Feasibility Analysis of Adopting the Hydrogen Hydrostatic Thrust Bearing
Abstract
:1. Introduction
2. Numerical Model
2.1. Hydrogen Hydrostatic Thrust Bearing Structure
2.2. Computational Model
- (1)
- The pressure inlet is the supplied pressure (Pin);
- (2)
- The pressure outlet is the pressure around the bearing (P0);
- (3)
- Both sides of the film are periodic boundaries of the circumferential flow characteristics;
- (4)
- The rotational wall is the contact surface with the thrust plate;
- (5)
- The other walls are fixed boundaries with no sliding and no flow.
2.3. Grid Independence and Model Validation
3. Influence of Lubricant Properties
4. Application Parameters
4.1. Supplied Pressure
4.2. Orifice Diameter
4.3. Number of Orifices
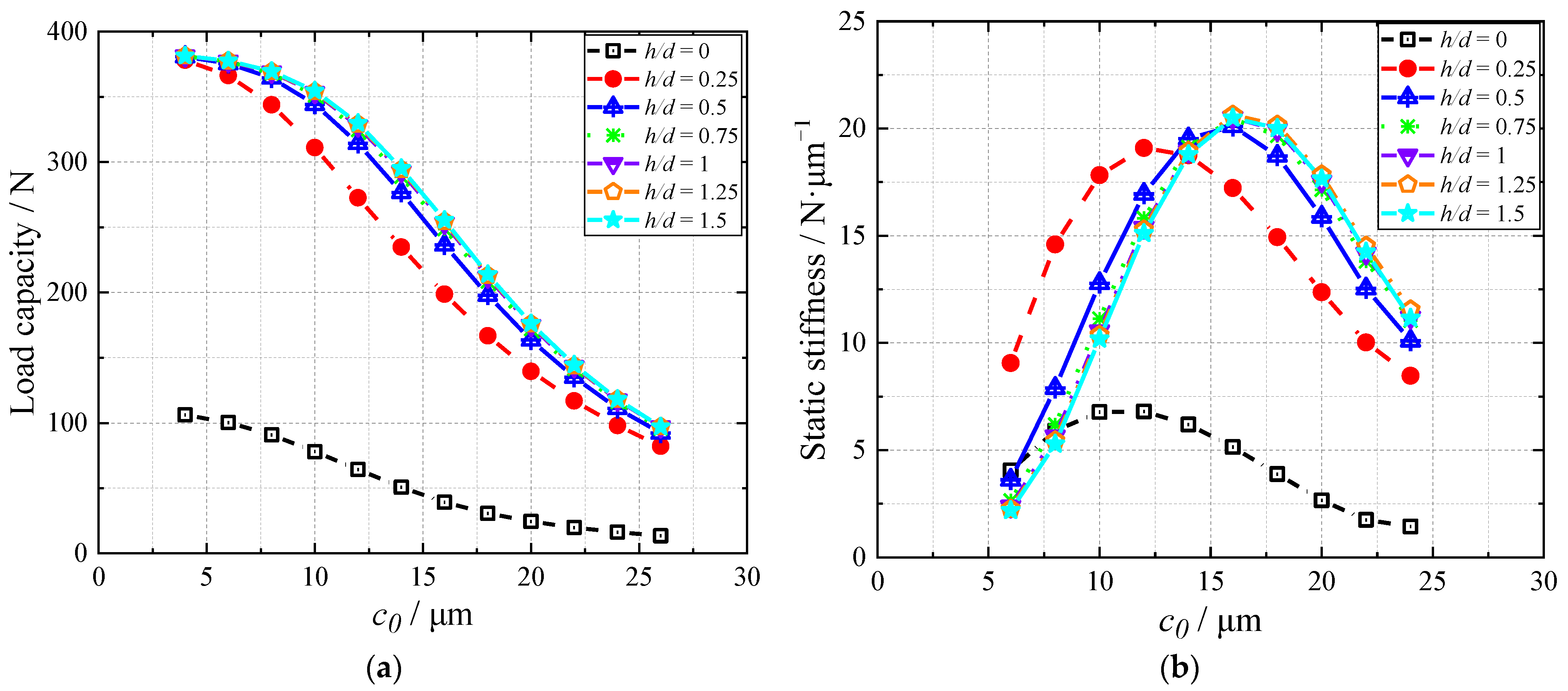
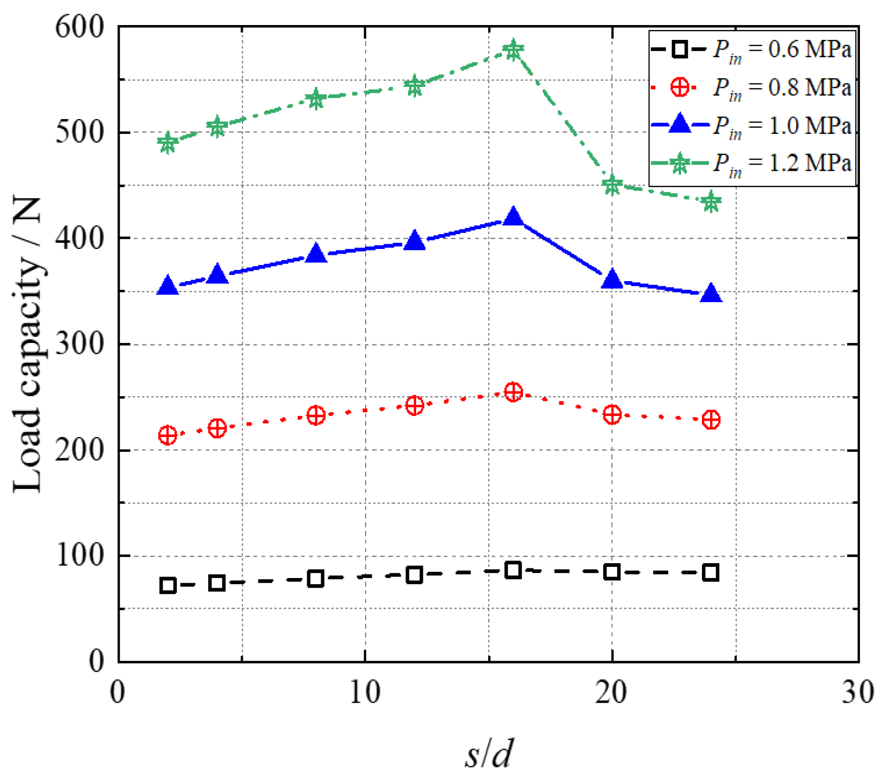
4.4. Circumferential Groove
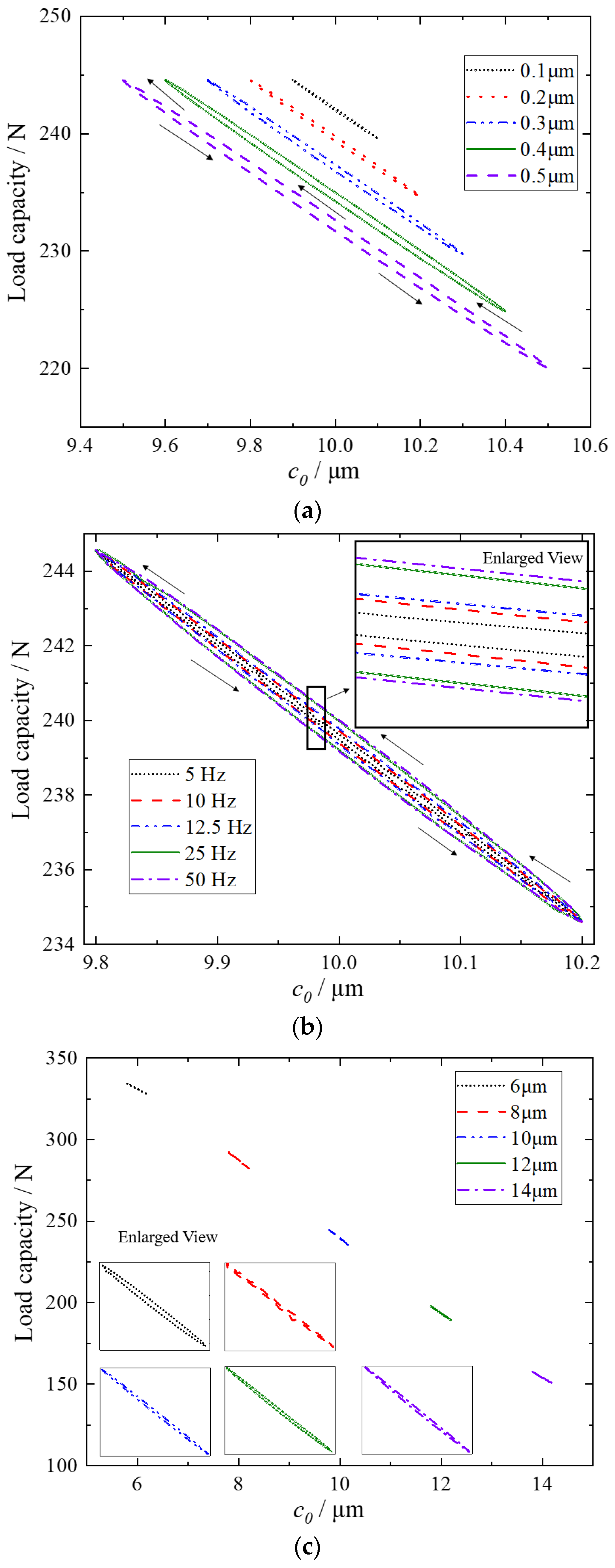
5. Dynamic Characteristics
6. Conclusions
- Bearing performance is strongly influenced by gaseous physical properties. The four gas-lubricated bearings have load capacities in the following order: helium, hydrogen, air and methane. The peak values of stiffness of bearings, in descending order, are those of methane, air, helium and hydrogen. Hydrogen has the highest turbulent kinetic energy. In a word, HHTBs can provide considerable load capacity in this application.
- Effective methods for enhancing the bearing load capacity of HHTBs include elevating the gas-supplied pressure under constant pressure around the bearing, appropriately expanding the orifice diameter, augmenting the number of gas supply orifices, reducing gas film clearance and setting circumferential grooves.
- When the amplitude of harmonic disturbance increases, the bearing’s dynamic stiffness decreases, resulting in better dynamic stability; however, the minimum bearing capacity may be lower. The harmonic disturbance frequency has a small effect on the dynamic stiffness, within a certain range. For the same disturbance, a smaller value of gas film balance increases the equivalent damping and dynamic stiffness of the HHTB.
Author Contributions
Funding
Institutional Review Board Statement
Informed Consent Statement
Data Availability Statement
Acknowledgments
Conflicts of Interest
References
- Midilli, A.; Ay, M.; Dincer, I.; Rosen, M.A. On hydrogen and hydrogen energy strategies I: Current status and needs. Renew. Sustain. Energy Rev. 2005, 9, 255–271. [Google Scholar] [CrossRef]
- Sherif, S.A.; Barbir, F.; Veziroglu, T.N. Wind energy and the hydrogen economy—Review of the technology. Sol. Energy 2005, 78, 647–660. [Google Scholar] [CrossRef]
- Meng, N.; Yu, X.; Liu, F.; Zhao, P.; Zhao, B. Influences of renewable energy on hydrogen storage system and its control strategy. Electr. Power Constr. 2018, 39, 28–34. [Google Scholar] [CrossRef]
- Song, J.; Zhu, Y.; Liang, D.; Cheng, Q.; Bao, W. Hydrogen energy system for renewable energy consumption. E3S Web Conf. 2021, 233, 01083. [Google Scholar]
- Afanasiev, A.N.; Pavlov, D.A.; Epishkin, V.E.; Gapchenko, U.A. Application of hydrogen and hydrogen-containing gases in internal combustion engines. IOP Conf. Ser. Mater. Sci. Eng. 2020, 734, 012198. [Google Scholar] [CrossRef]
- Manoharan, Y.; Hosseini, S.E.; Butler, B.; Alzhahrani, H.; Krohn, J. Hydrogen fuel cell vehicles; current status and future prospect. Appl. Sci. 2019, 9, 2296. [Google Scholar] [CrossRef]
- Liu, M.; Zhang, L.; Little, M.A.; Kapil, V.; Ceriotti, M.; Yang, S. Barely porous organic cages for hydrogen isotope separation. Science 2019, 366, 613–620. [Google Scholar] [CrossRef]
- Ma, L.T.; Chen, S.M.; Li, N.; Liu, Z.X.; Tang, Z.J.; Zapien, J.A.; Chen, S.; Fan, J.; Zhi, C. Hydrogen-Free and Dendrite-Free All-Solid-State Zn-Ion Batteries. Adv. Mater. 2020, 32, 1908121. [Google Scholar] [CrossRef]
- Midilli, A.; Dincer, I. Key strategies of hydrogen energy systems for sustainability. Int. J. Hydrog. Energy 2006, 32, 511–524. [Google Scholar] [CrossRef]
- Barthelemy, H.; Weber, F.; France, B. Hydrogen storage: Recent improvements and industrial perspectives. Int. J. Hydrog. Energy 2016, 42, 7254–7262. [Google Scholar] [CrossRef]
- Rivard, E.; Trudeau, M.; Zaghib, K. Hydrogen storage for mobility: A review. Materials 2019, 12, 1973. [Google Scholar] [CrossRef]
- Elberry, A.M.; Thakur, J.; Santasalo-Aarnio, A.; Larmi, M. Large-scale compressed hydrogen storage as part of renewable electricity storage systems. Int. J. Hydrog. Energy 2021, 46, 15671–15690. [Google Scholar] [CrossRef]
- Krasae-In, S.; Stang, J.H.; Neksa, P. Development of large-scale hydrogen liquefaction processes from 1898 to 2009. Int. J. Hydrog. Energy 2010, 35, 4524–4533. [Google Scholar] [CrossRef]
- Mehta, M.; Zaaijer, M.; Von Terzi, D. Optimum Turbine Design for Hydrogen Production from Offshore Wind. J. Phys. Conf. Ser. 2022, 2265, 042061. [Google Scholar] [CrossRef]
- Lim, H.; Seo, J.; Park, M.; Choi, B.; Park, J.; Bang, J. A Numerical Study on Blade Design and Optimization of a Helium Expander for a Hydrogen Liquefaction Plant. Appl. Sci. 2022, 3, 1411. [Google Scholar] [CrossRef]
- Davydov, A.B.; Perestoronin, G.A. Turbine Expanders in Hydrogen Liquefiers. Chem. Pet. Eng. 1997, 33, 174–177. [Google Scholar] [CrossRef]
- Yan, H.; Ke, C.L.; Peng, N.; Li, K.R.; Zhang, X.H.; Zheng, L.W.; Liang, Y.W.; Xiong, L.Y.; Dong, B.; Li, J.; et al. Static and dynamic characteristics of externally pressurized gas bearing for high-speed hydrogen turbo-expander. IOP Conf. Ser. Mater. Sci. Eng. 2022, 1240, 012114. [Google Scholar] [CrossRef]
- Bischoff, S.; Decker, L. First operating results of a dynamic gas bearing turbine in an industrial hydrogen liquefier. Am. Inst. Phys. 2010, 1218, 887–894. [Google Scholar] [CrossRef]
- Davydenkov, A.I.; Ravikovich, A.Y.; Davydov, B.A.; Yu, I. Development of cryogenic turboexpanders with gas dynamic foil bearings. Cryogenics 1992, 32, 80–83. [Google Scholar] [CrossRef]
- Institute, R.P.; Wilcock, D.F.; Sandor, G.N. Design of Gas Bearings: Notes Supplemental to the RPI-MTI Course on Gas Bearing Design, 14–18 August 1967; Rensselaer Polytechnic Institute: Troy, NY, USA; Mechanical Technology Inc.: Helena, MT, USA, 1967. [Google Scholar]
- Yoshimoto, S. Trends in gas bearings. Jpn. J. Tribol. 1997, 42, 1415–1417. [Google Scholar]
- Mizumoto, H. A fascinating world of hydrostatic and aerostatic bearings. J. Jpn. Soc. Precis. Eng. 2007, 73, 537–540. [Google Scholar] [CrossRef]
- Majumdar, B.C. Gas-lubricated porous bearings: A bibliography. Wear 1976, 36, 269–273. [Google Scholar] [CrossRef]
- Chen, S.; Zhang, Q.; Fu, B.; Liu, Z.; Li, S. Analysis of static and dynamic characteristics of aerostatic bearing with reflux orifices. Ind. Lubr. Tribol. 2021, 73, 961–970. [Google Scholar]
- Kwan, Y.; Corbett, J. Porous aerostatic bearings–an update review. Wear 1998, 222, 69–73. [Google Scholar] [CrossRef]
- Gao, Q.; Chen, W.Q.; Lu, L.H.; Huo, D.H.; Cheng, K. Aerostatic bearings design and analysis with the application to precision engineering: State-of-the-art and future perspectives. Tribol. Int. 2019, 135, 1–17. [Google Scholar] [CrossRef]
- Miyatake, M.; Yoshimoto, S. Numerical investigation of static and dynamic characteristics of aerostatic thrust bearings with small feed holes. Tribol. Int. 2010, 43, 1353–1359. [Google Scholar] [CrossRef]
- Nishio, U.; Somaya, K.; Yoshimoto, S. Numerical calculation and experimental verification of static and dynamic characteristics of aerostatic thrust bearings with small feedholes. Tribol. Int. 2011, 44, 1790–1795. [Google Scholar] [CrossRef]
- Gao, S.; Cheng, K.; Chen, S.; Ding, H.; Fu, H. CFD based investigation on influence of orifice chamber shapes for the design of aerostatic thrust bearings at ultra-high speed spindles. Tribol. Int. 2015, 92, 211–221. [Google Scholar] [CrossRef]
- Renn, J.C.; Hsiao, C.H. Experimental and CFD study on the mass flow-rate characteristic of gas through orifice-type restrictor in aerostatic bearings. Tribol. Int. 2004, 37, 309–315. [Google Scholar] [CrossRef]
- Shi, J.; Cao, H.; Maroju, N.K.; Jin, X. Dynamic modeling of aerostatic spindle with shaft tilt deformation. J. Manuf. Sci. Eng. 2019, 142, 1–43. [Google Scholar] [CrossRef]
- Li, Y.; Xin, W.; Sun, Z.; Sun, W.; Li, X. A Calculation Method for the Micro-vibration Amplitude of an Aerostatic Thrust Bearing and the Influence of Bearing Parameters on the Vibration. In Proceedings of the 5th International Conference on Measurement, Instrumentation and Automation (ICMIA 2016), Shenzhen, China, 17–18 September 2016. [Google Scholar]
- Zhao, X.; Zhang, J.; Dong, H.; Fang, Z.; Li, J. Numerical simulation and experimental study on the gas-solid coupling of the aerostatic thrust bearing with elastic equalizing pressure groove. Shock. Vib. 2017, 2017, 1–11. [Google Scholar]
- Huang, T.; Weng, S.; Hsu, S. Effect of variation of gap thickness of the thrust bearing on gap pressure and stiffness of the aerostatic spindle in vertical milling. Key Eng. Mater. 2017, 739, 1–6. [Google Scholar] [CrossRef]
- Zheng, Y.; Yang, G.; Cui, H.; Hou, Y. Pneumatic stability analysis of single-pad aerostatic thrust bearing with pocketed orifice. Arch. Proc. Inst. Mech. Eng. Part J J. Eng. Tribol. 2019, 234, 135065011989416. [Google Scholar] [CrossRef]
- Wu, Y.; Li, C.; Du, J.; Liu, T.; Zuo, X. Pneumatic hammer characteristics of the aerostatic thrust bearing with central orifice and pressure-equalizing groove. Nonlinear Dyn. 2023, 111, 2161–2182. [Google Scholar] [CrossRef]
- Sahto, M.P.; Wang, W.; Sanjrani, A.N.; Hao, C.X.; Shah, S.A. Dynamic performance of partially orifice porous aerostatic thrust bearing. Micromachines 2021, 12, 989. [Google Scholar] [CrossRef]
- Wei, L.; Gang, B. Improvement of load capacity of circular aerostatic thrust bearings with the finite volume method. In Proceedings of the IEEE International Conference on Automation & Logistics, Qingdao, China, 1–3 September 2008. [Google Scholar]
- Ishibashi, K.; Kondo, A.; Kawada, S.; Miyatake, M.; Yoshimoto, S.; Stolarski, T. Static and dynamic characteristics of a downsized aerostatic circular thrust bearing with a single feed hole. Precis. Eng. 2019, 60, 448–457. [Google Scholar] [CrossRef]
- Guo, Y.; Lai, T.; Ren, X.; Zhao, Q.; Hou, Y. Effect of lubrication medium on gas bearing performance. Lubr. Eng. 2021, 46, 1–5. [Google Scholar]
- Yan, H.; Ke, C.; Peng, N.; Li, K.; Zhang, X.; Xiong, L.; Dong, B.; Li, J.; Liu, L. Performance prediction of externally pressurized gas bearings for high-speed turbo-expander involving hydrogen, helium and air working fluids—ScienceDirect. Int. J. Hydrog. Energy 2021, 46, 33453–33467. [Google Scholar] [CrossRef]
- Raparelli, T.; Viktorov, V.; Colombo, F.; Lentini, L. Aerostatic thrust bearings active compensation: Critical review. Precis. Eng. 2016, 44, 1–12. [Google Scholar] [CrossRef]
- Chen, X.D.; Zhu, J.C.; Chen, H. Dynamic characteristics of ultra-precision aerostatic bearings. Adv. Manuf. 2013, 1, 82–86. [Google Scholar] [CrossRef]
- Lo, C.Y.; Wang, C.C.; Lee, Y.H. Performance analysis of high-speed spindle aerostatic bearings. Tribol. Int. 2005, 38, 5–14. [Google Scholar] [CrossRef]
- Li, Y.; Han, D. Influences of the geometrical parameters of aerostatic thrust bearing with pocketed orifice-type restrictor on its performance. Tribol. Int. 2007, 40, 1120–1126. [Google Scholar] [CrossRef]
- Cheng, K.; Rowe, W.B. A selection strategy for the design of externally pressurized journal bearings. Tribol. Int. 1995, 28, 465–474. [Google Scholar] [CrossRef]
- Gu, L.; Guenat, E.; Schiffmann, J. A review of grooved dynamic gas bearings. Appl. Mech. Rev. 2020, 72, 15. [Google Scholar] [CrossRef]
- Lin, Y.; Noah, S. Using Genetic Algorithms for the Optimal Design of Fluid Journal Bearing. In Proceedings of the ASME 1999 Design Engineering Technical Conferences, Las Vegas, NV, USA, 12–15 September 1999. [Google Scholar]
- Zhang, Q.; Gao, M.; Xu, H.; Fu, Y.; Duan, J. Theoretical and experimental study on the dynamic characteristics of tilting pad thrust bearing considering excitation frequency. J. Mech. Eng. 2014, 50, 50–58. [Google Scholar] [CrossRef]
- Zhao, Q.; Qiang, M.; Yan, S.; Liu, X.; Hou, Y.; Lai, T. Frictional analysis on stiffness and damping characteristics of bump foil gas bearings. Proc. Inst. Mech. Eng. Part J J. Eng. Tribol. 2022, 237, 498–513. [Google Scholar] [CrossRef]
- Shi, J.; Cao, H.; Jin, X. Investigation on the static and dynamic characteristics of 3-DOF aerostatic thrust bearings with orifice restrictor. Tribol. Int. 2019, 138, 435–449. [Google Scholar] [CrossRef]













| Structural Parameters | Value | Unit |
|---|---|---|
| Bearing internal diameter (D1) | 25 | mm |
| Bearing external diameter (D2) | 80 | mm |
| Radius of the orifice circle (Rd) | 25 | mm |
| Orifice diameter (d) | 0.2 | mm |
| Number of orifices (N) | 6 | / |
| Groove depth (h) | 0 | mm |
| Groove width (s) | 0 | mm |
| Pressure around the bearing (P0) | 101,300 | Pa |
| Supplied pressure (Pin) | 607,800 | Pa |
| Temperature (T) | 293 | K |
| Gas | Density (kg·m−3) | Viscosity (μPa·s) |
|---|---|---|
| Air | 5.8149 | 18.595 |
| Methane | 3.2432 | 11.189 |
| Helium | 0.8004 | 19.944 |
| Hydrogen | 0.4029 | 8.9407 |
| Structural Parameters | Value | Unit |
|---|---|---|
| Bearing internal diameter (D1) | 25 | mm |
| Bearing external diameter (D2) | 50 | mm |
| Radius of the orifice circle (Rd) | 19 | mm |
| Orifice diameter (d) | 0.2 | mm |
| Number of orifices (N) | 8 | / |
| Groove depth (h) | 0.2 | mm |
| Groove width (s) | 0.2 | mm |
| Film clearance (c0) | 10 | μm |
| Pressure around the bearing (P0) | 500,000 | Pa |
| Supplied pressure (Pin) | 1,000,000 | Pa |
| Temperature (T) | 293 | K |
| Rotational speed (ω) | 50,000 | rpm |
Disclaimer/Publisher’s Note: The statements, opinions and data contained in all publications are solely those of the individual author(s) and contributor(s) and not of MDPI and/or the editor(s). MDPI and/or the editor(s) disclaim responsibility for any injury to people or property resulting from any ideas, methods, instructions or products referred to in the content. |
© 2023 by the authors. Licensee MDPI, Basel, Switzerland. This article is an open access article distributed under the terms and conditions of the Creative Commons Attribution (CC BY) license (https://creativecommons.org/licenses/by/4.0/).
Share and Cite
Qiang, M.; Liu, M.; Zhao, Q.; Hou, Y.; Yan, S.; Lai, T. Feasibility Analysis of Adopting the Hydrogen Hydrostatic Thrust Bearing. Appl. Sci. 2023, 13, 9372. https://doi.org/10.3390/app13169372
Qiang M, Liu M, Zhao Q, Hou Y, Yan S, Lai T. Feasibility Analysis of Adopting the Hydrogen Hydrostatic Thrust Bearing. Applied Sciences. 2023; 13(16):9372. https://doi.org/10.3390/app13169372
Chicago/Turabian StyleQiang, Mingchen, Mingzhe Liu, Qi Zhao, Yu Hou, Shaohang Yan, and Tianwei Lai. 2023. "Feasibility Analysis of Adopting the Hydrogen Hydrostatic Thrust Bearing" Applied Sciences 13, no. 16: 9372. https://doi.org/10.3390/app13169372
APA StyleQiang, M., Liu, M., Zhao, Q., Hou, Y., Yan, S., & Lai, T. (2023). Feasibility Analysis of Adopting the Hydrogen Hydrostatic Thrust Bearing. Applied Sciences, 13(16), 9372. https://doi.org/10.3390/app13169372

