Oscillating Nonlinear Acoustic Waves in a Mooney–Rivlin Rod
Abstract
:1. Introduction
1.1. Overview
1.1.1. Fluid Dynamics
1.1.2. Solid Mechanics
1.2. Problem Statement
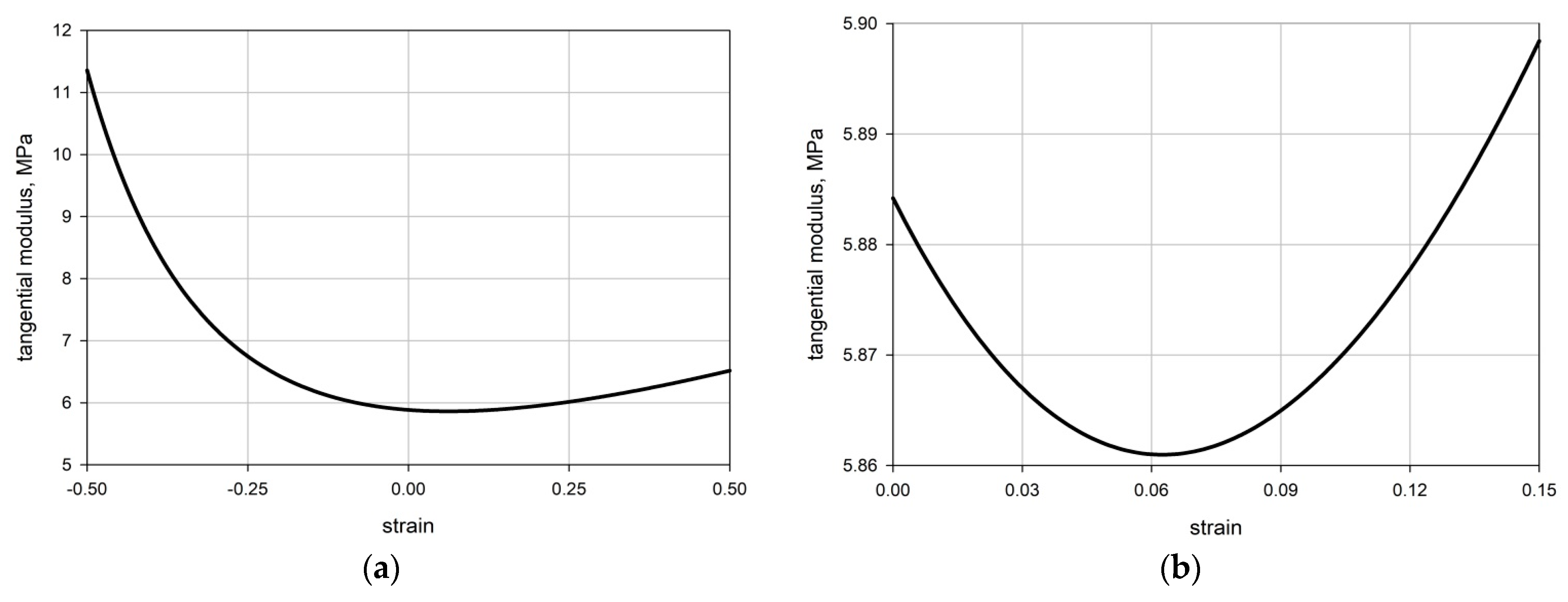
2. Principal Equations
2.1. Strain-Displacement Relations
2.2. Equation of State
2.3. Equation of Motion
2.4. Initial and Boundary Conditions
2.5. Equations of the Energy Balance
3. Numerical Analysis
3.1. Finite Element Model
3.2. Analysis of Wave Propagation
3.2.1. Physical Parameters
3.2.2. Waves at Harmonic Excitation
4. Concluding Remarks
- (i)
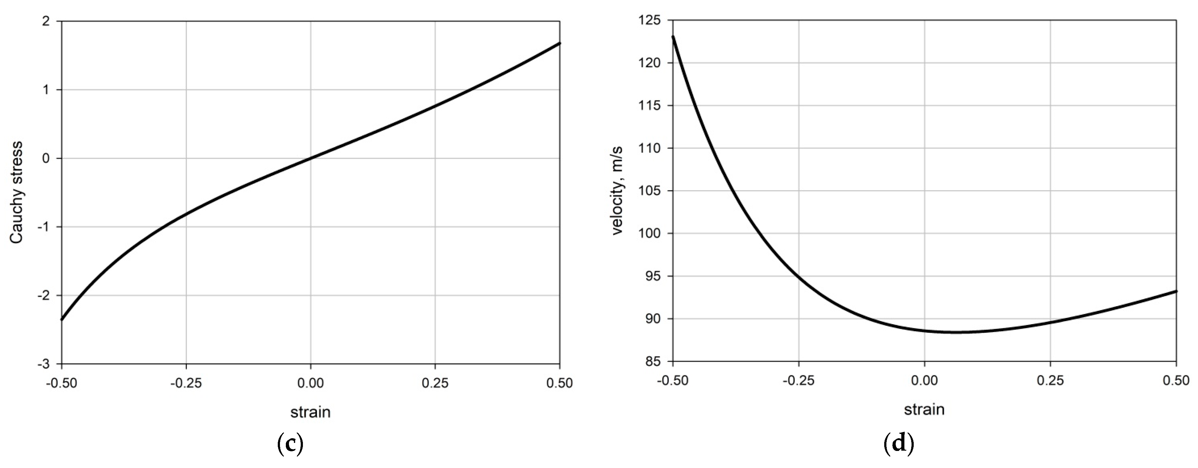
- the initially harmonic wave attenuates with the distance, see Figure 3a;
- (ii)
- both strain and kinetic energy decrease with the distance from the excitation source, along with the simultaneous increase in the thermal energy, see Figure 3b;
- (iii)
- the appearance of the multiple shock wave fronts between positive and negative strain pulses, see Figure 3c.
Author Contributions
Funding
Institutional Review Board Statement
Informed Consent Statement
Data Availability Statement
Conflicts of Interest
References
- Rankine, W.J.M. On the thermodynamic theory of waves of finite longitudinal disturbances. Phil. Trans. R. Soc. Lond. 1870, 160, 277–286. [Google Scholar]
- Cui, W.; Mu, X.; Chen, W.; Stephens, T.A.; Bledsoe, B.P. Emergency control scheme for upstream pools of long-distance canals. Irrig. Drain 2018, 68, 218–226. [Google Scholar] [CrossRef]
- Hunter, J.K.; Keller, J.B. Caustics of nonlinear waves. Wave Motion 1987, 9, 429–443. [Google Scholar] [CrossRef]
- Sasoh, A.; Ohtani, T.; Mori, K. Pressure effect in a shock-wave plasma interaction induced by a focused laser pulse. Phys. Rev. Lett. 2006, 97, 205004. [Google Scholar] [CrossRef] [PubMed]
- Znamenskaya, I.A.; Koroteev, D.A.; Lutsky, A.E. Discontinuity breakdown on shock wave interaction with nanosecond discharge. Phys. Fluids 2008, 20, 056101. [Google Scholar] [CrossRef]
- Kulikovskii, A.G. Multi-parameter fronts of strong discontinuities in continuum mechanics. J. Appl. Math. Mech. 2011, 75, 378–389. [Google Scholar] [CrossRef]
- Zhang, S. Shock wave evolution and discontinuity propagation for relativistic superfluid hydrodynamics with spontaneous symmetry breaking. Phys. Lett. B 2014, 729, 136–142. [Google Scholar] [CrossRef]
- Morduchow, M.; Libby, P.A. On the distribution of entropy through a shock wave. J. Mécanique 1965, 4, 191–213. [Google Scholar]
- Zeldovich, Y.B.; Raizer, Y.P. Physics of Shock Waves and High-Temperature Hydrodynamic Phenomena, 2nd ed.; Academic Press: New York, NY, USA, 1967. [Google Scholar]
- Ridah, S. Shock waves in water. J. Appl. Phys. 1988, 64, 152–158. [Google Scholar] [CrossRef]
- Arima, T.; Taniguchi, S.; Ruggeri, T.; Sugiyama, T. Extended thermodynamics of dense gases. Contin. Mech. Thermodyn. 2012, 24, 271–292. [Google Scholar] [CrossRef]
- Velasco, R.M.; Garcia-Colin, L.S.; Uribe, F.J. Entropy production: Its role in nonequilibrium thermodynamics. Entropy 2011, 13, 82–116. [Google Scholar] [CrossRef]
- Margolin, L.G. Nonequilibrium entropy in a shock. Entropy 2017, 19, 368. [Google Scholar] [CrossRef]
- Hafskjold, B.; Bedeaux, D.; Kjelstrup, S.; Wilhelmsen, A. Nonequilibrium thermodynamics of surfaces captures the energy conversions in a shock wave. Chem. Phys. Lett. X 2020, 7, 100054. [Google Scholar] [CrossRef]
- Pence, T.J.; Gou, K. On compressible versions of the incompressible neo-Hookean material. Math. Mech. Solids 2015, 20, 157–182. [Google Scholar] [CrossRef]
- Maslov, V.P.; Mosolov, P.P. General theory of the solutions of the equations of motion of an elastic medium of different moduli. J. Appl. Math. Mech. 1985, 49, 322–336. [Google Scholar] [CrossRef]
- Ostrovsky, L.A. Wave processes in media with strong acoustic nonlinearity. J. Acoust. Soc. Am. 1991, 90, 3332–3337. [Google Scholar] [CrossRef]
- Kuznetsov, S.V. Abnormal dispersion of flexural Lamb waves in functionally graded plates. Z. Angew. Math. Mech. 2019, 70, 89. [Google Scholar] [CrossRef]
- Lucchesi, M.; Pagni, A. Longitudinal oscillations of bimodular rods. Int. J. Struct. Stab. Dyn. 2005, 5, 37–54. [Google Scholar] [CrossRef]
- Gavrilov, S.N.; Herman, G.C. Wave propagation in a semi-infinite heteromodular elastic bar subjected to a harmonic loading. J. Sound Vib. 2012, 331, 4464–4480. [Google Scholar] [CrossRef]
- Naeeni, M.R.; Eskandari-Ghadi, M.; Ardalan, A.A.; Pak, R.Y.S.; Rahimian, M.; Hayati, Y. Coupled thermoviscoelastodynamic Green’s functions for bi-material half-space. Z. Angew. Math. Mech. 2015, 95, 260–282. [Google Scholar] [CrossRef]
- Li, S.J.; Brun, M.; Djeran-Maigre, I.; Kuznetsov, S. Hybrid asynchronous absorbing layers based on Kosloff damping for seismic wave propagation in unbounded domains. Comput. Geotech. 2019, 109, 69–81. [Google Scholar] [CrossRef]
- Kuznetsova, M.; Khudyakov, M.; Sadovskii, V. Wave propagation in continuous bimodular media. Mech. Adv. Mater. Struct. 2021, 29, 3147–3162. [Google Scholar] [CrossRef]
- Truesdell, C. General and exact theory of waves in finite elastic strain. Arch. Rat. Mech. Anal. 1961, 8, 263–296. [Google Scholar] [CrossRef]
- Coleman, B.D.; Gurtin, M.E.; Herrera, I. Waves in materials with memory, I. The velocity of one-dimensional shock and acceleration waves. Arch. Rat. Mech. Anal. 1965, 19, 1–19. [Google Scholar] [CrossRef]
- Truesdell, C. On curved shocks in steady plane flow of an ideal fluid. J. Aeronaut. Sci. 1952, 19, 826–834. [Google Scholar] [CrossRef]
- Boulanger, P.; Hayes, M.A. Finite amplitude waves in Mooney–Rivlin and Hadamard materials. In Topics in Finite Elasticity; Hayes, M.A., Soccomandi, G., Eds.; Springer: Vienna, Austria, 2001. [Google Scholar]
- Liu, C.; Cady, C.M.; Lovato, M.L.; Orler, E.B. Uniaxial tension of thin rubber liner sheets and hyperelastic model investigation. J. Mater. Sci. 2015, 50, 1401–1411. [Google Scholar] [CrossRef]
- Goldstein, R.V.; Kuznetsov, S.V. Long-wave asymptotics of Lamb waves. Mech. Solids 2017, 52, 700–707. [Google Scholar] [CrossRef]
- Hashiguchi, K. Nonlinear Continuum Mechanics for Finite Elasticity-Plasticity; Elsevier: New York, NY, USA, 2020. [Google Scholar]
- LeVeque, R.J. Numerical Methods for Conservation Laws; Birkhäuser: Boston, MA, USA, 1992. [Google Scholar]
- Press, W.H.; Teukolsky, S.A.; Vetterling, W.T.; Flannery, B.P. Numerical Recipes: The Art of Scientific Computing, 3rd ed.; Cambridge University Press: New York, NY, USA, 2007. [Google Scholar]
- Djeran-Maigre, I.; Kuznetsov, S.V. Velocities, dispersion, and energy of SH-waves in anisotropic laminated plates. Acoust. Phys. 2014, 60, 200–207. [Google Scholar] [CrossRef]
- Truesdell, C.; Noll, W. The Non-Linear Field Theories of Mechanics, 3rd ed.; Springer: Berlin/Heidelberg, Germany, 2004. [Google Scholar]
- Kuznetsov, S.V. Closed form analytical solution for dispersion of Lamb waves in FG plates. Wave Motion 2019, 84, 1–7. [Google Scholar] [CrossRef]
- Kuznetsov, S.V. Lamb waves in stratified and functionally graded plates: Discrepancy, similarity, and convergence. Waves Random Complex Media 2019, 31, 1540–1549. [Google Scholar] [CrossRef]
- Ilyashenko, A.V.; Kuznetsov, S.V. Pochhammer–Chree waves: Polarization of the axially symmetric modes. Arch. Appl. Mech. 2018, 88, 1385–1394. [Google Scholar] [CrossRef]
- Lion, A. On the large deformation behaviour of reinforced rubber at different temperatures. J. Mech. Phys. Solids 1997, 45, 1805–1834. [Google Scholar] [CrossRef]
- Lax, P.D. Hyperbolic Systems of Conservation Laws and the Mathematical Theory of Shock Waves; SIAM: Philadelphia, PA, USA, 1972. [Google Scholar]
- Belytschko, T.; Liu, W.K.; Moran, B.; Elkhodary, K. Nonlinear Finite Elements for Continua and Structures, 2nd ed.; Wiley: New York, NY, USA, 2013. [Google Scholar]
- Dumbser, M. Arbitrary-Lagrangian–Eulerian ADER-WENO finite volume schemes with time-accurate local time stepping for hyperbolic conservation laws. Comput. Methods Appl. Mech. Eng. 2014, 280, 57–83. [Google Scholar] [CrossRef]
- Neto, M.A.; Amaro, A.; Roseiro, L.; Cirne, J.; Leal, R. Finite Element Method for Trusses. In Engineering Computation of Structures: The Finite Element Method; Springer: Berlin/Heidelberg, Germany, 2015. [Google Scholar]
- Jerrams, S.J.; Bowen, J. Modelling the behaviour of rubber-like materials to obtain correlation with rigidity modulus tests. WIT Trans. Model. Simul. 1995, 12, CMEM950561. [Google Scholar]
- Chen, J.; Garcia, E.S.; Zimmerman, S.C. Intramolecularly cross-linked polymers: From structure to function with applications as artificial antibodies and artificial enzymes. Acc. Chem. Res. 2020, 53, 1244–1256. [Google Scholar] [CrossRef]
- D’Amato, M.; Gigliotti, R.; Laguardia, R. Seismic isolation for protecting historical buildings: A case study. Front. Built Environ. 2019, 5, 87. [Google Scholar] [CrossRef]
- Goldstein, R.V.; Dudchenko, A.V.; Kuznetsov, S.V. The modified Cam-Clay (MCC) model: Cyclic kinematic deviatoric loading. Arch. Appl. Mech. 2016, 86, 2021–2031. [Google Scholar] [CrossRef]
- Carcione, J.M.; Kosloff, D. Representation of matched-layer kernels with viscoelastic mechanical models. Int. J. Numer. Anal. Model. 2013, 10, 221–232. [Google Scholar]
- Li, S.; Brun, M.; Djeran-Maigre, I.; Kuznetsov, S. Benchmark for three-dimensional explicit asynchronous absorbing layers for ground wave propagation and wave barriers. Comput. Geotech. 2021, 131, 103808. [Google Scholar] [CrossRef]
- Kuznetsov, S. Fundamental and singular solutions of Lame equations for media with arbitrary elastic anisotropy. Q. Appl. Math. 2005, 63, 455–467. [Google Scholar] [CrossRef]
- Kuznetsov, S. Seismic waves and seismic barriers. Acoust. Phys. 2011, 57, 420–426. [Google Scholar] [CrossRef]
- Haris, A.; Alevras, P.; Mohammadpour, M.; Mahony, M.O. Design and validation of a nonlinear vibration absorber to attenuate torsional oscillations of propulsion systems. Nonlinear Dyn. 2020, 100, 33–49. [Google Scholar] [CrossRef]
- Safari, S.; Tarinejad, R. Parametric study of stochastic seismic responses of base-isolated liquid storage tanks under near-fault and far-fault ground motions. J. Vib. Control 2018, 24, 5747–5764. [Google Scholar] [CrossRef]
- Carranza, J.C.; Brennan, M.J.; Tang, B. Sources and propagation of nonlinearity in a vibration isolator with geometrically nonlinear damping. J. Vibr. Acoust. 2015, 138, 024501. [Google Scholar] [CrossRef]
- Zhu, Y.P.; Lang, Z.Q. Beneficial effects of antisymmetric nonlinear damping with application to energy harvesting and vibration isolation under general inputs. Nonlinear Dyn. 2022, 108, 2917–2933. [Google Scholar] [CrossRef]
- Harris, C.; Piersol, A. Harris Shock and Vibration Handbook, 5th ed.; McGraw-Hill: New York, NY, USA, 2002. [Google Scholar]
- Kuznetsov, S. Subsonic Lamb waves in anisotropic plates. Q. Appl. Math. 2002, 60, 577–587. [Google Scholar] [CrossRef]
- Carboni, B.; Lacarbonara, W. Nonlinear dynamic characterization of a new hysteretic device: Experiments and computations. Nonlinear Dyn. 2016, 83, 23–39. [Google Scholar] [CrossRef]
- Kuznetsov, S. Surface waves of non-Rayleigh type. Q. Appl. Math. 2003, 61, 575–582. [Google Scholar] [CrossRef]
- Tian, J.H.; Luo, Y.; Zhao, L. Regional stress field in Yunnan revealed by the focal mechanisms of moderate and small earthquakes. Earth Planet. Phys. 2019, 3, 243–252. [Google Scholar] [CrossRef]
- Ben-Menahem, S.; Singh, S.J. Seismic Waves and Sources; Springer: New York, NY, USA, 2011. [Google Scholar]
- Sutton, G.H.; Mitronovas, W.; Pomeroy, P.W. Short-period seismic energy radiation patterns from underground nuclear explosions and small-magnitude earthquakes. Bull. Seismol. Soc. Am. 1967, 57, 249–267. [Google Scholar] [CrossRef]
- Dudchenko, A.V.; Dias, D. Vertical wave barriers for vibration reduction. Arch. Appl. Mech. 2020, 91, 257–276. [Google Scholar] [CrossRef]
- Placinta, A.-O.; Borleanu, F.; Moldovan, I.-A.; Coman, A. Correlation between seismic waves velocity changes and the occurrence of moderate earthquakes at the bending of the Eastern Carpathians (Vrancea). Acoustics 2022, 4, 934–947. [Google Scholar] [CrossRef]
- Petrescu, L.; Borleanu, F.; Radulian, M.; Ismail-Zadeh, A.; Maţenco, L. Tectonic regimes and stress patterns in the Vrancea Seismic Zone: Insights into intermediate-depth earthquake nests in locked collisional settings. Tectonophysics 2021, 799, 228688. [Google Scholar] [CrossRef]





Disclaimer/Publisher’s Note: The statements, opinions and data contained in all publications are solely those of the individual author(s) and contributor(s) and not of MDPI and/or the editor(s). MDPI and/or the editor(s) disclaim responsibility for any injury to people or property resulting from any ideas, methods, instructions or products referred to in the content. |
© 2023 by the authors. Licensee MDPI, Basel, Switzerland. This article is an open access article distributed under the terms and conditions of the Creative Commons Attribution (CC BY) license (https://creativecommons.org/licenses/by/4.0/).
Share and Cite
Karakozova, A.; Kuznetsov, S. Oscillating Nonlinear Acoustic Waves in a Mooney–Rivlin Rod. Appl. Sci. 2023, 13, 10037. https://doi.org/10.3390/app131810037
Karakozova A, Kuznetsov S. Oscillating Nonlinear Acoustic Waves in a Mooney–Rivlin Rod. Applied Sciences. 2023; 13(18):10037. https://doi.org/10.3390/app131810037
Chicago/Turabian StyleKarakozova, Anastasia, and Sergey Kuznetsov. 2023. "Oscillating Nonlinear Acoustic Waves in a Mooney–Rivlin Rod" Applied Sciences 13, no. 18: 10037. https://doi.org/10.3390/app131810037
APA StyleKarakozova, A., & Kuznetsov, S. (2023). Oscillating Nonlinear Acoustic Waves in a Mooney–Rivlin Rod. Applied Sciences, 13(18), 10037. https://doi.org/10.3390/app131810037

