High-Speed Motion Analysis-Based Machine Learning Models for Prediction and Simulation of Flyrock in Surface Mines
Abstract
:1. Introduction
1.1. Empirical and Statistical Modeling Approach
1.2. Ballistics Analysis Approach
1.3. Artificial Intelligence and Softcomputing Approach
1.4. Significance and Scope of This Study
2. Materials and Methods
2.1. Research Stages
2.2. High-Speed Videography and Motion Analysis
2.3. Machine Learning Regression
2.3.1. Ridge Regression (RR), Lasso Regression (LR), and Elastic Net Regression (ENR)
2.3.2. K-Nearest Neighbors (KNN) Regression
2.3.3. Support Vector Regression (SVR)
2.3.4. Decision Trees Regression (DTR)
2.3.5. Random Forest Regression (RFR)
2.3.6. Extremely Randomized Trees Regression (ERTR)
2.3.7. Adaptive Boosting Regression (ABR)
2.3.8. Extreme Gradient Boosting Regression (XGBR)
2.4. Hyperparamters Tuning
Bayesian Optimization (BO)
3. Field Data Acquisition and Processing
3.1. Site Description and Blasting Practice
3.2. Exploratory Data Analysis
3.3. Evaluation Criteria
4. Development of Predictive Models
4.1. Data Pre-Processing and Exploring Machine Learning Models
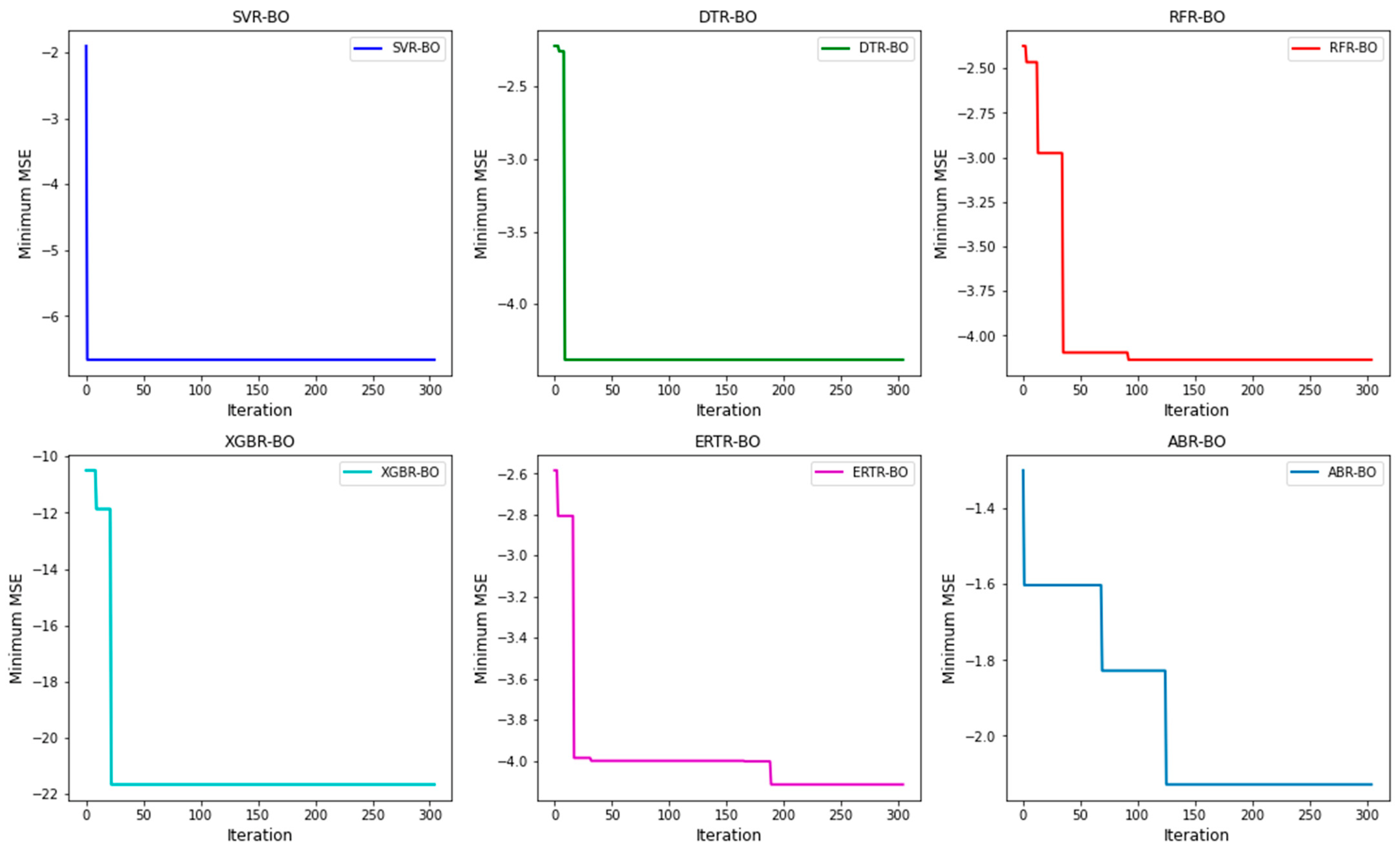
4.2. Model Optimization by Tuning the Hyperparameters
5. Results and Discussion
5.1. Prediction Accuracy of the Developed Regression Models
5.2. Model Interpretation Using SHAP
5.3. Development of a Graphical User Interface (GUI)
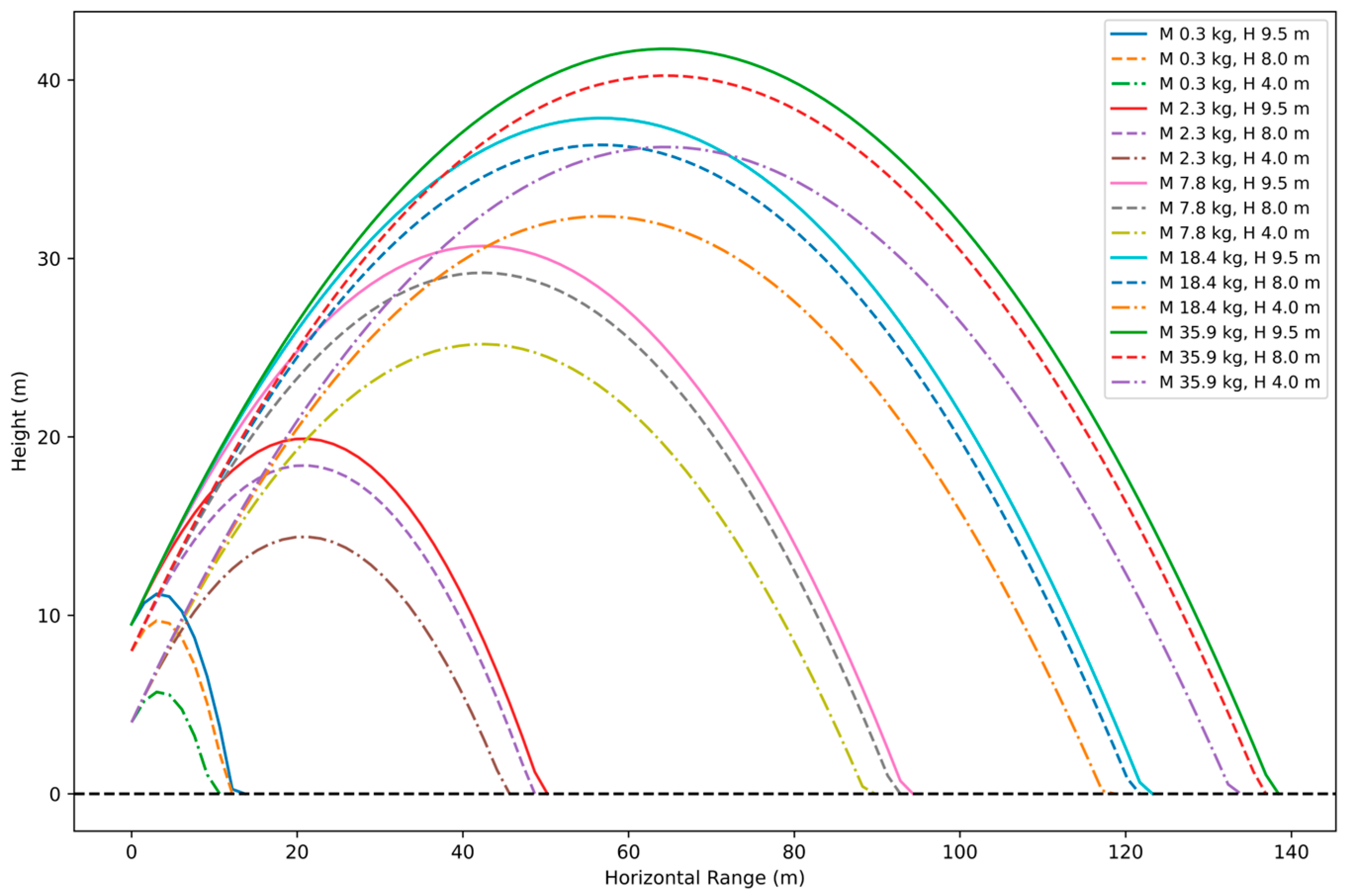
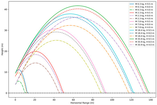
5.4. Simulation of Flyrock Trajectories
6. Conclusions
- Out of the ten Bayesian optimized machine learning regression models, the optimized Extremely Randomized Trees Regression model (ERTR-BO) demonstrated the best predictive accuracy, exhibiting higher R2, IA, and KGE scores and the lowest RMSE, MAE, and MAPE;
 - An in-depth analysis of the achieved accuracies of the white box models unveiled their inability to effectively capture the intricate and complex non-linear dependencies existing between the input features and the target variable. Furthermore, these models displayed evidence of overfitting, as indicated by a substantial disparity between the training and test R2 scores;
 - Each of the ensemble black box models exhibited notably superior predictive capability as compared to the black box single model SVR-BO;
 - Through the application of Bayesian optimization, the R2 score of SVR demonstrated notable enhancement with an increase of 15.04% for the training set and 14.12% for the test set, followed by improvements in the ENR (13.09%-training, 12.20%-testing), LR (3.85%-training, 6.26%-testing), KNN (2.08%-training, 2.76%-testing), and ABR (1.36% training, 1.38%-testing). Certain other black box models performed well with their respective default hyperparameters. Notably, there were no discernable improvements in the RR scores even after hyperparameter tuning;
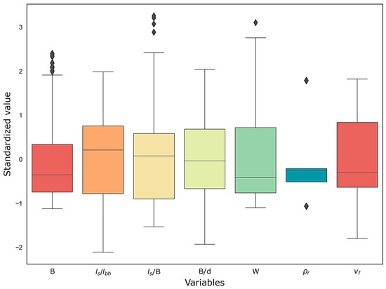
 - The SHAP analysis, undertaken to elucidate the marginal contribution of input features in predicting vf by the ERTR-BO model, unveiled ρr as the most influential feature, followed by W, B, B/d, ls/B, and ls/lbh. The analysis further substantiated the tangible significance and intricate interactions among these features that collectively contributed to the generation of flyrock in bench-blasting operations;
 - In order to improve the practicality of the ERTR-BO model for real-world flyrock prediction, a simple GUI was designed. The interface may allow users to input predictor variables and obtain predicted flyrock velocity. This velocity may then be used for simulating flight paths and estimating the potential range of flyrock events, as demonstrated in Section 5.4.
 
Author Contributions
Funding
Institutional Review Board Statement
Informed Consent Statement
Data Availability Statement
Acknowledgments
Conflicts of Interest
References
- Bhandari, S. Engineering Rock Blasting Operations; Taylor & Francis: Abingdon, UK, 1997; ISBN 9789054106586. [Google Scholar]
 - Adhikari, G.R. Empirical Methods for the Calculation of the Specific Charge for Surface Blast Design. Fragblast 2000, 4, 19–33. [Google Scholar] [CrossRef]
 - Ghasemi, E.; Sari, M.; Ataei, M. Development of an Empirical Model for Predicting the Effects of Controllable Blasting Parameters on Flyrock Distance in Surface Mines. Int. J. Rock Mech. Min. Sci. 2012, 52, 163–170. [Google Scholar] [CrossRef]
 - Agrawal, H.; Mishra, A.K. Probabilistic Analysis on Scattering Effect of Initiation Systems and Concept of Modified Charge per Delay for Prediction of Blast Induced Ground Vibrations. Measurement 2018, 130, 306–317. [Google Scholar] [CrossRef]
 - Kumar, S.; Mishra, A.K.; Choudhary, B.S. Prediction of Back Break in Blasting Using Random Decision Trees. Eng. Comput. 2022, 38, 1185–1191. [Google Scholar] [CrossRef]
 - Armaghani, D.J.; Koopialipoor, M.; Bahri, M.; Hasanipanah, M.; Tahir, M.M. A SVR-GWO Technique to Minimize Flyrock Distance Resulting from Blasting. Bull. Eng. Geol. Environ. 2020, 79, 4369–4385. [Google Scholar] [CrossRef]
 - Raina, A.K.; Murthy, V.M.S.R.; Soni, A.K. Flyrock in Bench Blasting: A Comprehensive Review. Bull. Eng. Geol. Environ. 2014, 73, 1199–1209. [Google Scholar] [CrossRef]
 - Jimeno, E.L.; Jimino, C.L.; Carcedo, A. Drilling and Blasting of Rocks; Taylor & Francis: Abingdon, UK, 1995; ISBN 9789054101994. [Google Scholar]
 - Little, T.N. Flyrock Risk. Australas. Inst. Min. Metall. Publ. Ser. 2007, 35–43. [Google Scholar]
 - Kecojevic, V.; Radomsky, M. Flyrock Phenomena and Area Security in Blasting-Related Accidents. Saf. Sci. 2005, 43, 739–750. [Google Scholar] [CrossRef]
 - Monjezi, M.; Dehghani, H.; Singh, T.N.; Sayadi, A.R. Application of TOPSIS Method for Selecting the Most Appropriate Blast Design. Arab. J. Geosci. 2012, 5, 95–101. [Google Scholar] [CrossRef]
 - Lundborg, N.; Persson, A.; Ladegaard-Pedersen, A.; Holmberg, R. Keeping the Lid on Flyrock in Open-Pit Blasting. Eng. Min. J. 1975, 176, 95–100. [Google Scholar]
 - Jahed Armaghani, D.; Tonnizam Mohamad, E.; Hajihassani, M.; Alavi Nezhad Khalil Abad, S.V.; Marto, A.; Moghaddam, M.R. Evaluation and Prediction of Flyrock Resulting from Blasting Operations Using Empirical and Computational Methods. Eng. Comput. 2016, 32, 109–121. [Google Scholar] [CrossRef]
 - Bajpayee, T.S.; Rehak, T.R.; Mowrey, G.L.; Ingram, D.K. Blasting Injuries in Surface Mining with Emphasis on Flyrock and Blast Area Security. J. Saf. Res. 2004, 35, 47–57. [Google Scholar] [CrossRef] [PubMed]
 - Trivedi, R.; Singh, T.N.; Raina, A.K. Prediction of Blast-Induced Flyrock in Indian Limestone Mines Using Neural Networks. J. Rock Mech. Geotech. Eng. 2014, 6, 447–454. [Google Scholar] [CrossRef]
 - Manoj, K.; Monjezi, M. Prediction of Flyrock in Open Pit Blasting Operation Using Machine Learning Method. Int. J. Min. Sci. Technol. 2013, 23, 313–316. [Google Scholar] [CrossRef]
 - van der Walt, J.; Spiteri, W. A Critical Analysis of Recent Research into the Prediction of Flyrock and Related Issues Resulting from Surface Blasting Activities. J. S. Afr. Inst. Min. Metall. 2020, 120, 701–714. [Google Scholar] [CrossRef]
 - Bagchi, A.; Gupta, R.N. Surface Blasting and Its Impact on Environment. In Proceedings of the Workshop on Environmental Management of Mining Operations, Varanasi, India; 1990; pp. 262–279. [Google Scholar]
 - McKenzie, C.K. Flyrock Range and Fragment Size Prediction. In Proceedings of the 35th Annual Conference on Explosives and Blasting Technique, International Society of Explosives Engineers, Cleveland, OH, USA, 1 February 2009; Volume 2. [Google Scholar]
 - Raina, A.K.; Murthy, V.M.S.R.; Soni, A.K. Estimating Flyrock Distance in Bench Blasting through Blast Induced Pressure Measurements in Rock. Int. J. Rock Mech. Min. Sci. 2015, 76, 209–216. [Google Scholar] [CrossRef]
 - Armaghani, D.J.; Mahdiyar, A.; Hasanipanah, M.; Faradonbeh, R.S.; Khandelwal, M.; Amnieh, H.B. Risk Assessment and Prediction of Flyrock Distance by Combined Multiple Regression Analysis and Monte Carlo Simulation of Quarry Blasting. Rock Mech. Rock Eng. 2016, 49, 3631–3641. [Google Scholar] [CrossRef]
 - Dehghani, H.; Shafaghi, M. Prediction of Blast-Induced Flyrock Using Differential Evolution Algorithm. Eng. Comput. 2017, 33, 149–158. [Google Scholar] [CrossRef]
 - Stojadinović, S.; Pantović, R.; Žikić, M. Prediction of Flyrock Trajectories for Forensic Applications Using Ballistic Flight Equations. Int. J. Rock Mech. Min. Sci. 2011, 48, 1086–1094. [Google Scholar] [CrossRef]
 - Stojadinović, S.; Lilić, N.; Pantović, R.; Žikić, M.; Denić, M.; Čokorilo, V.; Svrkota, I.; Petrović, D. A New Model for Determining Flyrock Drag Coefficient. Int. J. Rock Mech. Min. Sci. 2013, 62, 68–73. [Google Scholar] [CrossRef]
 - Stojadinović, S.; Lilić, N.; Obradović, I.; Pantović, R.; Denić, M. Prediction of Flyrock Launch Velocity Using Artificial Neural Networks. Neural Comput. Appl. 2016, 27, 515–524. [Google Scholar] [CrossRef]
 - Blair, D.P. Probabilistic Analysis of Flyrock from Blasting in Surface Mines and Quarries. Int. J. Rock Mech. Min. Sci. 2022, 159, 105204. [Google Scholar] [CrossRef]
 - Monjezi, M.; Bahrami, A.; Yazdian Varjani, A. Simultaneous Prediction of Fragmentation and Flyrock in Blasting Operation Using Artificial Neural Networks. Int. J. Rock Mech. Min. Sci. 2010, 47, 476–480. [Google Scholar] [CrossRef]
 - Monjezi, M.; Amini Khoshalan, H.; Yazdian Varjani, A. Prediction of Flyrock and Backbreak in Open Pit Blasting Operation: A Neuro-Genetic Approach. Arab. J. Geosci. 2010, 5, 441–448. [Google Scholar] [CrossRef]
 - Ghasemi, E.; Amini, H.; Ataei, M.; Khalokakaei, R. Application of Artificial Intelligence Techniques for Predicting the Flyrock Distance Caused by Blasting Operation. Arab. J. Geosci. 2014, 7, 193–202. [Google Scholar] [CrossRef]
 - Armaghani, D.J.; Hajihassani, M.; Mohamad, E.T.; Marto, A.; Noorani, S.A. Blasting-Induced Flyrock and Ground Vibration Prediction through an Expert Artificial Neural Network Based on Particle Swarm Optimization. Arab. J. Geosci. 2014, 7, 5383–5396. [Google Scholar] [CrossRef]
 - Marto, A.; Hajihassani, M.; Jahed Armaghani, D.; Tonnizam Mohamad, E.; Makhtar, A.M. A Novel Approach for Blast-Induced Flyrock Prediction Based on Imperialist Competitive Algorithm and Artificial Neural Network. Sci. World J. 2014, 2014, 643715. [Google Scholar] [CrossRef]
 - Asl, P.F.; Monjezi, M.; Hamidi, J.K.; Armaghani, D.J. Optimization of Flyrock and Rock Fragmentation in the Tajareh Limestone Mine Using Metaheuristics Method of Firefly Algorithm. Eng. Comput. 2018, 34, 241–251. [Google Scholar] [CrossRef]
 - Trivedi, R.; Singh, T.N.; Gupta, N. Prediction of Blast-Induced Flyrock in Opencast Mines Using ANN and ANFIS. Geotech. Geol. Eng. 2015, 33, 875–891. [Google Scholar] [CrossRef]
 - Faradonbeh, R.S.; Armaghani, D.J.; Monjezi, M.; Mohamad, E.T. Genetic Programming and Gene Expression Programming for Flyrock Assessment due to Mine Blasting. Int. J. Rock Mech. Min. Sci. 2016, 88, 254–264. [Google Scholar] [CrossRef]
 - Guo, H.; Zhou, J.; Koopialipoor, M.; Jahed Armaghani, D.; Tahir, M.M. Deep Neural Network and Whale Optimization Algorithm to Assess Flyrock Induced by Blasting. Eng. Comput. 2021, 37, 173–186. [Google Scholar] [CrossRef]
 - Lu, X.; Hasanipanah, M.; Brindhadevi, K.; Bakhshandeh Amnieh, H.; Khalafi, S. ORELM: A Novel Machine Learning Approach for Prediction of Flyrock in Mine Blasting. Nat. Resour. Res. 2020, 29, 641–654. [Google Scholar] [CrossRef]
 - Bhatawdekar, R.M.; Kumar, R.; Sabri Sabri, M.M.; Roy, B.; Mohamad, E.T.; Kumar, D.; Kwon, S. Estimating Flyrock Distance Induced due to Mine Blasting by Extreme Learning Machine Coupled with an Equilibrium Optimizer. Sustainability 2023, 15, 3265. [Google Scholar] [CrossRef]
 - Yari, M.; Armaghani, D.J.; Maraveas, C.; Ejlali, A.N.; Mohamad, E.T.; Asteris, P.G. Several Tree-Based Solutions for Predicting Flyrock Distance due to Mine Blasting. Appl. Sci. 2023, 13, 1345. [Google Scholar] [CrossRef]
 - Huang, J.; Xue, J. Optimization of SVR Functions for Flyrock Evaluation in Mine Blasting Operations. Environ. Earth Sci. 2022, 81, 434. [Google Scholar] [CrossRef]
 - Hudaverdi, T. Prediction of Flyrock Throw Distance in Quarries by Variable Selection Procedures and ANFIS Modelling Technique. Environ. Earth Sci. 2022, 81, 281. [Google Scholar] [CrossRef]
 - Hosseini, S.; Poormirzaee, R.; Hajihassani, M.; Kalatehjari, R. An ANN-Fuzzy Cognitive Map-Based Z-Number Theory to Predict Flyrock Induced by Blasting in Open-Pit Mines. Rock Mech. Rock Eng. 2022, 55, 4373–4390. [Google Scholar] [CrossRef]
 - Fattahi, H.; Hasanipanah, M. An Integrated Approach of ANFIS-Grasshopper Optimization Algorithm to Approximate Flyrock Distance in Mine Blasting. Eng. Comput. 2022, 38, 2619–2631. [Google Scholar] [CrossRef]
 - Jamei, M.; Hasanipanah, M.; Karbasi, M.; Ahmadianfar, I.; Taherifar, S. Prediction of Flyrock Induced by Mine Blasting Using a Novel Kernel-Based Extreme Learning Machine. J. Rock Mech. Geotech. Eng. 2021, 13, 1438–1451. [Google Scholar] [CrossRef]
 - Murlidhar, B.R.; Nguyen, H.; Rostami, J.; Bui, X.N.; Armaghani, D.J.; Ragam, P.; Mohamad, E.T. Prediction of Flyrock Distance Induced by Mine Blasting Using a Novel Harris Hawks Optimization-Based Multi-Layer Perceptron Neural Network. J. Rock Mech. Geotech. Eng. 2021, 13, 1413–1427. [Google Scholar] [CrossRef]
 - Hasanipanah, M.; Bakhshandeh Amnieh, H. A Fuzzy Rule-Based Approach to Address Uncertainty in Risk Assessment and Prediction of Blast-Induced Flyrock in a Quarry. Nat. Resour. Res. 2020, 29, 669–689. [Google Scholar] [CrossRef]
 - Hasanipanah, M.; Jahed Armaghani, D.; Bakhshandeh Amnieh, H.; Majid, M.Z.A.; Tahir, M.M.D. Application of PSO to Develop a Powerful Equation for Prediction of Flyrock due to Blasting. Neural Comput. Appl. 2017, 28, 1043–1050. [Google Scholar] [CrossRef]
 - Amini, H.; Gholami, R.; Monjezi, M.; Torabi, S.R.; Zadhesh, J. Evaluation of Flyrock Phenomenon due to Blasting Operation by Support Vector Machine. Neural Comput. Appl. 2012, 21, 2077–2085. [Google Scholar] [CrossRef]
 - Rezaei, M.; Monjezi, M.; Yazdian Varjani, A. Development of a Fuzzy Model to Predict Flyrock in Surface Mining. Saf. Sci. 2011, 49, 298–305. [Google Scholar] [CrossRef]
 - Tuttle, F.E. High-Speed Motion Pictures by Multiple-Aperture Focal-Plane Scanners. J. Soc. Motion Pict. Eng. 2012, 53, 451–461. [Google Scholar] [CrossRef]
 - Bhagat, N.K.; Rana, A.; Mishra, A.K.; Singh, M.M.; Singh, A.; Singh, P.K. Prediction of Fly-Rock during Boulder Blasting on Infrastructure Slopes Using CART Technique. Geomat. Nat. Hazards Risk 2021, 12, 1715–1740. [Google Scholar] [CrossRef]
 - Chiappetta, R.F.; Mammele, M.E. Use of High-Speed Motion Picture Photography. In Blast Evaluation and Design; Johnson, H.C., Ed.; SPIE: Bellingham, DC, USA, 1988; p. 319. [Google Scholar]
 - Himanshu, V.K.; Roy, M.P.; Mishra, A.K.; Paswan, R.K.; Panda, D.; Singh, P.K. Multivariate Statistical Analysis Approach for Prediction of Blast-Induced Ground Vibration. Arab. J. Geosci. 2018, 11, 460. [Google Scholar] [CrossRef]
 - Litjens, G.; Kooi, T.; Bejnordi, B.E.; Setio, A.A.A.; Ciompi, F.; Ghafoorian, M.; van der Laak, J.A.W.M.; van Ginneken, B.; Sánchez, C.I. A Survey on Deep Learning in Medical Image Analysis. Med. Image Anal. 2017, 42, 60–88. [Google Scholar] [CrossRef]
 - Akkus, Z.; Galimzianova, A.; Hoogi, A.; Rubin, D.L.; Erickson, B.J. Deep Learning for Brain MRI Segmentation: State of the Art and Future Directions. J. Digit. Imaging 2017, 30, 449–459. [Google Scholar] [CrossRef]
 - Wakjira, T.G.; Rahmzadeh, A.; Alam, M.S.; Tremblay, R. Explainable Machine Learning Based Efficient Prediction Tool for Lateral Cyclic Response of Post-Tensioned Base Rocking Steel Bridge Piers. Structures 2022, 44, 947–964. [Google Scholar] [CrossRef]
 - Wakjira, T.G.; Al-Hamrani, A.; Ebead, U.; Alnahhal, W. Shear Capacity Prediction of FRP-RC Beams Using Single and Ensenble ExPlainable Machine Learning Models. Compos. Struct. 2022, 287, 115381. [Google Scholar] [CrossRef]
 - Wakjira, T.G.; Ibrahim, M.; Ebead, U.; Alam, M.S. Explainable Machine Learning Model and Reliability Analysis for Flexural Capacity Prediction of RC Beams Strengthened in Flexure with FRCM. Eng. Struct. 2022, 255, 113903. [Google Scholar] [CrossRef]
 - Guo, H.; Nguyen, H.; Bui, X.N.; Armaghani, D.J. A New Technique to Predict Fly-Rock in Bench Blasting Based on an Ensemble of Support Vector Regression and GLMNET. Eng. Comput. 2021, 37, 421–435. [Google Scholar] [CrossRef]
 - Burden, F.; Winkler, D. Bayesian Regularization of Neural Networks. Methods Mol. Biol. 2008, 458, 25–44. [Google Scholar] [CrossRef]
 - Yang, L.; Shami, A. On Hyperparameter Optimization of Machine Learning Algorithms: Theory and Practice. Neurocomputing 2020, 415, 295–316. [Google Scholar] [CrossRef]
 - Hastie, T.; Tibshirani, R.; Friedman, J. The Elements of Statistical Learning; Springer Series in Statistics; Springer: New York, NY, USA, 2009; Volume 77, ISBN 978-0-387-84857-0. [Google Scholar]
 - Trabelsi, M.; Massaoudi, M.; Chihi, I.; Sidhom, L.; Refaat, S.S.; Huang, T.; Oueslati, F.S. An Effective Hybrid Symbolic Regression–Deep Multilayer Perceptron Technique for PV Power Forecasting. Energies 2022, 15, 9008. [Google Scholar] [CrossRef]
 - Amiri, M.; Bakhshandeh Amnieh, H.; Hasanipanah, M.; Mohammad Khanli, L. A New Combination of Artificial Neural Network and K-Nearest Neighbors Models to Predict Blast-Induced Ground Vibration and Air-Overpressure. Eng. Comput. 2016, 32, 631–644. [Google Scholar] [CrossRef]
 - Bui, X.N.; Jaroonpattanapong, P.; Nguyen, H.; Tran, Q.H.; Long, N.Q. A Novel Hybrid Model for Predicting Blast-Induced Ground Vibration Based on k-Nearest Neighbors and Particle Swarm Optimization. Sci. Rep. 2019, 9, 13971. [Google Scholar] [CrossRef]
 - Shang, Y.; Nguyen, H.; Bui, X.N.; Tran, Q.H.; Moayedi, H. A Novel Artificial Intelligence Approach to Predict Blast-Induced Ground Vibration in Open-Pit Mines Based on the Firefly Algorithm and Artificial Neural Network. Nat. Resour. Res. 2020, 29, 723–737. [Google Scholar] [CrossRef]
 - Fang, Q.; Nguyen, H.; Bui, X.N.; Nguyen-Thoi, T.; Zhou, J. Modeling of Rock Fragmentation by Firefly Optimization Algorithm and Boosted Generalized Additive Model. Neural Comput. Appl. 2021, 33, 3503–3519. [Google Scholar] [CrossRef]
 - Smola, A.J.; Schölkopf, B. A Tutorial on Support Vector Regression. Stat. Comput. 2004, 14, 199–222. [Google Scholar] [CrossRef]
 - Yu, Z.; Shi, X.; Zhou, J.; Chen, X.; Miao, X.; Teng, B.; Ipangelwa, T. Prediction of Blast-Induced Rock Movement During Bench Blasting: Use of Gray Wolf Optimizer and Support Vector Regression. Nat. Resour. Res. 2020, 29, 843–865. [Google Scholar] [CrossRef]
 - Yang, H.; Nikafshan Rad, H.; Hasanipanah, M.; Bakhshandeh Amnieh, H.; Nekouie, A. Prediction of Vibration Velocity Generated in Mine Blasting Using Support Vector Regression Improved by Optimization Algorithms. Nat. Resour. Res. 2020, 29, 807–830. [Google Scholar] [CrossRef]
 - Nguyen, H.; Bui, X.-N.; Choi, Y.; Lee, C.W.; Armaghani, D.J. A Novel Combination of Whale Optimization Algorithm and Support Vector Machine with Different Kernel Functions for Prediction of Blasting-Induced Fly-Rock in Quarry Mines. Nat. Resour. Res. 2021, 30, 191–207. [Google Scholar] [CrossRef]
 - Huang, J.; Sun, Y.; Zhang, J. Reduction of Computational Error by Optimizing SVR Kernel Coefficients to Simulate Concrete Compressive Strength through the Use of a Human Learning Optimization Algorithm. Eng. Comput. 2021, 38, 3151–3168. [Google Scholar] [CrossRef]
 - Topal, E. Evaluation of a Mining Project Using Discounted Cash Flow Analysis, Decision Tree Analysis, Monte Carlo Simulation and Real Options Using an Example. Int. J. Min. Miner. Eng. 2008, 1, 62–76. [Google Scholar] [CrossRef]
 - Ye, J.; Koopialipoor, M.; Zhou, J.; Armaghani, D.J.; He, X. A Novel Combination of Tree-Based Modeling and Monte Carlo Simulation for Assessing Risk Levels of Flyrock Induced by Mine Blasting. Nat. Resour. Res. 2021, 30, 225–243. [Google Scholar] [CrossRef]
 - Duan, J.; Asteris, P.G.; Nguyen, H.; Bui, X.N.; Moayedi, H. A Novel Artificial Intelligence Technique to Predict Compressive Strength of Recycled Aggregate Concrete Using ICA-XGBoost Model. Eng. Comput. 2021, 37, 3329–3346. [Google Scholar] [CrossRef]
 - Zhang, X.; Nguyen, H.; Bui, X.-N.; Tran, Q.-H.; Nguyen, D.-A.; Bui, D.T.; Moayedi, H. Novel Soft Computing Model for Predicting Blast-Induced Ground Vibration in Open-Pit Mines Based on Particle Swarm Optimization and XGBoost. Nat. Resour. Res. 2020, 29, 711–721. [Google Scholar] [CrossRef]
 - Yu, Z.; Shi, X.; Qiu, X.; Zhou, J.; Chen, X.; Gou, Y. Optimization of Postblast Ore Boundary Determination Using a Novel Sine Cosine Algorithm-Based Random Forest Technique and Monte Carlo Simulation. Eng. Optim. 2021, 53, 1467–1482. [Google Scholar] [CrossRef]
 - Nguyen, H.; Bui, X.N. Predicting Blast-Induced Air Overpressure: A Robust Artificial Intelligence System Based on Artificial Neural Networks and Random Forest. Nat. Resour. Res. 2019, 28, 893–907. [Google Scholar] [CrossRef]
 - Breiman, L. Random Forests. Mach. Learn. 2001, 5, 45. [Google Scholar] [CrossRef]
 - Dai, Y.; Khandelwal, M.; Qiu, Y.; Zhou, J.; Monjezi, M.; Yang, P. A Hybrid Metaheuristic Approach Using Random Forest and Particle Swarm Optimization to Study and Evaluate Backbreak in Open-Pit Blasting. Neural Comput. Appl. 2022, 34, 6273–6288. [Google Scholar] [CrossRef]
 - Zhou, J.; Dai, Y.; Khandelwal, M.; Monjezi, M.; Yu, Z.; Qiu, Y. Performance of Hybrid SCA-RF and HHO-RF Models for Predicting Backbreak in Open-Pit Mine Blasting Operations. Nat. Resour. Res. 2021, 30, 4753–4771. [Google Scholar] [CrossRef]
 - Han, H.; Jahed Armaghani, D.; Tarinejad, R.; Zhou, J.; Tahir, M.M. Random Forest and Bayesian Network Techniques for Probabilistic Prediction of Flyrock Induced by Blasting in Quarry Sites. Nat. Resour. Res. 2020, 29, 655–667. [Google Scholar] [CrossRef]
 - Geurts, P.; Ernst, D.; Wehenkel, L. Extremely Randomized Trees. Mach. Learn. 2006, 63, 3–42. [Google Scholar] [CrossRef]
 - Galelli, S.; Castelletti, A. Assessing the Predictive Capability of Randomized Tree-Based Ensembles in Streamflow Modelling. Hydrol. Earth Syst. Sci. 2013, 17, 2669–2684. [Google Scholar] [CrossRef]
 - Czarnecki, W.M.; Podlewska, S.; Bojarski, A.J. Extremely Randomized Machine Learning Methods for Compound Activity Prediction. Molecules 2015, 20, 20107–20117. [Google Scholar] [CrossRef]
 - Freund, Y.; Schapire, R.E. A Decision-Theoretic Generalization of On-Line Learning and an Application to Boosting. J. Comput. Syst. Sci. 1997, 55, 119–139. [Google Scholar] [CrossRef]
 - Shafqat, W.; Malik, S.; Lee, K.T.; Kim, D.H. Pso Based Optimized Ensemble Learning and Feature Selection Approach for Efficient Energy Forecast. Electronics 2021, 10, 2188. [Google Scholar] [CrossRef]
 - Chen, T.; Guestrin, C. XGBoost. In Proceedings of the 22nd ACM SIGKDD International Conference on Knowledge Discovery and Data Mining, San Francisco, CA, USA, 13–17 August 2016; ACM: New York, NY, USA, 2016; pp. 785–794. [Google Scholar]
 - Yang, H.; Hasanipanah, M.; Tahir, M.M.; Bui, D.T. Intelligent Prediction of Blasting-Induced Ground Vibration Using ANFIS Optimized by GA and PSO. Nat. Resour. Res. 2020, 29, 739–750. [Google Scholar] [CrossRef]
 - Elshawi, R.; Maher, M.; Sakr, S. Automated Machine Learning: State-of-The-Art and Open Challenges. arXiv 2019, arXiv:1906.02287. [Google Scholar]
 - Hoffer, J.G.; Geiger, B.C.; Kern, R. Gaussian Process Surrogates for Modeling Uncertainties in a Use Case of Forging Superalloys. Appl. Sci. 2022, 12, 1089. [Google Scholar] [CrossRef]
 - Snoek, J.; Larochelle, H.; Adams, R.P. Practical Bayesian Optimization of Machine Learning Algorithms. Adv. Neural Inf. Process. Syst. 2012, 4, 2951–2959. [Google Scholar]
 - Ulusay, R.; Hudson, J.A. The Complete ISRM Suggested Methods for Rock Characterization, Testing and Monitoring; 1974–2006; International Society of Rock Mechanics: Ankara, Turkey, 2007; ISBN 978-975-93675-4-1. [Google Scholar]
 - Willmott, C.J. On The Validation of Models. Phys. Geogr. 1981, 2, 184–194. [Google Scholar] [CrossRef]
 - Gupta, H.V.; Kling, H.; Yilmaz, K.K.; Martinez, G.F. Decomposition of the Mean Squared Error and NSE Performance Criteria: Implications for Improving Hydrological Modelling. J. Hydrol. 2009, 377, 80–91. [Google Scholar] [CrossRef]
 - Kling, H.; Fuchs, M.; Paulin, M. Runoff Conditions in the Upper Danube Basin under an Ensemble of Climate Change Scenarios. J. Hydrol. 2012, 424–425, 264–277. [Google Scholar] [CrossRef]
 - Nogueira, F. Bayesian Optimization: Open Source Constrained Global Optimization Tool for Python 2014. Available online: https://www.google.com.hk/url?sa=t&rct=j&q=&esrc=s&source=web&cd=&cad=rja&uact=8&ved=2ahUKEwi3xq-H2YWBAxUMt1YBHWMKA2wQFnoECA8QAQ&url=https%3A%2F%2Fbibbase.org%2Fnetwork%2Fpublication%2Fnogueira-bayesianoptimizationopensourceconstrainedglobaloptimizationtoolforpython-2014&usg=AOvVaw1o2GcXeqSZf7T2g8_OErtR&opi=89978449 (accessed on 15 March 2023).
 - Pedregosa, F.; Varoquaux, G.; Gramfort, A.; Michel, V.; Thirion, B.; Grisel, O.; Blondel, M.; Prettenhofer, P.; Weiss, R.; Dubourg, V.; et al. Scikit-Learn: Machine Learning in Python. J. Mach. Learn. Res. 2011, 12, 2825–2830. [Google Scholar]
 - Wakjira, T.G.; Abushanab, A.; Ebead, U.; Alnahhal, W. FAI: Fast, Accurate, and Intelligent Approach and Prediction Tool for Flexural Capacity of FRP-RC Beams Based on Super-Learner Machine Learning Model. Mater. Today Commun. 2022, 33, 104461. [Google Scholar] [CrossRef]
 - Wakjira, T.G.; Alam, M.S.; Ebead, U. Plastic Hinge Length of Rectangular RC Columns Using Ensemble Machine Learning Model. Eng. Struct. 2021, 244, 112808. [Google Scholar] [CrossRef]
 - Tan, S.; Hooker, G.; Koch, P.; Gordo, A.; Caruana, R. Considerations When Learning Additive Explanations for Black-Box Models. Mach. Learn. 2023, 112, 3333–3359. [Google Scholar] [CrossRef]
 - Lundberg, S.M.; Erion, G.; Chen, H.; DeGrave, A.; Prutkin, J.M.; Nair, B.; Katz, R.; Himmelfarb, J.; Bansal, N.; Lee, S.-I. From Local Explanations to Global Understanding with Explainable AI for Trees. Nat. Mach. Intell. 2020, 2, 56–67. [Google Scholar] [CrossRef] [PubMed]
 - Lundberg, S.M.; Nair, B.; Vavilala, M.S.; Horibe, M.; Eisses, M.J.; Adams, T.; Liston, D.E.; Low, D.K.-W.; Newman, S.-F.; Kim, J.; et al. Explainable Machine-Learning Predictions for the Prevention of Hypoxaemia during Surgery. Nat. Biomed. Eng. 2018, 2, 749–760. [Google Scholar] [CrossRef] [PubMed]
 - Vishart, J.L.; Castillo-León, J.; Svendsen, W.E. PyEIA: A Python-Based Framework for Data Analysis of Electrochemical Methods for Immunoassays. SoftwareX 2021, 15, 100720. [Google Scholar] [CrossRef]
 


















| Reference | Algorithm | Input/Predictors | Target Variable | Location/Region of the Sites Studied | R2 for the Testing Dataset | Number of Datasets | 
|---|---|---|---|---|---|---|
| Bhatawdekar et al. 2023 [37] | EO-ELM | q, ls, B, d, ρr, qlc, WI, BI | FD | Limestone mines, Thailand | 0.99 | 114 | 
| Yari et al. 2023 [38] | AdaBoost | q, B, S, lbh, Dsp | FD | Sungun Copper Mine, Iran | 0.98 | 234 | 
| Huang and Xue 2022 [39] | HLO-SVR | q, ls, lbh, MCPD, d, B/S | FD | Aggregate Quarry, Johor, Malaysia | 0.93 | 240 | 
| Hudaverdi 2022 [40] | ANFIS | q, B, MCPD, B/S, ls/B, Hb/B, B/d, J/B, Nh, Nr, IBSD, AMF | FD | Aggregate Quarry, Istanbul | 0.96 | 77 | 
| Hosseini et al. 2022 [41] | ANN-FCM-Z | q, ls, B, S, MCPD | FD | Anguran Lead-Zinc Mine, Iran | 0.99 | 416 | 
| Fattahi and Hasanipanah 2022 [42] | ANFIS-GOA | q, ls, B, S, ρr | FD | Aggregate Quarry, Johor, Malaysia | 0.97 | 80 | 
| Jamei et al. 2021 [43] | KELM | q, ls, B, S | FD | Granite Quarry, Malaysia | 0.94 | 73 | 
| Murlidhar et al. 2021 [44] | HHO-MLP | q, lbh, d, ls/B, qlc, GSI, WI, RQD | FD | Aggregate Quarry, Johor, Malaysia | 0.99 | 152 | 
| Guo et al. 2021 [35] | DNN-WOA | q, ls, B, S, lbh, MCPD | FD | Ulu Tiram agrregate quarry, Malaysia | 0.97 | 192 | 
| Hasanipanah and Bakhshandeh Amnieh 2020 [45] | FRES | q, ls, B, S, lbh, MCPD, d, RMR, Hb | FD | Ulu Tiram agrregate quarry, Malaysia | 0.96 | 62 | 
| Lu et al. 2020 [36] | ORELM | q, ls, B, S, ρr | FD | Granite Quarry, Johor, Malaysia | 0.95 | 82 | 
| Asl et al. 2018 [32] | FA-ANN | q, ls, B, S, lbh, MCPD, J, GSI | FD | Tajareh Limestone mine, Iran | 0.93 | 200 | 
| Hasanipanah et al. 2017 [46] | MLR-PSO | q, ls, B, S, ρr | FD | Ulu Tiram, Pengerang, Masai aggregate quarries, Malaysia | 0.96 | 76 | 
| Faradonbeh et al. 2016 [34] | GEP | q, ls, lbh, MCPD, d, B/S | FD | Aggregate Quarry, Johor, Malaysia | 0.98 | 262 | 
| Armaghani et al. 2014 [30] | PSO-ANN | q, ls, B, S, lbh, MCPD, d, ρr, J | FD | Granite Quarry, Malaysia | 0.93 | 44 | 
| Marto et al. 2014 [31] | ANN-ICA | q, ls, lbh, MCPD, ρr, B/S, SCHM | FD | Putri Wangsa Aggregate Quarry, Johor, Malaysia | 0.98 | 113 | 
| Amini et al. 2012 [47] | SVM | q, ls, B, S, lbh, d, Dsp | FD | Sungun Copper Mine, Iran | 0.94 | 245 | 
| Rezaei et al. 2011 [48] | FM | q, ls, B, S, lbh, MCPD, ρr, Dsp | FD | Gol-E-Gohar Iron ore mine, Iran | 0.98 | 490 | 
| Monjezi et al. 2010 [28] | ANN-GA | q, ls, B, S, lbh, MCPD, d, Dsp, RMR | FD | Sungun Copper Mine, Iran | 0.95 | 195 | 
| Mines | A | B | C | D | E | |||
|---|---|---|---|---|---|---|---|---|
| Rock Mass Type | Barakar Formation Overburden Rock | Barakar Formation Overburden Rock | Lower Gondwana Barakar Formation Overburden Rock | Massive Iron Ore | Compact Laminated Iron Ore | Limestone | ||
| Rock Mass  Properties  | Unit | Symbol | Values | |||||
| Bulk density | (g/cc) | ρr | 2.65 | 2.43 | 1.96 | 4.46 | 4.32 | 2.69 | 
| Uniaxial Compressive Strength | (MPa) | σc | 65.80 | 43.50 | 39.70 | 152.29 | 202.85 | 116.23 | 
| Tensile Strength | (MPa) | σt | 7.25 | 3.93 | 3.41 | 23.07 | 17.09 | 10.89 | 
| Young’s modulus | (GPa) | Es | 12.356 | 8.237 | 6.276 | 33.980 | 30.200 | 37.000 | 
| Poisson’s ratio | - | νs | 0.12 | 0.15 | 0.15 | 0.33 | 0.34 | 0.18 | 
| P-wave velocity | (m/s) | cp | 2900 | 2730 | 2106 | 4786 | 4659 | 4256 | 
| S-wave velocity | (m/s) | cs | 1910 | 1750 | 1630 | 2573 | 2420 | 2887 | 
| Variable | Unit | N | Mean | SE Mean | St. Dev | Min. | Q1 | Median | Q3 | Max. | IQR | 
|---|---|---|---|---|---|---|---|---|---|---|---|
| B | m | 231 | 5.61 | 0.17 | 2.59 | 2.66 | 3.66 | 4.70 | 6.56 | 11.95 | 2.90 | 
| ls/lbh | - | 231 | 0.44 | 0.00 | 0.07 | 0.28 | 0.38 | 0.45 | 0.49 | 0.58 | 0.11 | 
| ls/B | - | 231 | 0.96 | 0.01 | 0.22 | 0.62 | 0.77 | 0.98 | 1.08 | 1.66 | 0.31 | 
| B/d | - | 231 | 30.64 | 0.49 | 7.41 | 16.22 | 25.58 | 30.16 | 35.98 | 45.87 | 10.40 | 
| W | kcal/m3 | 231 | 672.30 | 23.40 | 355.90 | 281.20 | 398.90 | 523.80 | 929.00 | 1778.80 | 530.00 | 
| ρr | g/cm3 | 231 | 2.87 | 0.06 | 0.85 | 1.96 | 2.43 | 2.65 | 2.69 | 4.39 | 0.26 | 
| vf | m/s | 231 | 24.04 | 0.50 | 7.63 | 10.41 | 19.02 | 21.72 | 30.65 | 37.89 | 11.63 | 
| R2 | RMSE | MAE | ||||
|---|---|---|---|---|---|---|
| Kernel | Training | Validation | Training | Validation | Training | Validation | 
| linear | 0.811 | 0.790 | 3.281 | 3.290 | 2.153 | 10.538 | 
| poly | 0.793 | 0.744 | 3.437 | 3.723 | 2.659 | 13.174 | 
| rbf | 0.855 | 0.828 | 2.873 | 3.029 | 1.970 | 10.586 | 
| sigmoid | 0.708 | 0.694 | 4.082 | 4.078 | 3.094 | 14.300 | 
| S No. | Model | R2 | RMSE | MAE | MAPE | IA | KGE | ||||||
|---|---|---|---|---|---|---|---|---|---|---|---|---|---|
| Train | Test | Train | Test | Train | Test | Train | Test | Train | Test | Train | Test | ||
| 1 | RR | 0.808 | 0.842 | 3.188 | 3.124 | 2.380 | 2.273 | 11.869 | 11.076 | 0.946 | 0.955 | 0.861 | 0.869 | 
| 2 | LR | 0.779 | 0.790 | 3.458 | 3.598 | 2.751 | 2.800 | 13.829 | 14.133 | 0.926 | 0.929 | 0.738 | 0.736 | 
| 3 | ENR | 0.715 | 0.748 | 3.945 | 3.940 | 3.556 | 3.493 | 16.853 | 16.722 | 0.891 | 0.902 | 0.621 | 0.620 | 
| 4 | KNN | 0.856 | 0.876 | 2.682 | 2.761 | 1.635 | 1.580 | 7.416 | 7.110 | 0.963 | 0.968 | 0.918 | 0.932 | 
| 5 | SVR | 0.828 | 0.798 | 3.029 | 3.528 | 2.168 | 2.315 | 10.586 | 10.960 | 0.947 | 0.940 | 0.809 | 0.818 | 
| 6 | DTR | 0.945 | 0.968 | 1.693 | 1.404 | 0.995 | 0.729 | 4.325 | 2.971 | 0.986 | 0.992 | 0.969 | 0.974 | 
| 7 | RFR | 0.974 | 0.979 | 1.153 | 1.143 | 0.754 | 0.710 | 3.314 | 3.042 | 0.993 | 0.995 | 0.972 | 0.975 | 
| 8 | ERTR | 0.987 | 0.987 | 0.808 | 0.903 | 0.532 | 0.539 | 2.262 | 2.223 | 0.997 | 0.997 | 0.980 | 0.983 | 
| 9 | ABR | 0.960 | 0.957 | 1.464 | 1.630 | 1.131 | 1.216 | 5.387 | 6.009 | 0.989 | 0.988 | 0.949 | 0.918 | 
| 10 | XGBR | 0.981 | 0.979 | 1.015 | 1.151 | 0.741 | 0.708 | 3.317 | 2.889 | 0.995 | 0.995 | 0.977 | 0.979 | 
| Hyperparameters | Search Space | Model (Optimal Value) | Description | 
|---|---|---|---|
| “n_estimators” | (10, 1000) | RFR (335), ERTR (334), ABR (551) | The total count of decision trees in the random forest. | 
| “max_depth” | (1, 50) | RFR (26), XGBR (34), DTR (16), ERTR (47) | The maximum depth up to which each decision tree can grow during the training process. | 
| “min_samples_split” | (2, 20) | DTR (3), RFR (2), ERTR (2) | The minimum number of samples required to split an internal node. | 
| “min_samples_leaf” | (1, 20) | DTR (2), RFR (1), ERTR (1) | The minimum number of samples required to be at a leaf node. | 
| “learning_rate” | (0.01, 0.3) | XGBR (0.3), ABR (0.4292) | Parameter which controls the step size at each iteration when updating the weights of the model. | 
| “min_child_weight” | (1, 20) | XGBR (7) | The minimum sum of weight of instances (hessian) required in a child node. | 
| “subsample” | (0.1, 1) | XGBR (1.0) | The part of samples used for training each tree. | 
| “colsample_bytree” | (0.1, 1) | XGBR (1.0) | The part of features (columns) used for training each tree. | 
| “gamma” | (0, 10) | XGBR (0.0) | Parameter which regulates the minimum reduction in the loss function essential to split a node during the construction of a tree. | 
| “reg_alpha” | (0, 10) | XGBR (0.95065) | L1 regularization term on the weights. | 
| “reg_lambda” | (0, 10) | XGBR (10.0) | L2 regularization term on the weights. | 
| “C” | (0.1, 100) | SVR (100) | Parameter defining the penalty for misclassified data points. | 
| gamma | (0.0001, 10) | SVR (0.0271) | Parameter that characterizes the reciprocal of the range within which the model selects samples as support vectors. | 
| epsilon | (0.01, 1) | SVR (0.01) | The epsilon-insensitive loss function of the Support Vector Regression (SVR) algorithm. | 
| “L1 ratio” | (0, 1) | ENR (1) | L1 ratio (mixing parameter). | 
| “max_iter” | [100, 200, 500] | ENR (500) | Maximum number of iterations. | 
| “n_neighbors” | (1, 20) | KNN (3) | Number of neighbors. | 
| “weights” | [‘uniform’, ‘distance’] | KNN (‘distance’) | Weight function used in prediction. | 
| “p” | [1, 2] | KNN (1) | Power parameter for the Minkowski metric. | 
| “fit_intercept” | [‘True’, ‘False’] | RR (‘True’), LR (‘True’), ENR (‘True’) | Controls whether to calculate intercept for the model or not. | 
| “alpha” | (1 × 10−6, 1 × 106, ‘log-uniform’) | RR (0.71913), LR (0.03341), ENR (0.03352) | Regularization strength. | 
| “solver” | [‘auto’, ‘svd’, ‘cholesky’, ‘lsqr’, ‘sparse_cg’, ‘sag’, ‘saga’] | RR (‘auto’) | Solver for optimization. | 
| R2 | RMSE | MAE | MAPE | IA | KGE | ||||||||
|---|---|---|---|---|---|---|---|---|---|---|---|---|---|
| S No. | Model | Train | Test | Train | Test | Train | Test | Train | Test | Train | Test | Train | Test | 
| 1 | RR-BO | 0.808 | 0.842 | 3.188 | 3.125 | 2.379 | 2.273 | 11.864 | 11.078 | 0.874 | 0.955 | 0.862 | 0.870 | 
| 2 | LR-BO | 0.809 | 0.840 | 3.185 | 3.145 | 2.383 | 2.294 | 11.877 | 11.212 | 0.872 | 0.954 | 0.860 | 0.867 | 
| 3 | ENR-BO | 0.809 | 0.840 | 3.185 | 3.145 | 2.383 | 2.294 | 11.877 | 11.212 | 0.872 | 0.954 | 0.860 | 0.867 | 
| 4 | KNN-BO | 0.874 | 0.901 | 2.543 | 2.476 | 1.528 | 1.536 | 6.947 | 7.024 | 1.000 | 0.974 | 0.929 | 0.944 | 
| 5 | SVR-BO | 0.952 | 0.911 | 1.568 | 2.345 | 1.006 | 1.344 | 4.326 | 5.565 | 0.978 | 0.977 | 0.965 | 0.944 | 
| 6 | DTR-BO | 0.962 | 0.963 | 1.426 | 1.518 | 0.894 | 0.845 | 3.881 | 3.434 | 0.998 | 0.991 | 0.977 | 0.975 | 
| 7 | RFR-BO | 0.975 | 0.978 | 1.135 | 1.177 | 0.755 | 0.732 | 3.308 | 3.127 | 0.989 | 0.994 | 0.971 | 0.975 | 
| 8 | ERTR-BO | 0.988 | 0.988 | 0.780 | 0.866 | 0.518 | 0.517 | 2.214 | 2.126 | 0.999 | 0.997 | 0.982 | 0.984 | 
| 9 | ABR-BO | 0.973 | 0.970 | 1.198 | 1.357 | 0.963 | 1.091 | 4.707 | 5.419 | 0.960 | 0.992 | 0.953 | 0.949 | 
| 10 | XGBR-BO | 0.978 | 0.980 | 1.066 | 1.113 | 0.779 | 0.761 | 3.543 | 3.311 | 0.997 | 0.995 | 0.978 | 0.982 | 
| Mine | ρr (g/cc)  | Upper Limit of the CI0.95 of Predicted vf (m/s) | Launch Locations Marked at Three Different Point Measuring Heights (in m) Upwards from the Toe | Mass of Flying Fragments Considered for the Simulation Experiment (in kg) | ||||||
|---|---|---|---|---|---|---|---|---|---|---|
| Location I | Location II | Location III | I | II | III | IV | V | |||
| D | 4.39 | 38.42 | 9.00 | 7.50 | 3.75 | 0.29 | 2.30 | 7.76 | 18.39 | 35.91 | 
Disclaimer/Publisher’s Note: The statements, opinions and data contained in all publications are solely those of the individual author(s) and contributor(s) and not of MDPI and/or the editor(s). MDPI and/or the editor(s) disclaim responsibility for any injury to people or property resulting from any ideas, methods, instructions or products referred to in the content.  | 
© 2023 by the authors. Licensee MDPI, Basel, Switzerland. This article is an open access article distributed under the terms and conditions of the Creative Commons Attribution (CC BY) license (https://creativecommons.org/licenses/by/4.0/).
Share and Cite
Mishra, R.; Mishra, A.K.; Choudhary, B.S. High-Speed Motion Analysis-Based Machine Learning Models for Prediction and Simulation of Flyrock in Surface Mines. Appl. Sci. 2023, 13, 9906. https://doi.org/10.3390/app13179906
Mishra R, Mishra AK, Choudhary BS. High-Speed Motion Analysis-Based Machine Learning Models for Prediction and Simulation of Flyrock in Surface Mines. Applied Sciences. 2023; 13(17):9906. https://doi.org/10.3390/app13179906
Chicago/Turabian StyleMishra, Romil, Arvind Kumar Mishra, and Bhanwar Singh Choudhary. 2023. "High-Speed Motion Analysis-Based Machine Learning Models for Prediction and Simulation of Flyrock in Surface Mines" Applied Sciences 13, no. 17: 9906. https://doi.org/10.3390/app13179906
APA StyleMishra, R., Mishra, A. K., & Choudhary, B. S. (2023). High-Speed Motion Analysis-Based Machine Learning Models for Prediction and Simulation of Flyrock in Surface Mines. Applied Sciences, 13(17), 9906. https://doi.org/10.3390/app13179906
        
