Research on Constitutive Model and Algorithm of High-Temperature-Load Coupling Damage Based on the Zienkiewicz–Pande Yield Criterion
Abstract
:1. Introduction
2. Z–P Yield Criterion
3. Determination of Coupling Damage Variable
3.1. Mesoscopic Representation of High Temperature Damage Variable
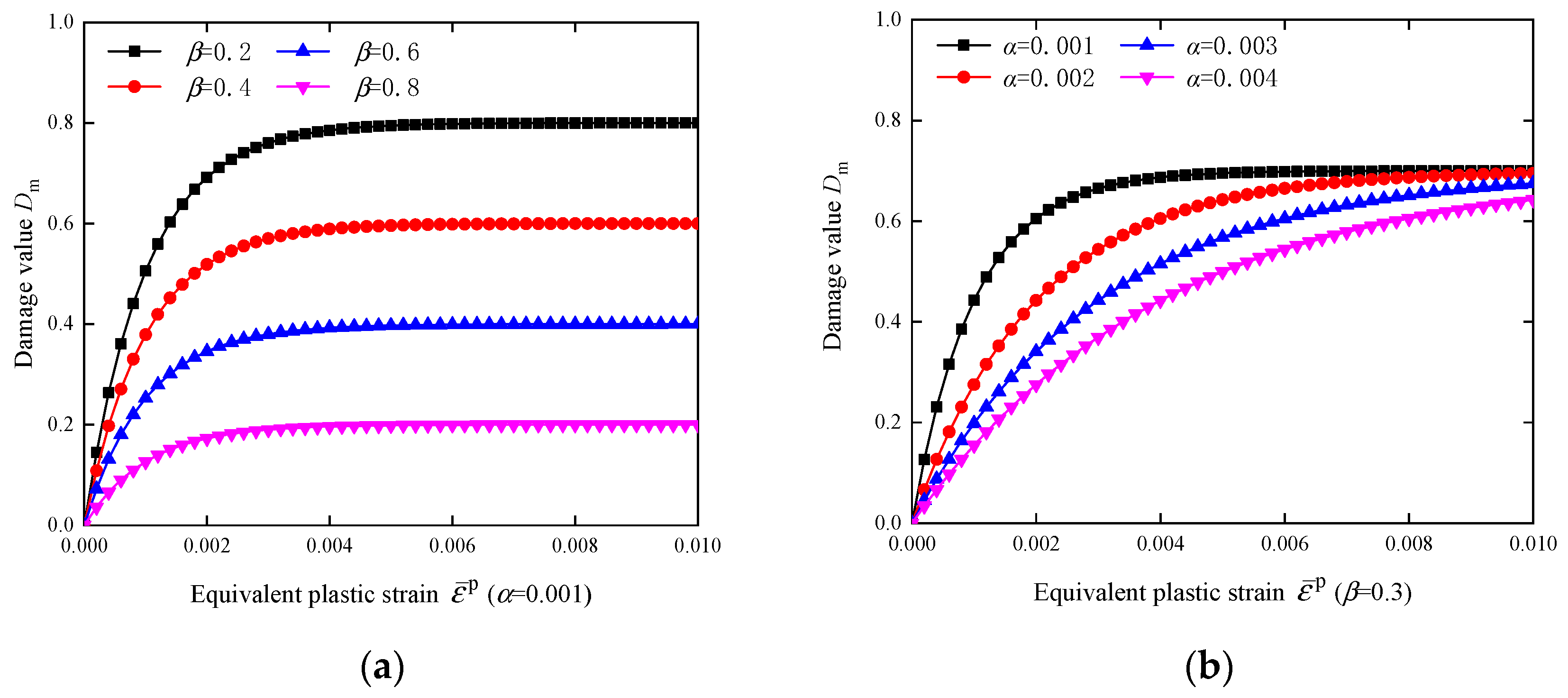
3.2. Load Damage Variable
3.3. High-Temperature-Load Coupled Damage Variable
4. Elastoplastic Damage Constitutive Model Considering High-Temperature Damage
4.1. Incremental Iterative Algorithm for Z–P Damage Constitutive Model
4.2. Z–P Secondary Development Process of Damage Constitutive Model
5. Model Verification
5.1. Program Correctness Verification
5.2. Example Verification
6. Conclusions
- Based on the Zienkiewicz–Pande yield criterion, by introducing the damage variable Dc coupled with high-temperature and mechanical load, and according to the incremental numerical algorithm in Flac3D, the detailed derivation of the augmented elastic–plastic constitutive model for high-temperature-load coupled damage was presented. The quantitative iterative equation and the calculation process were developed by virtue of Visual Studio C++ and compiled into the corresponding dynamic link library file, which was successfully applied in numerical simulation of rocks using Flac3D software.
- By adjusting the shape function, the Z–P constitutive model degenerated into an M–C constitutive model. The simulation results of an ideal circular tunnel using Flac3D manifested that the calculation results of the degenerated Z–P constitutive model were similar to those of the M–C constitutive model built in Flac3D. Compared to the computed outcomes of the model, the average relative error of the hoop stress was 0.485%, and the radial stress appeared an average relative error of 1.246%, which conformed to the accuracy requirements and verified the correctness of the secondary development program.
- Through conducting uniaxial compression test simulations on granite at various high temperatures, the obtained stress–strain curves in the numerical simulation were compared with experimental data from the existing literature. The comparison revealed a similar trend between the numerical simulation and test results under different high temperatures. Additionally, the discrepancy between the peak stress and peak strain values was found to be within 6.5%. This outcome validated the rationality of the proposed high-temperature-load coupled damage model based on the Zienkiewicz–Pande yield criterion, and demonstrated its ability to accurately depict the mechanical behavior of rocks subjected to high-temperature treatment. Furthermore, it was recommended to choose the value range of α for thermal damage parameters as (0.001, 0.01), and the value range of β as [0.1, 0.5].
7. Outlook
- It is expected to further expand and deepen the research on the model by increasing the sample size, including a wider range of rock samples with different types and characteristics, to comprehensively validate the applicability and accuracy of the model. Additionally, more extensive experiments and numerical simulations covering a broader range of temperature, stress, and loading conditions are necessary to precisely understand both thermodynamic and mechanical responses of rocks.
- In terms of engineering applications, the model can be applied in practical engineering projects. By integrating the model with real-world engineering cases, the predictive capability and applicability of the model in actual engineering environments can be evaluated. Such application assessments contribute to validating the reliability of the model and providing guidance and decision support for engineers.
Author Contributions
Funding
Institutional Review Board Statement
Informed Consent Statement
Data Availability Statement
Conflicts of Interest
References
- Wasantha, P.L.P.; Guerrieri, M.; Xu, T. Effects of tunnel fires on the mechanical behaviour of rocks in the vicinity—A review. Tunn. Undergr. Space Technol. 2020, 108, 103667. [Google Scholar] [CrossRef]
- Leroy, M.N.L.; Marius, F.W.; François, N. Experimental and Theoretical Investigations of Hard Rocks at High Temperature: Applications in Civil Engineering. Adv. Civ. Eng. 2021, 2021, 8893944. [Google Scholar] [CrossRef]
- Savov, K.; Lackner, R.; Mang, H.A. Stability assessment of shallow tunnels subjected to fire load. Fire Saf. J. 2005, 40, 745–763. [Google Scholar] [CrossRef]
- Healy, J.; Atefi-Monfared, K. Fire-induced damage in tunnels: Thermo-mechanical modeling incorporating support system and geological conditions. Tunn. Undergr. Space Technol. 2023, 135, 105027. [Google Scholar] [CrossRef]
- Lu, C.; Sun, Q.; Zhang, W.Q.; Geng, J.S.; Qi, Y.M.; Lu, L.L. The effect of high temperature on tensile strength of sandstone. Appl. Therm. Eng. 2017, 111, 573–579. [Google Scholar] [CrossRef]
- Xi, Y.; Wang, H.Y.; Li, J.; Dong, W.T.; Li, H.; Guo, B.Y. Experimental comparison of mechanical properties and fractal characteristics of geothermal reservoir rocks after different cooling treatments. Energy Rep. 2022, 8, 5158–5176. [Google Scholar] [CrossRef]
- Huang, Y.-H.; Yang, S.-Q.; Tian, W.-L.; Zhao, J.; Ma, D.; Zhang, C.-S. Physical and mechanical behavior of granite containing pre-existing holes after high temperature treatment. Arch. Civ. Mech. Eng. 2017, 17, 912–925. [Google Scholar] [CrossRef]
- Wang, Z.; Zhang, W.; Shi, Z.; Zhang, S. Changes of physical properties of thermal damaged sandstone with time lapse. Acta Geophys. 2022, 70, 1193–1202. [Google Scholar] [CrossRef]
- Zhang, H.M.; Qin, X.R.; Chen, M.; Yang, G.S.; Lu, Y.N. A Damage Constitutive Model for a Jointed Rock Mass under Triaxial Compression. Int. J. Geomech. 2023, 23, 04023059. [Google Scholar] [CrossRef]
- Mortazavi, A.; Molladavoodi, H. A numerical investigation of brittle rock damage model in deep underground openings. Eng. Fract. Mech. 2012, 90, 101–120. [Google Scholar] [CrossRef]
- Jiang, Q.; Feng, X.T.; Zhou, H.; Chen, J.L.; Wan, X.B. In situ damage testing of rock mass in large underground cavern. Mater. Res. Innov. 2011, 15, s531–s535. [Google Scholar] [CrossRef]
- Jiang, Q.; Cui, J.; Chen, J. Time-Dependent Damage Investigation of Rock Mass in an In Situ Experimental Tunnel. Materials 2012, 5, 1389–1403. [Google Scholar] [CrossRef]
- Hu, J.-H.; Yang, D.-J. Meso-damage evolution and mechanical characteristics of low-porosity sedimentary rocks under uniaxial compression. Trans. Nonferrous Met. Soc. China 2020, 30, 1071–1077. [Google Scholar] [CrossRef]
- Liu, B.X.; Shu, Z.L.; Liu, M.M.; Zhang, K. Real-time CT Experimental Research on Microscopic Damage Evolution of Coal Rock under Compression. Disaster Adv. 2012, 5, 164–172. [Google Scholar]
- Qi, X.Y.; Yang, Z.; Wang, S.W.; Fu, P. Mechanical Damage Test and Model Study of Layered Composite Rock Based on Acoustic Emission and DIC Characteristics. Shock Vib. 2022, 2022, 6568588. [Google Scholar] [CrossRef]
- Wang, C.L.; He, B.B.; Hou, X.L.; Li, J.Y.; Liu, L. Stress-Energy Mechanism for Rock Failure Evolution Based on Damage Mechanics in Hard Rock. Rock Mech. Rock Eng. 2020, 53, 1021–1037. [Google Scholar] [CrossRef]
- Zhang, Z.P.; Zhang, R.; Xie, H.P.; Liu, J.F.; Were, P. Differences in the acoustic emission characteristics of rock salt compared with granite and marble during the damage evolution process. Environ. Earth Sci. 2015, 73, 6987–6999. [Google Scholar] [CrossRef]
- Ahmed, Z.; Wang, S.H.; Hashmi, M.Z.; Zhang, Z.; Zhu, C. Causes, characterization, damage models, and constitutive modes for rock damage analysis: A review. Arab. J. Geosci. 2020, 13, 806. [Google Scholar] [CrossRef]
- Wen, T.; Tang, H.; Ma, J.; Liu, Y. Energy Analysis of the Deformation and Failure Process of Sandstone and Damage Constitutive Model. KSCE J. Civ. Eng. 2019, 23, 513–524. [Google Scholar] [CrossRef]
- Liu, W.; Zhang, S.; Sun, B. Energy Evolution of Rock under Different Stress Paths and Establishment of A Statistical Damage Model. KSCE J. Civ. Eng. 2019, 23, 4274–4287. [Google Scholar] [CrossRef]
- Ma, S.; Gutierrez, M. Coupled Damage-Plasticity Modelling of Saturated Shale under Undrained Condition. KSCE J. Civ. Eng. 2021, 25, 316–325. [Google Scholar] [CrossRef]
- Zhu, Y. A micromechanics-based damage constitutive model of porous rocks. Int. J. Rock Mech. Min. Sci. 2017, 91, 1–6. [Google Scholar] [CrossRef]
- Yang, J.; Fu, L.-Y.; Zhang, Y.; Han, T. Temperature- and Pressure-Dependent Pore Microstructures Using Static and Dynamic Moduli and Their Correlation. Rock Mech. Rock Eng. 2022, 55, 4073–4092. [Google Scholar] [CrossRef]
- Guo, X.; Zhang, D.; Zhao, C.; Zhang, X.; Wang, M.; Zhu, Y. Constitutive theory and thermodynamic framework for hyperplastic damage of deep rock structure. Chin. J. Rock Mech. Eng. 2016, 35, 658–669. (In Chinese) [Google Scholar] [CrossRef]
- Peng, J.; Tang, Z.C.; Hou, D. A GSI-softening model for characterizing strength behavior of thermally-damaged rock. Eng. Geol. 2021, 292, 106251. [Google Scholar] [CrossRef]
- Xu, X.L.; Karakus, M. A coupled thermo-mechanical damage model for granite. Int. J. Rock Mech. Min. Sci. 2018, 103, 195–204. [Google Scholar] [CrossRef]
- Mercado, V.; Fuentes, W.; Ochoa-Cornejo, F. Multiyield-Surface Implementation of a Simplified Three-Dimensional Hoek–Brown Strength Criterion. Int. J. Geomech. 2022, 22, 06021039. [Google Scholar] [CrossRef]
- Cuss, R.J.; Rutter, E.H.; Holloway, R.F. The application of critical state soil mechanics to the mechanical behaviour of porous sandstones. Int. J. Rock Mech. Min. Sci. 2003, 40, 847–862. [Google Scholar] [CrossRef]
- Zienkiewicz, O.C.; Pande, G.N. Some useful forms of isotropic yield surfaces for soil and rock mechanics. In Finite Elements in Geomechanics; John Wiley & Sons: New York, NY, USA, 1977; pp. 179–190. [Google Scholar]
- Liu, Y.; Maniatty, A.M.; Antes, H. Investigation of a Zienkiewicz–Pande yield surface and an elastic–viscoplastic boundary element formulation. Eng. Anal. Bound. Elem. 2000, 24, 207–211. [Google Scholar] [CrossRef]
- Asgari, M.; Kouchakzadeh, M.A. An equivalent von Mises stress and corresponding equivalent plastic strain for elastic–plastic ordinary peridynamics. Meccanica 2019, 54, 1001–1014. [Google Scholar] [CrossRef]
- Parisio, F.; Laloui, L. Plastic-damage modeling of saturated quasi-brittle shales. Int. J. Rock Mech. Min. Sci. 2017, 93, 295–306. [Google Scholar] [CrossRef]
- Zhang, C.; Zhou, H.; Feng, X. Numerical format of elastoplastic constitutive model based on the unified strength theory in FLAC3D. Rock Soil Mech. 2008, 3, 596–602. [Google Scholar] [CrossRef]
- He, Z.; Dai, B. Secondary Development of a Nonlinear Creep Model Based on Fractional Derivative in FLAC3D. In Proceedings of the 11th International Conference on Intelligent Computation Technology and Automation (ICICTA), Changsha, China, 22–23 September 2018. [Google Scholar] [CrossRef]
- Li, A.; Shao, G.J.; Li, Y.D.; Sun, Y.; Su, J.B.; Liu, J.C. Investigation Into Deformation and Failure Characteristics of the Soft-Hard Interbedded Rock Mass Under Multiaxial Compression. Front. Earth Sci. 2022, 10, 903743. [Google Scholar] [CrossRef]
- Trzeciak, M.; Sone, H. Critical review of the Mogi failure criterion based on true-triaxial laboratory data analysis and theoretical considerations. Int. J. Rock Mech. Min. Sci. 2022, 159, 105220. [Google Scholar] [CrossRef]
- Luo, S.; Dou, B.; Tian, H.; Chen, J.; Xiao, P.; Zhang, S. Comparative experimental study on physical and mechanical properties of granite after natural cooling and under real-time high temperature. Earth Sci. Front. 2020, 27, 178–184. (In Chinese) [Google Scholar] [CrossRef]
- Jiang, H.; Jiang, A.; Xu, M. Research on Algorithm and Coupling Damage Model of Rock Under High Temperature and Loading Based on Mohr–Coulomb Criterion. Int. J. Comput. Methods 2022, 19, 2250001. [Google Scholar] [CrossRef]









| Temperature/°C | E/GPa | c/MPa | α | β |
|---|---|---|---|---|
| 25 | 7.8 | 26 | 0.00339 | 0.17614 |
| 200 | 8.0 | 28 | 0.00254 | 0.31779 |
| 300 | 7.6 | 26 | 0.00247 | 0.40011 |
| 400 | 7.2 | 23 | 0.00177 | 0.39307 |
| 500 | 6.8 | 21 | 0.00238 | 0.15821 |
| 600 | 5.8 | 17 | 0.00130 | 0.38122 |
| Temperature/°C | E/GPa | c/MPa | α | β |
|---|---|---|---|---|
| 25 | 27.9 | 31 | 0.00547 | 0.39548 |
| 200 | 28.5 | 36 | 0.00502 | 0.43214 |
| 300 | 24.5 | 29 | 0.00377 | 0.41240 |
| 400 | 20.1 | 26 | 0.00310 | 0.37546 |
| 500 | 16.8 | 22 | 0.00248 | 0.39462 |
| 600 | 8.3 | 17 | 0.00154 | 0.21541 |
| 700 | 8.5 | 18 | 0.00169 | 0.18468 |
Disclaimer/Publisher’s Note: The statements, opinions and data contained in all publications are solely those of the individual author(s) and contributor(s) and not of MDPI and/or the editor(s). MDPI and/or the editor(s) disclaim responsibility for any injury to people or property resulting from any ideas, methods, instructions or products referred to in the content. |
© 2023 by the authors. Licensee MDPI, Basel, Switzerland. This article is an open access article distributed under the terms and conditions of the Creative Commons Attribution (CC BY) license (https://creativecommons.org/licenses/by/4.0/).
Share and Cite
Zhan, T.; Jiang, T.; Shan, S.; Zheng, F.; Jiang, A.; Guo, X. Research on Constitutive Model and Algorithm of High-Temperature-Load Coupling Damage Based on the Zienkiewicz–Pande Yield Criterion. Appl. Sci. 2023, 13, 9786. https://doi.org/10.3390/app13179786
Zhan T, Jiang T, Shan S, Zheng F, Jiang A, Guo X. Research on Constitutive Model and Algorithm of High-Temperature-Load Coupling Damage Based on the Zienkiewicz–Pande Yield Criterion. Applied Sciences. 2023; 13(17):9786. https://doi.org/10.3390/app13179786
Chicago/Turabian StyleZhan, Tao, Tengfei Jiang, Shengbiao Shan, Fu Zheng, Annan Jiang, and Xinping Guo. 2023. "Research on Constitutive Model and Algorithm of High-Temperature-Load Coupling Damage Based on the Zienkiewicz–Pande Yield Criterion" Applied Sciences 13, no. 17: 9786. https://doi.org/10.3390/app13179786
APA StyleZhan, T., Jiang, T., Shan, S., Zheng, F., Jiang, A., & Guo, X. (2023). Research on Constitutive Model and Algorithm of High-Temperature-Load Coupling Damage Based on the Zienkiewicz–Pande Yield Criterion. Applied Sciences, 13(17), 9786. https://doi.org/10.3390/app13179786

