach. Theory 2018, 119, 22–36. [Google Scholar] [CrossRef]
  12. Sandu, S.; Biboulet, N.; Nelias, D.; Abevi, F. An Efficient Method for Analyzing the Roller Screw Thread Geometry. Mech. Mach. Theory 2018, 126, 243–264. [Google Scholar] [CrossRef]
  13. Qiao, G.; Liu, G.; Ma, S.; Wang, Y.; Li, P.; Lim, T.C. Thermal Characteristics Analysis and Experimental Study of the Planetary Roller Screw Mechanism. Appl. Therm. Eng. 2019, 149, 1345–1358. [Google Scholar] [CrossRef]
  14. Ma, S.; Zhang, C.; Zhang, T.; Liu, G.; Liu, S. Thermo-Mechanical Coupling–Based Finite Element Analysis of the Load Distribution of Planetary Roller Screw Mechanism. Adv. Mech. Eng. 2018, 10, 1687814018775254. [Google Scholar] [CrossRef]
  15. Ma, S.; Liu, G.; Tong, R.; Fu, X. A Frictional Heat Model of Planetary Roller Screw Mechanism Considering Load Distribution. Mech. Based Des. Struct. Mach. 2015, 43, 164–182. [Google Scholar] [CrossRef]
  16. Du, C.; Liu, G.; Qiao, G.; Ma, S.; Cai, W. Transient Thermal Analysis of Standard Planetary Roller Screw Mechanism Based on Finite Element Method. Adv. Mech. Eng. 2018, 10, 168781401881230. [Google Scholar] [CrossRef]
  17. Du, X.; Chen, B.; Liu, R.; Li, C. Research on Fractal Model of Load Distribution and Axial Stiffness of Planetary Roller Screw Mechanism Considering Surface Roughness and Friction Factor. Adv. Theory Simul. 2022, 5, 2100399. [Google Scholar] [CrossRef]
  18. Miao, J.; Wang, S.; Shan, X.; Chen, B. Investigation on Contact Behavior of Planetary Roller Screw Mechanism Considering Thermal Deformation. Trans. Can. Soc. Mech. Eng. 2022, 49, 87–111. [Google Scholar] [CrossRef]
  19. Yang, J.; Li, C.; Xu, M.; Yang, T.; Zhang, Y. Nonlinear Dynamic Characteristics of Ball Screw Feed System under Thermal Deformation. Nonlinear Dyn. 2022, 107, 1965–1987. [Google Scholar] [CrossRef]
  20. Zheng, Z.; Chen, B.; Du, X.; Chen, Y. Analysis of Bearing Characteristics of Differential Planetary Roller Screw. J. Chongqing Univ. 2020, 43, 23–32. [Google Scholar]
  21. Xing, M.; Zhang, B.; Deng, P.; Xu, J.; Cui, Y. A Novel Wear Prediction Model for Planetary Roller Screw Based on Universal Sliding Distance Model. Tribol. Int. 2022, 175, 107851. [Google Scholar] [CrossRef]
  22. Meng, J.; Du, X.; Li, Y.; Chen, P.; Xia, F.; Wan, L. A Multiscale Accuracy Degradation Prediction Method of Planetary Roller Screw Mechanism Based on Fractal Theory Considering Thread Surface Roughness. Fractal Fract. 2021, 5, 237. [Google Scholar] [CrossRef]
  23. Fan, S.T.; Guo, X.P. Axial Deformation of the Planetary Differential Micro-Displacement Mechanism with Finite Element Analysis. Appl. Mech. Mater. 2014, 684, 358–363. [Google Scholar] [CrossRef]
  24. Chen, L.F.; Wu, X.L.; Qin, D.T.; Wen, Z.J. Thermal Network Model for Temperature Prediction in Planetary Gear Trains. Appl. Mech. Mater. 2011, 86, 415–418. [Google Scholar] [CrossRef]
  25. Jones, M.H.; Velinsky, S.A. Stiffness of the Roller Screw Mechanism by the Direct Method. Mech. Based Des. Struct. Mach. 2014, 42, 17–34. [Google Scholar] [CrossRef]
  26. Aurégan, G.; Fridrici, V.; Kapsa, P.; Rodrigues, F. Experimental Simulation of Rolling–Sliding Contact for Application to Planetary Roller Screw Mechanism. Wear 2015, 332–333, 1176–1184. [Google Scholar] [CrossRef]
Figure 1. Structure of a DPRS.
Figure 1. Structure of a DPRS.
Applsci 13 10609 g001
Figure 2. Schematic diagram of contact between ideal surfaces and fractal surfaces.
Figure 2. Schematic diagram of contact between ideal surfaces and fractal surfaces.
Applsci 13 10609 g002
Figure 3. Thermal resistance diagram for raceway contact.
Figure 3. Thermal resistance diagram for raceway contact.
Applsci 13 10609 g003
Figure 4. Thermal network model of a DPRS.
Figure 4. Thermal network model of a DPRS.
Applsci 13 10609 g004
Figure 5. Temperature node system of a DPRS.
Figure 5. Temperature node system of a DPRS.
Applsci 13 10609 g005
Figure 6. Schematic diagram of the axial thermal deformation of the screw.
Figure 6. Schematic diagram of the axial thermal deformation of the screw.
Applsci 13 10609 g006
Figure 7. Diagram of the contact forces between the screw and the roller.
Figure 7. Diagram of the contact forces between the screw and the roller.
Applsci 13 10609 g007
Figure 8. Calculation flow of wear prediction.
Figure 8. Calculation flow of wear prediction.
Applsci 13 10609 g008
Figure 9. Temperature rise at each DPRS temperature node in different temperature fields: (a) 20 °C; (b) 130 °C.
Figure 9. Temperature rise at each DPRS temperature node in different temperature fields: (a) 20 °C; (b) 130 °C.
Applsci 13 10609 g009
Figure 10. Thermal deformation of the screw at different temperatures.
Figure 10. Thermal deformation of the screw at different temperatures.
Applsci 13 10609 g010
Figure 11. Temperature rise curve of the nut at different loads: (a) 20 °C; (b) 120 °C.
Figure 11. Temperature rise curve of the nut at different loads: (a) 20 °C; (b) 120 °C.
Applsci 13 10609 g011
Figure 12. Temperature rise curve of the screw at different speeds: (a) 20 °C; (b) 60 °C.
Figure 12. Temperature rise curve of the screw at different speeds: (a) 20 °C; (b) 60 °C.
Applsci 13 10609 g012
Figure 13. Temperature rise curve of the screw at different speeds. (a) Computational models in this paper; (b) The [25] calculation model.
Figure 13. Temperature rise curve of the screw at different speeds. (a) Computational models in this paper; (b) The [25] calculation model.
Applsci 13 10609 g013
Figure 14. Load distribution of the DPRS at different ambient temperatures. (a) Screw–roller side; (b) Nut–roller side.
Figure 14. Load distribution of the DPRS at different ambient temperatures. (a) Screw–roller side; (b) Nut–roller side.
Applsci 13 10609 g014
Figure 15. Influence of the number of roller threads at different ambient temperatures. (a) Ideal state (without thermal deformation); (b) 20 °C; (c) 70 °C; (d) 120 °C.
Figure 15. Influence of the number of roller threads at different ambient temperatures. (a) Ideal state (without thermal deformation); (b) 20 °C; (c) 70 °C; (d) 120 °C.
Applsci 13 10609 g015
Figure 16. Influence of the roller pitch at different ambient temperatures. (a) Ideal state (without thermal deformation); (b) 20 °C; (c) 70 °C; (d) 120 °C.
Figure 16. Influence of the roller pitch at different ambient temperatures. (a) Ideal state (without thermal deformation); (b) 20 °C; (c) 70 °C; (d) 120 °C.
Applsci 13 10609 g016
Figure 17. Wear depth of the DPRS threaded teeth at different temperatures.
Figure 17. Wear depth of the DPRS threaded teeth at different temperatures.
Applsci 13 10609 g017
Figure 18. Influence of roughness at different ambient temperatures. (a) Ideal state (without thermal deformation); (b) 20 °C; (c) 70 °C; (d) 120 °C.
Figure 18. Influence of roughness at different ambient temperatures. (a) Ideal state (without thermal deformation); (b) 20 °C; (c) 70 °C; (d) 120 °C.
Applsci 13 10609 g018
Figure 19. Influence of pitch at different ambient temperatures. (a) Ideal state (without thermal deformation); (b) 20 °C; (c) 70 °C; (d) 120 °C.
Figure 19. Influence of pitch at different ambient temperatures. (a) Ideal state (without thermal deformation); (b) 20 °C; (c) 70 °C; (d) 120 °C.
Applsci 13 10609 g019
Figure 20. Schematic diagram of the DPRS endurance test rig.
Figure 20. Schematic diagram of the DPRS endurance test rig.
Applsci 13 10609 g020
Figure 21. DPRS high- and low-temperature durability test equipment.
Figure 21. DPRS high- and low-temperature durability test equipment.
Applsci 13 10609 g021
Figure 22. Comparison of nut temperature rise. (a) 20 °C; (b) 80 °C; (c) 110 °C; (d) 130 °C.
Figure 22. Comparison of nut temperature rise. (a) 20 °C; (b) 80 °C; (c) 110 °C; (d) 130 °C.
Applsci 13 10609 g022
Figure 23. Comparison of the roller tooth angles on the screw–roller interface.
Figure 23. Comparison of the roller tooth angles on the screw–roller interface.
Applsci 13 10609 g023
Figure 24. Worn surface of the DPRSs. (a) surface1; (b) surface2.
Figure 24. Worn surface of the DPRSs. (a) surface1; (b) surface2.
Applsci 13 10609 g024
Table 1. Temperature node locations of a DPRS.
Table 1. Temperature node locations of a DPRS.
Temperature Node NumberCorresponding LocationTemperature Variables
1–9Temperature of outer surface of nutT1T8
10–17Threaded tooth temperature on nut sideT9T15
18Temperature of the cageT16
19Roller end temperatureT17
20–32Roller thread tooth temperatureT18T30
33–39Screw side thread tooth temperatureT31T37
Table 2. Structural parameters of a DPRS product.
Table 2. Structural parameters of a DPRS product.
Thread
Pitch
P 0 / mm
Number of
Screw Heads
n s
Screw Pitch Diameter d s / mm Roller Pitch Diameter
(major) d rs / mm
Roller Pitch Diameter
(minor) d rn / mm
Nut Pitch
Diameter d N / mm
118.95.94.719.5
Table 3. Wear depth of threads.
Table 3. Wear depth of threads.
Roller#1#2#3#4#5#6
Wear depth/mm0.0173820.0217330.0136780.0174650.0159650.014598
Disclaimer/Publisher’s Note: The statements, opinions and data contained in all publications are solely those of the individual author(s) and contributor(s) and not of MDPI and/or the editor(s). MDPI and/or the editor(s) disclaim responsibility for any injury to people or property resulting from any ideas, methods, instructions or products referred to in the content.

Share and Cite

MDPI and ACS Style

Gu, W.; Li, C.; Miao, J.; Wang, P.; Chen, B. Wear Prediction Method of Differential Planetary Roller Screws Considering the Ambient Temperature Variations. Appl. Sci. 2023, 13, 10609. https://doi.org/10.3390/app131910609

AMA Style

Gu W, Li C, Miao J, Wang P, Chen B. Wear Prediction Method of Differential Planetary Roller Screws Considering the Ambient Temperature Variations. Applied Sciences. 2023; 13(19):10609. https://doi.org/10.3390/app131910609

Chicago/Turabian Style

Gu, Weikai, Chaoyang Li, Jiacheng Miao, Peng Wang, and Bingkui Chen. 2023. "Wear Prediction Method of Differential Planetary Roller Screws Considering the Ambient Temperature Variations" Applied Sciences 13, no. 19: 10609. https://doi.org/10.3390/app131910609

APA Style

Gu, W., Li, C., Miao, J., Wang, P., & Chen, B. (2023). Wear Prediction Method of Differential Planetary Roller Screws Considering the Ambient Temperature Variations. Applied Sciences, 13(19), 10609. https://doi.org/10.3390/app131910609

Note that from the first issue of 2016, this journal uses article numbers instead of page numbers. See further details here.

Article Metrics

Back to TopTop