COVID-19 and Changes in the Model of Physical Fitness and Body Composition of Young Tennis Players
Abstract
:1. Introduction
2. Materials and Methods
2.1. Research Design and Participants
2.2. Data Collection
2.3. Statistical Analysis
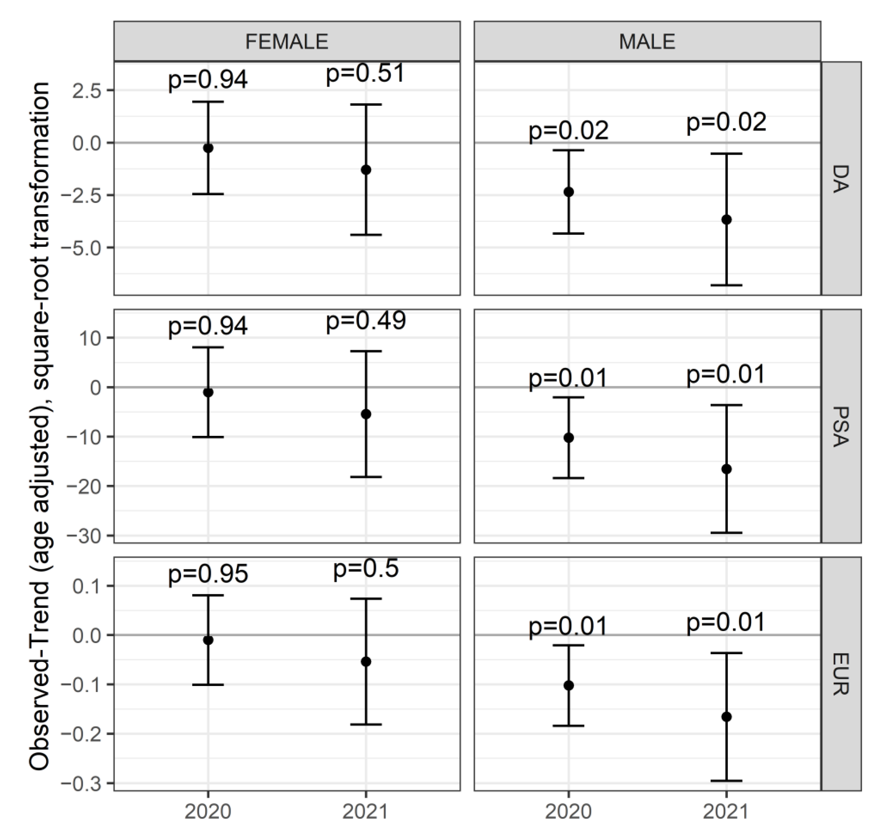
3. Results
4. Discussion
5. Conclusions
Supplementary Materials
Author Contributions
Funding
Institutional Review Board Statement
Informed Consent Statement
Data Availability Statement
Conflicts of Interest
References
- Trabelsi, K.; Ammar, A.; Masmoudi, L.; Boukhris, O.; Chtourou, H.; Bouaziz, B.; Brach, M.; Bentlage, E.; How, D.; Ahmed, M.; et al. Globally Altered Sleep Patterns and Physical Activity Levels by Confinement in 5056 Individuals: ECLB COVID-19 International Online Survey. Biol. Sport 2021, 38, 495–506. [Google Scholar] [CrossRef] [PubMed]
- Wylleman, P. An Organizational Perspective on Applied Sport Psychology in Elite Sport. Psychol. Sport Exerc. 2019, 42, 89–99. [Google Scholar] [CrossRef]
- Andreato, L.V.; Coimbra, D.R.; Andrade, A. Challenges to Athletes during the Home Confinement Caused by the COVID-19 Pandemic. Strength Cond. J. 2020, 42, 1–5. [Google Scholar] [CrossRef]
- Bok, D.; Chamari, K.; Hospital, S.M.; Foster, C. The Pitch Invader-COVID-19 Canceled the Game: What Can Science Do for Us, and What Can the Pandemic Do for Science? Int. J. Sports Physiol. Perform. 2020, 15, 917–919. [Google Scholar] [CrossRef] [PubMed]
- Crespo, M.; Martínez-Gallego, R.; Ramón-Llin, J. Tennis Coaches’ Perceptions of COVID-19 Impact on Their Health and Professional Activity: A Multi-Cultural Approach. Sustainability 2021, 13, 5554. [Google Scholar] [CrossRef]
- Fernandez-Fernandez, J.; Sanz-Rivas, D.; Mendez-Villanueva, A. A Review of the Activity Profile and Physiological Demands of Tennis Match Play. Strength Cond. J. 2009, 31, 15–26. [Google Scholar] [CrossRef]
- Martin, C.; Sorel, A.; Touzard, P.; Bideau, B.; Gaborit, R.; DeGroot, H.; Kulpa, R. Can the Open Stance Forehand Increase the Risk of Hip Injuries in Tennis Players? Orthop. J. Sports Med. 2020, 8, 1–8. [Google Scholar] [CrossRef]
- Abe, T.; Kawamoto, K.; Dankel, S.J.; Bell, Z.W.; Spitz, R.W.; Wong, V.; Loenneke, J.P. Longitudinal Associations between Changes in Body Composition and Changes in Sprint Performance in Elite Female Sprinters. Eur. J. Sport Sci. 2020, 20, 100–105. [Google Scholar] [CrossRef]
- Roelofs, E.J.; Smith-Ryan, A.E.; Trexler, E.T.; Hirsch, K.R. Seasonal Effects on Body Composition, Muscle Characteristics, and Performance of Collegiate Swimmers and Divers. J. Athl. Train. 2017, 52, 45–50. [Google Scholar] [CrossRef]
- Stanforth, P.R.; Crim, B.N.; Stanforth, D.; Stults-Kolehmainen, M.A. Body Composition Changes among Female NCAA Division 1 Athletes across the Competitive Season and over a Multiyear Time Frame. J. Strength Cond. Res. 2014, 28, 300–307. [Google Scholar] [CrossRef]
- Bourgois, J.; Claessens, A.L.; Janssens, M.; van Renterghem, B.; Loos, R.; Thomis, M.; Philippaerts, R.; Lefevre, J.; Vrijens, J. Anthropometric Characteristics of Elite Female Junior Rowers. J. Sports Sci. 2001, 19, 195–202. [Google Scholar] [CrossRef]
- Slater, G.J.; Rice, A.J.; Mujika, I.; Hahn, A.G.; Sharpe, K.; Jenkins, D.G. Physique Traits of Lightweight Rowers and Their Relationship to Competitive Success. Br. J. Sports Med. 2005, 39, 736–741. [Google Scholar] [CrossRef]
- Dommel, A.; Fernandez, J.R.; Sayer, R.D. Body Composition Changes in College Athletes during the COVID-19 Lockdown. Int. J. Sports Exerc. Med. 2022, 8, 220. [Google Scholar] [CrossRef]
- Pillay, L.; Christa, D.C.; Van Rensburg, J.; Jansen, A.; Rensburg, V. Nowhere to Hide: The Significant Impact of Coronavirus Disease 2019 (COVID-19) Measures on Elite and Semi-Elite South African Athletes. J. Sci. Med. Sport 2020, 23, 670–679. [Google Scholar] [CrossRef] [PubMed]
- Yousfi, N.; Bragazzi, N.L.; Briki, W.; Zmijewski, P.; Chamari, K. The COVID-19 Pandemic: How to Maintain a Healthy Immune System during the Lockdown—A Multidisciplinary Approach with Special Focus on Athletes. Biol. Sport 2020, 37, 211–216. [Google Scholar] [CrossRef]
- Washif, J.A.; Sandbakk, Ø.; Seiler, S.; Haugen, T.; Farooq, A.; Quarrie, K.; van Rensburg, D.C.J.; Krug, I.; Verhagen, E.; Wong, D.P.; et al. COVID-19 Lockdown: A Global Study Investigating the Effect of Athletes’ Sport Classification and Sex on Training Practices. Int. J. Sports Physiol. Perform. 2022, 17, 1242–1256. [Google Scholar] [CrossRef]
- Spyrou, K.; Alcaraz, P.E.; Marín-Cascales, E.; Herrero-Carrasco, R.; Cohen, D.D.; Calleja-Gonzalez, J.; Pereira, L.A.; Loturco, I.; Freitas, T.T. Effects of the COVID-19 Lockdown on Neuromuscular Performance and Body Composition in Elite Futsal Players. J. Strength Cond. Res. 2021, 35, 2309–2315. [Google Scholar] [CrossRef]
- Grazioli, R.; Loturco, I.; Baroni, B.M.; Oliveira, G.S.; Saciura, V.; Vanoni, E.; Dias, R.; Veeck, F.; Pinto, R.S.; Cadore, E.L. Coronavirus Disease-19 Quarantine Is More Detrimental than Traditional off-Season on Physical Conditioning of Professional Soccer Players. J. Strength Cond. Res. 2020, 34, 3316–3320. [Google Scholar] [CrossRef] [PubMed]
- Salazar, H.; Svilar, L.; Garcia, L.; González-Lago, L.; Castellano, J. Negative Impact of COVID-19 Home Confinement on Physical Performance of Elite Youth Basketball Players. Sport Perform. Sci. Rep. 2020, 10, 1–3. [Google Scholar]
- Tsoukos, A.; Bogdanis, G.C. The Effects of a Five-Month Lockdown Due to COVID-19 on Physical Fitness Parameters in Adolescent Students: A Comparison between Cohorts. Int. J. Environ. Res. Public Health 2022, 19, 326. [Google Scholar] [CrossRef] [PubMed]
- Cholewinski, M.C.; Buzzard, J.A.; Gordon, Q.; Ross, R.N.; Funderburk, L.K.; Galucci, A. Changes in Body Composition and Activity Levels of a Division-1 Football Team During COVID-19 Original Research. Open Access J. Exerc. Nutr. 2021, 4, 1–5. [Google Scholar]
- Yasuda, J.; Kondo, E.; Takai, E.; Eda, N.; Azuma, Y.; Motonaga, K.; Dohi, M.; Kamei, A. The Effects of the COVID-19 Environments on Changes in Body Composition in Japanese Elite Fencing Athlete. Sports 2021, 9, 95. [Google Scholar] [CrossRef] [PubMed]
- Ghiani, G.; Roberto, S.; Mura, R.; Fois, F.; Scorcu, M.; Crisafulli, A. Body Composition Changes during the Lockdown-Restart Transition Due to the SARS-CoV-2 Pandemic in a Group of Professional Football Players. J. Sports Med. Phys. Fit. 2021, 62, 649–653. [Google Scholar] [CrossRef] [PubMed]
- Fernandez-Fernandez, J.; Ulbricht, A.; Ferrauti, A. Fitness Testing of Tennis Players: How Valuable Is It? Br. J. Sports Med. 2014, 48, i22–i31. [Google Scholar] [CrossRef] [PubMed]
- Peterlin, J.; Kejžar, N.; Blagus, R. Correct Specification of Design Matrices in Linear Mixed Effects Models: Tests with Graphical Representation. Test 2022, 32, 184–210. [Google Scholar] [CrossRef]
- Hothorn, T.; Bretz, F.; Westfall, P. Simultaneous Inference in General Parametric Models. Biom. J. 2008, 50, 346–363. [Google Scholar] [CrossRef]
- Team, R.C. A Language and Environment for Statistical Computing; R Foundation for Statistical Computing: Vienna, Austria, 2020. [Google Scholar]
- Pinheiro, J.; Bates, D.; DebRoy, S.; Sarkar, D.; Team, R.C. Nlme: Linear and Nonlinear Mixed Effects Models; R Package Version 3.1-137; R Foundation for Statistical Computing: Vienna, Austria, 2018. [Google Scholar]
- Ben-Shachar, M.; Lüdecke, D.; Makowski, D. Effectsize: Estimation of Effect Size Indices and Standardized Parameters. J. Open Source Softw. 2020, 5, 2815. [Google Scholar] [CrossRef]
- Da Silva Santos, A.M.; Rossi, F.E.; dos Santos Nunes de Moura, H.P.; de Sousa Junior, A.V.M.; Machado, D.C.D.; Neves, L.M.; Brito, A.S.; Moura, P.; Monteiro, P.A.; Freitas Junior, I.F.; et al. COVID-19 Pandemic Impacts Physical Activity Levels and Sedentary Time but Not Sleep Quality in Young Badminton Athletes. Sport Sci. Health 2021, 17, 969–977. [Google Scholar] [CrossRef]
- Villaseca-Vicuña, R.; Pérez-Contreras, J.; Merino-Muñoz, P.; Aedo-Muñoz, E.; González Jurado, J.A.; Zabaloy, S. Effects of COVID-19 Lockdown on Body Composition and Physical Performance of Elite Female Football Players. Women Sport Phys. Act. J. 2022, 30, 44–52. [Google Scholar] [CrossRef]
- Harris, M.B.; Foltz, S. Attitudes Toward Weight and Eating in Young Women Tennis Players, Their Parents, and Their Coaches. Eat. Disord. 1999, 7, 191–205. [Google Scholar] [CrossRef]
- Obayashi, H.; Ikuta, Y.; Nakashima, N.; Yamamoto, R.; Fujishita, H.; Fukuhara, K.; Sakamitsu, T.; Ushio, K.; Kimura, H.; Adachi, N. Impact of COVID-19-Related Sports Activity Disruptions on the Physical Fitness of Japanese Adolescent Athletes. Adolescents 2022, 2, 140–149. [Google Scholar] [CrossRef]
- Campa, F.; Bongiovanni, T.; Trecroci, A.; Rossi, A.; Greco, G.; Pasta, G.; Coratella, G. Effects of the COVID-19 Lockdown on Body Composition and Bioelectrical Phase Angle in Serie a Soccer Players: A Comparison of Two Consecutive Seasons. Biology 2021, 10, 1175. [Google Scholar] [CrossRef] [PubMed]
- Jurak, G.; Morrison, S.A.; Kovač, M.; Leskošek, B.; Sember, V.; Strel, J.; Starc, G. A COVID-19 Crisis in Child Physical Fitness: Creating a Barometric Tool of Public Health Engagement for the Republic of Slovenia. Front. Public Health 2021, 9, 644235. [Google Scholar] [CrossRef] [PubMed]
- Alvurdu, S.; Baykal, C.; Akyildiz, Z.; Şenel, Ö.; Silva, A.F.; Conte, D.; Clemente, F.M. Impact of Prolonged Absence of Organized Training on Body Composition, Neuromuscular Performance, and Aerobic Capacity: A Study in Youth Male Soccer Players Exposed to COVID-19 Lockdown. Int. J. Environ. Res. Public Health 2022, 19, 1148. [Google Scholar] [CrossRef]
- Tan, E.; Montalvo, S.; Gonzalez, M.; Dietze-Hermosa, M.; Min, S.; Dorgo, S. Changes in Vertical Jump Performance and Body Composition before and after COVID-19 Lockdown. J. Hum. Sport Exerc. 2022, 18, 224–241. [Google Scholar] [CrossRef]
- Pucsok, J.M.; Kovács, M.; Ráthonyi, G.; Pocsai, B.; Balogh, L. The Impact of Covid-19 Lockdown on Agility, Explosive Power, and Speed-Endurance Capacity in Youth Soccer Players. Int. J. Environ. Res. Public Health 2021, 18, 9604. [Google Scholar] [CrossRef]
- Montorsi, M.; Solmi, A.; Vezzoli, A.; De Donato, R.; D’Angelo, G.; Mrakic-Sposta, S. Tennis Home-Training during First Italy Lockdown COVID-19: A Pilot Study in Young Athletes. Int. J. Hum. Mov. Sports Sci. 2021, 9, 1403–1419. [Google Scholar] [CrossRef]
- Mcguigan, M.R.; Doyle, T.L.A.; Newton, M.; Edwards, D.J.; Nimphius, S.; Newton, R.U. Eccentric Utilization Ratio: Effect of Sport and Phase of Training. J. Strength Cond. Res. 2006, 20, 992–995. [Google Scholar] [CrossRef]
- Komi, P.V.; Bosco, C. Utilization of Stored Elastic Energy in Leg Extensor Muscles by Men and Women. Med. Sci. Sport 1978, 10, 261–265. [Google Scholar]
- Bosco, C.; Tihanyi, J.; Komi, P.V.; Fekete, G.; Apor, P. Store and Recoil of Elastic Energy in Slow and Fast Types of Human Skeletal Muscles. Acta Physiol. Scand. 1982, 116, 343–349. [Google Scholar] [CrossRef]
- Paravlic, A.H.; Simunic, B.; Pisot, S.; Kleva, M.; Teraz, K.; Vogrin, M.; Marusic, U.; Pisot, R. Lower-Limb Muscle Contractile Properties, Explosive Power and the Subjective Response of Elite Soccer Players to the Covid-19 Lockdown. Int. J. Environ. Res. Public Health 2022, 19, 474. [Google Scholar] [CrossRef] [PubMed]




Disclaimer/Publisher’s Note: The statements, opinions and data contained in all publications are solely those of the individual author(s) and contributor(s) and not of MDPI and/or the editor(s). MDPI and/or the editor(s) disclaim responsibility for any injury to people or property resulting from any ideas, methods, instructions or products referred to in the content. |
© 2023 by the authors. Licensee MDPI, Basel, Switzerland. This article is an open access article distributed under the terms and conditions of the Creative Commons Attribution (CC BY) license (https://creativecommons.org/licenses/by/4.0/).
Share and Cite
Blagus, R.; Hadzic, V.; Fernandez Garcia, A.I.; Leskosek, B.; Narang, B.J.; Filipcic, A. COVID-19 and Changes in the Model of Physical Fitness and Body Composition of Young Tennis Players. Appl. Sci. 2023, 13, 10015. https://doi.org/10.3390/app131810015
Blagus R, Hadzic V, Fernandez Garcia AI, Leskosek B, Narang BJ, Filipcic A. COVID-19 and Changes in the Model of Physical Fitness and Body Composition of Young Tennis Players. Applied Sciences. 2023; 13(18):10015. https://doi.org/10.3390/app131810015
Chicago/Turabian StyleBlagus, Rok, Vedran Hadzic, Angel Ivan Fernandez Garcia, Bojan Leskosek, Benjamin J. Narang, and Ales Filipcic. 2023. "COVID-19 and Changes in the Model of Physical Fitness and Body Composition of Young Tennis Players" Applied Sciences 13, no. 18: 10015. https://doi.org/10.3390/app131810015
APA StyleBlagus, R., Hadzic, V., Fernandez Garcia, A. I., Leskosek, B., Narang, B. J., & Filipcic, A. (2023). COVID-19 and Changes in the Model of Physical Fitness and Body Composition of Young Tennis Players. Applied Sciences, 13(18), 10015. https://doi.org/10.3390/app131810015

